Sign in to use this feature.

Years

Between: -

Subjects

remove_circle_outline
remove_circle_outline
remove_circle_outline
remove_circle_outline
remove_circle_outline
remove_circle_outline
remove_circle_outline
remove_circle_outline
remove_circle_outline

Journals

remove_circle_outline
remove_circle_outline
remove_circle_outline
remove_circle_outline
remove_circle_outline
remove_circle_outline
remove_circle_outline
remove_circle_outline
remove_circle_outline
remove_circle_outline

Article Types

Countries / Regions

remove_circle_outline
remove_circle_outline
remove_circle_outline
remove_circle_outline
remove_circle_outline

Search Results (2,564)

Search Parameters:
Keywords = rotor system

Order results
Result details
Results per page
Select all
Export citation of selected articles as:
24 pages, 942 KB  
Article
Enhanced Wind Energy Integration and Grid Stability via Adaptive Nonlinear Control with Advanced Energy Management
by Nabil ElAadouli, Adil Mansouri, Abdelmounime El Magri, Rachid Lajouad, Ilyass El Myasse and Karim El Mezdi
Energies 2026, 19(8), 1941; https://doi.org/10.3390/en19081941 - 17 Apr 2026
Abstract
This paper proposes an advanced wind energy conversion and management framework for improving grid integration and mitigating frequency and power fluctuations caused by wind intermittency. The studied system combines a permanent magnet synchronous generator (PMSG), a unidirectional Vienna rectifier on the machine side, [...] Read more.
This paper proposes an advanced wind energy conversion and management framework for improving grid integration and mitigating frequency and power fluctuations caused by wind intermittency. The studied system combines a permanent magnet synchronous generator (PMSG), a unidirectional Vienna rectifier on the machine side, a Li-ion battery energy storage system, and a bidirectional Vienna rectifier on the grid side. The main scientific challenge addressed in this work is to ensure efficient wind power extraction, secure battery charging/discharging operation, and stable power exchange with the grid under variable operating conditions. To this end, a comprehensive nonlinear state-space model of the overall system is first established. Then, nonlinear controllers based on integral sliding mode principles are developed to guarantee rotor-speed tracking, DC-bus voltage regulation, battery charging current limitation, and active/reactive power control. In addition, an adaptive observer is designed to estimate the battery open-circuit voltage and support the supervision of the state of charge. An energy management strategy is further proposed to coordinate the operating modes according to grid conditions and battery constraints. Simulation results demonstrate that the proposed approach effectively smooths wind power fluctuations, improves grid support capability, and enhances the overall dynamic performance of the wind energy conversion system. Full article
Show Figures

Figure 1

24 pages, 17022 KB  
Article
Operational Modal Analysis of Aeronautical Structures via Tangential Interpolation
by Gabriele Dessena, Marco Civera and Oscar E. Bonilla-Manrique
Aerospace 2026, 13(4), 378; https://doi.org/10.3390/aerospace13040378 - 16 Apr 2026
Abstract
Over the last decades, progress in modal analysis has enabled the increasingly routine use of modal parameters for applications such as structural health monitoring and finite element model updating. For output-only identification, or operational modal analysis (OMA), widely adopted approaches include stochastic subspace [...] Read more.
Over the last decades, progress in modal analysis has enabled the increasingly routine use of modal parameters for applications such as structural health monitoring and finite element model updating. For output-only identification, or operational modal analysis (OMA), widely adopted approaches include stochastic subspace identification (SSI) methods and the Natural Excitation Technique, combined with the Eigensystem Realization Algorithm (NExT-ERA). Nevertheless, SSI-based techniques may become cumbersome on large systems, while NExT-ERA fitting can struggle when measurements are contaminated by noise. To alleviate these, this work investigates an OMA frequency-domain formulation for aeronautical structures by coupling the Loewner Framework (LF) with NExT, yielding the proposed NExT-LF method. The method exploits the computational efficiency of LF, due to the effectiveness of tangential interpolation, together with the impulse response function retrieval enabled by NExT. NExT-LF is assessed on two experimental benchmarks: the eXperimental BeaRDS 2 high-aspect-ratio wing main spar and an Airbus Helicopters H135 bearingless main rotor blade. The identified modal parameters are compared against available experimental references and results obtained via SSI with a Canonical Variate Analysis and NExT-ERA. The results show that the modes identified by NExT-LF correlate well with benchmark data, particularly for high-amplitude tests and in the low-frequency range. Full article
22 pages, 13976 KB  
Article
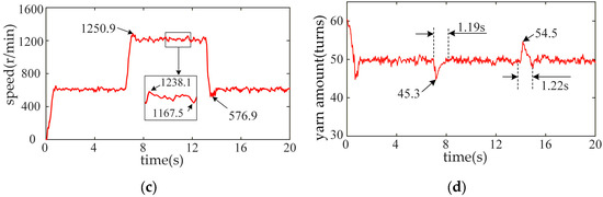
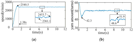
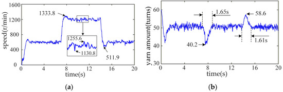
Research on Yarn Amount Control for PMSM in Yarn Feeder Based on Improved DSOGI and Kalman Filter
by Fuhua Huang, Wenqi Lu, Yufan Ruan and Chaojun Han
Appl. Sci. 2026, 16(8), 3844; https://doi.org/10.3390/app16083844 - 15 Apr 2026
Abstract
To solve the problems of rotor position estimation error caused by the installation deviation of Hall sensors and the increase in yarn amount detection error in complex environments, resulting in speed fluctuations and unstable yarn feeding in the traditional permanent magnet synchronous motor [...] Read more.
To solve the problems of rotor position estimation error caused by the installation deviation of Hall sensors and the increase in yarn amount detection error in complex environments, resulting in speed fluctuations and unstable yarn feeding in the traditional permanent magnet synchronous motor (PMSM) drive system for yarn feeder, a control method for yarn amount in yarn feeder PMSMs based on an improved dual second-order generalized integrator (DSOGI) and Kalman filter is proposed. Firstly, in order to reduce the influence of installation deviation of Hall sensors, the three-phase Hall signals are converted into two-phase orthogonal Hall vector signals. An improved DSOGI is used to filter out high-order harmonic components and specific harmonic components in the Hall vector signals, and a cross-coupled structure is constructed to further enhance the fundamental component and suppress high-order harmonic components of negative coefficients. Then, accurate motor rotor position information is extracted by a quadrature phase-locked loop; secondly, in order to obtain accurate information on yarn amount, a system state model based on yarn amount and its rate of change is established, and Kalman filtering is used for optimal estimation of the yarn amount; finally, the above methods are integrated into the PMSM control system of the yarn feeder. Experimental results show that, compared with traditional methods, the PMSM control system of the yarn feeder using the method proposed in this paper has a shorter startup time and smaller steady-state error in motor speed and yarn amount when conveying yarn at a constant speed; when transporting yarn at variable speed, the motor speed and yarn amount settling time are shorter, and the peak deviation is smaller. Full article
(This article belongs to the Section Electrical, Electronics and Communications Engineering)
Show Figures

Figure 1

21 pages, 6820 KB  
Article
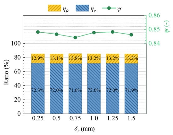
Effects of Radial Clearance Between Rotor and Casing on Flow Characteristics in a Centrifugal Pump
by Junjie Bian, Yandong Gu, Qiyuan Zhu and Weigang Lu
Machines 2026, 14(4), 438; https://doi.org/10.3390/machines14040438 - 15 Apr 2026
Abstract
The electrification of the automotive industry and the lightweighting of aerospace equipment demand high-efficiency centrifugal pumps for compact spaces. A novel centrifugal pump incorporates an integrated impeller-motor rotor design, achieving a more compact footprint and higher power density. However, research is scarce on [...] Read more.
The electrification of the automotive industry and the lightweighting of aerospace equipment demand high-efficiency centrifugal pumps for compact spaces. A novel centrifugal pump incorporates an integrated impeller-motor rotor design, achieving a more compact footprint and higher power density. However, research is scarce on the radial clearance between the rotor and casing. This study presents a comprehensive investigation of the internal flow dynamics, combining numerical simulations with experimental validation. A significant reduction in fluctuation amplitude for pump efficiency, head coefficient, and frictional loss rate occurs when the clearance ranges from 1.0 to 1.5 mm. Within clearances of 0.75 to 1.5 mm, complex vortex systems emerge in the radial clearance, inducing diverse circumferential high-speed zones. Pressure fluctuations within the radial clearance are predominantly governed by the blade passing frequency. At a clearance of 1.5 mm, the rotational harmonic amplitude at monitoring points exceeds the blade passing frequency amplitude by a factor of 1.9, while the average pressure fluctuation intensity at other points increases significantly by 36.9%. An optimal clearance of 1.25 mm achieves a balance between flow characteristics and energy consumption. This research provides practical insights for optimizing pump energy performance and operational stability. Full article
Show Figures

Figure 1

25 pages, 4744 KB  
Article
Frequency–Stability–Domain-Based Coordinated Frequency Regulation Control Strategy for Wind Turbine and Electrolytic Aluminum Systems to Avoid Secondary Frequency Dip
by Wei Chen, Fei Tang, Fangzheng Deng, Yixin Yu, Bincheng Li and Xiayu Jiang
Energies 2026, 19(8), 1912; https://doi.org/10.3390/en19081912 - 15 Apr 2026
Abstract
In power systems with a high penetration level of wind power, wind turbines are required to temporarily extract stored rotor kinetic energy to provide primary frequency support, thereby compensating for the limited frequency regulation (FR) capability of the overall system. However, wind turbine [...] Read more.
In power systems with a high penetration level of wind power, wind turbines are required to temporarily extract stored rotor kinetic energy to provide primary frequency support, thereby compensating for the limited frequency regulation (FR) capability of the overall system. However, wind turbine participation may lead to underresponse (insufficient frequency support) or overresponse, potentially causing a secondary frequency dip (SFD). Electrolytic aluminum load (EAL), as an industrial load with FR potential, can rapidly adjust its active power input by controlling the electrolytic cell voltage, equivalently increasing the system’s FR capacity and thereby enhancing the load disturbance resistance of power systems with high wind power penetration. This paper first analyzes the causes and mechanisms of the SFD induced by wind turbine overresponse based on a Unified transfer function structure (UTFS) model and introduces the concept of a frequency stability region. Within this region, the virtual droop and virtual inertia coefficients for wind turbines are tuned to prevent SFD during FR. Simultaneously, by involving EAL in system FR, the analysis reveals that its participation essentially equivalently expands the system’s frequency stability region. Building on this analysis and considering spatiotemporal influencing factors, a coordinated wind-aluminum FR control strategy across multiple timescales is proposed to avoid SFD. Finally, a 39-bus simulation system built in DIgSILENT is used for validation. The simulation results indicate that the proposed control strategy effectively suppresses SFD under high wind power penetration conditions, and that the incorporation of EAL significantly expands the frequency stability region of the power system. Full article
Show Figures

Figure 1

17 pages, 7933 KB  
Article
Integrated Design of High-Solidity Micro-Scale Counter-Rotating Wind Turbines at Extreme Close Spacing
by Shuo Zhang, Michaël Pereira and Florent Ravelet
Energies 2026, 19(8), 1900; https://doi.org/10.3390/en19081900 - 14 Apr 2026
Viewed by 142
Abstract
Micro-scale counter-rotating wind turbines (CRWTs) offer enhanced potential for wake energy recovery. This study proposes an integrated cascade–coupling design framework for high-solidity CRWTs, in which rear rotor geometry and rotor coupling are co-designed based on stereoscopic particle image velocimetry measurements of the front [...] Read more.
Micro-scale counter-rotating wind turbines (CRWTs) offer enhanced potential for wake energy recovery. This study proposes an integrated cascade–coupling design framework for high-solidity CRWTs, in which rear rotor geometry and rotor coupling are co-designed based on stereoscopic particle image velocimetry measurements of the front rotor wake. Experiments are conducted at a tip-speed ratio of λ=1.0, solidity σ=1.25, spacing ratios of d=0.6RT, 1.0RT, and 3.0RT, and a tip radius of RT=70 mm. At the physical limit spacing of d=0.6RT, the integrated design increases the system power coefficient by 24.1% while limiting front rotor power reduction to 17.2%, compared to a 10.3% system gain and 34.5% front rotor suppression for the baseline mirrored configuration. Wake measurements confirm near-complete absorption of rotational kinetic energy from the front rotor wake without exacerbating upstream interference. These results demonstrate that cascade-based energy extraction and coupling-based interference mitigation can operate synergistically, enabling compact, high-performance micro-scale CRWTs suitable for space-constrained and urban energy applications. Full article
(This article belongs to the Special Issue Flow Physics in Energy Conversion Systems)
Show Figures

Figure 1

28 pages, 8266 KB  
Article
Robustness Limitations of LQR in Nonlinear Compressor Control and Comparison with the Standard PID Approach
by Seyed Mohammad Hosseindokht, Jose Matas and Jorge El Mariachet
Electronics 2026, 15(8), 1630; https://doi.org/10.3390/electronics15081630 - 14 Apr 2026
Viewed by 208
Abstract
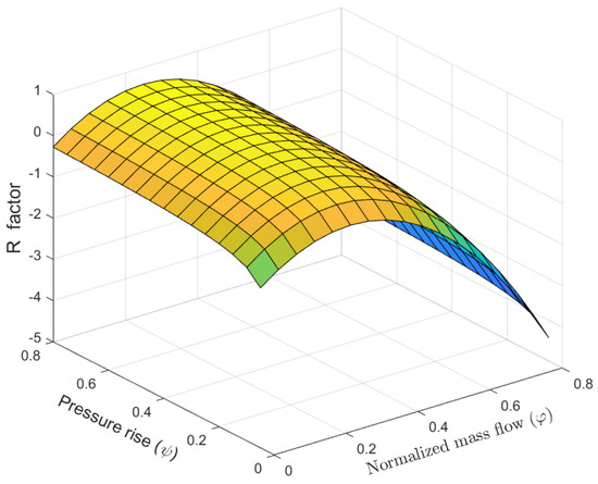
A dynamic analysis of a compressor system is presented to characterize its behavior and establish a mathematical framework for identifying stable and unstable operating regions. The study is grounded in the nonlinear Moore–Greitzer model, which describes compressor dynamics in terms of mass flow [...] Read more.
A dynamic analysis of a compressor system is presented to characterize its behavior and establish a mathematical framework for identifying stable and unstable operating regions. The study is grounded in the nonlinear Moore–Greitzer model, which describes compressor dynamics in terms of mass flow and pressure rise as functions of rotor speed. To predict the onset of surge and system instability, advanced nonlinear techniques are employed, including the Jacobian matrix, linear parameter-varying (LPV) modeling, Bendixson’s criterion, and phase plane analysis. These tools enable the identification of both stable and unstable regions, as well as the limit cycle associated with surge phenomena. All of these analyses of the compressor are innovative. Accurate prediction of compressor surge and instability is essential for defining and designing effective control strategies, as surge can damage the compressor, interrupt downstream flow, and inherently represents an unstable operating condition. However, analysis alone is insufficient for practical compressor operation. Therefore, three active control methods are considered: Proportional–Integral–Derivative (PID), Linear Quadratic Regulator (LQR), and Model Predictive Control (MPC). The comparative analysis reveals that insufficient consideration of varying system conditions in LQR design may lead to inferior performance relative to MPC and PID control, particularly under changing disturbances. In contrast, MPC and PID exhibit stronger robustness to disturbance variations and provide effective disturbance rejection. In the proposed approach, MPC simulations are conducted to evaluate controller performance. Due to disturbances in the closed-loop model, the LQR controller demonstrates reduced robustness compared to PID and MPC. Under surge-related disturbances, the minimum input mass flow by both PID and MPC controllers is 0.495 (very close to setpoint), and both controllers exhibit an overshoot of 33% and a rise time of 3 s. Full article
Show Figures

Figure 1

17 pages, 2737 KB  
Article
Dynamic Characteristics and Feedforward Control Methods of Magnetic Bearing Flywheels Under Moving Base Conditions
by Yuan Zeng, Peng Xiao and Jingbo Wei
Appl. Sci. 2026, 16(8), 3789; https://doi.org/10.3390/app16083789 - 13 Apr 2026
Viewed by 241
Abstract
Magnetic bearing flywheels, characterized by frictionless operation and long service life, are increasingly recognized as promising actuators for spacecraft attitude control. Understanding their dynamic behavior under moving-base conditions is therefore essential. In this study, the Lagrange method is employed to derive the dynamic [...] Read more.
Magnetic bearing flywheels, characterized by frictionless operation and long service life, are increasingly recognized as promising actuators for spacecraft attitude control. Understanding their dynamic behavior under moving-base conditions is therefore essential. In this study, the Lagrange method is employed to derive the dynamic equations of a magnetic-bearing flywheel subject to base motion. By incorporating the dynamics of electromagnetic bearings, a unified electromechanical-dynamic control model is established. Simulations are conducted to examine the system’s response during rapid maneuvers, with a focus on the effects of base moment of inertia, rotor speed, and maneuver angular rate on flywheel performance. Based on the analysis, a feedforward compensation strategy utilizing the angular acceleration of the moving base is proposed to suppress the influence of base motion. Simulation results validate the effectiveness of the proposed method, offering technical support for the future application of magnetically levitated flywheels in ultra-stable, fast-maneuvering satellites. Full article
(This article belongs to the Special Issue Advanced Design and Control Methods for Magnetic Levitation Systems)
Show Figures

Figure 1

24 pages, 4524 KB  
Article
Anti-Disturbance Gimbal Control via Adaptive Proportional-Integral-Resonant Controller and ESO for Control Moment Gyroscope with Vibration Isolator
by Shaobo Li, Zhong Wu and Boxu Zhu
Actuators 2026, 15(4), 215; https://doi.org/10.3390/act15040215 - 13 Apr 2026
Viewed by 217
Abstract
In order to mitigate the effects of micro-vibrations due to control moment gyroscopes (CMGs) on spacecraft attitude control system, they are often mounted on isolation platforms. However, the flexible deformation of isolators may cause certain disturbances in CMG gimbal servo systems. In addition, [...] Read more.
In order to mitigate the effects of micro-vibrations due to control moment gyroscopes (CMGs) on spacecraft attitude control system, they are often mounted on isolation platforms. However, the flexible deformation of isolators may cause certain disturbances in CMG gimbal servo systems. In addition, gimbal servo systems also suffer from intrinsic disturbances due to rotor imbalance and gimbal components. Since these disturbances are distributed over a wide frequency range, they are difficult to suppress and may seriously deteriorate gimbal control performance. To suppress multiple disturbances and improve gimbal speed accuracy, a composite anti-disturbance control method is proposed. The proposed method consists of two components. The first component adopts an adaptive proportional-integral-resonant controller with phase compensation to suppress disturbance due to isolator and rotor imbalance disturbance with improved transient performance. The second component adopts an adaptive extended state observer to estimate and then compensate slowly varying disturbances with improved dynamic performance and steady-state accuracy. By integrating these two components, the proposed method can effectively suppress multiple disturbances in CMG gimbal servo systems. Simulation and experimental results demonstrate the superior performance of the proposed method. Full article
Show Figures

Figure 1

18 pages, 1732 KB  
Article
Short-Term Active Power Reduction in DFIG-Based Wind Farms for Improving First-Swing Stability in Power Systems
by Yuan Liu and Taishan Xu
Energies 2026, 19(8), 1873; https://doi.org/10.3390/en19081873 - 11 Apr 2026
Viewed by 205
Abstract
In this paper, a short-term active power curtailment (ST-APC) strategy for doubly-fed induction generator (DFIG) wind farms is proposed to enhance first-swing rotor angle stability under fault disturbances. While wind power is a clean renewable resource that is widely deployed, its large-scale integration [...] Read more.
In this paper, a short-term active power curtailment (ST-APC) strategy for doubly-fed induction generator (DFIG) wind farms is proposed to enhance first-swing rotor angle stability under fault disturbances. While wind power is a clean renewable resource that is widely deployed, its large-scale integration heightens concerns about transient stability. After analyzing DFIG operating principles, this study advocates for using short-horizon active power control to mitigate the adverse stability impacts of wind farms. Using the Western System Coordinating Council (WSCC) three-machine nine-bus test system, the effectiveness of the ST-APC strategy across diverse operating conditions was verified. This study is based on the fundamental principle that reducing the output of wind turbines is required for first-swing stability after faults to increase the kinetic energy of synchronous machines. A closed-loop control strategy combining voltage drop, frequency change, and a timer is designed. The correlation laws between various control parameters such as control activation timing, duration, and modulation depth and first-swing stability are analyzed, providing references for parameter selection in engineering applications. The findings indicate that the proposed strategy is practical and adaptable, making it suitable for power systems with high wind power penetration. Full article
(This article belongs to the Section A3: Wind, Wave and Tidal Energy)
32 pages, 3633 KB  
Article
Reliability Analysis of Turbine Blade–Disk Dovetail Joints Considering Failure Correlation
by Shaohua Wang, Hua Yuan, Xi Liu, Rongqiao Wang, Gaoxiang Chen and Dianyin Hu
Crystals 2026, 16(4), 257; https://doi.org/10.3390/cryst16040257 - 11 Apr 2026
Viewed by 153
Abstract
The service environment of the turbine blade–disk dovetail joint structure in aero-engines is complex. Uncertainties in material properties and geometry, as well as the failure correlations among multiple locations or components, make reliability assessment challenging. First, a probabilistic life modeling method based on [...] Read more.
The service environment of the turbine blade–disk dovetail joint structure in aero-engines is complex. Uncertainties in material properties and geometry, as well as the failure correlations among multiple locations or components, make reliability assessment challenging. First, a probabilistic life modeling method based on linear heteroscedastic regression is proposed, and the Manson–Coffin probabilistic life models of DD6 and FGH96 alloys at 650 °C are established. Then, the Copula function is introduced to characterize the failure dependence structure, and the effectiveness of the method is verified through numerical examples. Fatigue-critical locations of the dovetail are identified, and a Kriging surrogate model is established to obtain the probabilistic stress distribution at the critical locations. Subsequently, the Copula method is employed to conduct reliability analysis of dovetail structures. The results show that the reliability of multiple dovetails considering correlation lies between that of a single dovetail and that under the assumption of complete independence. Moreover, the life of the entire disk dovetail structure is significantly influenced by the number of dovetails and the required reliability level. Finally, the study is extended to the blade–disk dovetail multi-component system. The results indicate that when correlation is considered, the reliability of both components decreases, and the overall structural life is dominated by the dovetail component with the lower life. The analytical method proposed in this paper provides theoretical support and engineering reference for the reliability design and life assessment of aero-engine rotor structures. Full article
(This article belongs to the Special Issue Fatigue and Fracture of Crystalline Metal Structures)
30 pages, 40596 KB  
Article
Three-Vector-Based Model Predictive Direct Speed Control Strategy for Enhanced Target Tracking in Risley Prism Systems
by Hao Lu, Bo Liu, Jianwen Guo, Yuqi Shan, Hao Yi, Yun Jiang, Lan Luo, Feifan He, Taibei Liu, Zixun Wang and Yongqi Yang
Actuators 2026, 15(4), 213; https://doi.org/10.3390/act15040213 - 11 Apr 2026
Viewed by 163
Abstract
When the Risley prism pair is used for target tracking, the nonlinear relationship between beam deflection and prism rotation makes tracking performance highly dependent on precise and stable motor control over a wide speed range. Although the brushless DC motor serves as the [...] Read more.
When the Risley prism pair is used for target tracking, the nonlinear relationship between beam deflection and prism rotation makes tracking performance highly dependent on precise and stable motor control over a wide speed range. Although the brushless DC motor serves as the preferred drive source, its inherent commutation torque ripples directly induce beam pointing jitter, severely degrading overall tracking accuracy and stability. To address these issues, this paper proposes a three-vector-based model predictive direct speed control method. This approach establishes a direct speed-to-torque control channel by generating reference active power through dynamic equations, eliminating the need for fitting a constant flux linkage and parameter tuning. Simultaneously, combined with three-vector optimization and seven-segment modulation strategies, it achieves a dynamic balance between high-frequency, instantaneous electromagnetic power fine-tuning and inherent mechanical inertia of the rotor. Simulation results demonstrate that the proposed method exhibits superior speed stability compared to the conventional double-vector-based model predictive power control method and maintains high-precision dynamic tracking over a wide speed range. Ultimately, it leads to an average reduction of over 60% in the time-weighted absolute tracking error integral under various target trajectories, providing an effective solution for drive control of target tracking in Risley prism systems. Full article
Show Figures

Figure 1

40 pages, 5381 KB  
Article
Hybrid Geometric Computed Torque Control of a Quadrotor with an Attached 2-DOF Robotic Arm
by Stamatina C. Barakou, Costas S. Tzafestas and Kimon P. Valavanis
Drones 2026, 10(4), 274; https://doi.org/10.3390/drones10040274 - 10 Apr 2026
Viewed by 248
Abstract
This research presents a hybrid geometric computed torque control method for an aerial manipulation system composed of a quadrotor UAV and a 2-DOF planar manipulator. The fully coupled system’s dynamic model is derived following the Euler–Lagrange (E-L) formulation. The proposed control architecture leverages [...] Read more.
This research presents a hybrid geometric computed torque control method for an aerial manipulation system composed of a quadrotor UAV and a 2-DOF planar manipulator. The fully coupled system’s dynamic model is derived following the Euler–Lagrange (E-L) formulation. The proposed control architecture leverages the geometric controller provided by the RotorS simulator as a high-level quadrotor trajectory tracking module. Tracking reference commands are generated using the geometric SE(3) position controller, which computes desired translational and angular accelerations from position/velocity and attitude/angular rate errors, respectively, serving as input to the low-level computed torque controller that explicitly accounts for the coupled 8-DoF aerial manipulator system dynamics. The desired generalized acceleration vector q¨des combines quadrotor translational and rotational acceleration commands with a PD-based joint acceleration command for the attached manipulator. The computed torque controller produces generalized forces for the coupled system, which are subsequently separated into quadrotor forces and moments and manipulator joint torques. The resulting quadrotor forces and moments are mapped to rotor speeds using the standard RotorS control allocation matrix, while the manipulator joints are controlled at the torque level via ROS built-in effort controllers. Extensive simulated experiments demonstrate the effectiveness of the coupled hybrid approach compared to decoupled control strategies, showing significant improvements in tracking accuracy and dynamic response. Full article
(This article belongs to the Special Issue Autonomy Challenges in Unmanned Aviation)
Show Figures

Figure 1

28 pages, 4860 KB  
Article
Robust Voltage Stability Enhancement of DFIG Systems Using Deadbeat-Controlled STATCOM and ADRC-Based Supercapacitor Support
by Ahmed Muthanna Nori, Ali Kadhim Abdulabbas, Omar Alrumayh and Tawfiq M. Aljohani
Mathematics 2026, 14(8), 1254; https://doi.org/10.3390/math14081254 - 9 Apr 2026
Viewed by 192
Abstract
The increasing penetration of Doubly Fed Induction Generator (DFIG)-based wind energy systems raises major concerns regarding voltage stability and Fault Ride-Through (FRT) capability under grid disturbances and wind speed variations. This paper proposes a coordinated control framework for a grid-connected DFIG system, where [...] Read more.
The increasing penetration of Doubly Fed Induction Generator (DFIG)-based wind energy systems raises major concerns regarding voltage stability and Fault Ride-Through (FRT) capability under grid disturbances and wind speed variations. This paper proposes a coordinated control framework for a grid-connected DFIG system, where a Static Synchronous Compensator (STATCOM) based on discrete-time deadbeat current control is integrated with a Supercapacitor Energy Storage System (SCES) connected to the DC link through a bidirectional DC-DC converter governed by cascaded Active Disturbance Rejection Control (ADRC). The deadbeat-controlled STATCOM provides fast reactive current injection for voltage support during sag and swell events, while the cascaded ADRC enhances DC-link voltage regulation and suppresses rotor-speed oscillations. Comprehensive MATLAB/Simulink simulations are carried out under variable wind speed and severe grid disturbances up to 80% voltage sag and 50% voltage swell. For voltage regulation, the proposed method is compared with SVC and PI-based STATCOM. In addition, SCES control performance is evaluated by comparing PI, single ADRC, and cascaded ADRC in terms of DC-link voltage overshoot, undershoot, and ripple. The results show clear improvements in voltage response and transient performance. Under a 20% voltage sag, the proposed deadbeat-controlled STATCOM significantly improves the dynamic response, where the undershoot is reduced from 0.125 p.u. (with SVC) to 0.04 p.u., and the settling time is shortened from 0.04 s to 0.025 s. Under a severe 80% sag, the overshoot is limited to 0.02 p.u., compared with 0.13 p.u. for the SVC and 0.15 p.u. for the PI-based STATCOM. Similarly, under a 50% voltage swell, the overshoot is reduced to 0.20 p.u., compared with 0.46 p.u. for the SVC and 0.27 p.u. for the PI-based STATCOM. Regarding the DC-link performance under 80% sag, the proposed cascaded ADRC-based SCES limits the overshoot and undershoot to 6 V and 2 V, respectively, compared with 39 V and 32 V for the PI-based SCES. These results confirm the superior damping, disturbance rejection, and FRT enhancement achieved by the proposed strategy. Full article
39 pages, 2044 KB  
Article
Genetic Algorithm–Optimized Cascaded Fractional-Order PI Control for Performance and Power Quality Enhancement of a 1.5 MW DFIG-Based MRWT
by Habib Benbouhenni and Nicu Bizon
Electronics 2026, 15(8), 1574; https://doi.org/10.3390/electronics15081574 - 9 Apr 2026
Viewed by 155
Abstract
This paper presents an intelligent cascaded fractional-order proportional–integral (CFO-PI) control strategy optimized using a genetic algorithm (GA) for a 1.5 MW DFIG-based multi-rotor wind turbine (MRWT) system. The primary objective is to enhance operational performance and power quality. The proposed method is evaluated [...] Read more.
This paper presents an intelligent cascaded fractional-order proportional–integral (CFO-PI) control strategy optimized using a genetic algorithm (GA) for a 1.5 MW DFIG-based multi-rotor wind turbine (MRWT) system. The primary objective is to enhance operational performance and power quality. The proposed method is evaluated against the conventional direct power control scheme using a traditional PI regulator (DPC-PI) to demonstrate its effectiveness. Comparative analysis shows substantial performance improvements achieved by the CFO-PI approach. Specifically, active power ripple is reduced by 61.71% compared to DPC-PI, resulting in smoother power delivery and improved grid compatibility. In addition, the steady-state error of active power decreases by 72.60%, indicating improved tracking accuracy. For reactive power, a 52.03% reduction in ripple is observed, while current ripple is reduced by approximately 56%, reflecting enhanced waveform quality. These results highlight the CFO-PI controller’s capability to maintain better power quality and steady-state performance relative to conventional DPC-PI. Overall, the GA-optimized CFO-PI controller provides a promising alternative for improving dynamic performance and power quality in DFIG-based MRWT systems. Full article
(This article belongs to the Special Issue Advances in Intelligent Robotics Control)
Show Figures

Figure 1

Back to TopTop