Sign in to use this feature.

Years

Between: -

Subjects

remove_circle_outline
remove_circle_outline
remove_circle_outline
remove_circle_outline
remove_circle_outline
remove_circle_outline

Journals

Article Types

Countries / Regions

Search Results (38)

Search Parameters:
Keywords = rotor-stator cavities

Order results
Result details
Results per page
Select all
Export citation of selected articles as:
27 pages, 5964 KB  
Article
Investigation of Improved Labyrinth Seal Stability Accounting for Radial Deformation
by Guozhe Ren, Hongyuan Tang, Dan Sun, Wenfeng Xu and Yu Li
Aerospace 2025, 12(7), 621; https://doi.org/10.3390/aerospace12070621 - 10 Jul 2025
Viewed by 1116
Abstract
This study examines the labyrinth seal disc of an aero-engine, specifically analysing the radial deformation caused by centrifugal force and heat stress during operation. This distortion may lead to discrepancies in the performance attributes of the labyrinth seal and could potentially result in [...] Read more.
This study examines the labyrinth seal disc of an aero-engine, specifically analysing the radial deformation caused by centrifugal force and heat stress during operation. This distortion may lead to discrepancies in the performance attributes of the labyrinth seal and could potentially result in contact between the labyrinth seal tip and neighbouring components. A numerical analytical model incorporating the rotor and stator cavities, along with the labyrinth seal disc structure, has been established. The sealing integrity of a standard labyrinth seal disc’s flow channel is evaluated and studied at different clearances utilising the fluid–solid-thermal coupling method. The findings demonstrate that, after considering radial deformation, a cold gap of 0.5 mm in the conventional labyrinth structure leads to stabilisation of the final hot gap and flow rate, with no occurrence of tooth tip rubbing; however, both the gap value and flow rate show considerable variation relative to the cold state. When the cold gap is 0.3 mm, the labyrinth plate makes contact with the stator wall. To resolve the problem of tooth tip abrasion in the conventional design with a 0.3 mm cold gap, two improved configurations are proposed, and a stability study for each configuration is performed independently. The leakage and temperature rise attributes of the two upgraded configurations are markedly inferior to those of the classic configuration at a cold gap of 0.5 mm. At a cold gap of 0.3 mm, the two improved designs demonstrate no instances of tooth tip rubbing. Full article
(This article belongs to the Section Aeronautics)
Show Figures

Figure 1

26 pages, 109771 KB  
Article
Simulation and Structural Optimization of an Eccentric Rotor Extruder Feeding Section
by Jinhui Jiang, Yanhong Feng, Shuo Gao, Wenqiang Yan, Xiaochun Yin and Guizhen Zhang
Materials 2025, 18(9), 1939; https://doi.org/10.3390/ma18091939 - 24 Apr 2025
Viewed by 750
Abstract
The eccentric rotor extruder (ERE) is polymer processing equipment that exhibits excellent processing capabilities for materials with extremely high viscosity, which are difficult to plastically deform and transport efficiently. However, the mass transfer mechanism in the solid conveying section of this new device [...] Read more.
The eccentric rotor extruder (ERE) is polymer processing equipment that exhibits excellent processing capabilities for materials with extremely high viscosity, which are difficult to plastically deform and transport efficiently. However, the mass transfer mechanism in the solid conveying section of this new device is fundamentally different from that of traditional extruders, and no related research has been reported. This study uses discrete element method (DEM) simulation technology to model the solid conveying process of the ERE. By visualizing the positive displacement conveying process, and with an analysis of the output parameters, the study clarifies the mass transfer principles and quantifies the conveying capacity, providing guidance for optimizing the extruder design. The simulation results show that the ERE exhibits positive displacement conveying characteristics, with the conveying process achieved by the forward movement of the cavities (closed cavities between the rotor and stator) in a helical manner. However, differences in the dual-cavity (two types of cavities) feeding process and low fill level can lead to significant fluctuations in extrusion output and reduced conveying capacity. To address these issues, an improvement scheme for the dual-cavity feed opening is proposed, with feed openings designed with different opening lengths. Then, by analyzing the particle coordinate data from the simulation output, the conveying capacities of different feed opening structures are quantified and optimized. Finally, experimental and simulation verification results indicate that the optimized structure significantly improves the issues of uneven filling and low fill level, with good correspondence between the simulation and experimental results. Simulation results show that, compared with the original structure, the optimized dual-feed opening structure increases the feed capacity from 3953 particles per cavity to 5132 particles per cavity, an improvement of 29.8%, and it achieves balanced filling between the two cavities. Experimental validation indicates that the UPE4040 output can be increased from 165.3 g/min with structure op-00 to 231.7 g/min with the optimized structure op-05. Full article
Show Figures

Graphical abstract

17 pages, 16125 KB  
Article
Effect of Purge on Secondary Flows in Turbine Due to Interaction Between Cavity Flow and Main Channel
by Daniele Biassoni, Dario Barsi and Davide Lengani
Machines 2025, 13(2), 77; https://doi.org/10.3390/machines13020077 - 22 Jan 2025
Cited by 3 | Viewed by 1232
Abstract
Nowadays, a lot of efforts are being made to increase turbine inlet temperatures (TIT), with the aim of increasing efficiency in aircraft and power generation turbines. Due to the higher temperature level, advanced cooling solutions to preserve material durability are necessary. It is [...] Read more.
Nowadays, a lot of efforts are being made to increase turbine inlet temperatures (TIT), with the aim of increasing efficiency in aircraft and power generation turbines. Due to the higher temperature level, advanced cooling solutions to preserve material durability are necessary. It is essential to avoid contact between hot gases and the temperature-sensitive components, such as the stator and rotor cavity disks. Modern gas turbine performance optimization centers on reducing leakage and refining sealing systems. The interaction between the main flow and cavity flow in stator/rotor systems has a significant role in loss generation. This study employs Unsteady Reynolds-Averaged Navier–Stokes (URANS) simulations to investigate the unsteady interactions within the stator/rotor cavity of a low-pressure turbine. Numerical results are compared and validated against experimental data obtained in the cavity rig of the University of Genova. The research focuses on the effects of stator/rotor interactions, including wake ingestion from upstream rotor bars and the blocking influence of downstream potential effects on cavity sealing effectiveness. In this paper, a comparison between the zero cooling air flow rate and cavity sealing condition is shown. Special attention is given to unsteady loss mechanisms occurring downstream of the vane row and in areas where the cavity flow re-enters the main channel, showing how cooling flow rates affect these losses. From this study, it can be seen that by increasing the cooling flow rate injected into the cavity, there is an increase in the hub’s passage vortex effect and there is a more intense interaction between the main flow and the cavity flow. These results offer valuable insights into the mechanisms of interaction between the main flow and cavity flow. Full article
(This article belongs to the Section Turbomachinery)
Show Figures

Figure 1

14 pages, 7128 KB  
Article
Transient Flow Characterization of Rotor–Stator Cavities in Two Through-Flow Modes: Centrifugal and Centripetal
by Yulong Yao, Chuan Wang, Yitong Wang, Jie Ge, Hao Chang, Li Zhang and Hao Li
Water 2024, 16(24), 3678; https://doi.org/10.3390/w16243678 - 20 Dec 2024
Viewed by 1337
Abstract
This study investigates the influence of roughness on the transient flow behavior in the chamber based on the performance requirements of the pump rotor–stator chamber, aiming to elucidate the mechanism of roughness in real operating conditions. Three-dimensional models under two types of flow [...] Read more.
This study investigates the influence of roughness on the transient flow behavior in the chamber based on the performance requirements of the pump rotor–stator chamber, aiming to elucidate the mechanism of roughness in real operating conditions. Three-dimensional models under two types of flow (centrifugal and centripetal) are developed, and transient numerical analyses are performed through numerical simulation and experimental validation. The results show that roughness significantly accelerates turbulence development in centrifugal through-flow, particularly in the middle- and high-radius regions, increasing the turbulent kinetic energy by approximately 18% compared to smooth surfaces. Transient flow analyses indicate that roughness leads to an overall pressure drop of around 10% within the cavity while facilitating the formation of high-pressure zones near the rotor. In centrifugal flow, high-pressure regions develop rapidly in the high-radius area, resulting in a stepped pressure distribution with a peak pressure increase of 12% at the outermost radius. In centripetal flow, the pressure distribution remains more uniform, yet significant pressure rise trends emerge over time, with pressure increasing by 8% due to the presence of roughness. This study presents a systematic analysis of the effects of roughness on transient flow characteristics in rotor–stator cavities across two flow modes for the first time, providing valuable insights for optimizing pump design and performance under real-world conditions. Full article
(This article belongs to the Special Issue Hydraulics and Hydrodynamics in Fluid Machinery)
Show Figures

Figure 1

16 pages, 7704 KB  
Article
Numerical Research on Flow Characteristics at High Radii of Rim Seals with Different Geometric Structures
by Qichao Xue, Xueying Li and Jing Ren
Energies 2024, 17(8), 1877; https://doi.org/10.3390/en17081877 - 15 Apr 2024
Cited by 2 | Viewed by 1336
Abstract
In the high-temperature mainstream of gas turbines, there is a rim clearance between the rotor and the stator. A rim seal is to prevent the intrusion of high-temperature gas by spraying cool fluid from the inside of the rim clearance to the outside. [...] Read more.
In the high-temperature mainstream of gas turbines, there is a rim clearance between the rotor and the stator. A rim seal is to prevent the intrusion of high-temperature gas by spraying cool fluid from the inside of the rim clearance to the outside. In the past research on rim seals, the focus was on the overall performance of the sealing structure, and the flow in the disc cavity was studied more, but the high-radius flow was simplified. In recent years, additional research in the field has focused on more complex sealing structures and high-radius flows, such as the interface between the disk cavity and the mainstream. There is more work to be conducted in this area of research. In this paper, the unsteady numerical simulation of the flow in four different rim sealing geometries is carried out by the URANS method. The flow phenomena and the influence of geometry on the flow are studied. The numerical simulation results are validated with the experimental results. It is found that the fluid in the rim sealing obviously presents two distinct forms and confrontations according to the tangential velocity. The flow in the sealing structure presents obvious circumferential non-uniformity. Compared with the single-axial structure, in the single-radial structure, the mixing area is induced by the radial geometry, and more vortex structures are generated, the mixing process is more intense, and the sealing effect is better. In the double-sealing structure, the inner structure plays the role of a barrier, and the cavity geometry between the two layers has a major influence on the sealing performance. Full article
(This article belongs to the Section J1: Heat and Mass Transfer)
Show Figures

Figure 1

25 pages, 9499 KB  
Article
Low-Engine-Order Forced Response Analysis of a Turbine Stage with Damaged Stator Vane
by Yun Zheng, Xiubo Jin and Hui Yang
Entropy 2024, 26(1), 4; https://doi.org/10.3390/e26010004 - 19 Dec 2023
Cited by 2 | Viewed by 2551
Abstract
A damaged stator vane can disrupt the circumferential symmetry of the design flow for turbine assemblies, which can lead to a low-engine-order (LEO) forced response of rotor blades. To help engineers be able to better address sudden vane damage failures, this paper conducts [...] Read more.
A damaged stator vane can disrupt the circumferential symmetry of the design flow for turbine assemblies, which can lead to a low-engine-order (LEO) forced response of rotor blades. To help engineers be able to better address sudden vane damage failures, this paper conducts a mechanism analysis of the LEO forced response of rotor blades induced by a single damaged vane using an in-house computational fluid dynamic code (Hybrid Grid Aeroelasticity Environment). Firstly, it is found that the damaged vane introduces a family of LEO aerodynamic excitations with high amplitudes by full-annulus unsteady aeroelastic simulations of a single-stage turbine. In particular, the LEO forced response of the rotor blades excited by 3EO is 2.01 times higher than the resonance response excited by vane passing frequency, and the LEO resonance risk of the rotor blades is greatly increased. Then, by analyzing the flow characteristics of the wake and potential field of the stator row with a damaged vane, the localized high transient pressure in the notch cavity and the radial redistribution of the secondary vortex at the stator exit are the main sources of the low-order harmonic components in the flow field. Importantly, the interaction mechanisms in two regions with high LEO excitation amplitude on the rotor blade surface are revealed separately. Finally, an evaluation and comparison of a single damaged vane in terms of aerodynamic performance and LEO forced response was carried out. The results of this paper provide a good theoretical basis for engineers to effectively control the resonance response of rotor blades caused by a damaged stator vane in turbine design. Full article
(This article belongs to the Special Issue Advances in Entropy and Computational Fluid Dynamics)
Show Figures

Figure 1

12 pages, 5471 KB  
Article
Investigating the Role of Stator Slot Indents in Minimizing Flooded Motor Fluid Damping Loss
by Didem Tekgun and Burak Tekgun
Machines 2023, 11(12), 1088; https://doi.org/10.3390/machines11121088 - 14 Dec 2023
Cited by 2 | Viewed by 2030
Abstract
This research examines how fluid damping loss affects the operation of a two-pole, 5.5 HP (4 kW) induction machine (IM) within the context of different slot opening configurations developed for downhole water pump applications. Since these motors operate with their cavities filled with [...] Read more.
This research examines how fluid damping loss affects the operation of a two-pole, 5.5 HP (4 kW) induction machine (IM) within the context of different slot opening configurations developed for downhole water pump applications. Since these motors operate with their cavities filled with fluid, the variations in fluid viscosity and density, compared to air, result in the occurrence of damping losses. Furthermore, this loss can be attributed to the motor’s stator and rotor surface geometry, as the liquid within the motor cavity moves unrestrictedly within the motor housing. This study involves the examination of the damping loss in a 24-slot IM under different stator slot indentations. The investigation utilizes computational fluid dynamics (CFD) finite element analysis (FEA) and is subsequently validated through experiments. The aim of this work is to emphasize the significance of fluid damping loss in submerged machines. Results reveal that the damping loss exceeds 8% of the motor output power when the stator surface has indentations, and it diminishes to 3.2% of the output power when a custom wedge structure is employed to eliminate these surface indentations. Full article
(This article belongs to the Section Electrical Machines and Drives)
Show Figures

Figure 1

19 pages, 9453 KB  
Article
Experimental and Numerical Investigations into the Effects of Rim Seal Structure on Endwall Film Cooling and Flow Field Characteristics
by Yixuan Lu, Zhao Liu, Weixin Zhang, Yuqiang Ding and Zhenping Feng
Energies 2023, 16(24), 7976; https://doi.org/10.3390/en16247976 - 8 Dec 2023
Cited by 2 | Viewed by 1654
Abstract
During the practical operation of gas turbines, relatively cooled air from the compressor and the rim seal is applied in order to prevent mainstream ingestion into the space between the rotor and stator disc cavities, which can prolong the service life of hot [...] Read more.
During the practical operation of gas turbines, relatively cooled air from the compressor and the rim seal is applied in order to prevent mainstream ingestion into the space between the rotor and stator disc cavities, which can prolong the service life of hot components. On the one hand, the purge flow from the rim seal will inevitably interact with the mainstream and result in secondary flow on the endwall. On the other hand, it can also provide an additional cooling effect. In this paper, four rim seal structures, including an original single-tooth seal (ORI), a double-tooth seal (DS), a single-tooth seal with an adverse direction of the coolant purge flow and mainstream (AS) and a double-tooth seal with an adverse direction of the coolant purge flow and mainstream (ASDS), are experimentally and numerically investigated with mass flow ratios of 0.5%, 1.0% and 1.5%. The flow orientation of the coolant from the rim seal is considered as one of the main factors. The pressure-sensitive paint technique is used to experimentally measure the film cooling effectiveness on the endwall, and flow field analysis is conducted via numerical simulations. The results show that the cooling effect decreases in the cases of DS and ASDS. AS and ASDS can achieve a better film cooling performance, especially under a higher mass flow ratio. Furthermore, the structural changes in the rim seal have little impact on the aerodynamic performance. AS and ASDS can both achieve a better aerodynamic and film cooling performance. Full article
Show Figures

Figure 1

17 pages, 8008 KB  
Article
Experimental and Numerical Investigation on Finned Vortex Reducer in a Rotating Cavity with a Radial Inflow
by Jian He, Xiang Luo, Yang Bai, An Song and Tao Yang
Aerospace 2023, 10(7), 655; https://doi.org/10.3390/aerospace10070655 - 23 Jul 2023
Cited by 2 | Viewed by 1975
Abstract
In aero-engines, a secondary air system is used to cool the rotor discs and seal cavities between rotor and stator parts. The pressure loss caused by bleed air can be effectively reduced by setting the finned vortex reducer. Thus, the bleed system design [...] Read more.
In aero-engines, a secondary air system is used to cool the rotor discs and seal cavities between rotor and stator parts. The pressure loss caused by bleed air can be effectively reduced by setting the finned vortex reducer. Thus, the bleed system design can be optimized by researching the flow structure and pressure loss of each section in the cavity with a finned vortex reducer. In this study, the influence of different installation positions of a finned vortex reducer on the pressure loss characteristics was investigated through experimental and numerical simulation methods, focusing on the radial inflow of the secondary air system. The results indicate that the inlet and outlet positions of the fins affect the flow structure in the cavity. The aerodynamic parameters (rotational Reynolds number ReΦ and mass flow rate coefficient Cw), together with the inlet and outlet radii of the fins, influence the pressure loss in the cavity. Considering the swirl ratio β constrained by the fins, a pressure loss model was established, which showed good agreement with the experimentally measured pressure loss. This model reflects the impact of the inlet and outlet positions of the fins on the pressure loss characteristics. Full article
Show Figures

Figure 1

21 pages, 8469 KB  
Article
Aerodynamics and Sealing Performance of the Downstream Hub Rim Seal in a High-Pressure Turbine Stage
by Filippo Merli, Nicolas Krajnc, Asim Hafizovic, Marios Patinios and Emil Göttlich
Int. J. Turbomach. Propuls. Power 2023, 8(3), 20; https://doi.org/10.3390/ijtpp8030020 - 10 Jul 2023
Cited by 3 | Viewed by 2839
Abstract
The purpose of the paper is to characterize the aerodynamic behavior of a rotor-downstream hub cavity rim seal in a high-pressure turbine (HPT) stage. The experimental data are acquired in the Transonic Test Turbine Facility at the Graz University of Technology: the test [...] Read more.
The purpose of the paper is to characterize the aerodynamic behavior of a rotor-downstream hub cavity rim seal in a high-pressure turbine (HPT) stage. The experimental data are acquired in the Transonic Test Turbine Facility at the Graz University of Technology: the test setup includes two engine-representative turbine stages (the last HPT stage and first LPT stage), with the intermediate turbine duct in between. All stator-rotor cavities are supplied with purge flows by a secondary air system, which simulates the bleeding air from the compressor stages of the real engine. The HPT downstream hub cavity is provided with wall taps and pitot tubes at different radial and circumferential locations, which allows the performance of steady pressure and seed gas concentration measurements for different purge mass flows and HPT vanes clocking positions. Moreover, miniaturized pressure transducers are adopted to evaluate the unsteady pressure distribution, and an oil flow visualization is performed to retrieve additional information on the wheel space structures. The annulus pressure asymmetry depends on the HPT vane clocking, but this is shown to have negligible impact on the minimum purge mass flow required to seal the cavity. However, the hub pressure profile drives the distribution of the cavity egress in the turbine channel. The unsteady pressure field is dominated by blade-synchronous oscillations. No non-synchronous components with comparable intensity are detected. Full article
(This article belongs to the Special Issue Advances in Critical Aspects of Turbomachinery Components and Systems)
Show Figures

Figure 1

24 pages, 15328 KB  
Article
Detailed Simulations of a Three-Stage Supercritical Carbon Dioxide Axial Compressor with a Focus on the Shrouded Stator Cavities Flow
by Saugat Ghimire and Mark Turner
Processes 2023, 11(5), 1358; https://doi.org/10.3390/pr11051358 - 28 Apr 2023
Cited by 5 | Viewed by 2069
Abstract
This paper describes the findings of detailed simulations performed to investigate the impact of seal teeth cavity leakage flow on the aerodynamic and thermal performance of a three-stage supercritical CO2 axial compressor. The study compares a shrouded stator configuration (with cavities) to [...] Read more.
This paper describes the findings of detailed simulations performed to investigate the impact of seal teeth cavity leakage flow on the aerodynamic and thermal performance of a three-stage supercritical CO2 axial compressor. The study compares a shrouded stator configuration (with cavities) to a cantilevered stator configuration (without cavities) to highlight their differences. High-fidelity computational fluid dynamics simulations were performed using non-linear harmonic (NLH) and mixing plane assumptions, considering various possible rotor/stator interface configurations for mixing plane calculations. The key performance parameters for each case were compared, and the best-performing configuration selected for further analysis. The individual stage performance parameters are also examined and compared between the cantilevered and shrouded configurations. It was observed that in the shrouded case, the leakage flow enters the cavity downstream of the stator trailing edge and gets entrained into the primary flow upstream of the stator, leading to boundary layer changes at the hub and degradation of stator and downstream rotor performance. Vortical flow structures were also observed in the stator wells, which tended to change the flow angles around the region, thereby affecting mixing and velocity distribution, resulting in a slight deterioration of compressor performance. Additionally, the study examines windage heating due to shear work from rotating walls, including the seal teeth surface. The amount of shear work done on the leakage flow and the corresponding rise in fluid temperature were quantified, tabulated, and further compared with a simple analytical model, showing good agreement between them and, hence, validating the numerical approach used. Full article
(This article belongs to the Special Issue New Advances in Heat Transfer and Fluid Flow)
Show Figures

Figure 1

12 pages, 3555 KB  
Article
Simulations of the Rotor-Stator-Cavity Flow in Liquid-Floating Rotor Micro Gyroscope
by Chunze Wang, Rui Feng, Yao Chu, Qing Tan, Chaoyang Xing and Fei Tang
Micromachines 2023, 14(4), 793; https://doi.org/10.3390/mi14040793 - 31 Mar 2023
Cited by 1 | Viewed by 1843
Abstract
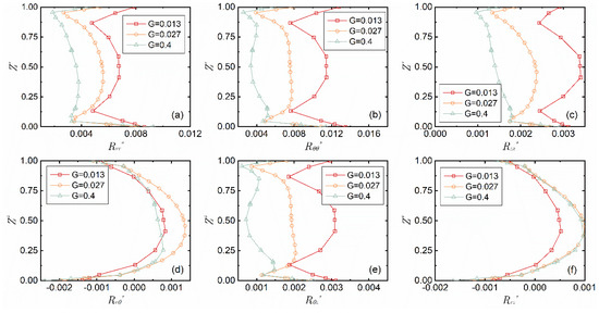
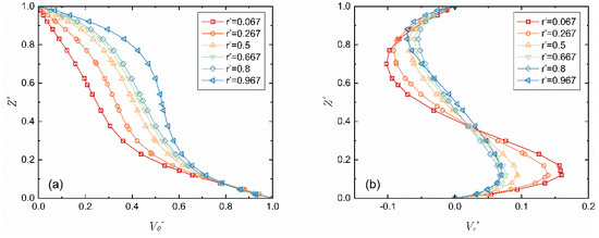
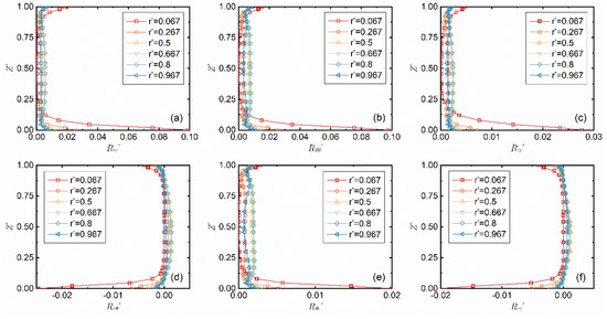
When rotating at a high speed in a microscale flow field in confined spaces, rotors are subject to a complex flow due to the joint effect of the centrifugal force, hindering of the stationary cavity and the scale effect. In this paper, a [...] Read more.
When rotating at a high speed in a microscale flow field in confined spaces, rotors are subject to a complex flow due to the joint effect of the centrifugal force, hindering of the stationary cavity and the scale effect. In this paper, a rotor-stator-cavity (RSC) microscale flow field simulation model of liquid-floating rotor micro gyroscopes is built, which can be used to study the flow characteristics of fluids in confined spaces with different Reynolds numbers (Re) and gap-to-diameter ratios. The Reynolds stress model (RSM) is applied to solve the Reynolds averaged Navier–Stokes equation for the distribution laws of the mean flow, turbulence statistics and frictional resistance under different working conditions. The results show that as the Re increases, the rotational boundary layer gradually separates from the stationary boundary layer, and the local Re mainly affects the distribution of velocity at the stationary boundary, while the gap-to-diameter ratio mainly affects the distribution of velocity at the rotational boundary. The Reynolds stress is mainly distributed in boundary layers, and the Reynolds normal stress is slightly greater than the Reynolds shear stress. The turbulence is in the state of plane-strain limit. As the Re increases, the frictional resistance coefficient increases. When Re is within 104, the frictional resistance coefficient increases as the gap-to-diameter ratio decreases, while the frictional resistance coefficient drops to the minimum when the Re exceeds 105 and the gap-to-diameter ratio is 0.027. This study can enable a better understanding of the flow characteristics of microscale RSCs under different working conditions. Full article
(This article belongs to the Section D1: Semiconductor Devices)
Show Figures

Figure 1

34 pages, 18673 KB  
Article
Swirl Flow and Heat Transfer in a Rotor-Stator Cavity with Consideration of the Inlet Seal Thermal Deformation Effect
by Yu Shi, Shuiting Ding, Peng Liu, Tian Qiu, Chuankai Liu, Changbo Qiu and Dahai Ye
Aerospace 2023, 10(2), 134; https://doi.org/10.3390/aerospace10020134 - 31 Jan 2023
Cited by 11 | Viewed by 4497
Abstract
In the typical structure of a turboshaft aero-engine, the mass flow of the cooling air in the rotor-stator cavity is controlled by the inlet seal labyrinth. This study focused on the swirl flow and heat transfer characteristics in a rotor-stator cavity with considerations [...] Read more.
In the typical structure of a turboshaft aero-engine, the mass flow of the cooling air in the rotor-stator cavity is controlled by the inlet seal labyrinth. This study focused on the swirl flow and heat transfer characteristics in a rotor-stator cavity with considerations of the inlet seal thermal deformation effect. A numerical framework was established by integrating conjugate heat transfer (CHT) analysis and structural finite element method (FEM) analysis to clarify the two-way aero-thermo-elasto coupling interaction among elastic deformation, leakage flow, and heat transfer. Simulation results showed that the actual hot-running clearance was non-uniform along the axial direction due to the temperature gradient and inconsistent structural stiffness. Compared with the cold-built clearance (CC), the minimum tip clearance of the actual non-uniform hot-running clearance (ANHC) was reduced by 37–40%, which caused an increase of swirl ratio at the labyrinth outlet by 5.3–6.9%, a reduction of the Nusselt number by up to 69%. The nominal uniform hot-running clearance (NUHC) was defined as the average labyrinth tip clearance. The Nusselt number of the rotating disk under the ANHC was up to 81% smaller than that under the NUHC. Finally, a clearance compensation method was proposed to increase the coolant flow and decrease the metal temperature. Full article
(This article belongs to the Special Issue Fluid-Dynamics and Heat Transfer in Aerospace Propulsion Systems)
Show Figures

Figure 1

23 pages, 14387 KB  
Article
Flow and Performance of the Disk Cavity of a Marine Gas Turbine at Varying Nozzle Pressure and Low Rotation Speeds: A Numerical Investigation
by Bo Hu, Yulong Yao, Minfeng Wang, Chuan Wang and Yanming Liu
Machines 2023, 11(1), 68; https://doi.org/10.3390/machines11010068 - 5 Jan 2023
Cited by 22 | Viewed by 3488
Abstract
In marine gas turbines, variations in rotational speed occur all the time. To ensure adequate cooling effects on the turbine blades, the valves need to be adjusted to change the pressure upstream of the pre-swirl nozzle. Changing such pressure will have significant effects [...] Read more.
In marine gas turbines, variations in rotational speed occur all the time. To ensure adequate cooling effects on the turbine blades, the valves need to be adjusted to change the pressure upstream of the pre-swirl nozzle. Changing such pressure will have significant effects on the local or overall parameters, such as core swirl ratio, temperature, flow rate coefficient, moment coefficient, axial thrust coefficient, etc. In this paper, we studied the flow characteristics within the pre-swirl system of a marine gas turbine at low rotational speed by varying the pressure at the pre-swirl nozzle. The corresponding global Reynolds number ranged from Re = 2.3793 × 105 to 9.5172 × 105. The flow in the rotor-stator cavities was analyzed to find the effects of nozzle pressure on the radial velocity, core swirl ratio, and pressure. According to the simulation results, we introduced a new leakage flow term into the formulary in the references to calculate the values of K between the inner seal and the pre-swirl nozzle. The matching characteristics between the pre-swirl nozzle and the inclined receiving hole was predicted. Performance of the pre-swirl system was also analyzed, such as the pressure drop, through-flow capacity, and cooling effects. After that, the moment coefficient and the axial thrust coefficient were predicted. This study provides some reference for designers to better design the pre-swirl system. Full article
(This article belongs to the Special Issue Optimization and Flow Characteristics in Advanced Fluid Machinery)
Show Figures

Figure 1

23 pages, 13357 KB  
Article
Unsteady Numerical Investigation on the Sealing Effectiveness and Flow Field in Different Rim Seal Geometries
by Qingcai Zhang, Qinqin Wang, Xiaoming Tan and Jingzhou Zhang
Aerospace 2022, 9(12), 780; https://doi.org/10.3390/aerospace9120780 - 1 Dec 2022
Cited by 5 | Viewed by 2740
Abstract
A rim seal is often used to prevent the ingress of high-temperature gas into the turbine disk cavity and protect the turbine disk from damage. Based on the overlapping rim seal (Seal-A), this paper proposes two more composite sealing structures (Seal-B and Seal-C) [...] Read more.
A rim seal is often used to prevent the ingress of high-temperature gas into the turbine disk cavity and protect the turbine disk from damage. Based on the overlapping rim seal (Seal-A), this paper proposes two more composite sealing structures (Seal-B and Seal-C) to show the effects of a deep cavity in the static disk and a modified platform in the rotating disk. Three-dimensional unsteady Reynolds-averaged Navier–Stokes equations and the shear stress transfer (SST) k-ω turbulence model were used to reveal the flow field characteristics and the sealing efficiency. The results show that the rotor–stator interaction plays a dominant role in the sealing outlet pressure, and the sealing efficiency in the outflow area obtained by the transient calculation is lower than that of the steady-state calculation. The rise in the cooling air flow enhances the reverse vortex in the sealing cavity, and the disk cavity’s sealing efficiency is also improved. When the cooling air flow ratio increases from 0.6% to 1.8%, the sealing efficiency at the high radius increases by 30%. The shape of the deep cavity produces a new return vortex at the lower part of the sealing cavity, which improves the sealing efficiency. The shark nose platform in Seal-C aggravates the gas ingress at the sealing outlet but improves the sealing efficiency at the sealing cavity. In general, compared with Seal-A, the sealing efficiency of Seal-B and Seal-C is increased by 13.5% and 10%, respectively, at a cooling air flow ratio of 0.6%. Full article
Show Figures

Figure 1

Back to TopTop