Sign in to use this feature.

Years

Between: -

Subjects

remove_circle_outline
remove_circle_outline
remove_circle_outline
remove_circle_outline
remove_circle_outline
remove_circle_outline
remove_circle_outline
remove_circle_outline
remove_circle_outline

Journals

Article Types

Countries / Regions

remove_circle_outline
remove_circle_outline
remove_circle_outline
remove_circle_outline
remove_circle_outline
remove_circle_outline
remove_circle_outline
remove_circle_outline
remove_circle_outline

Search Results (999)

Search Parameters:
Keywords = satellite precipitation product

Order results
Result details
Results per page
Select all
Export citation of selected articles as:
22 pages, 2894 KB  
Article
Fusion and Evaluation of Multi-Source Satellite Remote Sensing Precipitation Products Based on Transformer Machine Learning
by Qingyuan Luo, Dongzhi Wang, Lina Liu, Caihong Hu and Chengshuai Liu
Water 2026, 18(3), 358; https://doi.org/10.3390/w18030358 - 30 Jan 2026
Viewed by 14
Abstract
Satellite precipitation products offer great potential for acquiring reliable precipitation data in data-sparse areas, yet they have inherent uncertainties and errors as indirect observations. This study evaluated the accuracy of multi-source satellite precipitation products from daily and precipitation magnitude perspectives and discussed the [...] Read more.
Satellite precipitation products offer great potential for acquiring reliable precipitation data in data-sparse areas, yet they have inherent uncertainties and errors as indirect observations. This study evaluated the accuracy of multi-source satellite precipitation products from daily and precipitation magnitude perspectives and discussed the spatiotemporal variation in their inversion errors. Based on ground rainfall observations, satellite products, and environmental factors, a Transformer-based multi-source precipitation fusion method was proposed, with its effectiveness preliminarily analyzed for daily precipitation in the Jingle River Basin. The main conclusions are as follows: (1) Compared with the observed precipitation data, the GSMaP_Gauge satellite remote sensing precipitation product showed the closest agreement with the observations, ranking first in all indicators except the Probability of Detection (POD). The MSWEP satellite remote sensing precipitation product followed in performance, while the CHIRPS satellite product performed the poorest. Satellite products showed distinct error characteristics across seasons and rainfall intensities, as well as general overestimation of light rain frequency and insufficient heavy rain capture; however, these products also showed better detection capability in flood seasons. Error spatial distribution was consistent with topography, vegetation coverage, and temperature. (2) Verification demonstrated that the Transformer fusion algorithm effectively reduced relative bias and improved correlation with ground data. The scheme which incorporated environmental factors outperformed the other, which only considered precipitation characteristics, achieving higher estimation accuracy and fusion stability. Full article
(This article belongs to the Topic Advances in Hydrological Remote Sensing)
27 pages, 7482 KB  
Article
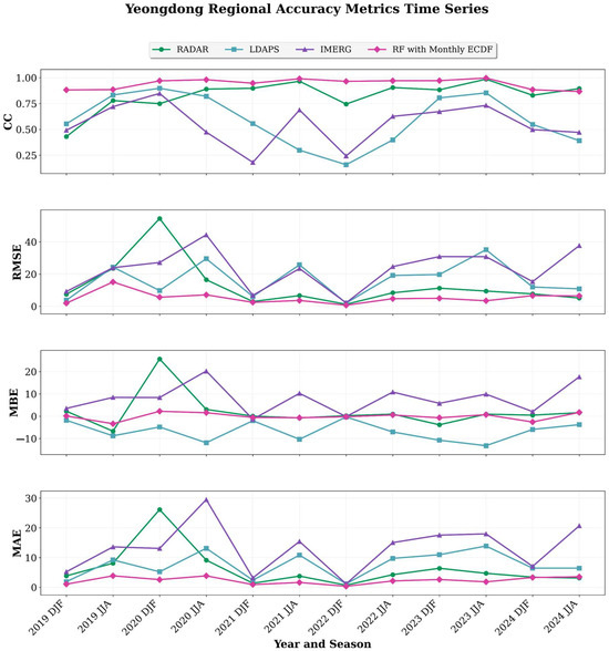
A High-Resolution Daily Precipitation Fusion Framework Integrating Radar, Satellite, and NWP Data Using Machine Learning over South Korea
by Hyoju Park, Hiroyuki Miyazaki, Menas Kafatos, Seung Hee Kim and Yangwon Lee
Water 2026, 18(3), 353; https://doi.org/10.3390/w18030353 - 30 Jan 2026
Viewed by 22
Abstract
Accurate precipitation mapping is essential for effective disaster management; however, individual radar, satellite, and numerical weather prediction products often struggle in the topographically complex terrain of South Korea. This study proposes a high-resolution (~500 m) daily precipitation fusion framework that integrates Korea Meteorological [...] Read more.
Accurate precipitation mapping is essential for effective disaster management; however, individual radar, satellite, and numerical weather prediction products often struggle in the topographically complex terrain of South Korea. This study proposes a high-resolution (~500 m) daily precipitation fusion framework that integrates Korea Meteorological Administration (KMA) radar, Global Precipitation Measurement (GPM) Integrated Multi-Satellite Retrievals for GPM (IMERG), and Local Data Assimilation and Prediction System (LDAPS) data. The framework employs a Random Forest model augmented with a monthly Empirical Cumulative Distribution Function (ECDF) correction. Auxiliary predictors are incorporated to enhance physical interpretability and stability, including terrain attributes to represent orographic effects, land-cover information to account for surface-related modulation of precipitation, and seasonal cyclic signals to capture regime-dependent variability. These predictors complement dynamic precipitation inputs and enable the model to effectively capture nonlinear spatiotemporal patterns, resulting in improved performance relative to individual radar, IMERG, and LDAPS products. Evaluation against Automated Synoptic Observing System (ASOS) observations yielded a correlation coefficient of 0.935 and a mean absolute error of 3.304 mm day−1 in a Leave-One-Year-Out (LOYO) validation for 2024. Regional analyses further indicate substantial performance gains in complex mountainous areas, including the Yeongdong–Yeongseo region, where the proposed framework markedly reduces estimation errors under challenging winter conditions. Overall, the results demonstrate the potential of the proposed fusion framework to provide robust, high-resolution precipitation estimates in regions characterized by strong topographic and seasonal heterogeneity, supporting applications related to hazard analysis and hydrometeorological assessment. Full article
Show Figures

Figure 1

28 pages, 11269 KB  
Article
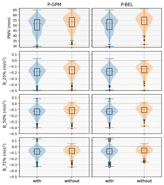
Relationship Between Deep Convection, Water Vapor, Lightning, and Precipitation over Northern Coastal Brazil
by Diana Islas-Flores, David K. Adams, Ludmila Monteiro da Silva Dutra, Galdino Viana Mota and Rui M. S. Fernandes
Atmosphere 2026, 17(2), 153; https://doi.org/10.3390/atmos17020153 - 30 Jan 2026
Viewed by 17
Abstract
A key component necessary to improve the performance of climate and weather forecasting models is understanding the physical mechanisms controlling tropical deep convection. In this study, the thermodynamic variables linked to deep convection within this equatorial sea-breeze convective regime are analyzed. A range [...] Read more.
A key component necessary to improve the performance of climate and weather forecasting models is understanding the physical mechanisms controlling tropical deep convection. In this study, the thermodynamic variables linked to deep convection within this equatorial sea-breeze convective regime are analyzed. A range of data sets are employed: GNSS-based PWV and surface precipitation data, lightning and daily radiosonde observations, and GOES-13/16 and GPM satellite products. Our results indicate that the convective indices of CAPE and CIN, often used as predictors of deep convection, do not clearly distinguish deep-convective and non-convective days. In contrast, the variables representative of the atmospheric water vapor content, PWV and vertical water vapor distribution as well as an entrainment-based buoyancy measure, are better markers of potential deep convection. For this region, however, the water vapor/deep convection relationship with precipitation does not appear as strong as over tropical oceans and tropical continental regions. Finally, our results show that there is no strong link between daily average precipitation intensity and daily lightning count. However, deep-convective days without lightning had higher water vapor at the beginning of the day, as compared to days with lightning, which resulted in convective showers earlier in the day. Full article
(This article belongs to the Section Meteorology)
Show Figures

Figure 1

30 pages, 16791 KB  
Article
Assessment of Remote Sensing Precipitation Products for Improved Drought Monitoring in Southern Tanzania
by Vincent Ogembo, Erasto Benedict Mukama, Ernest Kiplangat Ronoh and Gavin Akinyi
Climate 2026, 14(2), 36; https://doi.org/10.3390/cli14020036 - 30 Jan 2026
Viewed by 33
Abstract
In regions lacking sufficient data, remote sensing (RS) offers a reliable alternative for precipitation estimation, enabling more effective drought management. This study comprehensively evaluates four commonly used RS datasets—Climate Hazards Center InfraRed Precipitation with Station data (CHIRPS), Tropical Applications of Meteorology using Satellite [...] Read more.
In regions lacking sufficient data, remote sensing (RS) offers a reliable alternative for precipitation estimation, enabling more effective drought management. This study comprehensively evaluates four commonly used RS datasets—Climate Hazards Center InfraRed Precipitation with Station data (CHIRPS), Tropical Applications of Meteorology using Satellite data (TAMSAT), Precipitation Estimation from Remotely Sensed Information using Artificial Neural Networks–Climate Data Record (PERSIANN-CDR), and Multi-Source Weighted-Ensemble Precipitation (MSWEP) against ground-based data—with respect to their performance in detecting precipitation and drought patterns in the Great Ruaha River Basin (GRRB), Tanzania (1983–2020). Statistical metrics including the Pearson correlation coefficient (r), mean error (ME), root mean square error (RMSE), and bias were employed to assess the performance at daily, monthly, seasonal (wet/dry), and annual timescales. Most of the RS products exhibited lower correlations (r < 0.5) at daily timestep and low RMSE, bias, and ME. Monthly performance improved substantially (r > 0.8 at most stations) particularly during the wet season (r = 0.52–0.82) while annual and dry-season performance declined (r < 0.5 and r < 0.3, respectively). Performance under RMSE, bias, and ME declined at higher timescales, particularly during the wet season and annually. CHIRPS, MSWEP, and PERSIANN generally overestimated precipitation while TAMSAT consistently underestimated it. Spatially, CHIRPS and MSWEP reproduced coherent basin-scale patterns of drought persistence, with longer dry-spells concentrated in the northern, central, and western parts of the basin and shorter dry-spells in the eastern and southern regions. Trend analysis further revealed that most products captured consistent large-scale changes in dry-spell characteristics, although localized drought events were more variably detected. CHIRPS and MSWEP showed superior performance especially in capturing monthly precipitation patterns and major drought events in the basin. Most products struggled to detect extreme dry conditions with the exception of CHIRPS and MSWEP at certain stations and periods. Based on these findings, CHIRPS and MSWEP are recommended for drought monitoring and water resource planning in the GRRB. Their appropriate use can help water managers make informed decisions, promote sustainable resource use, and strengthen resilience to extreme weather events. Full article
(This article belongs to the Special Issue Extreme Precipitation and Responses to Climate Change)
Show Figures

Figure 1

23 pages, 6131 KB  
Article
Integration of Snowmelt Runoff Model (SRM) with GIS and Remote Sensing for Operational Forecasting in the Kırkgöze Watershed, Turkey
by Serkan Şenocak and Reşat Acar
Water 2026, 18(3), 335; https://doi.org/10.3390/w18030335 - 29 Jan 2026
Viewed by 119
Abstract
Accurate snowmelt runoff prediction is critical for water resource management in mountainous regions where seasonal snowpack constitutes the dominant water supply. This study demonstrates operational application of the degree-day-based Snowmelt Runoff Model (SRM) integrated with Geographic Information Systems (GIS) and multi-platform remote sensing [...] Read more.
Accurate snowmelt runoff prediction is critical for water resource management in mountainous regions where seasonal snowpack constitutes the dominant water supply. This study demonstrates operational application of the degree-day-based Snowmelt Runoff Model (SRM) integrated with Geographic Information Systems (GIS) and multi-platform remote sensing for discharge forecasting in the Kirkgoze Basin (242.7 km2, 1823–3140 m elevation), Eastern Anatolia, Turkey. Three automatic weather stations spanning 872 m elevation gradient provided meteorological forcing, while MODIS MOD10A2 8-day composite products supplied operational snow cover observations validated against Landsat-5/7 (30 m resolution, 87.3% agreement, Kappa = 0.73) and synthetic aperture radar imagery (RADARSAT-1 C-band, ALOS-PALSAR L-band). Uncalibrated model performance was modest (R2 = 0.384, volumetric difference = 29.78%), demonstrating necessity of site-specific calibration. Systematic adjustment of snowmelt and rainfall runoff coefficients yielded excellent calibrated performance for 2009 melt season: R2 = 0.8606, correlation coefficient R = 0.927, Nash–Sutcliffe efficiency = 0.854, and volumetric difference = 3.35%. Enhanced temperature lapse rate (0.75 °C/100 m vs. standard 0.65 °C/100 m) reflected severe continental climate. Multiple linear regression analysis identified temperature, snow-covered area, snow water equivalent, and calibrated runoff coefficients as significant discharge predictors (R2 = 0.881). Results confirm SRM’s operational feasibility for seasonal forecasting and flood warning in data-scarce snow-dominated basins, with modest requirements (daily temperature, precipitation, and satellite snow cover) aligning with operational monitoring capabilities. The methodology provides a transferable framework for regional water resource management in climatically vulnerable mountain environments where snowmelt supports agriculture, hydropower, and municipal supply. Full article
Show Figures

Graphical abstract

32 pages, 33186 KB  
Article
Satellite Mapping of 30 m Time-Series Forest Distribution in Hunan, China, Based on a 25-Year Multispectral Imagery and Environmental Features
by Rong Liu, Gui Zhang, Aibin Chen and Jizheng Yi
Remote Sens. 2026, 18(3), 426; https://doi.org/10.3390/rs18030426 - 28 Jan 2026
Viewed by 154
Abstract
Forests play a critical role in Earth’s ecosystem, yet monitoring their long-term, large-scale spatiotemporal dynamics remains a significant challenge. This study addresses this gap by developing an integrated framework to map annual forest distribution in Hunan, China, from 1999 to 2023 at a [...] Read more.
Forests play a critical role in Earth’s ecosystem, yet monitoring their long-term, large-scale spatiotemporal dynamics remains a significant challenge. This study addresses this gap by developing an integrated framework to map annual forest distribution in Hunan, China, from 1999 to 2023 at a high resolution of 30 m. Our methodology combines multi-temporal satellite imagery (Landsat 5/7/8/9) with key environmental variables, including digital elevation models, temperature, and precipitation data. To efficiently reconstruct historical maps, training samples were automatically derived from a reliable 2023 forest product using a transferable logic, drastically reducing manual annotation effort. Comprehensive evaluations demonstrate the robustness of our approach: (1) Qualitative analyses reveal superior spatial detail and temporal consistency compared to existing global forest maps. (2) Rigorous quantitative validation based on ∼9000 reference samples confirms high and stable accuracy (∼92.4%) and recall (∼91.9%) over the 24-year period. (3) Furthermore, comparisons with government forestry statistics show strong agreement, validating the practical utility of the data. This work provides a valuable, accurate long-term dataset that forms a scientific basis for critical downstream applications such as ecological conservation planning, carbon stock assessment, and climate change research, thereby highlighting the transformative potential of multi-source data fusion and automated methods in advancing geospatial monitoring. Full article
Show Figures

Figure 1

40 pages, 47197 KB  
Article
Remote Sensing and GIS Assessment of Drought Dynamics in the Ukrina River Basin, Bosnia and Herzegovina
by Luka Sabljić, Davorin Bajić, Slobodan B. Marković, Dragutin Adžić, Velibor Spalevic, Paul Sestraș, Dragoslav Pavić and Tin Lukić
Atmosphere 2026, 17(2), 124; https://doi.org/10.3390/atmos17020124 - 24 Jan 2026
Viewed by 608
Abstract
The subject of this research is the exploration of the potential of remote sensing and Geographic Information Systems (GIS) for basin-scale spatio-temporal monitoring of drought and its impacts in the Ukrina River Basin, Bosnia and Herzegovina (BH), during the last decade (2015–2024). The [...] Read more.
The subject of this research is the exploration of the potential of remote sensing and Geographic Information Systems (GIS) for basin-scale spatio-temporal monitoring of drought and its impacts in the Ukrina River Basin, Bosnia and Herzegovina (BH), during the last decade (2015–2024). The aim is to integrate meteorological, hydrological, agricultural, and socio-economic drought signals and to delineate areas of long-term drought exposure. Meteorological drought was evaluated using CHIRPS precipitation and the Standardized Precipitation Index (SPI) calculated at 1-, 3-, 6-, and 12- month accumulation scales using Gamma fitting and a fixed long term reference period; hydrological drought was examined using available water-level records complemented by the Standardized Water Level Index (SWLI) and supported by correspondence with standardized ERA5-Land runoff anomalies; agricultural drought was mapped using remote sensing indices—the Temperature Condition Index (TCI), Vegetation Condition Index (VCI), and Vegetation Health Index (VHI)—calculated from MODIS satellite data; and socio-economic effects were assessed using municipal crop-production statistics (2015–2019). The results indicate that drought conditions were most pronounced in 2015, 2017, 2021, and especially 2022, showing consistent agreement between precipitation deficits, hydrological responses, and vegetation stress, while 2016, 2018–2020, 2023, and 2024 were generally more favorable. As a key novelty, a persistent drought-prone zone was delineated by intersecting drought-affected areas across major episodes, providing a basin-scale identification of chronic drought hotspots for a river basin in BH. The persistent zone covers 40.02% of the basin and spans nine cities and municipalities, with >93% located in Prnjavor, Derventa, Stanari, and Teslić. Hotspots are concentrated mainly in lowlands below 400 m a.s.l., with a statistically significant concentration across lower elevation classes, indicating higher long-term exposure in the central and northern valley sectors, and land use overlay further highlights high relative exposure of productive land. Overall, the integrated remote sensing and GIS framework strengthens drought monitoring by providing spatially explicit and repeatable evidence to support targeted adaptation planning and drought-risk management. Full article
Show Figures

Graphical abstract

18 pages, 6511 KB  
Article
Evaluation of the CHIRPS Database in Association with Major Hurricanes in Mexico
by José P. Vega-Camarena, Luis Brito-Castillo, Luis M. Farfán, David Avalos-Cueva, Emilio Palacios-Hernández and Cesar O. Monzón
Atmosphere 2026, 17(2), 118; https://doi.org/10.3390/atmos17020118 - 23 Jan 2026
Viewed by 442
Abstract
Due to the lack of in situ observations in mountainous locations, the use of remote sensing data is an alternative to analyze rainfall distribution patterns during the passage of major hurricanes. In this work, gridded precipitation data from the CHIRPS database are evaluated [...] Read more.
Due to the lack of in situ observations in mountainous locations, the use of remote sensing data is an alternative to analyze rainfall distribution patterns during the passage of major hurricanes. In this work, gridded precipitation data from the CHIRPS database are evaluated by comparing with observations from weather stations during the passage of category 3–5 hurricanes for the period 1980–2024. The comparison between estimated and observed values is performed by regression analysis and the use of K and K0 coefficients. An advantage of using K-ratio and K0-ratio is the identification of overestimated or underestimated precipitation in the pixel records. The distribution of daily precipitation helped in a more concise way to better understand how well CHIRPS reproduced the observed rainfall patterns. Results show that correlations between observations and database estimates are in the range of 0.40–0.76, for eastern Pacific hurricanes, and 0.49–0.78 for Atlantic hurricanes, all of which are statistically significant; however, these results do not imply congruence between observations and estimates since CHIRPS fails to adequately reproduce the position of the highest precipitation core. In the initial stages of a tropical cyclone, near-zero correlations between observations and estimates indicate that CHIRPS is not able to reproduce the observed rainfall. It is recommended to use CHIRPS with caution when the focus is on analyzing rainfall patterns during the development of intense tropical cyclones. Full article
(This article belongs to the Section Atmospheric Techniques, Instruments, and Modeling)
Show Figures

Figure 1

21 pages, 16190 KB  
Article
Comparative Analysis of the Accuracy of Temperature and Precipitation Data in Brazil
by P. C. M. de Menezes, D. C. de Souza, M. G. Tavares and R. A. G. Marques
Meteorology 2026, 5(1), 3; https://doi.org/10.3390/meteorology5010003 - 20 Jan 2026
Viewed by 786
Abstract
Accurate air temperature and precipitation data are fundamental for environmental and socioeconomic applications in Brazil. However, the observational network managed by the National Institute of Meteorology, suffers from spatial gaps, necessitating the use of gridded datasets. This study provides a rigorous comparative assessment [...] Read more.
Accurate air temperature and precipitation data are fundamental for environmental and socioeconomic applications in Brazil. However, the observational network managed by the National Institute of Meteorology, suffers from spatial gaps, necessitating the use of gridded datasets. This study provides a rigorous comparative assessment of three prominent gridded products—the station-interpolated dataset of Brazilian Daily Weather Gridded Data (BR-DWGD), the satellite-gauge blended product MERGE, and the ERA5-Land Reanalysis dataset—against station data. We evaluate the performance of the institutionally supported MERGE and ERA5-Land products as viable alternatives to the interpolated dataset. Daily data for maximum temperature (Tmax), minimum temperature (Tmin), and total precipitation were selected from 1994 to 2024 and analyzed using statistical metrics. The interpolated product showed the highest fidelity to observations, especially for temperature. For precipitation, the MERGE product demonstrated the best performance, achieving higher correlation and lower error than both the interpolated dataset and the poorly performing ERA5-Land. For temperature, ERA5-Land proved to be an excellent alternative for minimum temperature, but exhibited significant regional biases for maximum temperature and a tendency to underestimate heat extremes. We conclude that MERGE is the most robust alternative for precipitation studies in Brazil. ERA5-Land is a highly reliable source for minimum temperature, but its direct use for maximum temperature requires caution. Full article
Show Figures

Figure 1

21 pages, 5182 KB  
Article
A New Joint Retrieval of Soil Moisture and Vegetation Optical Depth from Spaceborne GNSS-R Observations
by Mina Rahmani, Jamal Asgari and Alireza Amiri-Simkooei
Remote Sens. 2026, 18(2), 353; https://doi.org/10.3390/rs18020353 - 20 Jan 2026
Viewed by 305
Abstract
Accurate estimation of soil moisture (SM) and vegetation optical depth (VOD) is essential for understanding land–atmosphere interactions, climate dynamics, and ecosystem processes. While passive microwave missions such as SMAP and SMOS provide reliable global SM and VOD products, they are limited by coarse [...] Read more.
Accurate estimation of soil moisture (SM) and vegetation optical depth (VOD) is essential for understanding land–atmosphere interactions, climate dynamics, and ecosystem processes. While passive microwave missions such as SMAP and SMOS provide reliable global SM and VOD products, they are limited by coarse spatial resolution and infrequent revisit times. Global Navigation Satellite System Reflectometry (GNSS-R) observations, particularly from the Cyclone GNSS (CYGNSS) mission, offer an improved spatiotemporal sampling rate. This study presents a deep learning framework based on an artificial neural network (ANN) for the simultaneous retrieval of SM and VOD from CYGNSS observations across the contiguous United States (CONUS). Ancillary input features, including specular point latitude and longitude (for spatial context), CYGNSS reflectivity and incidence angle (for surface signal characterization), total precipitation and soil temperature (for hydrological context), and soil clay content and surface roughness (for soil properties), are used to improve the estimates. Results demonstrate strong agreement between the predicted and reference values (SMAP SM and SMOS VOD), achieving correlation coefficients of R = 0.83 and 0.89 and RMSE values of 0.063 m3/m3 and 0.088 for SM and VOD, respectively. Temporal analyses show that the ANN accurately reproduces both seasonal and daily variations in SMAP SM and SMOS VOD (R ≈ 0.89). Moreover, the predicted SM and VOD maps show strong agreement with the reference SM and VOD maps (R ≈ 0.93). Additionally, ANN-derived VOD demonstrates strong consistency with above-ground biomass (R ≈ 0.77), canopy height (R ≈ 0.95), leaf area index (R = 96), and vegetation water content (R ≈ 0.90). These results demonstrate the generalizability of the approach and its applicability to broader environmental sensing tasks. Full article
Show Figures

Figure 1

23 pages, 3795 KB  
Article
Bayesian Model Averaging Method for Merging Multiple Precipitation Products over the Arid Region of Northwest China
by Yong Yang, Rensheng Chen, Xinyu Lu, Weiyi Mao, Zhangwen Liu and Xueliang Wang
Atmosphere 2026, 17(1), 94; https://doi.org/10.3390/atmos17010094 - 16 Jan 2026
Viewed by 188
Abstract
Accurate precipitation estimation is essential for hydrological modeling and water resource management in arid regions; however, complex terrain and sparse meteorological station networks introduce substantial uncertainties into gridded precipitation datasets. This study evaluates the performance of nine widely used precipitation products in the [...] Read more.
Accurate precipitation estimation is essential for hydrological modeling and water resource management in arid regions; however, complex terrain and sparse meteorological station networks introduce substantial uncertainties into gridded precipitation datasets. This study evaluates the performance of nine widely used precipitation products in the arid region of Northwest China (ARNC) at both the meteorological station scale and the sub-basin scale, and applies the Bayesian Model Averaging (BMA) approach to merge multi-source precipitation estimates. The results reveal pronounced spatial heterogeneity and significant differences in performance among datasets, with the Integrated Multi-Satellite Retrievals for the Global Precipitation Measurement mission performing best at the station scale and the Famine Early Warning Systems Network Land Data Assimilation System performing best at the sub-basin scale. Compared with individual products, the BMA-merged precipitation demonstrates substantial improvements at both scales, providing higher coefficients of determination and agreement indices, and lower relative mean absolute error and relative root mean square error, indicating enhanced accuracy and robustness. The BMA-merged precipitation product generally exhibits superior and more spatially consistent performance than the individual datasets across the ARNC, thereby providing a more reliable basis for regional hydrological and climate-related applications. The merged dataset shows that the mean annual precipitation in the ARNC during 2000–2024 is approximately 230.4 mm, exhibiting a statistically significant increasing trend of 1.4 mm per year, with the strongest increases occurring in the Tianshan and Qilian Mountains. This study provides a reliable foundation for hydrological modeling and climate-change assessments in data-limited arid environments. Full article
(This article belongs to the Section Meteorology)
Show Figures

Figure 1

22 pages, 12869 KB  
Article
Global Atmospheric Pollution During the Pandemic Period (COVID-19)
by Débora Souza Alvim, Cássio Aurélio Suski, Dirceu Luís Herdies, Caio Fernando Fontana, Eliza Miranda de Toledo, Bushra Khalid, Gabriel Oyerinde, Andre Luiz dos Reis, Simone Marilene Sievert da Costa Coelho, Monica Tais Siqueira D’Amelio Felippe and Mauricio Lamano
Atmosphere 2026, 17(1), 89; https://doi.org/10.3390/atmos17010089 - 15 Jan 2026
Viewed by 249
Abstract
The COVID-19 pandemic led to an unprecedented slowdown in global economic and transportation activities, offering a unique opportunity to assess the relationship between human activity and atmospheric pollution. This study analyzes global variations in major air pollutants and meteorological conditions during the pandemic [...] Read more.
The COVID-19 pandemic led to an unprecedented slowdown in global economic and transportation activities, offering a unique opportunity to assess the relationship between human activity and atmospheric pollution. This study analyzes global variations in major air pollutants and meteorological conditions during the pandemic period using multi-satellite and reanalysis datasets. Nitrogen dioxide (NO2) data were obtained from the OMI sensor aboard NASA’s Aura satellite, while carbon monoxide (CO) observations were taken from the MOPITT instrument on Terra. Reanalysis products from MERRA-2 were used to assess CO, sulfur dioxide (SO2), black carbon (BC), organic carbon (OC), and key meteorological variables, including temperature, precipitation, evaporation, wind speed, and direction. Average concentrations of pollutants for April, May, and June 2020, representing the lockdown phase, were compared with the average values of the same months during 2017–2019, representing pre-pandemic conditions. The difference between these multi-year means was used to quantify spatial changes in pollutant levels. Results reveal widespread reductions in NO2, CO, SO2, and BC concentrations across major industrial and urban regions worldwide, consistent with decreased anthropogenic activity during lockdowns. Meteorological analysis indicates that the observed reductions were not primarily driven by short-term weather variability, confirming that the declines are largely attributable to reduced emissions. Unlike most previous studies, which examined local or regional air-quality changes, this work provides a consistent global-scale assessment using harmonized multi-sensor datasets and uniform temporal baselines. These findings highlight the strong influence of human activities on atmospheric composition and demonstrate how large-scale behavioral and economic shifts can rapidly alter air quality on a global scale. The results also provide valuable baseline information for understanding emission–climate interactions and for guiding post-pandemic strategies aimed at sustainable air-quality management. Full article
Show Figures

Figure 1

31 pages, 2310 KB  
Article
Deep Learning-Based Multi-Source Precipitation Fusion and Its Utility for Hydrological Simulation
by Zihao Huang, Changbo Jiang, Yuannan Long, Shixiong Yan, Yue Qi, Munan Xu and Tao Xiang
Atmosphere 2026, 17(1), 70; https://doi.org/10.3390/atmos17010070 - 8 Jan 2026
Viewed by 310
Abstract
High-resolution satellite precipitation products are key inputs for basin-scale rainfall estimation, but they still exhibit substantial biases in complex terrain and during heavy rainfall. Recent multi-source fusion studies have shown that simply stacking multiple same-type microwave satellite products yields only limited additional gains [...] Read more.
High-resolution satellite precipitation products are key inputs for basin-scale rainfall estimation, but they still exhibit substantial biases in complex terrain and during heavy rainfall. Recent multi-source fusion studies have shown that simply stacking multiple same-type microwave satellite products yields only limited additional gains for high-quality precipitation estimates and may even introduce local degradation, suggesting that targeted correction of a single, widely validated high-quality microwave product (such as IMERG) is a more rational strategy. Focusing on the mountainous, gauge-sparse Lüshui River basin with pronounced relief and frequent heavy rainfall, we use GPM IMERG V07 as the primary microwave product and incorporate CHIRPS, ERA5 evaporation, and a digital elevation model as auxiliary inputs to build a daily attention-enhanced CNN–LSTM (A-CNN–LSTM) bias-correction framework. Under a unified IMERG-based setting, we compare three network architectures—LSTM, CNN–LSTM, and A-CNN–LSTM—and test three input configurations (single-source IMERG, single-source CHIRPS, and combined IMERG + CHIRPS) to jointly evaluate impacts on corrected precipitation and SWAT runoff simulations. The IMERG-driven A-CNN–LSTM markedly reduces daily root-mean-square error and improves the intensity and timing of 10–50 mm·d−1 rainfall events; the single-source IMERG configuration also outperforms CHIRPS-including multi-source setups in terms of correlation, RMSE, and performance across rainfall-intensity classes. When the corrected IMERG product is used to force SWAT, daily Nash-Sutcliffe Efficiency increases from about 0.71/0.70 to 0.85/0.79 in the calibration/validation periods, and RMSE decreases from 87.92 to 60.98 m3 s−1, while flood peaks and timing closely match simulations driven by gauge-interpolated precipitation. Overall, the results demonstrate that, in gauge-sparse mountainous basins, correcting a single high-quality, widely validated microwave product with a small set of heterogeneous covariates is more effective for improving precipitation inputs and their hydrological utility than simply aggregating multiple same-type satellite products. Full article
(This article belongs to the Section Atmospheric Techniques, Instruments, and Modeling)
Show Figures

Figure 1

25 pages, 6511 KB  
Article
Evaluating the Hydrological Applicability of Satellite Precipitation Products Using a Differentiable, Physics-Based Hydrological Model in the Xiangjiang River Basin, China
by Shixiong Yan, Changbo Jiang, Yuannan Long and Xinkui Wang
Remote Sens. 2026, 18(1), 137; https://doi.org/10.3390/rs18010137 - 31 Dec 2025
Viewed by 499
Abstract
Satellite precipitation products serve as valuable global data sources for hydrological modeling, yet their applicability across different hydrological models remains insufficiently explored. The distributed physics-informed deep learning model (DPDL), as a representative of emerging differentiable, physics-based hydrological models, requires a systematic evaluation of [...] Read more.
Satellite precipitation products serve as valuable global data sources for hydrological modeling, yet their applicability across different hydrological models remains insufficiently explored. The distributed physics-informed deep learning model (DPDL), as a representative of emerging differentiable, physics-based hydrological models, requires a systematic evaluation of the suitability of multi-source precipitation products within its modeling framework. This study focuses on the Xiangjiang River Basin in southern China, where both a DPDL model and a Soil and Water Assessment Tool (SWAT) model were constructed. In addition, two model training strategies were designed: S1 (fixed parameters) and S2 (product-specific recalibration). Multiple precipitation products were used to drive both hydrological models, and their streamflow simulation performance was evaluated under different training schemes to analyze the compatibility between precipitation products and hydrological modeling frameworks. The results show that: (1) In the Xiangjiang River Basin of southern China, GSMaP demonstrated the best overall performance with a Critical Success Index of 0.70 and a correlation coefficient (Corr) of 0.79; IMERG-F showed acceptable accuracy with a Corr of 0.75 but had a relatively high false alarm rate (FAR) of 0.32; while CMORPH exhibited the most significant systematic underestimation with a relative bias (RBIAS) of −8.48%. (2) The DPDL model more effectively captured watershed hydrological dynamics, achieving a validation period correlation coefficient of 0.82 and a Nash–Sutcliffe efficiency (NSE) of 0.79, outperforming the SWAT model. However, the DPDL model showed a higher RBIAS of +16.69% during the validation period, along with greater overestimation fluctuations during dry periods, revealing inherent limitations of differentiable hydrological models when training samples are limited. (3) The S2 strategy (product-specific recalibration) improved the streamflow simulation accuracy for most precipitation products, with the maximum increase in the NSE coefficient reaching 15.8%. (4) The hydrological utility of satellite products is jointly determined by model architecture and training strategy. For the DPDL model, IMERG-F demonstrated the best overall robustness, while GSMaP achieved the highest accuracy under the S2 strategy. This study aims to provide theoretical support for optimizing differentiable hydrological modeling and to offer new perspectives for evaluating the hydrological utility of satellite precipitation products. Full article
Show Figures

Graphical abstract

20 pages, 16452 KB  
Article
Thinning Methods and Assimilation Applications for FY-4B/GIIRS Observations
by Shuhan Yao and Li Guan
Remote Sens. 2026, 18(1), 119; https://doi.org/10.3390/rs18010119 - 29 Dec 2025
Viewed by 311
Abstract
FY-4B/GIIRS (Geostationary Interferometric Infrared Sounder) is a new-generation infrared hyperspectral atmospheric vertical sounder onboard a Chinese geostationary meteorological satellite. Its observations with high spatial and temporal resolution play an important role in high-impact weather forecasts. The GIIRS data assimilation module is developed in [...] Read more.
FY-4B/GIIRS (Geostationary Interferometric Infrared Sounder) is a new-generation infrared hyperspectral atmospheric vertical sounder onboard a Chinese geostationary meteorological satellite. Its observations with high spatial and temporal resolution play an important role in high-impact weather forecasts. The GIIRS data assimilation module is developed in the GSI (Gridpoint Statistical Interpolation) assimilation system. Super Typhoon Doksuri in 2023 (No. 5) is taken as an example based on this module in this paper. Firstly, the sensitivity of analysis fields to five data thinning schemes at four daily assimilation times from 22 to 28 July 2023 is analyzed: the wavelet transform modulus maxima (WTMM) scheme, the grid-distance schemes of 30 km, 60 km, and 120 km in the GSI assimilation system, and a center field of view (FOV) scheme. Taking the ERA5 reanalysis fields as true, it is found that the mean error of temperature and humidity analysis for the WTMM scheme is the smallest, followed by the 120 km thinning scheme. Subsequently, a 72 h cycling assimilation and forecast experiments are conducted for the WTMM and 120 km thinning schemes. It is found that the root mean square error (RMSE) profiles of temperature and humidity forecast fields with no thinning scheme are the largest at all pressure levels and forecast times. The temperature forecast error decreases after data thinning at altitudes below 300 hPa. Since the WTMM scheme has assimilated more observations than the 120 km scheme, the accuracy of its temperature and humidity forecast fields gradually increases with the forecast time. In terms of typhoon track and intensity forecast, the typhoon intensities are underestimated before landfall and overestimated after landfall for all thinning schemes. As the forecast time increases, the advantage of the WTMM is increasingly evident, with both the forecast intensity and track being closest to the actual observations. Similarly, the forecasted 24 h accumulated precipitation over land is overestimated after typhoon landfall compared with the IMERG Final precipitation products. The location of precipitation simulated by no thinning scheme is more westward overall. The forecast accuracy of the locations and intensities of severe precipitation cores and the typhoon’s outer spiral rain bands over the South China Sea has been improved after thinning. The Equitable Threat Scores (ETSs) of the WTMM thinning scheme are the highest for most precipitation intensity thresholds. Full article
Show Figures

Figure 1

Back to TopTop