Sign in to use this feature.

Years

Between: -

Subjects

remove_circle_outline
remove_circle_outline
remove_circle_outline
remove_circle_outline
remove_circle_outline

Journals

Article Types

Countries / Regions

Search Results (18)

Search Parameters:
Keywords = saccharide sensor

Order results
Result details
Results per page
Select all
Export citation of selected articles as:
15 pages, 2459 KB  
Article
Conductometric Chemosensor for Saccharides Based on Thin Films of Poly(3-Thienylboronic) Acid: Measurements of Transversal Resistance
by Berfinsu Kaya, Yulia Efremenko and Vladimir M. Mirsky
Biosensors 2025, 15(10), 679; https://doi.org/10.3390/bios15100679 - 9 Oct 2025
Viewed by 663
Abstract
Poly(3-thienylboronic acid) (PThBA) has recently been suggested as a conducting polymer with affinity for saccharides. In this study, thin films of this compound were deposited onto gold electrodes. The system obtained was studied as a possible chemical sensor. The measurements were performed by [...] Read more.
Poly(3-thienylboronic acid) (PThBA) has recently been suggested as a conducting polymer with affinity for saccharides. In this study, thin films of this compound were deposited onto gold electrodes. The system obtained was studied as a possible chemical sensor. The measurements were performed by impedance spectroscopy using potassium ferro/ferricyanide as a redox mediator. The thickness of the polymer and the deposition of the adhesive sublayer were optimized to achieve a compromise between the blocking of defects in the polymer layer and the unnecessary increase in the internal resistance of this conductometric sensor. A comparative study of the influence of fructose, glucose, and sorbitol on transversal polymer resistance was conducted. The binding constants for these saccharides were extracted from the concentration dependencies of sensor conductance. Among them, sorbitol showed the highest affinity with a binding constant up to ~15,000 L·mol−1, followed by fructose (~8700 L·mol−1) and glucose (~4500 L·mol−1). In order to exclude the contribution of the analyte tautomers on the obtained binding constants, measurements of ethylene glycol were also performed. The effects of pH and the redox state of PThBA on its affinity properties were studied, revealing higher affinities at alkaline pH and in oxidized state of the chemosensitive polymer. The developed system has the capacity to be applied in chemical sensors and virtual sensor arrays with electrical affinity control. Full article
Show Figures

Graphical abstract

8 pages, 2146 KB  
Communication
Simple Boronic Acid-Appended Sensor Array for Saccharides by Linear Discriminant Analysis
by Guangjian Liu, Zi Long and Guowen Xing
Processes 2025, 13(8), 2323; https://doi.org/10.3390/pr13082323 - 22 Jul 2025
Viewed by 1030
Abstract
Saccharides play important roles in human health and life. However, detecting and differentiating the saccharide types using one probe is difficult even under optimized conditions due to the similar structures of different saccharides. In this study, only one sensor was used to construct [...] Read more.
Saccharides play important roles in human health and life. However, detecting and differentiating the saccharide types using one probe is difficult even under optimized conditions due to the similar structures of different saccharides. In this study, only one sensor was used to construct the array for the discrimination of different types of saccharides on the basis of a dialdehyde-diboronic acid-functionalized tetraphenylethene (TPE-DABA) under different pH conditions. By integrating the fluorescence responses of the probe with linear discriminant analysis (LDA), 12 kinds of saccharides and the polyhydroxy compound sorbitol could be distinguished and identified by as few as one sensor probe. This study provides a reference for developing more simple and effective sensor arrays for saccharides. Full article
(This article belongs to the Special Issue Synthesis, Isolation and Application of Carbohydrates)
Show Figures

Figure 1

28 pages, 8377 KB  
Review
Research Progress on Saccharide Molecule Detection Based on Nanopores
by Bohua Yin, Wanyi Xie, Shaoxi Fang, Shixuan He, Wenhao Ma, Liyuan Liang, Yajie Yin, Daming Zhou, Zuobin Wang and Deqiang Wang
Sensors 2024, 24(16), 5442; https://doi.org/10.3390/s24165442 - 22 Aug 2024
Cited by 5 | Viewed by 3468
Abstract
Saccharides, being one of the fundamental molecules of life, play essential roles in the physiological and pathological functions of cells. However, their intricate structures pose challenges for detection. Nanopore technology, with its high sensitivity and capability for single-molecule-level analysis, has revolutionized the identification [...] Read more.
Saccharides, being one of the fundamental molecules of life, play essential roles in the physiological and pathological functions of cells. However, their intricate structures pose challenges for detection. Nanopore technology, with its high sensitivity and capability for single-molecule-level analysis, has revolutionized the identification and structural analysis of saccharide molecules. This review focuses on recent advancements in nanopore technology for carbohydrate detection, presenting an array of methods that leverage the molecular complexity of saccharides. Biological nanopore techniques utilize specific protein binding or pore modifications to trigger typical resistive pulses, enabling the high-sensitivity detection of monosaccharides and oligosaccharides. In solid-state nanopore sensing, boronic acid modification and pH gating mechanisms are employed for the specific recognition and quantitative analysis of polysaccharides. The integration of artificial intelligence algorithms can further enhance the accuracy and reliability of analyses. Serving as a crucial tool in carbohydrate detection, we foresee significant potential in the application of nanopore technology for the detection of carbohydrate molecules in disease diagnosis, drug screening, and biosensing, fostering innovative progress in related research domains. Full article
Show Figures

Figure 1

16 pages, 3386 KB  
Article
Chemosensitive Properties of Electrochemically Synthesized Poly-3-Thienylboronic Acid: Conductometric Detection of Glucose and Other Diol-Containing Compounds under Electrical Affinity Control
by Yulia Efremenko and Vladimir M. Mirsky
Polymers 2024, 16(13), 1938; https://doi.org/10.3390/polym16131938 - 7 Jul 2024
Cited by 1 | Viewed by 1553
Abstract
Due to the presence of the boronic acid moieties, poly-3-thienylboronic acid has an affinity for saccharides and other diol-containing compounds. Thin films of this novel chemosensitive polymer were synthesized electrochemically on the gold surface. The adhesion of the polymer was enhanced by the [...] Read more.
Due to the presence of the boronic acid moieties, poly-3-thienylboronic acid has an affinity for saccharides and other diol-containing compounds. Thin films of this novel chemosensitive polymer were synthesized electrochemically on the gold surface. The adhesion of the polymer was enhanced by the deposition of a monomolecular layer of thiophenol. The technology was used to fabricate conductometric sensors for glucose and other diol-containing compounds. Simultaneous two- and four-electrode conductivity measurements were performed. The chemical sensitivity to sorbitol, fructose, glucose, and ethylene glycol was studied at different pH and electrode potentials, and the corresponding binding constants were obtained. Depending on the electrode potential, the reciprocal values of the binding constants of glucose to poly-3-thienylboronic acid at neutral pH are in the range of 0.2 mM–1.0 mM. The affinity for glucose has been studied in buffer solutions and in solutions containing the major components of human blood. It was shown that the presence of human serum albumin increases the affinity of poly-3-thienylboronic acid for diol-containing compounds. Full article
(This article belongs to the Special Issue Design and Characterization of Polymer-Based Electrode Materials)
Show Figures

Figure 1

19 pages, 3554 KB  
Article
Selective Voltammetric Sensor for the Simultaneous Quantification of Tartrazine and Brilliant Blue FCF
by Liliya Gimadutdinova, Guzel Ziyatdinova and Rustam Davletshin
Sensors 2023, 23(3), 1094; https://doi.org/10.3390/s23031094 - 17 Jan 2023
Cited by 22 | Viewed by 4796
Abstract
Tartrazine and brilliant blue FCF are synthetic dyes used in the food, cosmetic and pharmaceutical industries. The individual and/or simultaneous control of their concentrations is required due to dose-dependent negative health effects. Therefore, the paper presents experimental results related to the development of [...] Read more.
Tartrazine and brilliant blue FCF are synthetic dyes used in the food, cosmetic and pharmaceutical industries. The individual and/or simultaneous control of their concentrations is required due to dose-dependent negative health effects. Therefore, the paper presents experimental results related to the development of a sensing platform for the electrochemical detection of tartrazine and brilliant blue FCF based on a glassy carbon electrode (GCE) modified with MnO2 nanorods, using anodic differential pulse voltammetry. Homogeneous and stable suspensions of MnO2 nanorods have been obtained involving cetylpyridinium bromide solution as a cationic surfactant. The MnO2 nanorods-modified electrode showed a 7.9-fold increase in the electroactive surface area and a 72-fold decrease in the electron transfer resistance. The developed sensor allowed the simultaneous quantification of dyes for two linear domains: in the ranges of 0.10–2.5 and 2.5–15 μM for tartrazine and 0.25–2.5 and 2.5–15 μM for brilliant blue FCF with detection limits of 43 and 41 nM, respectively. High selectivity of the sensor response in the presence of typical interference agents (inorganic ions, saccharides, ascorbic and sorbic acids), other food dyes (riboflavin, indigo carmine, and sunset yellow), and vanillin has been achieved. The sensor has been tested by analyzing soft and isotonic sports drinks and the determined concentrations were close to those obtained involving the chromatography technique. Full article
(This article belongs to the Section Chemical Sensors)
Show Figures

Figure 1

4 pages, 1076 KB  
Editorial
Metallic Nanomaterials with Biomedical Applications
by Jiali Wang, Guo Zhao, Liya Feng and Shaowen Chen
Metals 2022, 12(12), 2133; https://doi.org/10.3390/met12122133 - 12 Dec 2022
Cited by 8 | Viewed by 3164
Abstract
Metallic nanomaterials have attracted extensive attention in various fields due to their photocatalytic, photosensitive, thermal conducting, electrical conducting and semiconducting properties. Among all these fields, metallic nanomaterials are of particular importance in biomedical sensing for the detection of different analytes, such as proteins, [...] Read more.
Metallic nanomaterials have attracted extensive attention in various fields due to their photocatalytic, photosensitive, thermal conducting, electrical conducting and semiconducting properties. Among all these fields, metallic nanomaterials are of particular importance in biomedical sensing for the detection of different analytes, such as proteins, toxins, metal ions, nucleotides, anions and saccharides. However, many problems remain to be solved, such as the synthesis method and modification of target metallic nanoparticles, inadequate sensitivity and stability in biomedical sensing and the biological toxicity brought by metallic nanomaterials. Thus, this Special Issue aims to collect research or review articles focused on electrochemical biosensing, such as metallic nanomaterial-based electrochemical sensors and biosensors, metallic oxide-modified electrodes, biological sensing based on metallic nanomaterials, metallic nanomaterial-based biological sensing devices and chemometrics for metallic nanomaterial-based biological sensing. Meanwhile, studies related to the synthesis and characterization of metallic nanomaterials are also welcome, and both experimental and theoretical studies are welcome for contribution as well. Full article
(This article belongs to the Special Issue Metallic Nanomaterials with Biomedical Applications)
Show Figures

Figure 1

7 pages, 1862 KB  
Proceeding Paper
Electrode Modified with Manganese Dioxide Nanorods for the Simultaneous Voltammetric Determination of Food Colorants
by Liliya Gimadutdinova and Guzel Ziyatdinova
Eng. Proc. 2023, 31(1), 12; https://doi.org/10.3390/ASEC2022-13837 - 9 Dec 2022
Cited by 1 | Viewed by 1365
Abstract
Synthetic colorants, in particular tartrazine and brilliant blue FCF, are widely used in food chemistry and technology although they can give negative health effects of various severities. Therefore, sensitive, selective, simple, and reliable methods for the quantification of these dyes are required. A [...] Read more.
Synthetic colorants, in particular tartrazine and brilliant blue FCF, are widely used in food chemistry and technology although they can give negative health effects of various severities. Therefore, sensitive, selective, simple, and reliable methods for the quantification of these dyes are required. A glassy carbon electrode (GCE) modified with manganese dioxide nanorods (MnO2 NR) dispersed in cetylpyridinium bromide gives a sensitive response to tartrazine and brilliant blue FCF in mixtures. Electrode modification provides a 7.9-fold increase in the electroactive surface area and a 72-fold decrease in electron transfer resistance. Simultaneous voltammetric quantification of colorants was performed in phosphate buffer pH 7.0 in differential pulse mode. The linear dynamic ranges of 0.10–2.5 and 2.5–15 µM of tartrazine and 0.25–2.5 and 2.5–15 µM of brilliant blue FCF were obtained with the limits of detection of 43 and 41 nM, respectively. The advantage of the sensor developed is the high selectivity of response in the presence of typical interferences (inorganic ions, saccharides, ascorbic and sorbic acids) and other food colorants (riboflavin, indigo carmine, and sunset yellow). The practical applicability of the approach is shown in soft and isotonic sports drinks and is validated by comparison to chromatography. Full article
(This article belongs to the Proceedings of The 3rd International Electronic Conference on Applied Sciences)
Show Figures

Figure 1

7 pages, 894 KB  
Proceeding Paper
Sensitive Voltammetric Sensor for Thymol and Carvacrol Based on the Electropolymerized Thymolphtalein
by Guzel Ziyatdinova and Natalia Chernousova
Eng. Proc. 2023, 31(1), 5; https://doi.org/10.3390/ASEC2022-13835 - 9 Dec 2022
Cited by 1 | Viewed by 1578
Abstract
Thymol and carvacrol (isopropylmethylphenols) are natural phenolic monoterpenoids with antibacterial, antifungal, insecticidal, and antioxidant properties. Their dose-dependent antioxidant effect requires control in real samples. Various modes of voltammetry have been successfully developed for thymol and carvacrol quantification. A glassy carbon electrode (GCE) modified [...] Read more.
Thymol and carvacrol (isopropylmethylphenols) are natural phenolic monoterpenoids with antibacterial, antifungal, insecticidal, and antioxidant properties. Their dose-dependent antioxidant effect requires control in real samples. Various modes of voltammetry have been successfully developed for thymol and carvacrol quantification. A glassy carbon electrode (GCE) modified with multi-walled carbon nanotubes (MWCNTs) and electropolymerized thymolphthalein has been developed for this purpose. The conditions of thymolphthalein electropolymerization (monomer concentration, number of cycles, and parameters of electrolysis) providing the best response to thymol have been found. The scanning electron microscopy and electrochemical methods confirm the effectivity of the sensor developed. In differential pulse mode, the sensor gives a linear response in the ranges of 0.050–25 and 25–100 μM for thymol and 0.10–10 and 10–100 μM for carvacrol, with detection limits of 0.037 and 0.063 μM, respectively, that are significantly improved compared to those reported earlier. The sensor developed is selective to isopropylmethylphenols in the presence of typical interferences (inorganic ions, saccharides, and ascorbic acid) and other phenolics (caffeic, chlorogenic, gallic and rosmarinic acids, quercetin, and rutin). A sensor has been applied for the evaluation of total isopropylmethylphenols in oregano and thyme spices using single sonication-assisted extraction with methanol. The voltammetric sensor data agreed well with the independent spectrophotometric quantification. Full article
(This article belongs to the Proceedings of The 3rd International Electronic Conference on Applied Sciences)
Show Figures

Figure 1

16 pages, 3514 KB  
Article
Predicting Concentrations of Mixed Sugar Solutions with a Combination of Resonant Plasmon-Enhanced SEIRA and Principal Component Analysis
by Diana Pfezer, Julian Karst, Mario Hentschel and Harald Giessen
Sensors 2022, 22(15), 5567; https://doi.org/10.3390/s22155567 - 26 Jul 2022
Cited by 5 | Viewed by 2988
Abstract
The detection and quantification of glucose concentrations in human blood or in the ocular fluid gain importance due to the increasing number of diabetes patients. A reliable determination of these low concentrations is hindered by the complex aqueous environments in which various biomolecules [...] Read more.
The detection and quantification of glucose concentrations in human blood or in the ocular fluid gain importance due to the increasing number of diabetes patients. A reliable determination of these low concentrations is hindered by the complex aqueous environments in which various biomolecules are present. In this study, we push the detection limit as well as the discriminative power of plasmonic nanoantenna-based sensors towards the physiological limit. We utilize plasmonic surface-enhanced infrared absorption spectroscopy (SEIRA) to study aqueous solutions of mixtures of up to five different physiologically relevant saccharides, namely the monosaccharides glucose, fructose, and galactose, as well as the disaccharides maltose and lactose. Resonantly tuned plasmonic nanoantennas in a reflection flow cell geometry allow us to enhance the specific vibrational fingerprints of the mono- and disaccharides. The obtained spectra are analyzed via principal component analysis (PCA) using a machine learning algorithm. The high performance of the sensor together with the strength of PCA allows us to detect concentrations of aqueous mono- and disaccharides solutions down to the physiological levels of 1 g/L. Furthermore, we demonstrate the reliable discrimination of the saccharide concentrations, as well as compositions in mixed solutions, which contain all five mono- and disaccharides simultaneously. These results underline the excellent discriminative power of plasmonic SEIRA spectroscopy in combination with the PCA. This unique combination and the insights gained will improve the detection of biomolecules in different complex environments. Full article
(This article belongs to the Section Nanosensors)
Show Figures

Figure 1

12 pages, 2326 KB  
Article
Screen-Printed Carbon Electrodes with Macroporous Copper Film for Enhanced Amperometric Sensing of Saccharides
by Radovan Metelka, Pavlína Vlasáková, Sylwia Smarzewska, Dariusz Guziejewski, Milan Vlček and Milan Sýs
Sensors 2022, 22(9), 3466; https://doi.org/10.3390/s22093466 - 2 May 2022
Cited by 9 | Viewed by 3077
Abstract
A porous layer of copper was formed on the surface of screen-printed carbon electrodes via the colloidal crystal templating technique. An aqueous suspension of monodisperse polystyrene spheres of 500 nm particle diameter was drop-casted on the carbon tracks printed on the substrate made [...] Read more.
A porous layer of copper was formed on the surface of screen-printed carbon electrodes via the colloidal crystal templating technique. An aqueous suspension of monodisperse polystyrene spheres of 500 nm particle diameter was drop-casted on the carbon tracks printed on the substrate made of alumina ceramic. After evaporation, the electrode was carefully dipped in copper plating solution for a certain time to achieve a sufficient penetration of solution within the polystyrene spheres. The metal was then electrodeposited galvanostatically over the self-assembled colloidal crystal. Finally, the polystyrene template was dissolved in toluene to expose the porous structure of copper deposit. The morphology of porous structures was investigated using scanning electron microscopy. Electroanalytical properties of porous copper film electrodes were evaluated in amperometric detection of selected saccharides, namely glucose, fructose, sucrose, and galactose. Using hydrodynamic amperometry in stirred alkaline solution, a current response at +0.6 V vs. Ag/AgCl was recorded after addition of the selected saccharide. These saccharides could be quantified in two linear ranges (0.2–1.0 μmol L−1 and 4.0–100 μmol L−1) with detection limits of 0.1 μmol L−1 glucose, 0.03 μmol L−1 fructose, and 0.05 μmol L−1 sucrose or galactose. In addition, analytical performance of porous copper electrodes was ascertained and compared to that of copper film screen-printed carbon electrodes, prepared ex-situ by the galvanostatic deposition of metal in the plating solution. After calculating the current densities with respect to the geometric area of working electrodes, the porous electrodes exhibited much higher sensitivity to changes in concentration of analytes, presumably due to the larger surface of the porous copper deposit. In the future, they could be incorporated in detectors of flow injection systems due to their long-term mechanical stability. Full article
(This article belongs to the Special Issue Screen-Printed Electrochemical Sensors and Their Applications)
Show Figures

Figure 1

15 pages, 4479 KB  
Article
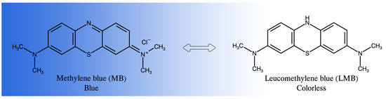
Evaluation of Electrochromic Properties of Polypyrrole/Poly(Methylene Blue) Layer Doped by Polysaccharides
by Vilma Ratautaite, Raimonda Boguzaite, Migle Beatrice Mickeviciute, Lina Mikoliunaite, Urte Samukaite-Bubniene, Arunas Ramanavicius and Almira Ramanaviciene
Sensors 2022, 22(1), 232; https://doi.org/10.3390/s22010232 - 29 Dec 2021
Cited by 19 | Viewed by 3964
Abstract
Polypyrrole (Ppy) and poly(methylene blue) (PMB) heterostructure (Ppy-PMB) was electrochemically formed on the indium tin oxide (ITO) coated glass slides, which served as working electrodes. For electropolymerization, a solution containing pyrrole, methylene blue, and a saccharide (lactose, sucrose, or heparin) that served as [...] Read more.
Polypyrrole (Ppy) and poly(methylene blue) (PMB) heterostructure (Ppy-PMB) was electrochemically formed on the indium tin oxide (ITO) coated glass slides, which served as working electrodes. For electropolymerization, a solution containing pyrrole, methylene blue, and a saccharide (lactose, sucrose, or heparin) that served as dopant was used. The aim of this study was to compare the effect of the saccharides (lactose, sucrose, and heparin) on the electrochromic properties of the Ppy-PMB layer. AFM and SEM have been used for the analysis of the surface dominant features of the Ppy-PMB layers. From these images, it was concluded that the saccharides used in this study have a moderate effect on the surface morphology. Electrochromic properties were analyzed with respect to the changes of absorbance of the layer at two wavelengths (668 nm and 750 nm) by changing the pH of the surrounding solution and the potential between +0.8 V and −0.8 V. It was demonstrated that the highest absorbance changes are characteristic for all layers in the acidic media. Meanwhile, the absorbance changes of the layers were decreased in the more alkaline media. It was determined that the Ppy-PMB layers with heparin as a dopant were more mechanically stable in comparison to the layers doped with lactose and sucrose. Therefore, the Ppy-PMB layer doped with heparin was selected for the further experiment and it was applied in the design of electrochromic sensors for the determination of three xanthine derivatives: caffeine, theobromine, and theophylline. A linear relationship of ΔA (∆A = A+0.8VA−0.8V) vs. concentration was determined for all three xanthine derivatives studied. The largest change in optical absorption was observed in the case of theophylline determination. Full article
(This article belongs to the Section Chemical Sensors)
Show Figures

Figure 1

13 pages, 3289 KB  
Article
Cerium(IV) and Iron(III) Oxides Nanoparticles Based Voltammetric Sensor for the Sensitive and Selective Determination of Lipoic Acid
by Guzel Ziyatdinova and Liliya Gimadutdinova
Sensors 2021, 21(22), 7639; https://doi.org/10.3390/s21227639 - 17 Nov 2021
Cited by 16 | Viewed by 3018
Abstract
A novel voltammetric sensor based on CeO2·Fe2O3 nanoparticles (NPs) has been developed for the determination of lipoic acid, playing an essential role in aerobic metabolism in the living organism. Sensor surface modification provides a 5.6-fold increase of the [...] Read more.
A novel voltammetric sensor based on CeO2·Fe2O3 nanoparticles (NPs) has been developed for the determination of lipoic acid, playing an essential role in aerobic metabolism in the living organism. Sensor surface modification provides a 5.6-fold increase of the lipoic acid oxidation currents and a 20 mV anodic shift of the oxidation potential. The best voltammetric parameters have been obtained for the 0.5 mg mL−1 dispersion of CeO2·Fe2O3 NPs. Scanning electron microscopy (SEM) confirms the presence of spherical NPs of 25–60 nm, and their aggregates evenly distributed on the electrode surface and formed porous coverage. This leads to the 4.4-fold increase of the effective surface area vs. bare glassy carbon electrode (GCE). The sensor shows a significantly higher electron transfer rate. Electrooxidation of lipoic acid on CeO2·Fe2O3 NPs modified GCE is an irreversible diffusion-controlled pH-independent process occurring with the participation of two electrons. The sensor gives a linear response to lipoic acid in the ranges of 0.075–7.5 and 7.5–100 μM with the detection limit of 0.053 μM. The sensor is selective towards lipoic acid in the presence of inorganic ions, ascorbic acid, saccharides, and other S-containing compounds. The sensor developed has been tested on the pharmaceutical dosage forms of lipoic acid. Full article
(This article belongs to the Special Issue Electrochemical Sensors for Determination of Biomolecules)
Show Figures

Figure 1

33 pages, 13714 KB  
Review
A Portrait of the OPE as a Biological Agent
by Chiara Maria Antonietta Gangemi, Anna Barattucci and Paola Maria Bonaccorsi
Molecules 2021, 26(11), 3088; https://doi.org/10.3390/molecules26113088 - 21 May 2021
Cited by 8 | Viewed by 4501
Abstract
Oligophenylene ethynylenes, known as OPEs, are a sequence of aromatic rings linked by triple bonds, the properties of which can be modulated by varying the length of the rigid main chain or/and the nature and position of the substituents on the aromatic units. [...] Read more.
Oligophenylene ethynylenes, known as OPEs, are a sequence of aromatic rings linked by triple bonds, the properties of which can be modulated by varying the length of the rigid main chain or/and the nature and position of the substituents on the aromatic units. They are luminescent molecules with high quantum yields and can be designed to enter a cell and act as antimicrobial and antiviral compounds, as biocompatible fluorescent probes directed towards target organelles in living cells, as labelling agents, as selective sensors for the detection of fibrillar and prefibrillar amyloid in the proteic field and in a fluorescence turn-on system for the detection of saccharides, as photosensitizers in photodynamic therapy (due to their capacity to highly induce toxicity after light activation), and as drug delivery systems. The antibacterial properties of OPEs have been the most studied against very popular and resistant pathogens, and in this paper the achievements of these studies are reviewed, together with almost all the other roles held by such oligomers. In the recent decade, their antifungal and antiviral effects have attracted the attention of researchers who believe OPEs to be possible biocides of the future. The review describes, for instance, the preliminary results obtained with OPEs against severe acute respiratory syndrome coronavirus 2, the virus responsible for the COVID-19 pandemic. Full article
(This article belongs to the Special Issue Photoactive Organic Molecules in the Biological Field)
Show Figures

Graphical abstract

19 pages, 4397 KB  
Review
Click Chemistry Enabling Covalent and Non-Covalent Modifications of Graphene with (Poly)saccharides
by Hu Li and Raffaello Papadakis
Polymers 2021, 13(1), 142; https://doi.org/10.3390/polym13010142 - 31 Dec 2020
Cited by 25 | Viewed by 6725
Abstract
Graphene is a material with outstanding properties and numerous potential applications in a wide range of research and technology areas, spanning from electronics, energy materials, sensors, and actuators to life-science and many more. However, the insolubility and poor dispersibility of graphene are two [...] Read more.
Graphene is a material with outstanding properties and numerous potential applications in a wide range of research and technology areas, spanning from electronics, energy materials, sensors, and actuators to life-science and many more. However, the insolubility and poor dispersibility of graphene are two major problems hampering its use in certain applications. Tethering mono-, di-, or even poly-saccharides on graphene through click-chemistry is gaining more and more attention as a key modification approach leading to new graphene-based materials (GBM) with improved hydrophilicity and substantial dispersibility in polar solvents, e.g., water. The attachment of (poly)saccharides on graphene further renders the final GBMs biocompatible and could open new routes to novel biomedical and environmental applications. In this review, recent modifications of graphene and other carbon rich materials (CRMs) through click chemistry are reviewed. Full article
(This article belongs to the Special Issue ‘Click’ Chemistry and Polymers)
Show Figures

Graphical abstract

14 pages, 3181 KB  
Communication
Electrochemical Oxidation of Monosaccharides at Nanoporous Gold with Controlled Atomic Surface Orientation and Non-Enzymatic Galactose Sensing
by Yasuhiro Mie, Shizuka Katagai and Masiki Ikegami
Sensors 2020, 20(19), 5632; https://doi.org/10.3390/s20195632 - 1 Oct 2020
Cited by 11 | Viewed by 3859
Abstract
Non-enzymatic saccharide sensors are of great interest in diagnostics, but their non-selectivity limits their practical diagnostic abilities. In this study, we investigated the electrochemical oxidation of monosaccharides at nanoporous gold (NPG) catalysts with different contributions of surface crystallographic orientations. Fructose elicited no clear [...] Read more.
Non-enzymatic saccharide sensors are of great interest in diagnostics, but their non-selectivity limits their practical diagnostic abilities. In this study, we investigated the electrochemical oxidation of monosaccharides at nanoporous gold (NPG) catalysts with different contributions of surface crystallographic orientations. Fructose elicited no clear electrochemical response, but glucose, galactose, and mannose produced clear oxidative current. The onset potentials for oxidation of these saccharides depended on the surface atomic structure of the NPG. The oxidation potential was approximately 100 mV less positive at the Au(100)-enhanced NPG than at the Au(111)-enhanced NPG. Furthermore, the voltammetric responses significantly differed among the saccharides. Galactose was oxidized at less positive potential and exhibited a higher current response than the other saccharides. This tendency was enhanced in the presence of chloride ions. These features enabled the selective and sensitive detection of galactose at an NPG electrode without enzymes under physiological conditions. A linear range of 10 μM to 1.8 mM was obtained in the calibration plot, which was comparable to those in previously reported enzymatic galactose sensors. Thus, we demonstrated that controlling the crystallographic orientation on the nanostructured electrode surface is useful in developing electrochemical sensors. Full article
(This article belongs to the Special Issue Nanosensors for Biomedical Applications)
Show Figures

Graphical abstract

Back to TopTop