Sign in to use this feature.

Years

Between: -

Subjects

remove_circle_outline
remove_circle_outline
remove_circle_outline
remove_circle_outline
remove_circle_outline
remove_circle_outline
remove_circle_outline
remove_circle_outline
remove_circle_outline

Journals

remove_circle_outline
remove_circle_outline
remove_circle_outline
remove_circle_outline
remove_circle_outline
remove_circle_outline
remove_circle_outline
remove_circle_outline
remove_circle_outline
remove_circle_outline
remove_circle_outline
remove_circle_outline
remove_circle_outline
remove_circle_outline
remove_circle_outline
remove_circle_outline
remove_circle_outline
remove_circle_outline
remove_circle_outline

Article Types

Countries / Regions

remove_circle_outline
remove_circle_outline
remove_circle_outline
remove_circle_outline
remove_circle_outline
remove_circle_outline
remove_circle_outline
remove_circle_outline

Search Results (4,314)

Search Parameters:
Keywords = resin-composite

Order results
Result details
Results per page
Select all
Export citation of selected articles as:
22 pages, 9476 KB  
Article
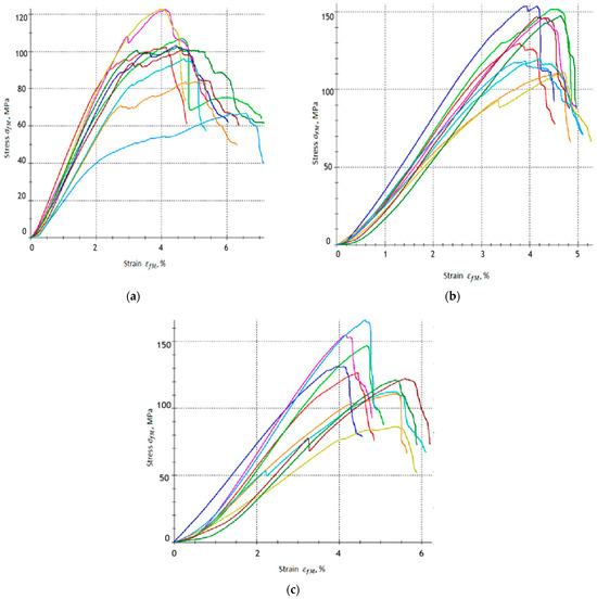
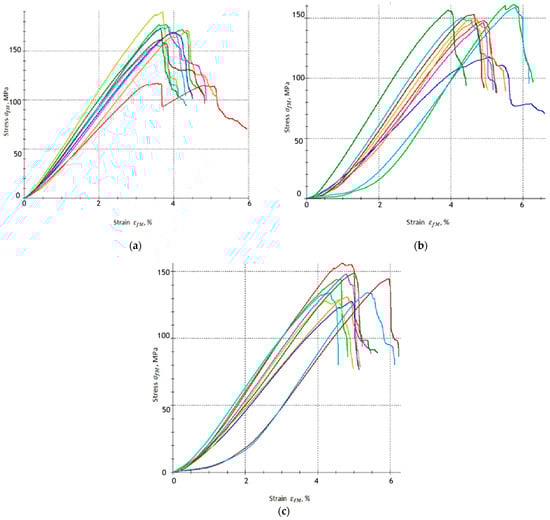
Application of Kolmogorov–Sinai Metric Entropy to Determine the Exploitation Parameters of Epoxy–Glass Composites with Carbonisate
by Agata Wieczorska and Grzegorz Hajdukiewicz
Materials 2025, 18(21), 4858; https://doi.org/10.3390/ma18214858 (registering DOI) - 23 Oct 2025
Abstract
This study investigates how the addition of a carbon-based filler obtained through the pyrolysis of medium-density fibreboard (MDF) waste affects the mechanical behaviour of epoxy–glass laminates. Two laminate series with different matrix-to-reinforcement ratios (60/40 and 65/35) were fabricated and modified with carbonised particles [...] Read more.
This study investigates how the addition of a carbon-based filler obtained through the pyrolysis of medium-density fibreboard (MDF) waste affects the mechanical behaviour of epoxy–glass laminates. Two laminate series with different matrix-to-reinforcement ratios (60/40 and 65/35) were fabricated and modified with carbonised particles of up to 500 μm in size, introduced at 5% and 7.5%. The strength of the samples made of the materials mentioned above was assessed in a static three-point bending test by analysing the values of stresses (σfM) and strains (εfM). For an in-depth analysis of the dynamics of the destruction process, the recorded deformation data were subjected to Kolmogorov–Sinai metric entropy (EKS). The test results showed that the addition of carbonisate in series A (60/40) increased the flexural strength by 32.56% for the sample with 5% addition and by 27.08% for the sample with 7.5% addition, compared to the reference material. In series B (65/35), characterised by a higher resin content, the opposite effect was observed—a decrease in strength of 9.89% (for 5% carbonisate) and 15.53% (for 7.5% carbonisate). The use of EKS calculations in combination with phase portrait reconstruction to analyse the results obtained allowed for the precise determination of the limit values of stresses and strains (σfMK_S and εfMK_S) at which irreversible structural changes occur in the material, initiating the destruction process. This method proved to be an effective tool for identifying early signs of composite degradation, which is crucial for assessing its long-term strength and designing safe structures. Full article
(This article belongs to the Section Advanced Composites)
Show Figures

Figure 1

24 pages, 3681 KB  
Review
Quaternary Ammonium Dimethacrylates as an Additive in Dental Composite Resins: A Review of Their Antimicrobial, Mechanical, and Physicochemical Properties
by John Ekow Ampah-Essel, Izabela Barszczewska-Rybarek, Patryk Drejka and Grzegorz Chladek
Materials 2025, 18(21), 4844; https://doi.org/10.3390/ma18214844 - 23 Oct 2025
Abstract
Dimethacrylate-based dental materials are dominantly used in restorative procedures for their mechanical and esthetic properties. However, they lack inherent antimicrobial activity, making them susceptible to microbial colonization. This has prompted the development of quaternary ammonium dimethacrylate monomers (QADMs) as a counteractive measure. This [...] Read more.
Dimethacrylate-based dental materials are dominantly used in restorative procedures for their mechanical and esthetic properties. However, they lack inherent antimicrobial activity, making them susceptible to microbial colonization. This has prompted the development of quaternary ammonium dimethacrylate monomers (QADMs) as a counteractive measure. This review critically assesses the tradeoffs associated with the antimicrobial potential, cytocompatibility, and structural performance of QADMs in the past decade. Across the standardized biological assays studied, QADMs consistently exhibit potent antimicrobial activity against cariogenic and opportunistic pathogens without inducing resistance. QADMs maintain favorable mechanical and physicochemical properties upon incorporation into resin composite formulations. Cytotoxicity is structure- and dose-dependent; nonetheless, most QADMs are biocompatible at antimicrobial concentrations. Notably, quaternary ammonium urethane dimethacrylate monomers (QAUDMAs) offer a balanced combination of antimicrobial and structural properties. Few studies have assessed the long-term mechanical durability of QADM-enhanced composites, leaving clinical relevance inconclusive. Further research is necessary to optimize monomer design and clinically validate these materials. Full article
Show Figures

Figure 1

13 pages, 1708 KB  
Article
Preparation and Properties of Composite Coatings Fabricated from Carved Lacquer Waste and Waterborne Acrylic Resin
by Xinyue Du, Yuemin Feng, Alin Olarescu, Yushu Chen and Xinyou Liu
Coatings 2025, 15(10), 1230; https://doi.org/10.3390/coatings15101230 - 21 Oct 2025
Viewed by 128
Abstract
This study developed a waterborne UV-curable acrylic composite coating incorporated with carved lacquer powder and systematically investigated the effects of powder and deionized water content on its properties. The results showed that the carved lacquer powder content significantly influenced the optical, mechanical, and [...] Read more.
This study developed a waterborne UV-curable acrylic composite coating incorporated with carved lacquer powder and systematically investigated the effects of powder and deionized water content on its properties. The results showed that the carved lacquer powder content significantly influenced the optical, mechanical, and curing behaviors of the coating, while the water content had negligible impact. Specifically, increasing the powder content reduced lightness, enhanced red hue, and decreased gloss. An optimal comprehensive performance was achieved at 20% powder content, with adhesion reaching grade 5, flexibility of 10 mm, and impact resistance of 6 kg·cm. FTIR analysis confirmed that high powder content (≥20%) led to incomplete curing due to UV shielding. The coatings showed moderate resistance to water, acid, and saline environments but poor alkaline resistance due to the chemical instability of cinnabar. SEM revealed increased surface roughness at high powder loading (30%). More importantly, this work presents a sustainable approach to recycle carved lacquer waste and demonstrates a viable strategy for incorporating traditional cultural heritage materials into advanced functional coatings. The study demonstrates that carved lacquer powder can be effectively integrated into UV-curable coatings to achieve unique decorative effects, and a content of approximately 20% is recommended to achieve balanced properties. Full article
(This article belongs to the Section Functional Polymer Coatings and Films)
Show Figures

Figure 1

20 pages, 4508 KB  
Article
Recycled PET Sandwich Cores, Waste-Derived Carbon Additive, and Cure-Rate Control: FTIR/SEM Study of Flexural Performance in Flax Fiber-Reinforced Composites
by Veena Phunpeng, Kitsana Khodcharad and Wipada Boransan
Fibers 2025, 13(10), 142; https://doi.org/10.3390/fib13100142 - 20 Oct 2025
Viewed by 84
Abstract
To address circularity and resource recovery in modern structural applications, industry is seeking materials that are sustainable and lightweight. Although natural fiber-reinforced composites offer sustainability advantages, their mechanical properties remain inferior to those of synthetic fiber systems, limiting practical deployment. Flax fibers were [...] Read more.
To address circularity and resource recovery in modern structural applications, industry is seeking materials that are sustainable and lightweight. Although natural fiber-reinforced composites offer sustainability advantages, their mechanical properties remain inferior to those of synthetic fiber systems, limiting practical deployment. Flax fibers were selected as reinforcement due to their high specific stiffness, biodegradability, and wide availability. This study implements a three-level strategy to enhance the flexural performance of flax fiber-reinforced composites: at the process level, curing under distinct heating rates to promote a more uniform polymer network; at the material level, incorporation of a carbonaceous additive derived from fuel–oil furnace waste to strengthen interfacial adhesion; and at the structural level, adoption of a sandwich configuration with a recycled PET core to increase section bending inertia. Specimens were fabricated via vacuum-assisted resin transfer molding (VARTM) and tested using a three-point bending method. Mechanical testing shows clear improvements in flexural performance, with the sandwich architecture yielding the highest values and increasing flexural strength by up to 4.52× relative to the other conditions. For the curing series, FTIR indicates greater reaction extent, evidenced by lower intensities of the epoxide ring at 915 cm−1 and glycidyl/oxirane band near 972 cm−1, together with a more pronounced C–O–C stretching region, consistent with the higher flexural response. While SEM observations revealed interfacial debonding at 5% FCB, a hybrid mechanism with crack deflection appeared at 10%. This transition created tortuous crack paths, consistent with the higher flexural strength and modulus at 10% FCB. A distinctive feature of this work is the integration of three reinforcement strategies—controlled curing, waste-derived carbon additive, and recycled PET sandwich design. This integration not only enhances the performance of natural fiber composites but also emphasizes sustainability by valorizing recycled and waste-derived resources, thereby supporting the development of greener composite materials. Full article
Show Figures

Figure 1

15 pages, 3211 KB  
Article
Exploring the Sustainable Development Strategy of Wood Flour-Based Composite Materials in Outdoor Furniture
by Huidi Zhou, Yuqi Gao and Kaili Zhang
Sustainability 2025, 17(20), 9235; https://doi.org/10.3390/su17209235 - 17 Oct 2025
Viewed by 208
Abstract
Wood flour, a landscaping byproduct, poses disposal challenges due to its poor degradability, despite its potential as a sustainable material. This study modified wood powder by synergistically incorporating fly ash and TiO2, followed by curing it with polyamide and epoxy resin [...] Read more.
Wood flour, a landscaping byproduct, poses disposal challenges due to its poor degradability, despite its potential as a sustainable material. This study modified wood powder by synergistically incorporating fly ash and TiO2, followed by curing it with polyamide and epoxy resin to produce high-performance wood powder-based composites suitable for outdoor furniture applications, it can solve the environmental problems caused by fly ash. The research findings indicated that as the TiO2 content increased, the material’s pore size diminished, structural strength improved, and it demonstrated enhanced hydrophobic properties and UV absorption capabilities. The optimal UV absorption performance was observed at a TiO2 content of 1.5%. The combination of TiO2 and fly ash led to the formation of more stable Si-O-Ti and Si-O-Si bonds, which further strengthened the material. Water contact angle and water repellency tests indicated that the 1.5% TiO2 composite showed a 12% increase in compressive strength and a water contact angle of 100.6°, indicating improved hydrophobicity. The addition of TiO2 reduced the number of free-OH groups within the matrix, thereby improving the composite’s hydrophobicity. Outdoor chairs fabricated by mixing 1.5% TiO2-modified wood powder with PET for demolding exhibited excellent structural stability while also being safe and environmentally friendly. This study proposes a feasible preparation strategy for wood powder, enhancing durability through improved mechanical strength, water repellency, and UV shielding. Furthermore, it offers valuable insights into the material modification of wood powder-based materials for the production of outdoor garden furniture. Full article
Show Figures

Figure 1

19 pages, 551 KB  
Review
Compositional Formulations for the Removal and Dissolution of Asphaltene–Resin–Paraffin Deposits in the Near-Wellbore Zone and Tubing Strings
by Nina Lyubchenko, Galina Boiko, Raushan Sarmurzina, Yelena Panova, Bagdaulet Kenzhaliyev and Uzakbay Karabalin
Processes 2025, 13(10), 3328; https://doi.org/10.3390/pr13103328 - 17 Oct 2025
Viewed by 278
Abstract
The concept of heating the near-wellbore zone (NWZ) using activated aluminum alloys offers a novel approach to enhancing oil recovery. This article reviews research on the development of hydrocarbon-based solvent formulations for removing asphaltene–resin–paraffin deposits (ARPD) in the NWZ and restoring well productivity. [...] Read more.
The concept of heating the near-wellbore zone (NWZ) using activated aluminum alloys offers a novel approach to enhancing oil recovery. This article reviews research on the development of hydrocarbon-based solvent formulations for removing asphaltene–resin–paraffin deposits (ARPD) in the NWZ and restoring well productivity. A comprehensive analysis of ARPD composition enabled the selection of solvent systems tailored to specific deposit types. The efficiency of ARPD removal from the NWZ, downhole equipment, and oil gathering systems in heavy and highly viscous Kazakhstani crude oils was evaluated using hydrocarbon solvent blends (e.g., hexane–toluene, gasoline–o-xylene, o-xylene–hexane–1-hexene) with surfactants (polyoxyethylene sorbitan–maleic anhydride esters), atactic polypropylene (APP), and activated aluminum alloys. The developed formulations accelerated ARPD breakdown and reduced energy consumption. It has been established that the optimal concentration of APP (0.5 wt.%) provides up to 100% cleaning efficiency and increases dissolving capacity by 25–30% compared to traditional binary systems. Cleaning efficiency is driven by a thermochemical reaction between water and the aluminum alloy, 2Al + 6H2O → 2Al(OH)3 + 3H2↑ + 17 kJ, which depends on the alloy’s microstructure, grain boundary condition, and additive distribution. The exothermic effect of the reaction leads to the formation of a hot gas–steam–hydrogen mixture, where atomic hydrogen actively breaks down ARPD and increases the reservoir permeability by 2 to 4.5 times. Results show that a composite formulation of hexane–toluene–alloy–H2O2 (46.5:15:0.25:38.25) reduces the treatment time of ARPD-3 from 60 to 10 min while maintaining high efficiency at the level of 98.3%. Full article
(This article belongs to the Section Materials Processes)
Show Figures

Figure 1

11 pages, 2108 KB  
Article
Effect of Thickness on Color Stability of Gingiva-Colored Composite Resins Applied to 3D-Printed Resin
by Liliane da Rocha Bonatto Drummond, Isabela Reginaldo, Laís Duarte, Zuila Maria Lobato Wanghon, Analucia Gebler Philippi, Luiz Otávio de Oliveira Pala, Patrícia Pauletto and Thais Marques Simek Vega Gonçalves
Materials 2025, 18(20), 4757; https://doi.org/10.3390/ma18204757 - 17 Oct 2025
Viewed by 191
Abstract
Light-curing gingiva-colored composite resins (GCCs) are widely used for their esthetics and versatility, although they remain susceptible to discoloration. This in vitro study evaluated the effect of GCC thickness on color stability under different staining solutions and immersion times. Four hundred specimens were [...] Read more.
Light-curing gingiva-colored composite resins (GCCs) are widely used for their esthetics and versatility, although they remain susceptible to discoloration. This in vitro study evaluated the effect of GCC thickness on color stability under different staining solutions and immersion times. Four hundred specimens were fabricated with a 3D-printed resin (P Pro; Institut Straumann AG), incorporating circular intaglio areas of varying thicknesses (0.2, 0.4, 0.6, 0.8, and 1.0 mm), into which paste (Nexco; Ivoclar AG) or flowable (Gradia Gum; GC Corp) GCCs were applied. After artificial aging in water at 55 °C for 5 days, specimens were immersed in coffee, black tea, red wine, or distilled water (control). Color differences (ΔE00) were assessed using digital photocolorimetry (eLAB protocol) and the CIEDE2000 formula at 2.5, 5, and 7 days. Data for each consistency were analyzed with 3-way repeated measures ANOVA and Tukey HSD (α = 0.05). Thicker GCCs (0.6–1.0 mm) showed significantly greater discoloration (p < 0.05). Flowable GCCs were more prone to color changes induced by coffee (p < 0.05), whereas paste GCCs exhibited more discoloration with black tea (p < 0.05). Extended immersion time increased color change, particularly in flowable GCCs. Overall, GCC thickness, immersion duration, and material consistency influenced long-term color stability. Full article
(This article belongs to the Section Advanced Composites)
Show Figures

Figure 1

20 pages, 1365 KB  
Article
Incorporating Carbamate Functionalities in Multifunctional Monomer System Enhances Mechanical Properties of Methacrylate Dental Adhesives
by Burak Korkmaz, Erhan Demirel, Anil Misra, Candan Tamerler and Paulette Spencer
Polymers 2025, 17(20), 2780; https://doi.org/10.3390/polym17202780 - 17 Oct 2025
Viewed by 351
Abstract
Although resin-based composite is the most popular direct restoration material in the U.S., composite restorations can fail shortly after placement. The leading cause of failure is recurrent marginal decay. The adhesive that bonds the composite to the tooth is intended to seal the [...] Read more.
Although resin-based composite is the most popular direct restoration material in the U.S., composite restorations can fail shortly after placement. The leading cause of failure is recurrent marginal decay. The adhesive that bonds the composite to the tooth is intended to seal the margin, but the degradation of the adhesive seal to dentin leads to gaps that are infiltrated by cariogenic bacteria. The development of strategies to mitigate adhesive degradation is an area of intense interest. Recent studies focus on exploiting hydrogen–bond interactions to enhance polymer network stability. This paper presents the preparation and characterization of model adhesives that capitalize on carbamate-functionalized long-chain silane monomers to enhance polymer stability and mechanical properties in wet environments. The adhesive composition is HEMA/BisGMA, 3-component photoinitiator system, carbamate-functionalized long-chain silane monomers, e.g., commercial SHEtMA (Cb1) and newly synthesized SHEMA (Cb2). Polymerization behavior, water sorption, leachates, and dynamic mechanical properties were investigated. The properties of Cb1 and Cb2 were compared to previously studied middle- (SC4) and short-chain (SC5) silane monomers. Cb1- and Cb2-formulations exhibit greater resilience under wet conditions as compared to middle-chain silane monomers. Dental adhesives containing the carbamate-functionalized long-chain silane monomers exhibit reduced flexibility in water-submersed conditions and enhanced stability as a result of increased hydrogen–bond interactions. The results emphasize the critical role of hydrogen bonding in maintaining structural integrity of dental adhesive formulations under conditions that simulate the wet, oral environment. Full article
(This article belongs to the Section Polymer Processing and Engineering)
Show Figures

Graphical abstract

20 pages, 6325 KB  
Article
Activation of Inflammatory and Apoptosis Pathways on Human Gingival Fibroblasts Exposed to Dental Resin Composites
by Francesco De Angelis, Edoardo Sorrentino, Antonella Mazzone, Ylenia Della Rocca, Jacopo Pizzicannella, Oriana Trubiani, Giovanna Iezzi, Camillo D’Arcangelo, Guya Diletta Marconi and Francesca Diomede
Polymers 2025, 17(20), 2779; https://doi.org/10.3390/polym17202779 - 17 Oct 2025
Viewed by 277
Abstract
The use of dental composite resins has significantly increased over recent years, thanks to their esthetics and mechanical features, despite some doubts being raised about their biocompatibility. Residual methacrylate can be eluted from bulk composites, and its amount may significantly increase over time, [...] Read more.
The use of dental composite resins has significantly increased over recent years, thanks to their esthetics and mechanical features, despite some doubts being raised about their biocompatibility. Residual methacrylate can be eluted from bulk composites, and its amount may significantly increase over time, leading to cytotoxic effects that can involve several inflammatory patterns. The aim of this in vitro study was to evaluate the activation of the inflammatory pathway NFκB p65/MyD88/NALP3 and the apoptosis pathway of BCL-2/BAX/Caspase-3 (CASP-3) expression on human gingival fibroblasts (hGFs) after 24 h and 1-week exposure to the eluates of three heat-cured dental composite resins: GrandioSO, VOCO (GR); Enamel Plus HRi Biofunction, Micerium (BF); and Filtek universal restorative, 3M (FU). The results highlighted that NFκB p65/MyD88/NALP3 was activated after resin exposure in a time-dependent manner. Moreover, immunofluorescence and gene expression analyses showed that pro-apoptotic markers CASP-3 and BAX were elevated, while anti-apoptotic protein BCL-2 was suppressed in hGFs after dental resin exposure. The present in vitro study analyzed mechanisms related to cytotoxicity and apoptosis, suggesting ways to limit composite cytotoxicity through advancements in material technology. The activation of inflammation and apoptotic pathways appeared to be material-dependent, and was less pronounced with BF and FU, which could hypothetically indicate them being a safer clinical choice to preserve periodontal health in daily dental practice. Full article
(This article belongs to the Special Issue Advanced Polymeric Materials for Dental Applications III)
Show Figures

Figure 1

15 pages, 4144 KB  
Article
Effect of Carbon-Based Modifications of Polydicyclopentadiene Resin on Tribological and Mechanical Properties
by Joanna Warycha, Janusz Kurowski, Jakub Smoleń and Krzysztof Stępień
Materials 2025, 18(20), 4754; https://doi.org/10.3390/ma18204754 - 16 Oct 2025
Viewed by 195
Abstract
Self-lubricating polymer composites based on polydicyclopentadiene (PDCPD) were reinforced with carbon nanomaterials to evaluate the effect of filler type and loading on their mechanical and tribological performance. Four carbon forms were introduced: carbon nanotubes (0.3 and 0.5 wt.%), carbon fibers (5 and 10 [...] Read more.
Self-lubricating polymer composites based on polydicyclopentadiene (PDCPD) were reinforced with carbon nanomaterials to evaluate the effect of filler type and loading on their mechanical and tribological performance. Four carbon forms were introduced: carbon nanotubes (0.3 and 0.5 wt.%), carbon fibers (5 and 10 wt.%), flake graphite (5 and 10 wt.%) and dusty graphite (5 and 10 wt.%). Tensile tests showed that carbon fibers—and graphite-filled matrices reached ~50 MPa tensile strength, while the addition of carbon nanotubes resulted in a reduction in strength by half compared to the pure resin, indicating poor compatibility of carbon nanotubes with the matrix. The highest compressive strength, ~90 MPa, was obtained for PDCPD containing 5 wt.% carbon fibers. Tribological behavior was evaluated in a pin-on-disk configuration under dry sliding. All fillers lowered the coefficient of friction; the most pronounced, three-fold reduction was achieved with both graphite variants. The combined high load-bearing capacity and greatly reduced friction of the graphite and carbon fibers modified systems highlight their potential as self-lubricating bearing materials capable of replacing conventional metal or oil-lubricated components. Full article
(This article belongs to the Section Carbon Materials)
Show Figures

Figure 1

25 pages, 17554 KB  
Article
Effect of Long-Term Immersion in Low-Salinity Seawater on Epoxy Resin Composites Filled with Marine Secondary Raw Materials
by Greta Vicentini, Carlo Santulli, Sara Mattiello, Roberto Matassa, Danilo Nikolić, Slavica Petovic, Ana Pesic, Radmila Gagic, Alberto Felici and Cristiano Fragassa
J. Mar. Sci. Eng. 2025, 13(10), 1985; https://doi.org/10.3390/jmse13101985 - 16 Oct 2025
Viewed by 222
Abstract
This research explores the potential introduction of marine waste-derived biological fillers within bio-epoxy matrices to mitigate the environmental impact of traditional materials, like fiberglass, in boat construction. However, this raises concerns about biofouling and degradation, issues that have not been extensively investigated in [...] Read more.
This research explores the potential introduction of marine waste-derived biological fillers within bio-epoxy matrices to mitigate the environmental impact of traditional materials, like fiberglass, in boat construction. However, this raises concerns about biofouling and degradation, issues that have not been extensively investigated in composites, especially over a time frame representative of issues that could arise during service. Although protective solutions like biocides and specific coatings exist, degradation remains challenging when attempting to use eco-friendly natural fillers. This study specifically integrates various biological fillers, namely ceramics (mussel, oyster, clam powder) or ligno-cellulosic (i.e., Posidonia oceanica fibers) into epoxy for use in some boat components (bench seats for the bridge deck), aiming to evaluate the biofouling process under extreme (or decommissioning) conditions. In itself, epoxy does represent an ideal enclosing matrix for biomass waste, which ideally needs to be introduced in significant amounts. The development of biofouling in the specific context of Kotor’s Bay, Montenegro, for a duration of six months, and relevant composite degradation were examined. In particular, three situations were reproduced by positioning the samples in a harbor environment: (i) on the bottom of the sea (2 m. depth), (ii) immersed just below the surface (0.5 m. depth), and (iii) on the splashing surface (pier). The concerns identified appear generally limited in the case of the envisaged application, despite some significant wear effect in the case of the samples containing Posidonia. However, this study also offers information and caveats in terms of more ambitious prospective applications (e.g., the boat hull structure). Full article
(This article belongs to the Section Ocean Engineering)
Show Figures

Figure 1

16 pages, 6023 KB  
Article
Electromagnetic Shielding Performance of Ta-Doped NiFe2O4 Composites Reinforced with Chopped Strands for 7–18 GHz Applications
by Mehriban Emek, Ethem İlhan Şahin, Jamal Eldin F. M. Ibrahim and Mesut Kartal
Nanomaterials 2025, 15(20), 1580; https://doi.org/10.3390/nano15201580 - 16 Oct 2025
Viewed by 210
Abstract
This study reports the synthesis, structural characterization, and electromagnetic shielding performance of tantalum (Ta)-doped nickel ferrite (NiFe2O4) composites reinforced with chopped strands. Ta-doped NiFe2O4 powders were prepared via the conventional mixed-oxide route and sintered at 1200 [...] Read more.
This study reports the synthesis, structural characterization, and electromagnetic shielding performance of tantalum (Ta)-doped nickel ferrite (NiFe2O4) composites reinforced with chopped strands. Ta-doped NiFe2O4 powders were prepared via the conventional mixed-oxide route and sintered at 1200 °C for 4 h, resulting in a well-crystallized single-phase spinel structure. Comprehensive structural and chemical analyses were carried out using X-ray diffraction (XRD), Fourier-transform infrared spectroscopy (FTIR), scanning electron microscopy (SEM), and energy-dispersive X-ray spectroscopy (EDS), confirming the successful incorporation of Ta into the NiFe2O4 lattice and the uniform microstructural distribution. The ferrite powders were subsequently embedded with chopped strands and epoxy resin through hot pressing to fabricate composites with varying filler contents. The electromagnetic interference (EMI) shielding effectiveness (SE) of the composites was systematically evaluated in the 7–18 GHz frequency range using a network analyzer (NA). The optimized composite, with a thickness of 1.2 mm, demonstrated a maximum SE of 34.74 dB at 17.4 GHz, primarily attributed to interfacial polarization, dipolar relaxation, and multiple scattering effects induced by the chopped strands. The results indicate that the shielding performance of the composites can be precisely tuned by modifying the filler concentration and microstructural characteristics, enabling selective frequency-band applications. Overall, this work highlights the potential of Ta-doped NiFe2O4/chopped strand composites as lightweight, cost-effective, and high-performance candidates for advanced microwave absorption and electromagnetic shielding applications in defense, and next-generation communication technologies. Full article
(This article belongs to the Section Inorganic Materials and Metal-Organic Frameworks)
Show Figures

Graphical abstract

19 pages, 1807 KB  
Article
Comparative Analysis of the Physicochemical Properties of 3D-Printed and Conventional Resins for Temporary Dental Restorations
by Oscar Javier Valencia-Blanco, Esteban Pérez-Pevida, Daniel Robles-Cantero, Enrique Montalvillo, Javier Gil and Aritza Brizuela-Velasco
Prosthesis 2025, 7(5), 129; https://doi.org/10.3390/prosthesis7050129 - 16 Oct 2025
Viewed by 192
Abstract
Objective. The aim of this in vitro study was to compare the physical and mechanical properties of two resins used for provisional prostheses: a direct self-curing dimethacrylate resin and a 3D-printed resin, in order to assess their potential for different clinical applications. Methods. [...] Read more.
Objective. The aim of this in vitro study was to compare the physical and mechanical properties of two resins used for provisional prostheses: a direct self-curing dimethacrylate resin and a 3D-printed resin, in order to assess their potential for different clinical applications. Methods. Flexural strength, microhardness, wear resistance, and water absorption were evaluated in accordance with ISO 4049 and ISO 10477. Samples were analyzed using scanning electron microscopy, X-ray spectroscopy, and mechanical testing, including flexural, wear, and scratch assays. Results. The 3D-printed resin demonstrated superior flexural strength (128 ± 2 MPa vs. 127 ± 16 MPa), microhardness (19.45 HV vs. 8.10 HV, p < 0.05), and wear resistance (mean wear area: 0.030 mm2 vs. 0.047 mm2) compared to the self-curing dimethacrylate composite. However, it exhibited significantly higher water absorption (55.98 µg/mm3 vs. 15.0 µg/mm3), which may compromise its long-term durability in humid environments. Conclusions. Overall, the 3D-printed resin shows promising mechanical performance, but its high-water absorption remains a limitation for extended use. Further studies are required to evaluate its degradation and behavior under intraoral conditions. Clinical relevance. For the time being, self-curing resins remain the preferred choice for long-term provisional prostheses. Full article
Show Figures

Figure 1

16 pages, 1215 KB  
Article
Effect of Acidic Environment and Tooth Brushing on the Color and Translucency of 3D-Printed Ceramic-Reinforced Composite Resins for Indirect Restorations and Hybrid Prostheses
by Sarah M. Alnafaiy, Nawaf Labban, Alhanoof Saleh Aldegheishem, Saleh Alhijji, Refal Saad Albaijan, Saad Saleh AlResayes, Rafa Abdulrahman Alsultan, Abeer Mohammed Alrossais and Rahaf Farhan Alanazi
Polymers 2025, 17(20), 2772; https://doi.org/10.3390/polym17202772 - 16 Oct 2025
Viewed by 282
Abstract
This study evaluated the effect of acidic environment and tooth brushing on the color stability and translucency of stained 3D-printed ceramic-reinforced composite (CRC) resins for indirect restorations and hybrid prostheses. Twelve specimens were prepared from each 3D-printing resin material: Ceramic Crown (CC), OnX [...] Read more.
This study evaluated the effect of acidic environment and tooth brushing on the color stability and translucency of stained 3D-printed ceramic-reinforced composite (CRC) resins for indirect restorations and hybrid prostheses. Twelve specimens were prepared from each 3D-printing resin material: Ceramic Crown (CC), OnX (ONX), and Tough 2 (T2), and one CAD/CAM milling resin, Lava Ultimate (LU). After preparation, all specimens were stained, then immersed in either water or citric acid. Subsequently, the specimens underwent simulated tooth brushing for 3650 cycles. Color stability (ΔE) and translucency parameter (TP) were measured using a spectrophotometer. Data were analyzed using ANOVA, post hoc Tukey tests, and independent Student t-tests (α = 0.05). Material type, immersion medium, and their interaction did not significantly influence the mean ΔE (p > 0.05). The lowest ΔE value was for LU in acid (ΔE = 1.11 ± 0.39), and the highest for T2 in water (ΔE = 2.09 ± 1.47). Except for ONX and LU in acid, all materials had ΔE values above the perceptibility threshold (ΔE = 1.2). The mean TP was significantly affected by material type, immersion medium, and their interaction (p < 0.05). The lowest TP value was for group CC in acid (0.91 ± 0.26); the highest was for group LU in acid (6.24 ± 0.56). After immersion and subsequent tooth brushing, TP values decreased for all materials. Exposure to an acidic environment and tooth brushing did not affect color stability but significantly reduced translucency. Both the 3D-printed CRCs and milled resin material displayed comparable color stability below clinically acceptable thresholds, though the translucency of 3D-printed materials remained lower compared to milled material. Full article
(This article belongs to the Special Issue Polymers in Restorative Dentistry: 2nd Edition)
Show Figures

Figure 1

14 pages, 3840 KB  
Article
Building Polyacryronitrile Fiber/Epoxy Resin (PANER) Interleaving Film to Strengthen Flexural and Compressive Performances of Laminated CFRP Composites
by Sidra Ashfaq, Jiaxin He, Yanan Lyu, Fei Cheng, Xiang Yuan, Xueling Liang, Shuying Shi, Evgeny Lomakin, Daria Bondarchuk, Rasuljon Tojiyev, Hao Liu, Xiaozhi Hu and Xi Chen
Nanomaterials 2025, 15(20), 1576; https://doi.org/10.3390/nano15201576 - 16 Oct 2025
Viewed by 253
Abstract
Carbon fiber-reinforced polymer (CFRP) composites have excellent mechanical properties, but their performance is hampered by delamination caused by weak interfacial bonding and resin-rich region (RRR). This research has proposed an interleaving film to improve interlaminar structure and mechanical properties by adding polyacrylonitrile (PAN) [...] Read more.
Carbon fiber-reinforced polymer (CFRP) composites have excellent mechanical properties, but their performance is hampered by delamination caused by weak interfacial bonding and resin-rich region (RRR). This research has proposed an interleaving film to improve interlaminar structure and mechanical properties by adding polyacrylonitrile (PAN) fiber into the epoxy interlayer of the CFRP laminates. The PAN fiber/epoxy resin (PANER) interleaving film could be prepared, which was beneficial to hinder crack initiation paths and improve the load transfer. Flexural and compression performance testing results showed optimum performance was obtained when 2 wt.% PAN fiber was added, and an increment of 28.6% was obtained in the flexural strength and 11.7% increment in compressive strength. The damaged energy absorption was improved up to 21.4% and 11.3% for the flexural and compressive properties, respectively. The overall thickness increments in the interlayer with PANER interleaving film were approximately 4–9 μm. X-Ray micro-computed tomography and scanning electron microscopy observations exhibited the potential of PAN fiber in the reduction of RRR, resulting in modes replacement from delamination-dominant failure to crossing-multi-layer failure. In all, PANER interleaving film at the interlayer has been confirmed to be an effective approach to produce a simple reinforcement technology for FRP laminates. Full article
(This article belongs to the Section Nanocomposite Materials)
Show Figures

Figure 1

Back to TopTop