Sign in to use this feature.

Years

Between: -

Subjects

remove_circle_outline
remove_circle_outline
remove_circle_outline
remove_circle_outline
remove_circle_outline
remove_circle_outline
remove_circle_outline
remove_circle_outline

Journals

Article Types

Countries / Regions

Search Results (28)

Search Parameters:
Keywords = rooted product graph

Order results
Result details
Results per page
Select all
Export citation of selected articles as:
21 pages, 11683 KB  
Article
A Generative Adversarial Network for Pixel-Scale Lunar DEM Generation from Single High-Resolution Image and Low-Resolution DEM Based on Terrain Self-Similarity Constraint
by Tianhao Chen, Yexin Wang, Jing Nan, Chenxu Zhao, Biao Wang, Bin Xie, Wai-Chung Liu, Kaichang Di, Bin Liu and Shaohua Chen
Remote Sens. 2025, 17(17), 3097; https://doi.org/10.3390/rs17173097 - 5 Sep 2025
Viewed by 843
Abstract
Lunar digital elevation models (DEMs) are a fundamental data source for lunar research and exploration. However, high-resolution DEM products for the Moon are only available in some local areas, which makes it difficult to meet the needs of scientific research and missions. To [...] Read more.
Lunar digital elevation models (DEMs) are a fundamental data source for lunar research and exploration. However, high-resolution DEM products for the Moon are only available in some local areas, which makes it difficult to meet the needs of scientific research and missions. To this end, we have previously developed a deep learning-based method (LDEMGAN1.0) for single-image lunar DEM reconstruction. To address issues such as loss of detail in LDEMGAN1.0, this study leverages the inherent structural self-similarity of different DEM data from the same lunar terrain and proposes an improved version, named LDEMGAN2.0. During the training process, the model computes the self-similarity graph (SSG) between the outputs of the LDEMGAN2.0 generator and the ground truth, and incorporates the self-similarity loss (SSL) constraint into the network generator loss to guide DEM reconstruction. This improves the network’s capacity to capture both local and global terrain structures. Using the LROC NAC DTM product (2 m/pixel) as the ground truth, experiments were conducted in the Apollo 11 landing area. The proposed LDEMGAN2.0 achieved mean absolute error (MAE) of 1.49 m, root mean square error (RMSE) of 2.01 m, and structural similarity index measure (SSIM) of 0.86, which is 46.0%, 33.4%, and 11.6% higher than that of LDEMGAN1.0. Both qualitative and quantitative evaluations demonstrate that LDEMGAN2.0 enhances detail recovery and reduces reconstruction artifacts. Full article
(This article belongs to the Special Issue Planetary Geologic Mapping and Remote Sensing (Second Edition))
Show Figures

Graphical abstract

20 pages, 1901 KB  
Article
Inverse Sum Indeg Spectrum of q-Broom-like Graphs and Applications
by Fareeha Jamal, Nafaa Chbili and Muhammad Imran
Mathematics 2025, 13(15), 2346; https://doi.org/10.3390/math13152346 - 23 Jul 2025
Viewed by 317
Abstract
A graph with q(a+t) vertices is known as a q-broom-like graph KqB(a;t), which is produced by the hierarchical product of the complete graph Kq by the rooted [...] Read more.
A graph with q(a+t) vertices is known as a q-broom-like graph KqB(a;t), which is produced by the hierarchical product of the complete graph Kq by the rooted broom B(a;t), where q3,a1 and t1. A numerical quantity associated with graph structure is called a topological index. The inverse sum indeg index (shortened to ISI index) is a topological index defined as ISI(G)=vivjE(G)dvidvjdvi+dvj, where dvi is the degree of the vertex vi. In this paper, we take into consideration the ISI index for q-broom-like graphs and perform a thorough analysis of it. We find the ISI spectrum of q-broom-like graphs and derive the closed formulas for their ISI index and ISI energy. We also characterize extremal graphs and arrange them according to their ISI index and ISI energy, respectively. Further, a quantitative structure–property relationship is used to predict six physicochemical properties of sixteen alkaloid structures using ISI index and ISI energy. Both graph invariants have significant correlation values, indicating the accuracy and utility of the findings. The conclusions made in this article can help chemists and pharmacists research alkaloids’ structures for applications in industry, pharmacy, agriculture, and daily life. Full article
(This article belongs to the Special Issue Advances in Combinatorics, Discrete Mathematics and Graph Theory)
Show Figures

Figure 1

23 pages, 4707 KB  
Article
Fabrication of Novel Hybrid Al-SiC-ZrO2 Composites via Powder Metallurgy Route and Intelligent Modeling for Their Microhardness
by Pallab Sarmah, Shailendra Pawanr and Kapil Gupta
Ceramics 2025, 8(3), 91; https://doi.org/10.3390/ceramics8030091 - 19 Jul 2025
Cited by 1 | Viewed by 705
Abstract
In this work, the development of Al-based metal matrix composites (MMCs) is achieved using hybrid SiC and ZrO2 reinforcement particles for automotive applications. Powder metallurgy (PM) is employed with various combinations of important process parameters for the fabrication of MMCs. MMCs were [...] Read more.
In this work, the development of Al-based metal matrix composites (MMCs) is achieved using hybrid SiC and ZrO2 reinforcement particles for automotive applications. Powder metallurgy (PM) is employed with various combinations of important process parameters for the fabrication of MMCs. MMCs were characterized using scanning electron microscopy (SEM), X-ray diffractometry (XRD), and a microhardness study. All XRD graphs adequately exhibit Al, SiC, and ZrO2 peaks, indicating that the hybrid MMC products were satisfactorily fabricated with appropriate mixing and sintering at all the considered fabrication conditions. Also, no impurity peaks were observed, confirming high composite purity. MMC products in all the XRD patterns, suitable for the desired applications. According to the SEM investigation, SiC and ZrO2 reinforcement components are uniformly scattered throughout Al matrix in all produced MMC products. The occurrence of Al, Si, C, Zr, and O in EDS spectra demonstrates the effectiveness of composite ball milling and sintering under all manufacturing conditions. Moreover, an increase in interfacial bonding of fabricated composites at a higher sintering temperature indicated improved physical properties of the developed MMCs. The highest microhardness value is 86.6 HVN amid all the fabricated composites at 7% silica, 14% zirconium dioxide, 500° sintering temperature, 90 min sintering time, and 60 min milling time. An integrated Particle Swarm Optimization–Support Vector Machine (PSO-SVM) model was developed to predict microhardness based on the input parameters. The model demonstrated strong predictive performance, as evidenced by low values of various statistical metrics for both training and testing datasets, highlighting the PSO-SVM model’s robustness and generalization capability. Specifically, the model achieved a coefficient of determination of 0.995 and a root mean square error of 0.920 on the training set, while on the testing set, it attained a coefficient of determination of 0.982 and a root mean square error of 1.557. These results underscore the potential of the PSO-SVM framework, which can be effectively leveraged to optimize process parameters for achieving targeted microhardness levels for the developed Al-SiC-ZrO2 Composites. Full article
Show Figures

Figure 1

23 pages, 6348 KB  
Article
A Framework for Predicting Winter Wheat Yield in Northern China with Triple Cross-Attention and Multi-Source Data Fusion
by Shuyan Pan and Liqun Liu
Plants 2025, 14(14), 2206; https://doi.org/10.3390/plants14142206 - 16 Jul 2025
Viewed by 442
Abstract
To solve the issue that existing yield prediction methods do not fully capture the interaction between multiple factors, we propose a winter wheat yield prediction framework with triple cross-attention for multi-source data fusion. This framework consists of three modules: a multi-source data processing [...] Read more.
To solve the issue that existing yield prediction methods do not fully capture the interaction between multiple factors, we propose a winter wheat yield prediction framework with triple cross-attention for multi-source data fusion. This framework consists of three modules: a multi-source data processing module, a multi-source feature fusion module, and a yield prediction module. The multi-source data processing module collects satellite, climate, and soil data based on the winter wheat planting range, and constructs a multi-source feature sequence set by combining statistical data. The multi-source feature fusion module first extracts deeper-level feature information based on the characteristics of different data, and then performs multi-source feature fusion through a triple cross-attention fusion mechanism. The encoder part in the production prediction module adds a graph attention mechanism, forming a dual branch with the original multi-head self-attention mechanism to ensure the capture of global dependencies while enhancing the preservation of local feature information. The decoder section generates the final predicted output. The results show that: (1) Using 2021 and 2022 as test sets, the mean absolute error of our method is 385.99 kg/hm2, and the root mean squared error is 501.94 kg/hm2, which is lower than other methods. (2) It can be concluded that the jointing-heading stage (March to April) is the most crucial period affecting winter wheat production. (3) It is evident that our model has the ability to predict the final winter wheat yield nearly a month in advance. Full article
(This article belongs to the Section Plant Modeling)
Show Figures

Figure 1

19 pages, 1306 KB  
Article
Root Cause Analysis of Cast Product Defects with Two-Branch Reasoning Network Based on Continuous Casting Quality Knowledge Graph
by Xiaojun Wu, Xinyi Wang, Yue She, Mengmeng Sun and Qi Gao
Appl. Sci. 2025, 15(13), 6996; https://doi.org/10.3390/app15136996 - 20 Jun 2025
Viewed by 725
Abstract
A variety of cast product defects may occur in the continuous casting process. By establishing a Continuous Casting Quality Knowledge Graph (C2Q-KG) focusing on the causes of cast product defects, enterprises can systematically sort out and express the relations between various production factors [...] Read more.
A variety of cast product defects may occur in the continuous casting process. By establishing a Continuous Casting Quality Knowledge Graph (C2Q-KG) focusing on the causes of cast product defects, enterprises can systematically sort out and express the relations between various production factors and cast product defects, which makes the reasoning process for the causes of cast product defects more objective and comprehensive. However, reasoning schemes for general KGs often use the same processing method to deal with different types of relations, without considering the difference in the number distribution of the head and tail entities in the relation, leading to a decrease in reasoning accuracy. In order to improve the reasoning accuracy of C2Q-KGs, this paper proposes a model based on a two-branch reasoning network. Our model classifies the continuous casting triples according to the number distribution of the head and tail entities in the relation and connects a two-branch reasoning network consisting of one connection layer and one capsule layer behind the convolutional layer. The connection layer is used to deal with the sparsely distributed entity-side reasoning task in the triple, while the capsule layer is used to deal with the densely distributed entity-side reasoning task in the triple. In addition, the Graph Attention Network (GAT) is introduced to enable our model to better capture the complex information hidden in the neighborhood of each entity and improve the overall reasoning accuracy. The experimental results show that compared with other cutting-edge methods on the continuous casting data set, our model significantly improves performance and infers more accurate root causes of cast product defects, which provides powerful guidance for enterprise production. Full article
Show Figures

Figure 1

24 pages, 7997 KB  
Article
A Spatial–Temporal Adaptive Graph Convolutional Network with Multi-Sensor Signals for Tool Wear Prediction
by Yu Xia, Guangji Zheng, Ye Li and Hui Liu
Appl. Sci. 2025, 15(4), 2058; https://doi.org/10.3390/app15042058 - 16 Feb 2025
Viewed by 1592
Abstract
Tool wear monitoring is crucial for optimizing cutting performance, reducing costs, and improving production efficiency. Existing tool wear prediction models usually design integrated models based on a convolutional neural network (CNN) and recurrent neural network (RNN) to extract spatial and temporal features separately. [...] Read more.
Tool wear monitoring is crucial for optimizing cutting performance, reducing costs, and improving production efficiency. Existing tool wear prediction models usually design integrated models based on a convolutional neural network (CNN) and recurrent neural network (RNN) to extract spatial and temporal features separately. However, the topological structures between multi-sensor networks are ignored, and the ability to extract spatial features is limited. To overcome these limitations, a novel spatial–temporal adaptive graph convolutional network (STAGCN) is proposed to capture spatial–temporal dependencies with multi-sensor signals. First, a simple linear model is used to capture temporal patterns in individual time-series data. Second, a spatial–temporal layer composed of a bidirectional Mamba and an adaptive graph convolution is established to extract degradation features and reflect the dynamic degradation trend using an adaptive graph. Third, multi-scale triple linear attention (MTLA) is used to fuse the extracted multi-scale features across spatial, temporal, and channel dimensions, which can assign different weights adaptively to retain important information and weaken the influence of redundant features. Finally, the fused features are fed into a linear regression layer to estimate the tool wear. Experimental results conducted on the PHM2010 dataset demonstrate the effectiveness of the proposed STAGCN model, achieving a mean absolute error (MAE) of 3.40 μm and a root mean square error (RMSE) of 4.32 μm in the average results across three datasets. Full article
Show Figures

Figure 1

21 pages, 6402 KB  
Article
Effect of LED Lights on Morphological Construction and Leaf Photosynthesis of Lettuce (Lactuca sativa L.)
by Jianlei Qiao, Wen Hu, Shanshan Chen, Hongbo Cui, Jiangtao Qi, Yue Yu, Shuang Liu and Jianfeng Wang
Horticulturae 2025, 11(1), 43; https://doi.org/10.3390/horticulturae11010043 - 6 Jan 2025
Cited by 4 | Viewed by 3682
Abstract
During the overwintering production of lettuce in solar greenhouses, there exist a short duration of sunlight and low light intensity, which are detrimental to the growth and development of lettuce. Supplemental lighting is an effective solution to this issue. This study aims to [...] Read more.
During the overwintering production of lettuce in solar greenhouses, there exist a short duration of sunlight and low light intensity, which are detrimental to the growth and development of lettuce. Supplemental lighting is an effective solution to this issue. This study aims to explore the influence of adding different wavelengths of red light to white LEDs for supplemental lighting on the growth and photosynthesis of lettuce leaves in solar greenhouses. Four experimental zones were established, namely white LED + 630 nm (T1), white LED + 660 nm (T2), white LED + 690 nm (T3), and no supplemental lighting (CK). The results indicate that supplemental lighting significantly increased the plant height, leaf area, biomass, and root indices. The chlorophyll content measurements showed higher photosynthetic pigment levels in the treated plants, enhancing the net photosynthesis rate (Pn). Thus, the combination of red and white light provides a more comprehensive spectrum and enhances the photosynthetic capacity of plant leaves. Simultaneously, under supplemental lighting, the plant fluorescence parameters Y(II), Fv/Fm, qP, and ETR were significantly elevated. It was found from the chlorophyll fluorescence frequency distribution graph that the leftward shift in Y(II) in the control group (CK) indicated that it was in a state of weak light stress, but supplemental lighting effectively ameliorated this stress environment. Among the types of supplemental lighting, the combination of white LEDs with 660 nm red light provides the most significant improvement in the growth and photosynthetic characteristics of lettuce under winter greenhouse conditions, and this combination holds great application potential in winter greenhouse lettuce production. Full article
Show Figures

Figure 1

16 pages, 445 KB  
Article
Certain Domination Parameters and Their Resolving Versions of Fractal Cubic Networks
by Savari Prabhu, Arumugam Krishnan Arulmozhi and M. Arulperumjothi
Fractal Fract. 2024, 8(12), 747; https://doi.org/10.3390/fractalfract8120747 - 18 Dec 2024
Cited by 2 | Viewed by 1135
Abstract
Networks are designed to communicate, operate, and allocate tasks to respective commodities. Operating supercomputers became challenging, which was handled by the network design commonly known as hypercube, denoted by Qn. In a recent study, the hypercube networks were insufficient to hold [...] Read more.
Networks are designed to communicate, operate, and allocate tasks to respective commodities. Operating supercomputers became challenging, which was handled by the network design commonly known as hypercube, denoted by Qn. In a recent study, the hypercube networks were insufficient to hold supercomputers’ parallel processors. Thus, variants of hypercubes were discovered to produce an alternative to the hypercube. A new variant of the hypercube, the fractal cubic network, can be used as the best alternative in the case of hypercubes. Our research investigates that the fractal cubic network is a rooted product of two graphs. We try to determine its domination and resolving domination parameters, which could be applied to resource location and broadcasting-related problems. Full article
(This article belongs to the Section Mathematical Physics)
Show Figures

Figure 1

18 pages, 1445 KB  
Article
A Temporal–Geospatial Deep Learning Framework for Crop Yield Prediction
by Lei Wang, Zhengkui Chen, Weichun Liu and Hai Huang
Electronics 2024, 13(21), 4273; https://doi.org/10.3390/electronics13214273 - 31 Oct 2024
Cited by 6 | Viewed by 3657
Abstract
With the rapid development of information technology, the demand for digital agriculture is increasing. As an important agricultural production topic, crop yield has always attracted much attention. Currently, artificial intelligence, particularly machine learning, has become the leading approach for crop yield prediction. As [...] Read more.
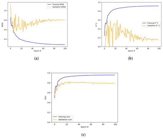
With the rapid development of information technology, the demand for digital agriculture is increasing. As an important agricultural production topic, crop yield has always attracted much attention. Currently, artificial intelligence, particularly machine learning, has become the leading approach for crop yield prediction. As a result, developing a machine learning method that accurately predicts crop yield has become one of the central challenges in digital agriculture. Unlike traditional regression prediction problems, crop yield prediction has a significant time correlation. For example, weather data for each county show strong temporal correlations. Moreover, geographic information from different regions also impacts crop yield to a certain extent. For example, if a county’s neighboring counties have a good harvest, then this county is likely to have high yields as well. This paper introduces a novel hybrid deep learning framework that combines convolutional neural network (CNN), graph attention network (GAT) and long short-term memory (LSTM) modules to enhance prediction accuracy. Specifically, CNN is employed to extract the features from the input data for each county in each year. GAT is introduced to model the geographical relationships between neighboring counties, allowing the model to capture spatial dependencies more effectively. LSTM is used to extract the temporal information within many years. The proposed hybrid deep learning framework CNN-GAT-LSTM captures both the temporal and spatial relationships, thereby improving the accuracy of yield prediction. We conduct experiments on a nationwide dataset that includes data from 1115 soybean-producing counties in 13 states in the United States covering the years from 1980 to 2018. We evaluate the performance of our proposed CNN-GAT-LSTM model based on three metrics, namely root of the mean squared error (RMSE), R-squared (R2) and correlation coefficient (Corr). The experimental results demonstrate that the proposed model achieves significant performance improvements over the existing state-of-the-art model, with RMSE reduced by 5%, R2 improved by 6% and Corr enhanced by 4%. Full article
(This article belongs to the Section Artificial Intelligence)
Show Figures

Figure 1

33 pages, 6528 KB  
Article
TVGeAN: Tensor Visibility Graph-Enhanced Attention Network for Versatile Multivariant Time Series Learning Tasks
by Mohammed Baz
Mathematics 2024, 12(21), 3320; https://doi.org/10.3390/math12213320 - 23 Oct 2024
Cited by 1 | Viewed by 1463
Abstract
This paper introduces Tensor Visibility Graph-enhanced Attention Networks (TVGeAN), a novel graph autoencoder model specifically designed for MTS learning tasks. The underlying approach of TVGeAN is to combine the power of complex networks in representing time series as graphs with the strengths of [...] Read more.
This paper introduces Tensor Visibility Graph-enhanced Attention Networks (TVGeAN), a novel graph autoencoder model specifically designed for MTS learning tasks. The underlying approach of TVGeAN is to combine the power of complex networks in representing time series as graphs with the strengths of Graph Neural Networks (GNNs) in learning from graph data. TVGeAN consists of two new main components: TVG which extend the capabilities of visibility graph algorithms in representing MTSs by converting them into weighted temporal graphs where both the nodes and the edges are tensors. Each node in the TVG represents the MTS observations at a particular time, while the weights of the edges are defined based on the visibility angle algorithm. The second main component of the proposed model is GeAN, a novel graph attention mechanism developed to seamlessly integrate the temporal interactions represented in the nodes and edges of the graphs into the core learning process. GeAN achieves this by using the outer product to quantify the pairwise interactions of nodes and edges at a fine-grained level and a bilinear model to effectively distil the knowledge interwoven in these representations. From an architectural point of view, TVGeAN builds on the autoencoder approach complemented by sparse and variational learning units. The sparse learning unit is used to promote inductive learning in TVGeAN, and the variational learning unit is used to endow TVGeAN with generative capabilities. The performance of the TVGeAN model is extensively evaluated against four widely cited MTS benchmarks for both supervised and unsupervised learning tasks. The results of these evaluations show the high performance of TVGeAN for various MTS learning tasks. In particular, TVGeAN can achieve an average root mean square error of 6.8 for the C-MPASS dataset (i.e., regression learning tasks) and a precision close to one for the SMD, MSL, and SMAP datasets (i.e., anomaly detection learning tasks), which are better results than most published works. Full article
(This article belongs to the Section E1: Mathematics and Computer Science)
Show Figures

Figure 1

20 pages, 773 KB  
Article
On the Normalized Laplacian Spectrum of the Linear Pentagonal Derivation Chain and Its Application
by Yuqing Zhang and Xiaoling Ma
Axioms 2023, 12(10), 945; https://doi.org/10.3390/axioms12100945 - 1 Oct 2023
Cited by 2 | Viewed by 1385
Abstract
A novel distance function named resistance distance was introduced on the basis of electrical network theory. The resistance distance between any two vertices u and v in graph G is defined to be the effective resistance between them when unit resistors are placed [...] Read more.
A novel distance function named resistance distance was introduced on the basis of electrical network theory. The resistance distance between any two vertices u and v in graph G is defined to be the effective resistance between them when unit resistors are placed on every edge of G. The degree-Kirchhoff index of G is the sum of the product of resistance distances and degrees between all pairs of vertices of G. In this article, according to the decomposition theorem for the normalized Laplacian polynomial of the linear pentagonal derivation chain QPn, the normalize Laplacian spectrum of QPn is determined. Combining with the relationship between the roots and the coefficients of the characteristic polynomials, the explicit closed-form formulas for degree-Kirchhoff index and the number of spanning trees of QPn can be obtained, respectively. Moreover, we also obtain the Gutman index of QPn and we discovery that the degree-Kirchhoff index of QPn is almost half of its Gutman index. Full article
(This article belongs to the Special Issue Graph Theory and Discrete Applied Mathematics)
Show Figures

Figure 1

25 pages, 2276 KB  
Article
Fast and Accurate Prediction of Refractive Index of Organic Liquids with Graph Machines
by François Duprat, Jean-Luc Ploix, Jean-Marie Aubry and Théophile Gaudin
Molecules 2023, 28(19), 6805; https://doi.org/10.3390/molecules28196805 - 26 Sep 2023
Cited by 3 | Viewed by 7581
Abstract
The refractive index (RI) of liquids is a key physical property of molecular compounds and materials. In addition to its ubiquitous role in physics, it is also exploited to impart specific optical properties (transparency, opacity, and gloss) to materials and various end-use products. [...] Read more.
The refractive index (RI) of liquids is a key physical property of molecular compounds and materials. In addition to its ubiquitous role in physics, it is also exploited to impart specific optical properties (transparency, opacity, and gloss) to materials and various end-use products. Since few methods exist to accurately estimate this property, we have designed a graph machine model (GMM) capable of predicting the RI of liquid organic compounds containing up to 16 different types of atoms and effective in discriminating between stereoisomers. Using 8267 carefully checked RI values from the literature and the corresponding 2D organic structures, the GMM provides a training root mean square relative error of less than 0.5%, i.e., an RMSE of 0.004 for the estimation of the refractive index of the 8267 compounds. The GMM predictive ability is also compared to that obtained by several fragment-based approaches. Finally, a Docker-based tool is proposed to predict the RI of organic compounds solely from their SMILES code. The GMM developed is easy to apply, as shown by the video tutorials provided on YouTube. Full article
Show Figures

Figure 1

12 pages, 4067 KB  
Article
Characterization of the Key Bibenzyl Synthase in Dendrobium sinense
by Yan Chen, Yu Wang, Chongjun Liang, Liyan Liu, Xiqiang Song, Ying Zhao, Jia Wang and Jun Niu
Int. J. Mol. Sci. 2022, 23(12), 6780; https://doi.org/10.3390/ijms23126780 - 17 Jun 2022
Cited by 13 | Viewed by 2880
Abstract
Dendrobium sinense, an endemic medicinal herb in Hainan Island, is rich in bibenzyls. However, the key rate-limited enzyme involved in bibenzyl biosynthesis has yet to be identified in D. sinense. In this study, to explore whether there is a significant difference [...] Read more.
Dendrobium sinense, an endemic medicinal herb in Hainan Island, is rich in bibenzyls. However, the key rate-limited enzyme involved in bibenzyl biosynthesis has yet to be identified in D. sinense. In this study, to explore whether there is a significant difference between the D. sinense tissues, the total contents of bibenzyls were determined in roots, pseudobulbs, and leaves. The results indicated that roots had higher bibenzyl content than pseudobulbs and leaves. Subsequently, transcriptomic sequencings were conducted to excavate the genes encoding type III polyketide synthase (PKS). A total of six D. sinense PKS (DsPKS) genes were identified according to gene function annotation. Phylogenetic analysis classified the type III DsPKS genes into three groups. Importantly, the c93636.graph_c0 was clustered into bibenzyl synthase (BBS) group, named as D. sinense BBS (DsBBS). The expression analysis by FPKM and RT-qPCR indicated that DsBBS showed the highest expression levels in roots, displaying a positive correlation with bibenzyl contents in different tissues. Thus, the recombinant DsBBS-HisTag protein was constructed and expressed to study its catalytic activity. The molecular weight of the recombinant protein was verified to be approximately 45 kDa. Enzyme activity analysis indicated that the recombinant DsBBS-HisTag protein could use 4-coumaryol-CoA and malonyl-CoA as substrates for resveratrol production in vitro. The Vmax of the recombinant protein for the resveratrol production was 0.88 ± 0.07 pmol s−1 mg−1. These results improve our understanding with respect to the process of bibenzyl biosynthesis in D. sinense. Full article
(This article belongs to the Section Molecular Plant Sciences)
Show Figures

Figure 1

12 pages, 289 KB  
Article
Antimagic Labeling for Product of Regular Graphs
by Vinothkumar Latchoumanane and Murugan Varadhan
Symmetry 2022, 14(6), 1235; https://doi.org/10.3390/sym14061235 - 14 Jun 2022
Cited by 5 | Viewed by 6825
Abstract
An antimagic labeling of a graph G=(V,E) is a bijection from the set of edges of G to 1,2,,E(G) and such that any two vertices of G have [...] Read more.
An antimagic labeling of a graph G=(V,E) is a bijection from the set of edges of G to 1,2,,E(G) and such that any two vertices of G have distinct vertex sums where the vertex sum of a vertex v in V(G) is nothing but the sum of all the incident edge labeling of G. In this paper, we discussed the antimagicness of rooted product and corona product of graphs. We proved that if we let G be a connected t-regular graph and H be a connected k-regular graph, then the rooted product of graph G and H admits antimagic labeling if tk. Moreover, we proved that if we let G be a connected t-regular graph and H be a connected k-regular graph, then the corona product of graph G and H admits antimagic labeling for all t,k2. Full article
(This article belongs to the Special Issue Graph Labelings and Their Applications)
Show Figures

Figure 1

15 pages, 1087 KB  
Article
Pancyclicity of the n-Generalized Prism over Skirted Graphs
by Artchariya Muaengwaeng, Ratinan Boonklurb and Sirirat Singhun
Symmetry 2022, 14(4), 816; https://doi.org/10.3390/sym14040816 - 14 Apr 2022
Cited by 1 | Viewed by 1991
Abstract
A side skirt is a planar rooted tree T, TP2, where the root of T is a vertex of degree at least two, and all other vertices except the leaves are of degree at least three. A reduced [...] Read more.
A side skirt is a planar rooted tree T, TP2, where the root of T is a vertex of degree at least two, and all other vertices except the leaves are of degree at least three. A reduced Halin graph or a skirted graph is a plane graph G=TP, where T is a side skirt, and P is a path connecting the leaves of T in the order determined by the embedding of T. The structure of reduced Halin or skirted graphs contains both symmetry and asymmetry. For n2 and Pn=v1v2v3vn as a path of length n1, we call the Cartesian product of a graph G and a path Pn, the n-generalized prism over a graph G. We have known that the n-generalized prism over a skirted graph is Hamiltonian. To support the Bondy’s metaconjecture from 1971, we show that the n-generalized prism over a skirted graph is pancyclic. Full article
(This article belongs to the Special Issue Graph Algorithms and Graph Theory)
Show Figures

Figure 1

Back to TopTop