Sign in to use this feature.

Years

Between: -

Subjects

remove_circle_outline
remove_circle_outline
remove_circle_outline
remove_circle_outline
remove_circle_outline
remove_circle_outline
remove_circle_outline
remove_circle_outline
remove_circle_outline

Journals

Article Types

Countries / Regions

Search Results (69)

Search Parameters:
Keywords = restoring force model parameters

Order results
Result details
Results per page
Select all
Export citation of selected articles as:
49 pages, 20357 KB  
Review
Exploring the Design, Modeling, and Identification of Beneficial Nonlinear Restoring Forces: A Review
by Qinghua Liu
Appl. Sci. 2026, 16(1), 413; https://doi.org/10.3390/app16010413 (registering DOI) - 30 Dec 2025
Abstract
Exploring the design of beneficial nonlinear restoring force structures has become a highly popular topic due to their extensive applications in energy harvesting, actuation, energy absorption, robotics, etc. However, the current literature lacks a systematic review and classification that addresses the design, modeling, [...] Read more.
Exploring the design of beneficial nonlinear restoring force structures has become a highly popular topic due to their extensive applications in energy harvesting, actuation, energy absorption, robotics, etc. However, the current literature lacks a systematic review and classification that addresses the design, modeling, and parameter identification of nonlinear restoring forces. Thus, the present paper provides a thorough examination of the latest advancements in the design of nonlinear restoring forces, as well as modeling and parameter identification in contemporary beneficial nonlinear designs. The seven design methodologies, namely magnetic coupling, oblique spring linkages, static or dynamic preloading, metamaterials, bio-inspired, MEMS (Micro-Electromechanical Systems) manufacturing, and dry friction applied approaches, are classified. The polynomial, hysteretic, and piecewise linear models are summarized for nonlinear restoring force characterization. The system parameter identification methods covering restoring force surface, Hilbert transform, time-frequency analysis, nonlinear subspace identification, unscented Kalman filter, optimization algorithms, physics-informed neural networks, and data-driven sparse regression are reviewed. Moreover, possible enhancement strategies for nonlinear system identification of nonlinear restoring forces are presented. Finally, broader implications and future directions for the design, characterization, and identification of nonlinear restoring forces are discussed. Full article
(This article belongs to the Special Issue New Challenges in Nonlinear Vibration and Aeroelastic Analysis)
38 pages, 16151 KB  
Article
Three-Dimensional Digital Reconstruction and Archaeometric Approaches for Hydroxyapatite-Based Restoration of Sacidava Roman Fortress
by Rodica-Mariana Ion, Emanuel-Valentin Buică, Andrei Militaru and Sorin Marcel Colesniuc
Coatings 2025, 15(12), 1374; https://doi.org/10.3390/coatings15121374 - 24 Nov 2025
Viewed by 452
Abstract
This study presents an integrated digital and archaeometric investigation of the Roman fortress of Sacidava, located in Dobrogea, Romania. Combining 3D digital reconstruction and advanced material analysis, the research explores both the original architecture and the preserved state of the site. Using Autodesk [...] Read more.
This study presents an integrated digital and archaeometric investigation of the Roman fortress of Sacidava, located in Dobrogea, Romania. Combining 3D digital reconstruction and advanced material analysis, the research explores both the original architecture and the preserved state of the site. Using Autodesk Fusion 360, a complete 3D model was developed, digitally restoring the fortress as it likely appeared in the 4th century AD and enabling the generation of precise plans, sections, and photogrammetric elevations. Mortar samples from the eight towers of the Sacidava fortress were examined through scanning electron microscopy with energy dispersive spectroscopy (SEM-EDS), atomic force microscopy (AFM), and confocal laser scanning microscopy (CLSM), revealing phyllosilicate-rich matrices, carbonated lime residues, and heterogeneous microstructures. The most severe degradation was found in the towers facing the Danube (E2, F, G), which was strongly influenced by humidity and salt crystallization, while the southern towers (A–C) retained more stable textures. Hydroxyapatite (HAp) treatments visibly improved the surface condition by reducing roughness and sealing active pores. For the first time, chromatic parameters were correlated with environmental factors, such as pH, moisture, and salt content. ImageJ-based pseudo-computed tomography (pseudo-CT), principal component analysis (PCA), and dendrogram analyses confirmed a clear pattern of deterioration near the ancient port area, where increased acidity and moisture coincided with darker surface coloration and deeper microstructural alteration. Full article
(This article belongs to the Section Functional Polymer Coatings and Films)
Show Figures

Figure 1

21 pages, 4203 KB  
Article
Rv1899c, an HDAC1–ZBTB25-Interacting Protein of Mycobacterium tuberculosis, Promotes Stress Resistance and Immune Evasion in Infected Macrophages
by Arjun M. Menon, Boinapalli Gopichand, Shwetha Susan Thomas, Kuniyil Abhinand, Bipin G. Nair, Geetha B. Kumar, Pradeesh Babu, KB Arun, Lekshmi K. Edison and Aravind Madhavan
Int. J. Mol. Sci. 2025, 26(22), 10872; https://doi.org/10.3390/ijms262210872 - 9 Nov 2025
Viewed by 556
Abstract
Rv1899c, a previously identified HDAC1–ZBTB25-interacting protein of Mycobacterium tuberculosis, plays a crucial role in bacterial adaptation and immune modulation. Recombinant M. smegmatis-expressing Rv1899c (MS_ Rv1899c) showed enhanced survival under acidic and oxidative stress compared to vector controls, along with improved [...] Read more.
Rv1899c, a previously identified HDAC1–ZBTB25-interacting protein of Mycobacterium tuberculosis, plays a crucial role in bacterial adaptation and immune modulation. Recombinant M. smegmatis-expressing Rv1899c (MS_ Rv1899c) showed enhanced survival under acidic and oxidative stress compared to vector controls, along with improved early intracellular growth in THP1-derived macrophages. This was accompanied by reduced reactive oxygen species (ROS), diminished cytokines associated with inflammation and downregulation of autophagy proteins ATG5, Beclin, and LC3, which ultimately skewed the immune response, suppressing the pro-inflammatory M1 macrophage population. Targeting Rv1899c with 3-aminobenzamide (3-AB) impaired intracellular bacterial survival and restored IL-12B expression, while its combination with the HDAC inhibitor C1994 significantly enhanced bacterial clearance. Structural modelling confirmed the high stereochemical quality of the Rv1899c macrodomain, and computational studies identified 3-AB as the strongest ligand (−5.75 kcal/mol), stabilized through hydrogen bonding and hydrophobic interactions with key residues. Molecular dynamics simulations conducted for 200 ns demonstrated stable protein–ligand interactions with consistent parameters, while MM/GBSA analysis indicated favourable binding energy (ΔG_bind = −6.6 kcal/mol), largely influenced by van der Waals and electrostatic forces. Together, these findings highlight Rv1899c as a mediator of stress resistance and immune evasion and propose it as a potential therapeutic target against M. tuberculosis. Full article
(This article belongs to the Special Issue Host-Pathogen Interaction, 6th Edition)
Show Figures

Figure 1

18 pages, 966 KB  
Article
Computational Modelling Suggests Bacteriostatic Saline Does Not Reverse Botulinum Toxin-Induced Brow Ptosis
by Eqram Rahman, Alain Michon, Parinitha Rao, A. Q. M. Omar Sharif, William Richard Webb and Jean D. A. Carruthers
Toxins 2025, 17(10), 498; https://doi.org/10.3390/toxins17100498 - 7 Oct 2025
Cited by 1 | Viewed by 1879
Abstract
Anecdotal reports have recently circulated suggesting that intramuscular injection of bacteriostatic saline (BS)—which contains benzyl alcohol (BnOH)—can reverse botulinum toxin type A (BoNTA)-induced brow ptosis. Given the well-established intracellular persistence of BoNTA’s light chain and its irreversible cleavage of SNAP-25, such rapid functional [...] Read more.
Anecdotal reports have recently circulated suggesting that intramuscular injection of bacteriostatic saline (BS)—which contains benzyl alcohol (BnOH)—can reverse botulinum toxin type A (BoNTA)-induced brow ptosis. Given the well-established intracellular persistence of BoNTA’s light chain and its irreversible cleavage of SNAP-25, such rapid functional recovery challenges existing pharmacological understanding. This study employed high-resolution pharmacokinetic/pharmacodynamic (PK/PD) modelling using the AesthetiSim™ platform to systematically evaluate this hypothesis. A total of 30,000 virtual patients were randomized to receive BoNTA alone, BoNTA followed by BS injection, or BoNTA followed by normal saline (NS) at Day 7. The model incorporated BoNTA diffusion, internalization, SNAP-25 cleavage, neuromuscular output, and transient BS effects on membrane permeability and endosomal trafficking. Simulated recovery trajectories were tracked over 90 days. The primary outcome, time to 80% restoration of baseline frontalis muscle force (T80), averaged 42.0 days in the BoNTA-only group and 35.5 days in the BS group (Δ = −6.5 days; p < 0.001). Only 13.9% of BS-treated patients reached the T80 threshold by Day 30. Partial reactivation (T30) occurred earlier with BS (21.8 ± 5.3 days vs. 27.3 ± 4.9 days), and the area under the effect curve (AUEC) was increased by 9.7%, reflecting higher overall muscle function over time. In molecular simulations, BnOH produced a minor rightward shift in the BoNTA–SNAP-25 dissociation curve, but receptor occupancy remained above 90% at therapeutic toxin concentrations, suggesting no meaningful impairment of binding affinity. A global Sobol sensitivity analysis demonstrated that the primary driver of recovery kinetics was intracellular LC degradation (49% of T80 variance), while BS-modulated extracellular parameters collectively contributed less than 20%. These findings indicate that BS does not reverse the molecular action of BoNTA but may transiently influence recovery kinetics via non-receptor-mediated pathways such as increased membrane permeability or altered vesicular trafficking. The magnitude and variability of this effect do not support the notion of a true pharmacologic reversal. Instead, these results emphasize the need for mechanistic scrutiny when evaluating rapid-reversal claims, particularly those propagated through anecdotal or social media channels without supporting biological plausibility. Full article
(This article belongs to the Section Bacterial Toxins)
Show Figures

Figure 1

25 pages, 9252 KB  
Article
Mechanical Performance and Parameter Sensitivity Analysis of Small-Diameter Lead-Rubber Bearings
by Guorong Cao, Zhaoqun Chang, Guizhi Deng, Wenbo Ma and Boquan Liu
Buildings 2025, 15(18), 3284; https://doi.org/10.3390/buildings15183284 - 11 Sep 2025
Viewed by 703
Abstract
Small-diameter lead-rubber bearings (LRBs) are widely employed in shaking table tests of isolated structures, particularly reinforced concrete base-isolated structures. Accurately determining their mechanical properties and identifying their restoring force model parameters are essential for seismic response analysis and numerical simulation of scaled models. [...] Read more.
Small-diameter lead-rubber bearings (LRBs) are widely employed in shaking table tests of isolated structures, particularly reinforced concrete base-isolated structures. Accurately determining their mechanical properties and identifying their restoring force model parameters are essential for seismic response analysis and numerical simulation of scaled models. In this study, quasi-static tests and shaking table tests were conducted to obtain the compression–shear hysteresis curves of LRBs under various loading amplitudes and frequencies, as well as the hysteresis curves under seismic wave excitation. The variation patterns of mechanical performance indicators were systematically analyzed. A parameter identification method was developed to determine the restoring force model of small-diameter LRBs using a genetic algorithm, and the effects of pre-yield stiffness and yield force of the isolation layer on structural response were investigated based on an equivalent two-degree-of-freedom model. By incorporating appropriately identified restoring force model parameters, a damping modeling method for the reinforced concrete high-rise over-track structures with an inter-story isolation system was proposed. The results indicate that, when the maximum bearing deformation reached 150% shear strain, the post-yield stiffness and horizontal equivalent stiffness under seismic excitation increased by 11.97% and 19.40%, respectively, compared with the compression–shear test results, while the equivalent damping ratio increased by 18.18%. Directly adopting mechanical parameters obtained from quasi-static tests would lead to an overestimation of the isolation layer displacement response. The discrepancies in the mechanical indicators of the small-diameter LRB between the theoretical hysteresis curve, obtained using the identified Bouc–Wen model parameters, and the compression–shear test results are less than 10%. In OpenSees, the seismic response of the scaled model can be accurately simulated by combining a segmented damping model with an isolation-layer hysteresis model in which the pre-yield stiffness is amplified by a factor of 1.15. Full article
(This article belongs to the Special Issue Low Carbon and Green Materials in Construction—3rd Edition)
Show Figures

Figure 1

31 pages, 2841 KB  
Article
Frequency Domain Identification of a 1-DoF and 3-DoF Fractional-Order Duffing System Using Grünwald–Letnikov Characterization
by Devasmito Das, Ina Taralova, Jean Jacques Loiseau, Tsonyo Slavov and Manoj Pandey
Fractal Fract. 2025, 9(9), 581; https://doi.org/10.3390/fractalfract9090581 - 2 Sep 2025
Cited by 1 | Viewed by 941
Abstract
Fractional-order models provide a powerful framework for capturing memory-dependent and viscoelastic dynamics in mechanical systems, which are often inadequately represented by classical integer-order characterizations. This study addresses the identification of dynamic parameters in both single-degree-of-freedom (1-DOF) and three-degree-of-freedom (3-DOF) Duffing oscillators with fractional [...] Read more.
Fractional-order models provide a powerful framework for capturing memory-dependent and viscoelastic dynamics in mechanical systems, which are often inadequately represented by classical integer-order characterizations. This study addresses the identification of dynamic parameters in both single-degree-of-freedom (1-DOF) and three-degree-of-freedom (3-DOF) Duffing oscillators with fractional damping, modeled using the Grünwald–Letnikov characterization. The 1-DOF system includes a cubic nonlinear restoring force and is excited by a harmonic input to induce steady-state oscillations. For both systems, time domain simulations are conducted to capture long-term responses, followed by Fourier decomposition to extract steady-state displacement, velocity, and acceleration signals. These components are combined with a GL-based fractional derivative approximation to construct structured regressor matrices. System parameters—including mass, stiffness, damping, and fractional-order effects—are then estimated using pseudoinverse techniques. The identified models are validated through a comparison of reconstructed and original trajectories in the phase space, demonstrating high accuracy in capturing the underlying dynamics. The proposed framework provides a consistent and interpretable approach for frequency domain system identification in fractional-order nonlinear systems, with relevance to applications such as mechanical vibration analysis, structural health monitoring, and smart material modeling. Full article
Show Figures

Figure 1

22 pages, 3299 KB  
Article
Lokomat-Assisted Robotic Rehabilitation in Spinal Cord Injury: A Biomechanical and Machine Learning Evaluation of Functional Symmetry and Predictive Factors
by Alexandru Bogdan Ilies, Cornel Cheregi, Hassan Hassan Thowayeb, Jan Reinald Wendt, Maur Sebastian Horgos and Liviu Lazar
Bioengineering 2025, 12(7), 752; https://doi.org/10.3390/bioengineering12070752 - 10 Jul 2025
Cited by 2 | Viewed by 2198
Abstract
Background: Lokomat-assisted robotic rehabilitation is increasingly used for gait restoration in patients with spinal cord injury (SCI). However, the objective evaluation of treatment effectiveness through biomechanical parameters and machine learning approaches remains underexplored. Methods: This study analyzed data from 29 SCI patients undergoing [...] Read more.
Background: Lokomat-assisted robotic rehabilitation is increasingly used for gait restoration in patients with spinal cord injury (SCI). However, the objective evaluation of treatment effectiveness through biomechanical parameters and machine learning approaches remains underexplored. Methods: This study analyzed data from 29 SCI patients undergoing Lokomat-based rehabilitation. A dataset of 46 variables including range of motion (L-ROM), joint stiffness (L-STIFF), and muscular force (L-FORCE) was examined using statistical methods (paired t-test, ANOVA, and ordinary least squares regression), clustering techniques (k-means), dimensionality reduction (t-SNE), and anomaly detection (Isolation Forest). Predictive modeling was applied to assess the influence of age, speed, body weight, body weight support, and exercise duration on biomechanical outcomes. Results: No statistically significant asymmetries were found between left and right limb measurements, indicating functional symmetry post-treatment (p > 0.05). Clustering analysis revealed a weak structure among patient groups (Silhouette score ≈ 0.31). Isolation Forest identified minimal anomalies in stiffness data, supporting treatment consistency. Regression models showed that body weight and body weight support significantly influenced joint stiffness (p < 0.01), explaining up to 60% of the variance in outcomes. Conclusions: Lokomat-assisted robotic rehabilitation demonstrates high functional symmetry and biomechanical consistency in SCI patients. Machine learning methods provided meaningful insight into the structure and predictability of outcomes, highlighting the clinical value of weight and support parameters in tailoring recovery protocols. Full article
(This article belongs to the Special Issue Regenerative Rehabilitation for Spinal Cord Injury)
Show Figures

Figure 1

21 pages, 3216 KB  
Article
A Multibody Model Calibration Method for Vehicle Misuse Testing
by Yuexin Wan, Cheng Yang, Xiaoyang Liu, Hao Dong, Lei Liang and Zhifeng Xie
Appl. Sci. 2025, 15(13), 7558; https://doi.org/10.3390/app15137558 - 5 Jul 2025
Viewed by 801
Abstract
This paper proposes a multibody model calibration method for vehicle misuse testing. During misuse tests conducted at high driving speeds, the vehicle’s responses can become highly nonlinear due to certain key model parameters. Direct calibration using a complex multibody model is time-consuming and [...] Read more.
This paper proposes a multibody model calibration method for vehicle misuse testing. During misuse tests conducted at high driving speeds, the vehicle’s responses can become highly nonlinear due to certain key model parameters. Direct calibration using a complex multibody model is time-consuming and unstable, as it may fail or diverge due to improper settings of the model parameters. Therefore, a modified quarter-vehicle model is proposed for the analytical calibration of these nonlinear parameters by introducing an additional constraint on the sprung mass to recover the restoring force. The new model features only two degrees of freedom and incorporates key nonlinear parameters, including the suspension’s stiffness and the wheel’s center mass. It is suitable for misuse tests involving tire detachment at high driving speeds. The detailed analytical calibration procedure for the nonlinear parameters is deduced and subsequently validated through numerical simulation using these parameters. When the parameters are sufficiently close to the actual ones or linearly related to the responses, an optimization method such as the least squares method can be applied, along with simulations using complex models in commercial software. Full article
Show Figures

Figure 1

16 pages, 5766 KB  
Article
Primary Resonance Analysis of High-Static–Low-Dynamic Stiffness Isolators with Piecewise Stiffness, Viscous Damping, and Dry Friction
by Giovanni Iarriccio
Appl. Sci. 2025, 15(8), 4187; https://doi.org/10.3390/app15084187 - 10 Apr 2025
Viewed by 797
Abstract
High-Static–Low-Dynamic Stiffness (HSLDS) isolators have been extensively studied, primarily considering continuous stiffness and viscous damping, often overlooking stiffness discontinuities and dry friction forces. This paper aims to provide a more accurate model of real systems by investigating the dynamic behavior of HSLDS isolators, [...] Read more.
High-Static–Low-Dynamic Stiffness (HSLDS) isolators have been extensively studied, primarily considering continuous stiffness and viscous damping, often overlooking stiffness discontinuities and dry friction forces. This paper aims to provide a more accurate model of real systems by investigating the dynamic behavior of HSLDS isolators, including piecewise nonlinear–linear stiffness, viscous damping, and dry friction. The equation of motion is analyzed using the Krylov–Bogoliubov–Mitropolsky (KBM) averaging method, deriving approximate analytical expressions to evaluate the frequency response curves and stability boundaries near primary resonance conditions. The model is validated by comparing the approximate solution with direct numerical integration and Den Hartog’s closed-form solution. A parametric analysis explores the impact of key parameters through amplitude–frequency diagrams and critical forcing boundaries. A numerical example is presented, demonstrating how the present method can be used to identify critical dynamic conditions, such as saddle-node bifurcations and activation of the piecewise restoring force nonlinearity. Results confirm the reliability of the KBM method in dealing with piecewise restoring forces while highlighting its limitations in case of high dry friction. This study offers an approximate yet effective approach for evaluating the system’s dynamic behavior, providing insights that could facilitate the design of isolation mounts and serve as benchmarks for future research. Full article
(This article belongs to the Special Issue Nonlinear Dynamics and Vibration)
Show Figures

Figure 1

22 pages, 2595 KB  
Article
Elastoplastic Dynamic Analysis and Damage Evaluation of Reinforced Concrete Structures Based on Time Histories
by Huangbin Lin
Buildings 2025, 15(6), 971; https://doi.org/10.3390/buildings15060971 - 19 Mar 2025
Cited by 1 | Viewed by 664
Abstract
In this study, the impact of seismic time histories (STHs) on structural damage was examined, focusing on maximum elastoplastic displacement (δmax) and cumulative hysteretic energy (Eh). A specialized STH Damage Analysis Program (STHDAP) was developed [...] Read more.
In this study, the impact of seismic time histories (STHs) on structural damage was examined, focusing on maximum elastoplastic displacement (δmax) and cumulative hysteretic energy (Eh). A specialized STH Damage Analysis Program (STHDAP) was developed to create a deformation energy time-history damage model, accounting for the behavior of hysteretic restoring force models under various loading and motion conditions. An elastoplastic motion equation, based on uniform stiffness and load parameters (K¯P¯), was formulated to calculate cumulative Eh during elastoplastic time histories in a single-degree-of-freedom (SDOF) system. The computational method integrates time series and damage values (D(t)), enabling detailed analysis of structural responses, energy dissipation, and damage evaluation using seismic waves from the El Centro, Tri-treasure, and TianjinNS earthquakes. The results revealed that cumulative damage in similar structural members increased progressively with varying amplitudes and patterns, corresponding to the initial stages of ground motion. The STHDAP offers a comprehensive view of structural damage evolution in elastoplastic time histories. The deformation energy damage model facilitates the evaluation of elastoplastic damage in high-strength reinforced concrete structures under ground motion, providing valuable insights for performance-based seismic design and retrofitting strategies in structural engineering. Full article
(This article belongs to the Section Building Structures)
Show Figures

Figure 1

21 pages, 10277 KB  
Article
Tephrosia purpurea, with (-)-Pseudosemiglabrin as the Major Constituent, Alleviates Severe Acute Pancreatitis-Mediated Acute Lung Injury by Modulating HMGB1 and IL-22
by Gamal A. Soliman, Mohammed A. Alamri, Rehab F. Abdel-Rahman, Marawan A. Elbaset, Hanan A. Ogaly and Maged S. Abdel-Kader
Int. J. Mol. Sci. 2025, 26(6), 2572; https://doi.org/10.3390/ijms26062572 - 13 Mar 2025
Cited by 1 | Viewed by 1389
Abstract
Ischemia-reperfusion (IR) injury is a major cause of multiple organ failure. The purpose of this study was to look into the role of Tephrosia purpurea (TEP) and its active constituent pseudosemiglabrin (PS) in alleviating severe acute pancreatitis and its associated acute lung injury. [...] Read more.
Ischemia-reperfusion (IR) injury is a major cause of multiple organ failure. The purpose of this study was to look into the role of Tephrosia purpurea (TEP) and its active constituent pseudosemiglabrin (PS) in alleviating severe acute pancreatitis and its associated acute lung injury. We established a rat pancreatic IR model, and the rats were treated with TEP (200 mg/kg and 400 mg/kg) and PS (20 and 40 mg/kg), in addition to the IR control and sham groups. The results showed that the respiratory parameters, including inspiratory time (Ti), expiratory time (Te), duration (Dr), and respiratory rate (RR), were comparable among all groups, while peak inspiratory flow (PIF), forced vital capacity (FVC), and forced expiratory volume at 0.1 s (FEV0.1) were significantly impaired. Notably, PS at 40 mg/kg showed normal PIF, FVC, and FEV0.1/FVC compared to the IR group, indicating an improved lung function. Additionally, TEP and PS showed protective effects on pancreatic and lung tissues compared to the IR control group, with the following effects: alleviating pathological damage; reducing serum levels of trypsinogen activation peptide (TAP), lipase, and amylase; decreasing oxidative stress markers such as MDA and MPO; restoring antioxidant enzyme activity (GPx); suppressing inflammatory markers TNF-α, IL-6, and NF-κB; downregulating HMGB1 gene in pancreatic tissue; and upregulating the IL-22 gene in lung tissues. In conclusion, the obtained findings demonstrate that oral supplementation of TEP and PS to rats with pancreatic IR alleviates pancreatic and lung injuries by reducing oxidative stress and modulating inflammatory processes, which offers an attractive therapeutic option for severe acute pancreatitis and its associated acute lung injury. Full article
Show Figures

Figure 1

32 pages, 8354 KB  
Article
The Impact of Squeeze Film Damper and Support Nonlinear Forces on the Dynamic Response of High-Speed Flexible Rotors
by Chao Dong, Xifan Lan, Shan Zeng, Zhichao Feng, Penghui Qian and Fei Wang
Appl. Sci. 2025, 15(6), 3032; https://doi.org/10.3390/app15063032 - 11 Mar 2025
Cited by 2 | Viewed by 1154
Abstract
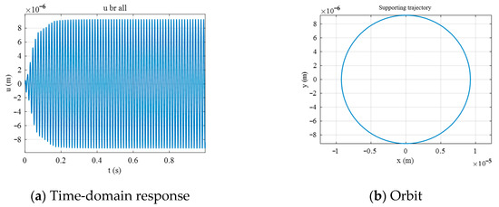
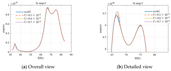
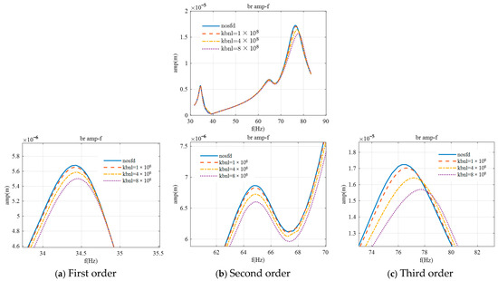
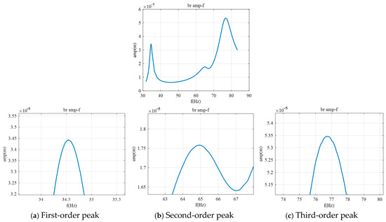
To investigate the nonlinear dynamic response of rotor systems, a finite element model of the squeeze film damper-rotor system was established. With the Euler–Bernoulli beam rotor model, the nonlinear oil film forces of the squeeze film damper (SFD) and the nonlinear restoring forces [...] Read more.
To investigate the nonlinear dynamic response of rotor systems, a finite element model of the squeeze film damper-rotor system was established. With the Euler–Bernoulli beam rotor model, the nonlinear oil film forces of the squeeze film damper (SFD) and the nonlinear restoring forces of the supports are applied as external loads to the support nodes using the finite element method. The Newmark Beta method was used to solve it, and the nonlinear dynamic response of the rotor was analyzed using frequency–response curves, time-domain response diagrams, and shaft centerline trajectory diagrams. The effects of different oil film gaps and support restoring force coefficients on the rotor response were examined. The results show that the coupling effect of the two nonlinear forces is the superposition of their individual effects; the two nonlinear forces have a significant impact on the rotor response amplitude, and appropriate parameter selection and installation positions can reduce the amplitude by 19%; and finally, among the two nonlinear forces, the SFD nonlinear oil film force mainly affects the amplitude, while the support nonlinear restoring force affects both the amplitude and frequency. Full article
Show Figures

Figure 1

19 pages, 946 KB  
Article
Efficient Ensemble of Deep Neural Networks for Multimodal Punctuation Restoration and the Spontaneous Informal Speech Dataset
by Homayoon Beigi and Xing Yi Liu
Electronics 2025, 14(5), 973; https://doi.org/10.3390/electronics14050973 - 28 Feb 2025
Viewed by 2459
Abstract
Punctuation restoration plays an essential role in the postprocessing procedure of automatic speech recognition, but model efficiency is a key requirement for this task. To that end, we present EfficientPunct, an ensemble method with a multimodal time-delay neural network that outperforms the [...] Read more.
Punctuation restoration plays an essential role in the postprocessing procedure of automatic speech recognition, but model efficiency is a key requirement for this task. To that end, we present EfficientPunct, an ensemble method with a multimodal time-delay neural network that outperforms the current best model by 1.0 F1 point while using less than a tenth of its network parameters for inference. This work further streamlines a speech recognizer and a BERT implementation to efficiently output hidden layer acoustic embeddings and text embeddings in the context of punctuation restoration. Here, forced alignment and temporal convolutions are used to eliminate the need for attention-based fusion, greatly increasing computational efficiency and improving performance. EfficientPunct sets a new state of the art with an ensemble that weighs BERT’s purely language-based predictions slightly more than the multimodal network’s predictions. Although EfficientPunct shows great promise, from a different perspective, to date, another important challenge in the field has been the fact that punctuation restoration models have been evaluated almost solely on well-structured, scripted corpora. However, real-world ASR systems and postprocessing pipelines typically apply to spontaneous speech with significant irregularities, stutters, and deviations from perfect grammar. To address this important discrepancy, we also introduce SponSpeech, a punctuation restoration dataset derived from informal speech sources, which includes punctuation and casing information. In addition to publicly releasing the dataset, the authors have contributed by providing a filtering pipeline that can be used to generate more data. This filtering pipeline examines the quality of both the speech audio and the transcription text. A challenging test set is also carefully constructed, aimed at evaluating the models’ ability to leverage audio information to predict, otherwise grammatically ambiguous, punctuation. SponSpeech has been made available to the public, along with all code for dataset building and model runs. Full article
(This article belongs to the Special Issue Future Technologies for Data Management, Processing and Application)
Show Figures

Figure 1

18 pages, 4605 KB  
Article
Seismic Performance Research on a Graded-Yielding Metal Brace with Self-Centering Functions
by Zhonghai An, Wenming Wang, Hui Wang, Zhe Li, Debin Wang and Guangcai Xie
Buildings 2024, 14(12), 3940; https://doi.org/10.3390/buildings14123940 - 11 Dec 2024
Cited by 2 | Viewed by 1190
Abstract
With the aim of achieving a graded-protection braced frame structure and minimizing the excessive residual deformation of traditional metal dampers under intense seismic action, a graded-yield-type metal self-centering brace (SC-GYMB) is proposed. The brace is composed of X-shaped and U-shaped steel plates with [...] Read more.
With the aim of achieving a graded-protection braced frame structure and minimizing the excessive residual deformation of traditional metal dampers under intense seismic action, a graded-yield-type metal self-centering brace (SC-GYMB) is proposed. The brace is composed of X-shaped and U-shaped steel plates with different yield point displacements, which jointly dissipate energy. Additionally, it employs a composite disc spring as a self-centering element to provide restoring force for the brace. The brace’s basic structure and working mechanism are described, and the theoretical model for its restoring force is derived. The ABAQUS finite element software (ABAQUS 2021) is utilized to investigate the hysteretic performance of the SC-GYMB under low-cycle reciprocating load, while thoroughly discussing the influence of various model parameters on its key mechanical behavior. The results demonstrate a strong agreement between the theoretical restoring force model and the numerical simulation results. The hysteretic curves of the braces exhibit a distinct “flag” characteristic, indicating excellent energy dissipation capacity and self-centering performance. Moreover, these curves display a hierarchical yield behavior that satisfies the seismic performance requirements for different intensity earthquakes. The deformation mechanism of X-shaped steel sheets transitions from bending deformation during the initial loading stage to tensile deformation in the subsequent loading stage. Increasing the initial pre-compression force of the combined disc spring enhances the restoration performance of the brace. Augmenting the thickness of X-shaped or U-shaped steel sheets modifies the displacement and load at both the first and second yield points, thereby enhancing energy dissipation capacity and bearing capacity of the brace; however, it also leads to increased residual deformation. Full article
Show Figures

Figure 1

24 pages, 7703 KB  
Article
A Restoring Force Correction Model for Enveloped Steel Jacket-Confined Seismic-Damaged Rectangular Recycled Aggregate Concrete-Filled Steel Tubular Columns
by Jun Yan, Sheng Peng, Naimeng Chen, Tianlei Wang and Yang Song
Buildings 2024, 14(11), 3521; https://doi.org/10.3390/buildings14113521 - 4 Nov 2024
Viewed by 1272
Abstract
In order to establish a suitable restoring force correction model for enveloped steel jacket (ESJ)-confined seismic-damaged rectangular recycled aggregate concrete-filled steel tubular (RRACFST) columns, based on experimental research, a study of the seismic performance and parameters of ESJ-confined seismic-damaged RRACFST columns was carried [...] Read more.
In order to establish a suitable restoring force correction model for enveloped steel jacket (ESJ)-confined seismic-damaged rectangular recycled aggregate concrete-filled steel tubular (RRACFST) columns, based on experimental research, a study of the seismic performance and parameters of ESJ-confined seismic-damaged RRACFST columns was carried out. The restoring force theory, model test, and OpenSees simulation of ESJ-confined seismic-damaged RRACFST columns were conducted. Firstly, a trilinear model of the skeleton curve and a suitable restoring force model for ESJ-confined seismic-damaged RRACFST columns were established. The results were compared with the model test results, and it was found that the two results had good consistency. Secondly, the initial damage of the RRACFST column was simulated by the reducing material properties method, and a correct numerical model for ESJ-confined seismic-damaged RRACFST columns was proposed. The influence mechanism of seismic parameters of the RRACFST column was clarified. Finally, the seismic parameter combination with the best seismic performance for ESJ-confined seismic-damaged RRACFST columns was established; namely, the replacement rate of recycled coarse aggregate is 50%, the concrete strength is C40, the axial compression ratio is 0.3, the strength of the rectangular steel tube is Q345, the wall thickness of the steel tube is 4 mm, and the slenderness ratio is 7.5. Full article
(This article belongs to the Section Building Structures)
Show Figures

Figure 1

Back to TopTop