Sign in to use this feature.

Years

Between: -

Subjects

remove_circle_outline
remove_circle_outline
remove_circle_outline
remove_circle_outline
remove_circle_outline

Journals

Article Types

Countries / Regions

Search Results (17)

Search Parameters:
Keywords = rudder roll stabilization

Order results
Result details
Results per page
Select all
Export citation of selected articles as:
22 pages, 4773 KB  
Article
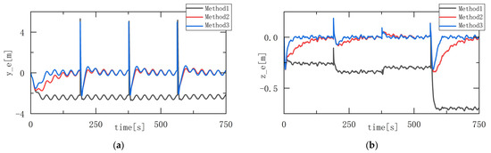
Adaptive Path Tracking Control of X-Rudder AUV Under Roll Constraints
by Yaopeng Zhong, Jianping Yuan, Lei Wan, Zheyuan Zhou and Qingdong Chen
J. Mar. Sci. Eng. 2025, 13(9), 1778; https://doi.org/10.3390/jmse13091778 - 15 Sep 2025
Viewed by 273
Abstract
This paper addresses the spatial path tracking problem of the X-rudder autonomous underwater vehicle (AUV) under random sea current disturbances. An adaptive line-of-sight guidance-linear quadratic regulator (ALOS-LQR) control strategy with roll constraints is proposed to enhance the tracking control accuracy and stability of [...] Read more.
This paper addresses the spatial path tracking problem of the X-rudder autonomous underwater vehicle (AUV) under random sea current disturbances. An adaptive line-of-sight guidance-linear quadratic regulator (ALOS-LQR) control strategy with roll constraints is proposed to enhance the tracking control accuracy and stability of the X-rudder AUV in such environments. First, to mitigate the roll-instability-induced depth and heading coupling deviations caused by unknown environmental disturbances, a roll-constrained linear quadratic regulator (LQR) heading-pitch control strategy is designed. Second, to handle random disturbances and model uncertainties, a nonlinear extended state observer (ESO) is employed to estimate dynamic disturbances. At the kinematic level, an adaptive line-of-sight guidance method (ALOS) is utilized to transform the path tracking problem into a heading and pitch tracking problem, while compensating in real time for kinematic deviations caused by time-varying sea currents. Finally, the effectiveness of the proposed control scheme is validated through simulation experiments and lake trials. The results confirm the effectiveness of the proposed method. Specifically, the roll-constrained ESO-LQR reduces lateral and longitudinal errors by 77.73% and 80.61%, respectively, compared to the roll-constrained LQR. ALOS navigation reduced lateral and longitudinal errors by 85.89% and 94.87%, respectively, compared to LOS control, while exhibiting faster convergence than ILOS. In physical experiences, roll control reduced roll angle by 50.52% and depth error by 33.3%. Results demonstrate that the proposed control strategy significantly improves the control accuracy and interference resistance of the X-rudder AUV, exhibiting excellent accuracy and stability. Full article
(This article belongs to the Section Ocean Engineering)
Show Figures

Figure 1

22 pages, 2373 KB  
Technical Note
Composite Actuation and Adaptive Control for Hypersonic Reentry Vehicles: Mitigating Aerodynamic Ablation via Moving Mass-Aileron Integration
by Pengxin Wei, Peng Cui and Changsheng Gao
Aerospace 2025, 12(9), 773; https://doi.org/10.3390/aerospace12090773 - 28 Aug 2025
Viewed by 399
Abstract
Aerodynamic ablation of external control surfaces and structural complexity in hypersonic reentry vehicles (HRVs) pose significant challenges for maneuverability and system reliability. To address these issues, this study develops a novel bank-to-turn (BTT) control strategy integrating a single internal moving mass with differential [...] Read more.
Aerodynamic ablation of external control surfaces and structural complexity in hypersonic reentry vehicles (HRVs) pose significant challenges for maneuverability and system reliability. To address these issues, this study develops a novel bank-to-turn (BTT) control strategy integrating a single internal moving mass with differential ailerons, eliminating reliance on ablation-prone elevators/rudders while enhancing internal space utilization. A coupled 7-DOF dynamics model explicitly quantifies inertial-rolling interactions induced by the moving mass, revealing critical stability boundaries for roll maneuvers. To ensure robustness against aerodynamic uncertainties, aileron failures, and high-frequency mass-induced disturbances, a dynamic inversion controller is augmented with an L1 adaptive layer decoupling estimation from control for improved disturbance rejection. Monte Carlo simulations demonstrate: (1) a 20.6% reduction in roll-tracking error (L2-norm) under combined uncertainties compared to dynamic inversion control, and (2) a 72% suppression of oscillations under aerodynamic variations. Comparative analyses confirm superior transient performance and robustness in worst-case scenarios. This work offers a practical solution for high-maneuverability hypersonic vehicles, with potential applications in reentry vehicle design and multi-actuator system optimization. Full article
(This article belongs to the Special Issue Flight Dynamics, Control & Simulation (2nd Edition))
Show Figures

Figure 1

20 pages, 6408 KB  
Article
Constrained Nonlinear MPC with Rudder-Roll Stabilization for Integrated Path Following and Collision Avoidance in Underactuated Surface Vessels
by Wei Li and Hanyun Zhou
J. Mar. Sci. Eng. 2025, 13(3), 468; https://doi.org/10.3390/jmse13030468 - 27 Feb 2025
Viewed by 649
Abstract
This study develops a constrained nonlinear model predictive control (NMPC) framework, integrating rudder roll stabilization to address coupled path-following and collision avoidance challenges for underactuated surface vessels (USVs). The compact state-space model integrates both navigational states and roll dynamics through augmentation, facilitating real-time [...] Read more.
This study develops a constrained nonlinear model predictive control (NMPC) framework, integrating rudder roll stabilization to address coupled path-following and collision avoidance challenges for underactuated surface vessels (USVs). The compact state-space model integrates both navigational states and roll dynamics through augmentation, facilitating real-time optimization of the trade-off between safety margins for roll movements and path-following accuracy. Given that excessive roll movement during obstacle avoidance in the USV path following can readily lead to USV capsizing, the NMPC approach is employed to explicitly address multiple constraints, including obstacle avoidance constraint, roll movement safety, and control input rudder angle constraints, thereby achieving precise path following for the rudder-roll reduction control system. Different from traditional methods that adhere to a pre-planned obstacle avoidance path, the proposed NMPC approach formulates obstacle avoidance as a nonlinear inequality constraint, significantly enhancing the maneuverability of the USV during obstacle avoidance. To validate the effectiveness of the proposed algorithm, the stability and optimality of the rudder-roll reduction control system are analyzed. The advantages of the proposed algorithm are ultimately demonstrated through both theoretical analysis and simulation results. Full article
(This article belongs to the Section Ocean Engineering)
Show Figures

Figure 1

35 pages, 20549 KB  
Article
Research on the Dynamics Model and Jump/Drop Control Strategy of Distributed-Propeller Unmanned Aerial Vehicles
by Yansheng Geng, Xinxin Chen, Yinglong He and Xiaoping Xu
Appl. Sci. 2024, 14(24), 12040; https://doi.org/10.3390/app142412040 - 23 Dec 2024
Viewed by 1202
Abstract
Compared with conventional drones, distributed powered drones have significant advantages in handling stability characteristics, lift and drag characteristics, and takeoff and landing performance. However, there are also challenges such as aerodynamic interference of multi powered slipstream, distributed-power/wing strong-coupling dynamic modeling, and redundant control [...] Read more.
Compared with conventional drones, distributed powered drones have significant advantages in handling stability characteristics, lift and drag characteristics, and takeoff and landing performance. However, there are also challenges such as aerodynamic interference of multi powered slipstream, distributed-power/wing strong-coupling dynamic modeling, and redundant control allocation of distributed-power control mechanisms. The paper has carried out the research on the dynamic modeling method, flight dynamics characteristics analysis, and the design of the control strategy of the jump and steep descent of the distributed dynamic configuration fixed wing unmanned aerial vehicle. A comprehensive aircraft dynamic model considering the influence of propeller slip on aerodynamics was established by combining theoretical derivation with flight experiment data correction. By comparing and analyzing the longitudinal and lateral heading control efficiency of unmanned aerial vehicles under rudder deflection and dynamic differential, a control concept of roll co-ordination control yaw combined with left and right dynamic differential is proposed. Digital simulation and flight tests showed that the established full aircraft dynamics model can accurately reflect the motion laws of distributed-power takeoff and landing unmanned aerial vehicles. The designed takeoff and landing strategy and control scheme can successfully achieve unmanned aerial vehicle takeoff and landing and perform cruising flight tasks. Full article
Show Figures

Figure 1

21 pages, 6552 KB  
Article
A Prediction Method and Model Experiments on Surf-Riding and Broaching in Stern-Quartering Waves
by Jilong Chu, Min Gu, Jiang Lu and Peijie Zhang
J. Mar. Sci. Eng. 2024, 12(9), 1538; https://doi.org/10.3390/jmse12091538 - 4 Sep 2024
Viewed by 3735
Abstract
At present, the International Maritime Organization (IMO) has issued interim guidelines for the direct stability assessment of surf-riding and broaching for the second-generation intact stability criteria. Accurately and efficiently predicting surf-riding and broaching remains a key problem to be solved for the direct [...] Read more.
At present, the International Maritime Organization (IMO) has issued interim guidelines for the direct stability assessment of surf-riding and broaching for the second-generation intact stability criteria. Accurately and efficiently predicting surf-riding and broaching remains a key problem to be solved for the direct stability assessment of surf-riding and broaching. Therefore, a six-degree-of-freedom(6DOF) coupled mathematical model is established in this paper. Firstly, the four-degree-of-freedom(4DOF) coupled equations of surge–sway–roll–yaw motions are built based on the traditional MMG maneuvering mathematical model by considering Froude–Krylov forces, diffraction forces and restoring forces, and the heave and pitch are approximately calculated by iteratively solving improved static equilibrium equations in real-time, effectively solving the divergence problem in direct time-domain seakeeping calculations of high-speed ships in stern-quartering waves. Secondly, the hydrodynamic lift forces due to the coexistence of wave particle velocity and ship forward velocity are taken into account in the propeller-thrust and rudder-force models. In addition, the real-time emersion of twin rudders in waves is considered in the rudder-force models. At the same time, the free-running model experiments with a ONR tumblehome vessel are carried out in stern-quartering waves, and the pure loss of stability and broaching motions are observed. Finally, comparative validations between the calculations and the experiments of surf-riding and broaching in stern-quartering waves are carried out, and the effects of the ship speed, the instantaneous wetted surface of the hull, rudder exposure, heave and pitch motions on predicting surf-riding and broaching motions are investigated. The computation results show that the established 6DOF mathematical model has enough accuracy to be used for the direct stability assessment of the surf-riding and broaching failure modes. Full article
(This article belongs to the Section Ocean Engineering)
Show Figures

Figure 1

22 pages, 10420 KB  
Article
A Comparative Analysis of CFD and the Potential Flow Method for the Pure Loss of Stability in Following Waves
by Ke Zeng, Jiang Lu, Min Gu and Chen Yang
J. Mar. Sci. Eng. 2023, 11(11), 2135; https://doi.org/10.3390/jmse11112135 - 8 Nov 2023
Cited by 2 | Viewed by 2689
Abstract
Improving the cognition and numerical accuracy of stability failure is urgent for carrying forward the direct assessment stability of the new-generation performance-based criteria for intact stability issued by the International Maritime Organization (IMO) in 2020. Firstly, the CFD method utilizing commercial software is [...] Read more.
Improving the cognition and numerical accuracy of stability failure is urgent for carrying forward the direct assessment stability of the new-generation performance-based criteria for intact stability issued by the International Maritime Organization (IMO) in 2020. Firstly, the CFD method utilizing commercial software is developed for predicting stability failure in following seas. The CFD method employed overlapping grid techniques to achieve coupled motion calculations with a free-running model. The actual propeller rate, the implemented auto polite course-keeping, the coupled effect of the ship hull–propeller–rudder, and the instantaneous wet hull are considered in the CFD method. Secondly, a comprehensive 6-DOF mathematical model, employing the MMG framework and potential flow theory, is utilized to predict stability failure in the following waves. The radiation and diffraction forces are calculated around the mean wet hull using an enhanced strip method, and the FK and hydrostatic forces are calculated around the exact wet hull in waves. Thirdly, the occurrence of pure stability loss and subsequent large roll motions or capsizing for the ONR tumblehome ship are simulated by the time domain CFD and potential flow method. Finally, the computed results are cross-referenced with the available experimental data, and the trends of maximum roll angle are found to be consistent with the test data. Additionally, the alterations in thrust and torque exerted by the twin rudders and propellers are assessed across various sailing speeds, as well as the characteristics of the flow field distribution around the hull and appendages during capsizing at the critical sailing speed, which are newly analyzed by the CFD method. Full article
(This article belongs to the Special Issue Dynamic Stability and Safety of Ships in Waves)
Show Figures

Figure 1

22 pages, 18151 KB  
Article
A Unified Numerical Method for Broaching and Loss of Stability in Astern Seas
by Jiang Lu, Min Gu and Evangelos Boulougouris
J. Mar. Sci. Eng. 2023, 11(8), 1555; https://doi.org/10.3390/jmse11081555 - 6 Aug 2023
Cited by 4 | Viewed by 1749
Abstract
The interim guidelines of second-generation intact stability criteria and their explanatory note were issued by the IMO in 2022. However, due to their complexity, the direct stability assessments of broaching and loss of stability still need to be made easier for users. Therefore, [...] Read more.
The interim guidelines of second-generation intact stability criteria and their explanatory note were issued by the IMO in 2022. However, due to their complexity, the direct stability assessments of broaching and loss of stability still need to be made easier for users. Therefore, the mathematical models for broaching and loss of stability in astern seas are studied in this paper. Firstly, a time-domain 6 DOF numerical model is adopted, combining seakeeping and maneuvering mathematical models. Secondly, the hydrodynamic forces, heave, and pitch motions are obtained by an enhanced strip method with the upright hull at different speeds in the frequency domain. Then, their time-domain values are transferred from their frequency-domain values with the speed variation considered. Thirdly, the time-domain varied wet hull in waves is captured by the 6 DOF ship motion. Then, the Froude–Krylov and the hydrostatic forces in the surging, swaying, rolling, and yawing directions are simulated considering the wave pressure around the wet hull. Fourthly, the exposure of the twin rudders and the wave-particle velocity are considered for predicting broaching. Finally, the calculated results are compared with the published results. The results show that the time-domain 6 DOF coupled numerical model can be unified for predicting broaching and loss of stability in the astern seas. Full article
Show Figures

Figure 1

18 pages, 10536 KB  
Article
Further Study on One of the Numerical Methods for Pure Loss of Stability in Stern Quartering Waves
by Jiang Lu, Min Gu and Evangelos Boulougouris
J. Mar. Sci. Eng. 2023, 11(2), 394; https://doi.org/10.3390/jmse11020394 - 10 Feb 2023
Cited by 5 | Viewed by 2464
Abstract
The International Maritime Organization (IMO) finalized the second-generation intact stability criteria in 2022. However, an accurate and practical numerical method for stability loss has yet to be established. Therefore, a 6 DOF numerical model is further improved based on the previous study. Firstly, [...] Read more.
The International Maritime Organization (IMO) finalized the second-generation intact stability criteria in 2022. However, an accurate and practical numerical method for stability loss has yet to be established. Therefore, a 6 DOF numerical model is further improved based on the previous study. Firstly, the rolling motion is simulated using a seakeeping model instead of the previous maneuvering mathematical model. Secondly, the roll-restoring variation is calculated directly considering the instantaneous wet hull instead of the previous pre-calculated method. Thirdly, transferring frequency to time is used to obtain heave and pitch motions, further considering yaw angle and sway velocity. Fourthly, the dynamic forces for sway, roll, and yaw motions are calculated, further considering the effect of the speed variation. Fifthly, the 6 DOF motions are used to determine the instantaneous wet hull, and the FK force and the hydrostatic force are calculated by the body’s exact method. Finally, a new conclusion is obtained that the sway and yaw motions’ effect on the ship speed loss, the relative longitudinal wave profile by the speed loss, the rudder angles, and the accompanying rudder forces in the rolling direction are significant, and much more than their centrifugal force or coupled force in the rolling direction. Full article
(This article belongs to the Topic Ship Dynamics, Stability and Safety)
Show Figures

Figure 1

27 pages, 11107 KB  
Article
Performance Analysis on the Small-Scale Reusable Launch Vehicle
by Zheng Gong, Zian Wang, Chengchuan Yang, Zhengxue Li, Mingzhe Dai and Chengxi Zhang
Symmetry 2022, 14(9), 1862; https://doi.org/10.3390/sym14091862 - 6 Sep 2022
Cited by 2 | Viewed by 3418
Abstract
According to the symmetrical characteristics of a new type of Reusable Launch Vehicle (RLV) in the recovery phase, we studied the basic aerodynamic model data of Starship and the aerodynamic data with rudder deflection, and the causes of its aerodynamic coefficients are expounded. [...] Read more.
According to the symmetrical characteristics of a new type of Reusable Launch Vehicle (RLV) in the recovery phase, we studied the basic aerodynamic model data of Starship and the aerodynamic data with rudder deflection, and the causes of its aerodynamic coefficients are expounded. At the same time, we analyzed its stability and maneuverability. According to the flying quality requirements, the lateral-directional model of Starship in the return phase at a high angle of attack is analyzed. Finally, we analyzed the lateral heading stability and control deviation of Starship by using the criterion and nonlinear open-loop simulations. The results show that the Starship has pitching and rolling stability, but it only has heading stability in some ranges of angle of attack, and there is no heading stability at a conventional large angle of attack. At the same time, after modal analysis and comparison of flight quality, it can be seen that the longitudinal long-period model of the starship degenerates into a real root and it is stable and convergent. The lateral heading roll mode is at level 2 flight quality, the helical mode is at level 1 flight quality, and the Dutch roll mode diverges, which needs to be stabilized and controlled later. Full article
(This article belongs to the Special Issue Recent Progress in Robot Control Systems: Theory and Applications)
Show Figures

Figure 1

20 pages, 6754 KB  
Article
Development and Performance Measurement of an Affordable Unmanned Surface Vehicle (USV)
by Joga Dharma Setiawan, Muhammad Aldi Septiawan, Mochammad Ariyanto, Wahyu Caesarendra, M. Munadi, Sabri Alimi and Maciej Sulowicz
Automation 2022, 3(1), 27-46; https://doi.org/10.3390/automation3010002 - 4 Jan 2022
Cited by 11 | Viewed by 5624
Abstract
Indonesia is a maritime country that has vast coastal resources and biodiversity. To support the Indonesian maritime program, a topography mapping tool is needed. The ideal topography mapping tool is the Unmanned Surface Vehicle (USV). This paper proposes the design, manufacture, and development [...] Read more.
Indonesia is a maritime country that has vast coastal resources and biodiversity. To support the Indonesian maritime program, a topography mapping tool is needed. The ideal topography mapping tool is the Unmanned Surface Vehicle (USV). This paper proposes the design, manufacture, and development of an affordable autonomous USV. The USV which is composed of thruster and rudder is quite complicated to build. This study employs rudderless and double thrusters as the main actuators. PID compensator is utilized as the feedback control for the autonomous USV. Energy consumption is measured when the USV is in autonomous mode. The Dynamics model of USV was implemented to study the roll stability of the proposed USV. Open-source Mission Planner software was selected as the Ground Control Station (GCS) software. Performance tests were carried out by providing the USV with an autonomous mission to follow a specific trajectory. The results showed that the developed USV was able to complete autonomous mission with relatively small errors, making it suitable for underwater topography mapping. Full article
(This article belongs to the Collection Automation in Intelligent Transportation Systems)
Show Figures

Figure 1

21 pages, 3548 KB  
Article
Time-Scale Decomposition Techniques Used in the Ship Path-Following Problem with Rudder Roll Stabilization Control
by Ru-Yi Ren, Zao-Jian Zou and Jian-Qin Wang
J. Mar. Sci. Eng. 2021, 9(9), 1024; https://doi.org/10.3390/jmse9091024 - 18 Sep 2021
Cited by 5 | Viewed by 2587
Abstract
The motion control of a surface ship based on a four degrees of freedom (4-DoF) (surge, sway, roll, and yaw) maneuvering motion model is studied in this paper. A time-scale decomposition method is introduced to solve the path-following problem, implementing Rudder Roll Stabilization [...] Read more.
The motion control of a surface ship based on a four degrees of freedom (4-DoF) (surge, sway, roll, and yaw) maneuvering motion model is studied in this paper. A time-scale decomposition method is introduced to solve the path-following problem, implementing Rudder Roll Stabilization (RRS) at the same time. The control objectives are to let the ship to track a predefined curve path under environmental disturbances, and to reduce the roll motion at the same time. A singular perturbation method is used to decouple the whole system into two subsystems of different time scales: the slow path-following subsystem and the fast roll reduction subsystem. The coupling effect of the two subsystems is also considered in this framework of analysis. RRS control is only possible when there is the so-called bandwidth separation characteristic in the ship motion system, which requires a large bandwidth separation gap between the two subsystems. To avoid the slow subsystem being affected by the wave disturbances of high frequency and large system uncertainties, the L1 adaptive control is introduced in the slow subsystem, while a Proportion-Differentiation (PD) control law is adopted in the fast roll reduction subsystem. Simulation results show the effectiveness and robustness of the proposed control strategy. Full article
(This article belongs to the Special Issue Manoeuvring and Control of Ships and Other Marine Vehicles)
Show Figures

Figure 1

17 pages, 7121 KB  
Article
L2-Gain Based Adaptive Robust Heel/Roll Reduction Control Using Fin Stabilizer during Ship Turns
by Zhang Songtao and Zhao Peng
J. Mar. Sci. Eng. 2021, 9(1), 89; https://doi.org/10.3390/jmse9010089 - 15 Jan 2021
Cited by 14 | Viewed by 3375
Abstract
The rolling and heeling experienced by a ship during turning will be more severe under the interference of winds and waves, which will seriously affect the navigation safety of the ship. The fin stabilizer is currently the best active anti-rolling device, which is [...] Read more.
The rolling and heeling experienced by a ship during turning will be more severe under the interference of winds and waves, which will seriously affect the navigation safety of the ship. The fin stabilizer is currently the best active anti-rolling device, which is usually used to reduce the roll of the ship during straight-line sailing. The purpose of this work is to study the use of fin stabilizers to reduce the rolling and heeling during ship turning, considering the non-linearity and uncertainty during the rotation. The 4 degrees of freedom (4-DOF) nonlinear motion model of a multi-purpose naval vessel is established. The forces and moments produced by fin stabilizers, rudders, propellers, and waves are also considered. The nonlinear control model of rotation and roll is derived and established. Given the non-linearity and uncertainty in the ship turning process, an L2-gain based robust adaptive control is proposed to control the fin stabilizers to reduce the turning heel and roll motion. The proof of the stability and the detailed design process of the controller are also given. Simulations are carried out to verify the effectiveness of the proposed control strategy. For comparison purposes, the simulation results under a well-tuned PID controller are also given. The simulation results show that the developed control strategy can effectively reduce the heel and roll during ship turns, and it has good robustness against uncertainty and internal and external interference. Full article
(This article belongs to the Special Issue Automatic Control and Routing of Marine Vessels)
Show Figures

Figure 1

31 pages, 6953 KB  
Article
Airfoil Selection Procedure, Wind Tunnel Experimentation and Implementation of 6DOF Modeling on a Flying Wing Micro Aerial Vehicle
by Taimur Ali Shams, Syed Irtiza Ali Shah, Ali Javed and Syed Hossein Raza Hamdani
Micromachines 2020, 11(6), 553; https://doi.org/10.3390/mi11060553 - 30 May 2020
Cited by 15 | Viewed by 8455
Abstract
Airfoil selection procedure, wind tunnel testing and an implementation of 6-DOF model on flying wing micro aerial vehicle (FWMAV) has been proposed in this research. The selection procedure of airfoil has been developed by considering parameters related to aerodynamic efficiency and flight stability. [...] Read more.
Airfoil selection procedure, wind tunnel testing and an implementation of 6-DOF model on flying wing micro aerial vehicle (FWMAV) has been proposed in this research. The selection procedure of airfoil has been developed by considering parameters related to aerodynamic efficiency and flight stability. Airfoil aerodynamic parameters have been calculated using a potential flow solver for ten candidate airfoils. Eppler-387 proved to be the most efficient reflexed airfoil and therefore was selected for fabrication and further flight testing of vehicle. Elevon control surfaces have been designed and evaluated for longitudinal and lateral control. The vehicle was fabricated using hot wire machine with EPP styrofoam of density 50 Kg/ m 3 . Static aerodynamic coefficients were evaluated using wind tunnel tests conducted at cruise velocity of 20 m/s for varying angles of attack. Rate derivatives and elevon control derivatives have also been calculated. Equations of motion for FWMAV have been written in a body axis system yielding a 6-DOF model. It was found during flight tests that vehicle conducted coordinated turns with no appreciable adverse yaw. Since FWMAV was not designed with a vertical stabilizer and rudder control surface, directional stability was therefore augmented through winglets and high wing leading edge sweep. Major problems encountered during flight tests were related to left rolling tendency. The left roll tendency was found inherent to clockwise rotating propeller as ‘P’ factor, gyroscopic precession, torque effect and spiraling slipstream. To achieve successful flights, many actions were required including removal of excessive play from elevon control rods, active actuation of control surfaces, enhanced launch speed during take off, and increased throttle control during initial phase of flight. FWMAV flew many successful stable flights in which intended mission profile was accomplished, thereby validating the proposed airfoil selection procedure, modeling technique and proposed design. Full article
(This article belongs to the Section E:Engineering and Technology)
Show Figures

Figure 1

13 pages, 6133 KB  
Article
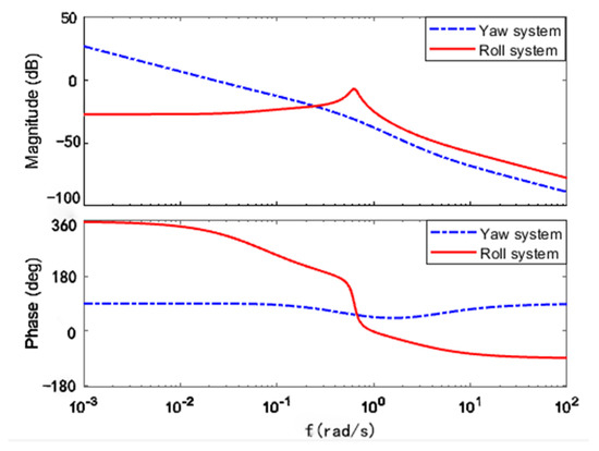
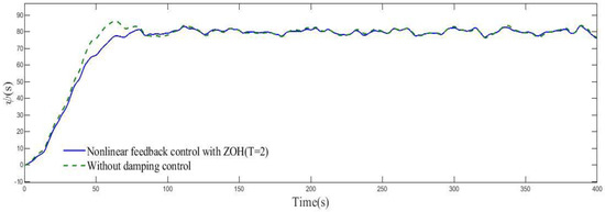
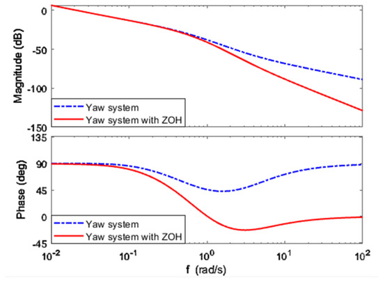
Rudder Roll Stabilization Based on Arc Tangent Nonlinear Feedback for Ships
by Jian Zhao, Cailei Liang and Xianku Zhang
J. Mar. Sci. Eng. 2020, 8(4), 245; https://doi.org/10.3390/jmse8040245 - 2 Apr 2020
Cited by 17 | Viewed by 2979
Abstract
The rudder is used for damping the roll motion of a ship. Study of this motion is the essence of this paper. The responses of yaw and roll motions are different as the rudder angle varies. The low frequency motion of the rudder [...] Read more.
The rudder is used for damping the roll motion of a ship. Study of this motion is the essence of this paper. The responses of yaw and roll motions are different as the rudder angle varies. The low frequency motion of the rudder mainly affects the ship’s yaw motion, whereas the high frequency motion of the rudder mainly affects the roll motion. As long as the controller is well designed, the characteristic of the rudder can be used to reduce the roll motion. In order to save energy and reduce steer frequency, a nonlinear feedback controller is proposed based on the arc tangent function processing feedback error to save energy consumption. In addition, a ZOH component is applied in the system to reduce the steer frequency. In heavy sea state, simulation results illustrate that controllers based on pole assignment with and without nonlinear feedback can reduce roll motion by 32.1% and 30.3%, respectively, when the rudder turn rate is limited within 7°/s. Furthermore, the former reduces the amplitude of rudder angle by 23.3% compared with the latter, which means the nonlinear feedback control consumes less energy. Consequently, the ZOH can lower steer frequency to once every 1 s, which protects steering gear from abrasion. Full article
Show Figures

Figure 1

26 pages, 13767 KB  
Article
Design of a Hand-Launched Solar-Powered Unmanned Aerial Vehicle (UAV) System for Plateau
by Xin Zhao, Zhou Zhou, Xiaoping Zhu and An Guo
Appl. Sci. 2020, 10(4), 1300; https://doi.org/10.3390/app10041300 - 14 Feb 2020
Cited by 20 | Viewed by 7070
Abstract
This paper describes our work on a small, hand-launched, solar-powered unmanned aerial vehicle (UAV) suitable for low temperatures and high altitudes, which has the perpetual flight potential for conservation missions for rare animals in the plateau area in winter. Firstly, the conceptual design [...] Read more.
This paper describes our work on a small, hand-launched, solar-powered unmanned aerial vehicle (UAV) suitable for low temperatures and high altitudes, which has the perpetual flight potential for conservation missions for rare animals in the plateau area in winter. Firstly, the conceptual design method of a small, solar-powered UAV based on energy balance is proposed, which is suitable for flight in high-altitude and low-temperature area. The solar irradiance model, which can reflect the geographical location and time, was used. Based on the low-temperature discharge test of the battery, a battery weight model considering the influence of low temperature on the battery performance was proposed. Secondly, this paper introduces the detailed design of solar UAV for plateau area, including layout design, structure design, load, and avionics. To increase the proportion of solar cells covered, the ailerons were removed and a rudder was used to control both roll and yaw. Then, the dynamics model of an aileron-free layout UAV was developed, and the differences in maneuverability and stability of aileron-free UAV in plateau and plain areas were analyzed. The control law and trajectory tracking control law were designed for the aileron-free UAV. Finally, the flight test was conducted in Qiangtang, Tibet, at an altitude of 4500 m, China’s first solar-powered UAV to take off and land above 4500 m on the plateau in winter (−30 °C). The test data showed the success of the scheme, validated the conceptual design method and the success of the control system for aileron-free UAV, and analyzed the feasibility of perpetual flight carrying different loads according to the flight energy consumption data. Full article
(This article belongs to the Section Mechanical Engineering)
Show Figures

Figure 1

Back to TopTop