Incorporating Carbamate Functionalities in Multifunctional Monomer System Enhances Mechanical Properties of Methacrylate Dental Adhesives
Abstract
1. Introduction
2. Materials and Methods
2.1. Materials
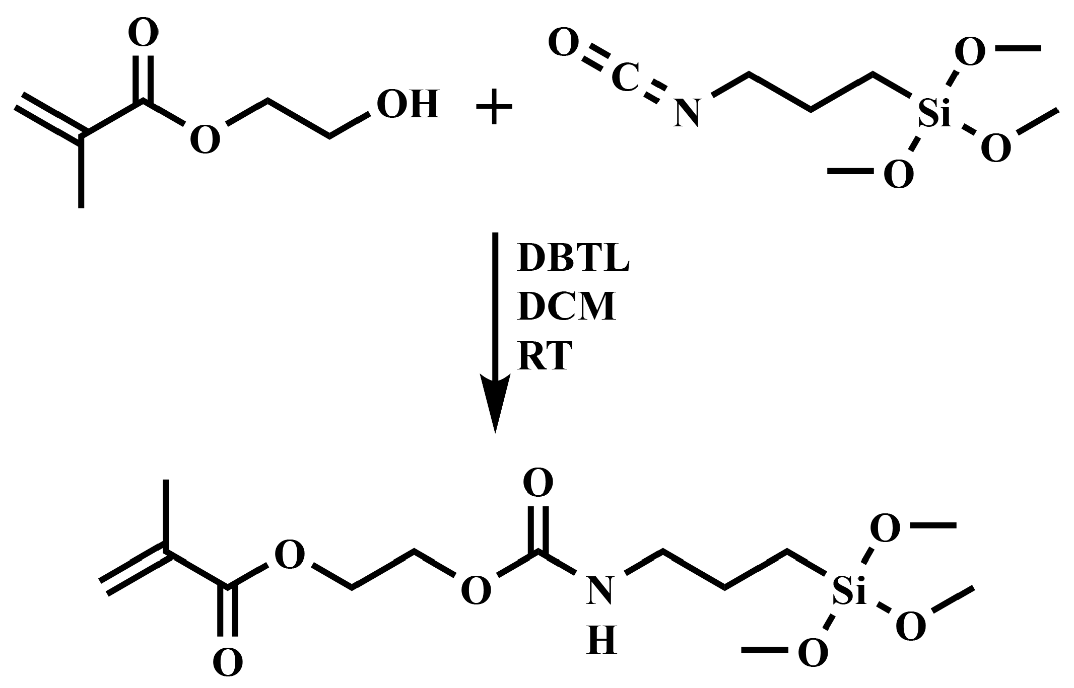
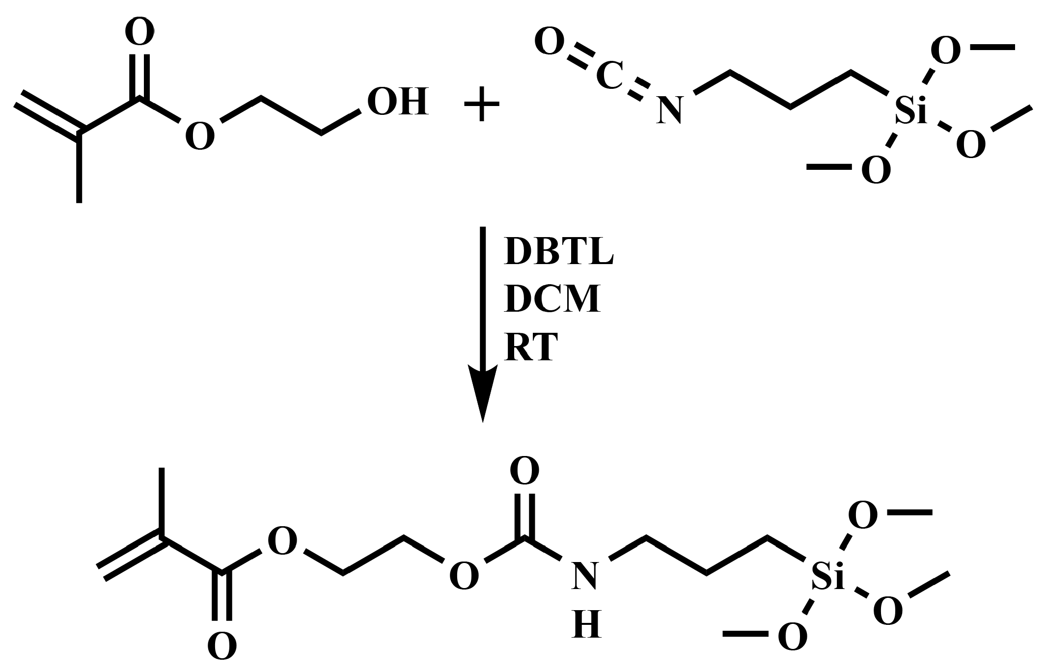
2.2. Synthesis of SHEMA
2.3. Preparation of Adhesive Formulations
2.4. Real-Time Double Bond Conversion and Maximum Polymerization Rate
2.5. Water Sorption: Specimen Preparation and Measurement
2.6. Dynamic Mechanical Analysis (DMA)
2.7. Leachable Study: Pre-Wash and Pre-Washed Samples Aged in Ethanol
2.8. Statistical Analysis
3. Results
4. Discussion
4.1. Polymerization Behavior
4.2. Water Sorption
4.3. Leachate Properties
4.4. Mechanical Properties
5. Conclusions
Author Contributions
Funding
Institutional Review Board Statement
Informed Consent Statement
Data Availability Statement
Conflicts of Interest
References
- Thyvalikakath, T.; Siddiqui, Z.A.; Eckert, G.; LaPradd, M.; Duncan, W.D.; Gordan, V.V.; Rindal, D.B.; Jurkovich, M.; Gilbert, G.H. Survival analysis of posterior composite restorations in National Dental PBRN general dentistry practices. J. Dent. 2024, 141, 104831. [Google Scholar] [CrossRef]
- Promphet, P.; Kaewtaro, S.; Talungchit, S.; Ratanasathien, S.; Saiprasert, P.; Decha, N.; Tansakul, C. Synthesis, antibacterial activity and hydrolytic resistance of (meth)acrylamide-based monomers for dental resin adhesive. Polymer 2025, 317, 127943. [Google Scholar] [CrossRef]
- Stewart, C.A.; Ngai, K.; Gouveia, Z.; Rao, S.; Abuquteish, D.; Mandelis, A.; Finer, Y. Evaluation of a long-term antimicrobial dental adhesive via in vitro biodegradation and in vivo rodent secondary caries models. Dent. Mater. 2025; in press. [Google Scholar] [CrossRef]
- Stewart, C.A.; Finer, Y. Biostable, antidegradative and antimicrobial restorative systems based on host-biomaterials and microbial interactions. Dent. Mater. 2019, 35, 36–52. [Google Scholar] [CrossRef]
- Zhou, H.; Yuan, Y.; Luo, C.; Wang, Q.; Li, Z.; Chen, M.; Gong, B.; Li, Z. The role of oral environmental factors in the degradation of resin-dentin interfaces: A comprehensive review. J. Dent. 2025, 159, 105839. [Google Scholar] [CrossRef]
- Melo, M.A.S.; Garcia, I.M.; Alluhaidan, T.; Qaw, M.; Montoya, C.; Orrego, S.; Balhaddad, A.A.; Mokeem, L. The next frontier in antibacterial dental resins: A 20-year journey of innovation and expectations. Dent. Mater. 2025, 41, 1045–1057. [Google Scholar] [CrossRef]
- Demarco, F.F.; Cenci, M.S.; Montagner, A.F.; de Lima, V.P.; Correa, M.B.; Moraes, R.R.; Opdam, N.J.M. Longevity of composite restorations is definitely not only about materials. Dent. Mater. 2023, 39, 1–12. [Google Scholar] [CrossRef] [PubMed]
- Guo, R.; Peng, W.; Yang, H.; Yao, C.; Yu, J.; Huang, C. Evaluation of resveratrol-doped adhesive with advanced dentin bond durability. J. Dent. 2021, 114, 103817. [Google Scholar] [CrossRef] [PubMed]
- Melo, M.A.; Orrego, S.; Weir, M.D.; Xu, H.H.; Arola, D.D. Designing Multiagent Dental Materials for Enhanced Resistance to Biofilm Damage at the Bonded Interface. ACS Appl. Mater. Interfaces 2016, 8, 11779–11787. [Google Scholar] [CrossRef] [PubMed]
- Jaffer, F.; Finer, Y.; Santerre, J.P. Interactions between resin monomers and commercial composite resins with human saliva derived esterases. Biomaterials 2002, 23, 1707–1719. [Google Scholar] [CrossRef]
- Mokeem, L.S.; Garcia, I.M.; Melo, M.A. Degradation and Failure Phenomena at the Dentin Bonding Interface. Biomedicines 2023, 11, 1256. [Google Scholar] [CrossRef]
- Breschi, L.; Maravic, T.; Mazzitelli, C.; Josic, U.; Mancuso, E.; Cadenaro, M.; Pfeifer, C.S.; Mazzoni, A. The evolution of adhesive dentistry: From etch-and-rinse to universal bonding systems. Dent. Mater. 2025, 41, 141–158. [Google Scholar] [CrossRef] [PubMed]
- Zhou, W.; Feng, S.; Chu, X.; Xu, S.; Zeng, X. Effect of collagen crosslinkers on sodium hypochlorite treated dentin bond strength: A systematic review and meta-analysis. Front. Bioeng. Biotechnol. 2025, 13, 1547158. [Google Scholar] [CrossRef]
- Montoya, C.; Babariya, M.; Ogwo, C.; Querido, W.; Patel, J.S.; Melo, M.A.; Orrego, S. Synergistic effects of bacteria, enzymes, and cyclic mechanical stresses on the bond strength of composite restorations. Biomater. Adv. 2025, 166, 214049. [Google Scholar] [CrossRef]
- Borges, L.; Logan, M.; Weber, S.; Lewis, S.; Fang, C.; Correr-Sobrinho, L.; Pfeifer, C. Multi-acrylamides improve bond stability through collagen reinforcement under physiological conditions. Dent. Mater. 2024, 40, 993–1001. [Google Scholar] [CrossRef]
- Abdelkhalek, E.; Hamama, H.H.; Mahmoud, S.H. HEMA-free versus HEMA-containing adhesive systems: A systematic review. Syst. Rev. 2025, 14, 17. [Google Scholar] [CrossRef]
- Alomran, W.K.; Nizami, M.Z.I.; Xu, H.H.K.; Sun, J. Evolution of Dental Resin Adhesives-A Comprehensive Review. J. Funct. Biomater. 2025, 16, 104. [Google Scholar] [CrossRef] [PubMed]
- Mokeem, L.S.; Martini Garcia, I.; Balhaddad, A.A.; Lan, Y.; Seifu, D.; Weir, M.D.; Melo, M.A. Multifunctional Dental Adhesives Formulated with Silane-Coated Magnetic Fe3O4@m-SiO2 Core-Shell Particles to Counteract Adhesive Interfacial Breakdown. ACS Appl. Mater. Interfaces 2024, 16, 2120–2139. [Google Scholar] [CrossRef]
- Fu, D.; Hardy, J.; Szczepanski, C.R. Improvement of dentin bonding via adhesive monomers with multiple hydrogen bonding moieties. Acta Biomater. 2025, 205, 705–722. [Google Scholar] [CrossRef] [PubMed]
- Feng, S.; Yang, S.; Qiao, S.; Tian, Z.; Lin, Q.; Lin, L.; He, X.; Zhu, S. The effect of novel solvent formula of primer containing functional monomer on improving the durability of dentin adhesion. J. Dent. 2025, 161, 105945. [Google Scholar] [CrossRef]
- Yao, C.; Liang, S.; Yu, M.; Wu, H.; Ahmed, M.H.; Liu, Y.; Yu, J.; Zhao, Y.; Van der Bruggen, B.; Huang, C.; et al. High-Performance Bioinspired Microspheres for Boosting Dental Adhesion. Small 2024, 20, e2310251. [Google Scholar] [CrossRef]
- Ahirwar, P.; Kozlovskaya, V.; Pukkanasut, P.; Nikishau, P.; Nealy, S.; Harber, G.; Michalek, S.M.; Antony, L.; Wu, H.; Kharlampieva, E.; et al. Polymer vesicles for the delivery of inhibitors of cariogenic biofilm. Dent. Mater. 2024, 40, 1937–1953. [Google Scholar] [CrossRef]
- Yuca, E.; Xie, S.X.; Song, L.; Boone, K.; Kamathewatta, N.; Woolfolk, S.K.; Elrod, P.; Spencer, P.; Tamerler, C. Reconfigurable Dual Peptide Tethered Polymer System Offers a Synergistic Solution for Next Generation Dental Adhesives. Int. J. Mol. Sci. 2021, 22, 6552. [Google Scholar] [CrossRef] [PubMed]
- Cloyd, A.K.; Boone, K.; Ye, Q.; Snead, M.L.; Spencer, P.; Tamerler, C. Engineered Peptides Enable Biomimetic Route for Collagen Intrafibrillar Mineralization. Int. J. Mol. Sci. 2023, 24, 6355. [Google Scholar] [CrossRef]
- Huang, L.; Xiao, Y.H.; Xing, X.D.; Li, F.; Ma, S.; Qi, L.L.; Chen, J.H. Antibacterial activity and cytotoxicity of two novel cross-linking antibacterial monomers on oral pathogens. Arch. Oral Biol. 2011, 56, 367–373. [Google Scholar] [CrossRef]
- Delgado, A.H.S.; Ahmed, M.H.; Nunes Ferreira, M.; Mano Azul, A.; Polido, M.; Yoshihara, K.; Van Meerbeek, B. Physico-Chemical Properties and Performance of Functional Monomers Used in Contemporary Dental Adhesive Technology. J. Adhes. Dent. 2025, 27, 175–193. [Google Scholar] [CrossRef] [PubMed]
- Watts, D.C. The quest for stable biomimetic repair of teeth: Technology of resin-bonded composites. Dent. Mater. J. 2020, 39, 46–51. [Google Scholar] [CrossRef] [PubMed]
- Song, L.; Ye, Q.; Ge, X.; Misra, A.; Tamerler, C.; Spencer, P. New silyl-functionalized BisGMA provides autonomous strengthening without leaching for dental adhesives. Acta Biomater. 2019, 83, 130–139. [Google Scholar] [CrossRef]
- Abedin, F.; Ye, Q.; Spencer, P. Hydrophilic dyes as photosensitizers for photopolymerization of dental adhesives. J. Dent. 2020, 99, 103405. [Google Scholar] [CrossRef]
- Abedin, F.; Roughton, B.; Ye, Q.; Spencer, P.; Camarda, K. Computer-aided Molecular Design of Water Compatible Visible Light Photosensitizers for Dental Adhesive. Chem. Eng. Sci. 2017, 159, 131–139. [Google Scholar] [CrossRef][Green Version]
- Cadenaro, M.; Antoniolli, F.; Codan, B.; Agee, K.; Tay, F.R.; de Dorigo, E.S.; Pashley, D.H.; Breschi, L. Influence of different initiators on the degree of conversion of experimental adhesive blends in relation to their hydrophilicity and solvent content. Dent. Mater. 2010, 26, 288–294. [Google Scholar] [CrossRef]
- Song, L.; Ye, Q.; Ge, X.; Misra, A.; Spencer, P. Mimicking nature: Self-strengthening properties in a dental adhesive. Acta Biomater. 2016, 35, 138–152. [Google Scholar] [CrossRef]
- Tang, C.; Ahmed, M.H.; Yao, C.; Mercelis, B.; Yoshihara, K.; Peumans, M.; Van Meerbeek, B. Bonding performance of experimental HEMA-free two-step universal adhesives to low C-factor flat dentin. Dent. Mater. 2023, 39, 603–615. [Google Scholar] [CrossRef] [PubMed]
- Xiang, W.; Xia, J. Synthesis of Novel (Meth)acrylates with Variable Hydrogen Bond Interaction and Their Application in a Clear Viscoelastic Film. ACS Omega 2024, 9, 13644–13654. [Google Scholar] [CrossRef] [PubMed]
- Yen, F.S.; Hong, J.L. Hydrogen-bond interactions between ester and urethane linkages in small model compounds and polyurethanes. Macromolecules 1997, 30, 7927–7938. [Google Scholar] [CrossRef]
- Yildirim, E.; Yurtsever, M.; Yilgör, E.; Yilgör, I.; Wilkes, G.L. Temperature-dependent changes in the hydrogen bonded hard segment network and microphase morphology in a model polyurethane: Experimental and simulation studies. J. Polym. Sci. Part B Polym. Phys. 2017, 56, 182–192. [Google Scholar] [CrossRef]
- Kalachandra, S.; Sankarapandian, M.; Shobha, H.K.; Taylor, D.F.; McGrath, J.E. Influence of hydrogen bonding on properties of BIS-GMA analogues. J. Mater. Sci. Mater. Med. 1997, 8, 283–286. [Google Scholar] [CrossRef]
- Martim, G.C.; Pfeifer, C.S.; Girotto, E.M. Novel urethane-based polymer for dental applications with decreased monomer leaching. Mater. Sci. Eng. C 2017, 72, 192–201. [Google Scholar] [CrossRef]
- Ma, X.; Zhang, X.; Huang, X.; Liu, F.; He, J.; Mai, S. Low shrinkage bulk-filled dental resin composites with non-estrogenic dimethacrylate. Biomater. Sci. 2023, 11, 3669–3682. [Google Scholar] [CrossRef]
- Gong, H.; Guo, X.; Cao, D.; Gao, P.; Feng, D.; Zhang, X.; Shi, Z.; Zhang, Y.; Zhu, S.; Cui, Z. Photopolymerizable and moisture-curable polyurethanes for dental adhesive applications to increase restoration durability. J. Mater. Chem. B 2019, 7, 744–754. [Google Scholar] [CrossRef]
- Demirel, E.; Korkmaz, B.; Chang, Y.; Misra, A.; Tamerler, C.; Spencer, P. Engineering Interfacial Integrity with Hydrolytic-Resistant, Self-Reinforcing Dentin Adhesive. Int. J. Mol. Sci. 2024, 25, 7061. [Google Scholar] [CrossRef]
- Song, L.; Ye, Q.; Ge, X.; Misra, A.; Tamerler, C.; Spencer, P. Fabrication of hybrid crosslinked network with buffering capabilities and autonomous strengthening characteristics for dental adhesives. Acta Biomater. 2018, 67, 111–121. [Google Scholar] [CrossRef] [PubMed]
- Tauscher, S.; Catel, Y.; Liska, R.; Moszner, N. New Radiopaque Bromine-Containing Monomers for Dental Restorative Materials. Macromol. Mater. Eng. 2016, 301, 733–742. [Google Scholar] [CrossRef]
- Park, J.; Ye, Q.; Singh, V.; Kieweg, S.L.; Misra, A.; Spencer, P. Synthesis and evaluation of novel dental monomer with branched aromatic carboxylic acid group. J. Biomed. Mater. Res. Part B 2012, 100, 569–576. [Google Scholar] [CrossRef] [PubMed]
- Korkmaz, B.; Demirel, E.; Ye, Q.; Misra, A.; Tamerler, C.; Spencer, P. Synergistic enhancement of hydrophobic dental adhesives: Autonomous strengthening, polymerization kinetics, and hydrolytic resistance. Front. Dent. Med. 2024, 5, 1373853. [Google Scholar] [CrossRef]
- Song, L.; Ye, Q.; Ge, X.; Misra, A.; Laurence, J.S.; Berrie, C.L.; Spencer, P. Synthesis and evaluation of novel dental monomer with branched carboxyl acid group. J. Biomed. Mater. Res. Part B 2014, 102, 1473–1484. [Google Scholar] [CrossRef]
- Watts, D.C.; Kaiser, C.; O’Neill, C.; Price, R.B. Reporting of light irradiation conditions in 300 laboratory studies of resin-composites. Dent. Mater. 2019, 35, 414–421. [Google Scholar] [CrossRef]
- Price, R.B.; Ferracane, J.L.; Hickel, R.; Sullivan, B. The light-curing unit: An essential piece of dental equipment. Int. Dent. J. 2020, 70, 407–417. [Google Scholar] [CrossRef] [PubMed]
- Crank, J. The Mathematics of Diffusion, 2nd ed.; Oxford University Press: London, UK, 1975. [Google Scholar]
- Sarikaya, R.; Song, L.; Ye, Q.; Misra, A.; Tamerler, C.; Spencer, P. Evolution of Network Structure and Mechanical Properties in Autonomous-Strengthening Dental Adhesive. Polymers 2020, 12, 2076. [Google Scholar] [CrossRef]
- Issa, A.A.; Luyt, A.S. Kinetics of Alkoxysilanes and Organoalkoxysilanes Polymerization: A Review. Polymers 2019, 11, 537. [Google Scholar] [CrossRef]
- Xia, Z.K.; Gao, J.J.; Sun, X.M.; Wang, K.J.; Xu, G.W.; Zhong, Z.Y.; Su, F.B. Thermodynamic Analysis of the Main Reactions Involved in the Synthesis of Organosilanes. Ind. Eng. Chem. Res. 2024, 63, 8450–8463. [Google Scholar] [CrossRef]
- Ozaki, T.; Koto, T.; Nguyen, T.V.; Nakanishi, H.; Norisuye, T.; Tran-Cong-Miyata, Q. The roles of the Trommsdorff-Norrish effect in phase separation of binary polymer mixtures induced by photopolymerization. Polymer 2014, 55, 1809–1816. [Google Scholar] [CrossRef]
- Norrish, R.G.W.; Brookman, E.F. The mechanism of polymerization reactions. I. The polymerization of styrene and methyl methacrylate. Proc. R. Soc. Lond. Ser. A-Math. Phys. Sci. 1939, 171, 147–171. [Google Scholar] [CrossRef]
- Ezazi, M.; Ye, Q.; Misra, A.; Tamerler, C.; Spencer, P. Autonomous-Strengthening Adhesive Provides Hydrolysis-Resistance and Enhanced Mechanical Properties in Wet Conditions. Molecules 2022, 27, 5505. [Google Scholar] [CrossRef] [PubMed]







| Ratio% | Cb1 | Cb2 | SC4 [41] | SC5 [41] |
|---|---|---|---|---|
| HEMA | 53 | 53 | 53 | 53 |
| BisGMA | 30 | 30 | 30 | 30 |
| SHEMA 1 | - | 15 | - | - |
| SHEtMA 1 | 15 | - | - | - |
| MPS 1 | - | - | 15 | - |
| MMeS 1 | - | - | - | 15 |
| 3-PI 2 | 2 | 2 | 2 | 2 |
| Total | 100 | 100 | 100 | 100 |
| Formulation | DC% | RPmax (1/[M]) | Wsp% | D (m2/s) |
|---|---|---|---|---|
| Cb1 | 88.20 ± 2.3 | 2.42 ± 0.5 | 15.02 ± 0.6 | 1.07 × 10−12 |
| Cb2 | 83.24 ± 1.8 * | 2.88 ± 0.3 * | 14.07 ± 0.3 * | 5.93 × 10−13 |
| Values | SC4 | SC5 |
|---|---|---|
| DC% | 79.7 ± 0.2 | 75.6 ± 0.2 |
| RPmax | 2.1 ± 0.2 | 2.8 ± 0.1 |
| Wsp% | 14.23 ± 0.1 | 14.38 ± 0.5 |
| FWHM | 48.62 ± 1.1 | 66.06 ± 2.1 |
| Dry Storage Modulus (GPa) | 4.21 ± 0.24 (37 °C) 3.47 ± 0.19 (70 °C) | 4.40 ± 0.18 (37 °C) 3.62 ± 0.15 (70 °C) |
| Wet Storage Modulus (GPa) | 1.14 ± 0.08 (37 °C) 0.32 ± 0.03 (70 °C) | 1.49 ± 0.05 (37 °C) 0.57 ± 0.0.2 (70 °C) |
| Tg (°C) | 159.58 ± 0.8 | 170.31 ± 0.9 |
| Calculated Inverse Ratio, ζ | 1.97 ± 0.1 × 10−6 Pa−1 K | 0.52 ± 0.0 × 10−6 Pa−1 K |
| Cumulative HEMA Leachate (μg/mL) | 40.57 ± 1.5 | 56.49 ± 2.2 |
| Cumulative BisGMA Leachate (μg/mL) | 5.01 ± 0.6 | 1.44 ± 0.2 |
| Cumulative EDMAB Leachate (μg/mL) | 31.86 ± 1.6 | 22.22 ± 1.0 |
| Cumulative HEMA Leachate (wt%) | 0.31 ± 0.0 | 0.43 ± 0.0 |
| Cumulative EDMAB Leachate (wt%) | 25.49 ± 1.3 | 17.78 ± 0.8 |
| Cumulative BisGMA Leachate (wt%) | 0.07 ± 0.0 | 0.02 ± 0.0 |
| Values | Cb1 | Cb2 |
|---|---|---|
| Dry Storage Modulus (GPa) | 3.78 ± 0.11 (37 °C) 2.97 ± 0.11 (70 °C) | 3.43 ± 0.18 (37 °C) * 2.59 ± 0.20 (70 °C) * |
| Dry Rubbery Modulus (GPa) | 0.029 ± 0.00 | 0.032 ± 0.00 |
| Dry Tg (°C) | 138.99 ± 0.60 | 135.84 ± 1.78 * |
| Dry Calculated Inverse Ratio, ζ | 5.74 × 10−6 (Pa−1 K) | 5.07 × 10−6 (Pa−1 K) * |
| Dry FWHM | 30.70 ± 0.70 | 34.03 ± 3.37 |
| Dry Loss Factor | 0.7736 ± 0.01 | 0.7692 ± 0.02 |
| Values | Cb1 | Cb2 |
|---|---|---|
| Wet Storage Modulus (GPa) | 1.16 ± 0.00 (37 °C) 0.05 ± 0.00 (70 °C) | 1.03 ± 0.00 (37 °C) * 0.04 ± 0.00 (70 °C) |
| Wet Rubbery Modulus (GPa) | 0.021 ± 0.00 | 0.019 ± 0.00 |
| Wet Tg (°C) | 67.93 ± 0.7 | 65.55 ± 0.9 |
| Wet Calculated Inverse Ratio (ζ) | 4.16 × 10−6 (Pa−1 K) | 4.50 × 10−6 (Pa−1 K) |
| Wet FWHM | 28.98 ± 0.79 | 30.32 ± 0.3 |
| Wet Loss Factor | 0.5760 ± 0.02 | 0.5570 ± 0.00 |
| Formulations | Loss in Storage Modulus at 37 °C | Change in Loss Factor (Tan δ) |
|---|---|---|
| Cb1 | 69.24% | −25.54% |
| Cb2 | 70.06% | −27.59% |
| SC4 [41] | 73.06% | N/A |
| SC5 [41] | 65.26% | N/A |
| Values | Cb1 | Cb2 |
|---|---|---|
| Prewash HEMA Leachate (μg/mL) | 36.93 ± 6.7 | 32.95 ± 0.7 |
| Cumulative HEMA Leachate (μg/mL) | 4.78 ± 0.2 | 2.93 ± 0.7 * |
| Cumulative BisGMA Leachate (μg/mL) | 1.73 ± 0.3 | 1.72 ± 0.3 |
| Cumulative EDMAB Leachate (μg/mL) | 19.01 ± 1.8 | 9.56 ± 0.6 * |
| Prewash HEMA Leachate (wt%) | 0.28 ± 0.1 | 0.25 ± 0.0 |
| Cumulative HEMA Leachate (wt%) | 0.04 ± 0.0 | 0.02 ± 0.0 * |
| Cumulative BisGMA Leachate (wt%) | 0.02 ± 0.0 | 0.02 ± 0.0 |
| Cumulative EDMAB Leachate (wt%) | 15.20 ± 1.44 | 7.65 ± 0.5 * |
Disclaimer/Publisher’s Note: The statements, opinions and data contained in all publications are solely those of the individual author(s) and contributor(s) and not of MDPI and/or the editor(s). MDPI and/or the editor(s) disclaim responsibility for any injury to people or property resulting from any ideas, methods, instructions or products referred to in the content. |
© 2025 by the authors. Licensee MDPI, Basel, Switzerland. This article is an open access article distributed under the terms and conditions of the Creative Commons Attribution (CC BY) license (https://creativecommons.org/licenses/by/4.0/).
Share and Cite
Korkmaz, B.; Demirel, E.; Misra, A.; Tamerler, C.; Spencer, P. Incorporating Carbamate Functionalities in Multifunctional Monomer System Enhances Mechanical Properties of Methacrylate Dental Adhesives. Polymers 2025, 17, 2780. https://doi.org/10.3390/polym17202780
Korkmaz B, Demirel E, Misra A, Tamerler C, Spencer P. Incorporating Carbamate Functionalities in Multifunctional Monomer System Enhances Mechanical Properties of Methacrylate Dental Adhesives. Polymers. 2025; 17(20):2780. https://doi.org/10.3390/polym17202780
Chicago/Turabian StyleKorkmaz, Burak, Erhan Demirel, Anil Misra, Candan Tamerler, and Paulette Spencer. 2025. "Incorporating Carbamate Functionalities in Multifunctional Monomer System Enhances Mechanical Properties of Methacrylate Dental Adhesives" Polymers 17, no. 20: 2780. https://doi.org/10.3390/polym17202780
APA StyleKorkmaz, B., Demirel, E., Misra, A., Tamerler, C., & Spencer, P. (2025). Incorporating Carbamate Functionalities in Multifunctional Monomer System Enhances Mechanical Properties of Methacrylate Dental Adhesives. Polymers, 17(20), 2780. https://doi.org/10.3390/polym17202780

