Application of Kolmogorov–Sinai Metric Entropy to Determine the Exploitation Parameters of Epoxy–Glass Composites with Carbonisate
Abstract
1. Introduction
2. Materials and Methods
3. Results
3.1. Method of Calculation
- By selecting a larger number of subdivisions, such as 20 subdivisions compared to 4, we increase the resolution, which leads to a higher base value of (approx. 3.0 vs. 1.4). This greater ‘zoom’ reveals more subtle, chaotic fluctuations that are ignored at lower resolutions.
- In turn, by reducing the length of the interval (from 400 to 40), we narrow the observation window, which allows us to see a significantly larger number of rapid and frequent fluctuations in , which translates into higher ‘nervousness’ of the obtained signal.
- for λ max < 0 → all trajectories land at a stable point;
- for λ max = 0 → quasi-periodic trajectories appear (e.g., closed curves, tori);
- for λ max > 0 → the phase image becomes ‘jagged’, chaotic attractors appear.
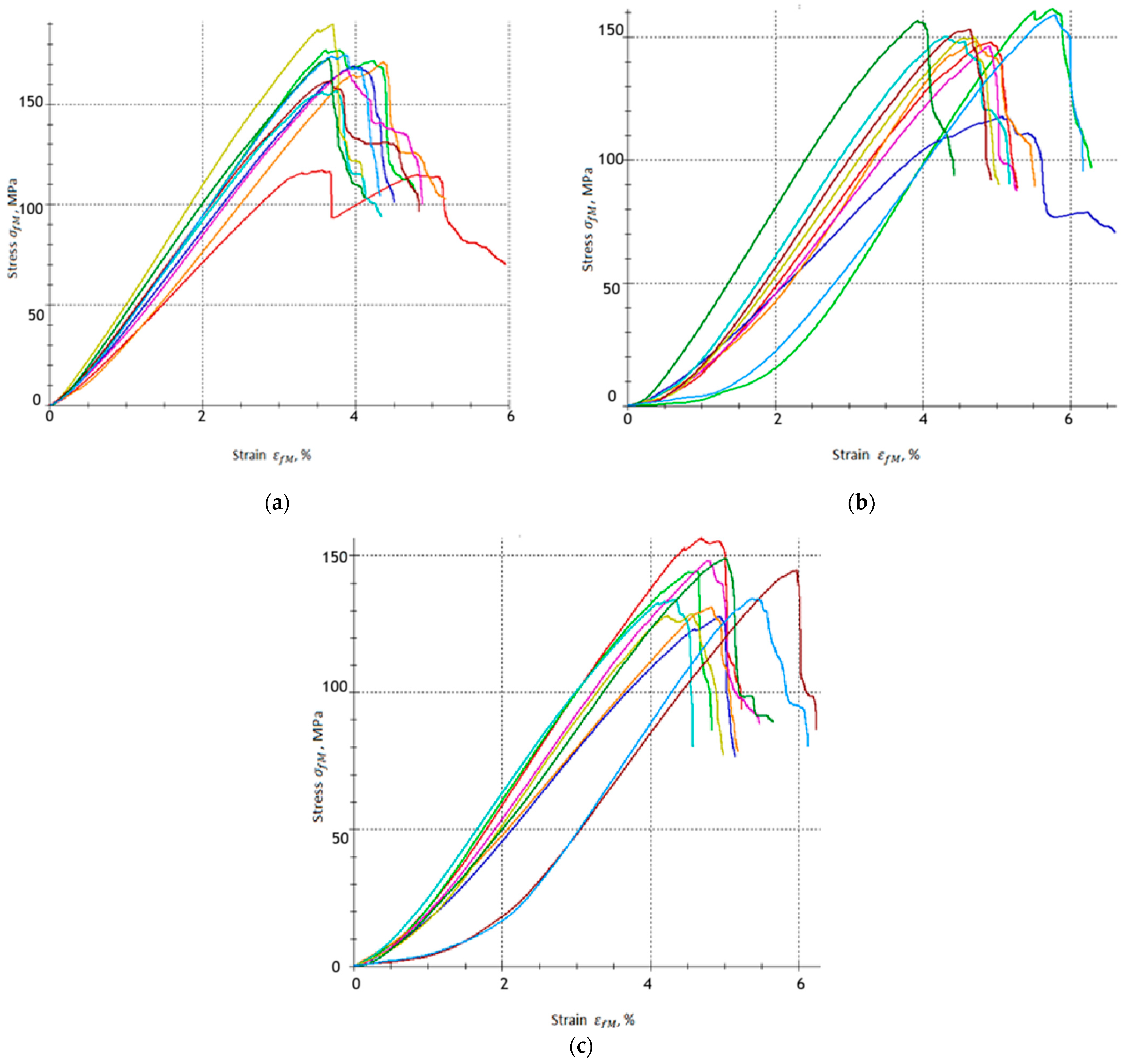
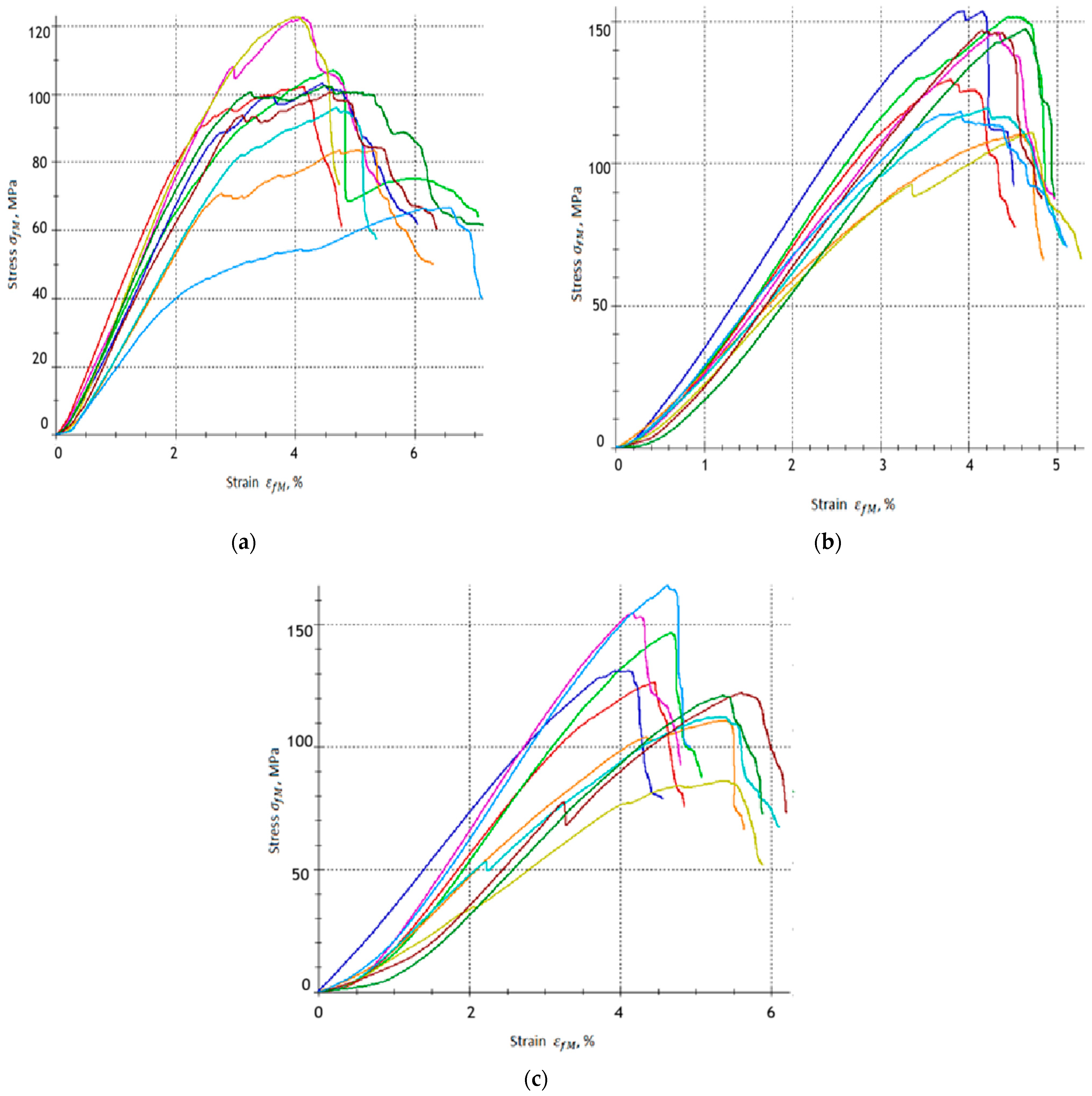
3.2. Evaluation of Strength Properties Using Metric Entropy Analysis
4. Discussion
5. Conclusions
Author Contributions
Funding

Institutional Review Board Statement
Informed Consent Statement
Data Availability Statement
Conflicts of Interest
References
- Zaharia, S.M.; Pop, M.A.; Chicos, L.-A.; Buican, G.R.; Lancea, C.; Pascariu, I.S.; Stamate, V.-M. Compression and Bending Properties of Short Carbon Fiber Reinforced Polymers Sandwich Structures Produced via Fused Filament Fabrication Process. Polymers 2022, 14, 2923. [Google Scholar] [CrossRef]
- Amir, A.L.; Ishak, M.R.; Yidris, N.; Zuhri, M.Y.M.; Asyraf, M.R.M.; Zakaria, S.Z.S. Influence of Woven Glass-Fibre Prepreg Orientation on the Flexural Properties of a Sustainable Composite Honeycomb Sandwich Panel for Structural Applications. Materials 2023, 16, 5021. [Google Scholar] [CrossRef] [PubMed]
- Hadăr, A.; Baciu, F.; Voicu, A.D.; Vlăsceanu, D.; Tudose, D.I.; Adetu, C. Mechanical Characteristics Evaluation of a Single Ply and Multi-Ply Carbon Fiber-Reinforced Plastic Subjected to Tensile and Bending Loads. Polymers 2022, 14, 3213. [Google Scholar] [CrossRef] [PubMed]
- Chiracu, I.G.; Ojoc, G.G.; Cristea, G.C.; Boțan, M.; Cantaragiu Ceoromila, A.; Pîrvu, C.; Vasiliu, A.V.; Deleanu, L. Behavior of Composites Madeof Quadriaxial Glass Fiber Fabrics and Epoxy Resin under Three-Point Bending. Polymers 2024, 16, 1925. [Google Scholar] [CrossRef] [PubMed]
- Mazurkiewicz, M.; Kluczyński, J.; Jasik, K.; Sarzyński, B.; Szachogłuchowicz, I.; Łuszczek, J.; Torzewski, J.; Śnieżek, L.; Grzelak, K.; Małek, M. Bending Strength of Polyamide-Based Composites Obtained during the Fused Filament Fabrication (FFF) Process. Materials 2022, 15, 5079. [Google Scholar] [CrossRef]
- Hur, O.N.; Kim, H.W.; Park, S.H. Bending Properties of Carbon Nanotube/Polymer Composites with Various Aspect Ratios and Filler Contents. Micromachines 2020, 11, 857. [Google Scholar] [CrossRef]
- Monjon, A.; Santos, P.; Valvez, S.; Reis, P.N.B. Hybridization Effects on Bending and Interlaminar Shear Strength of Composite Laminates. Materials 2022, 15, 1302. [Google Scholar] [CrossRef]
- Nandihalli, N. Microwave-driven synthesis and modification of nanocarbons and hybrids in liquid and solid phases. J. Energy Storage 2025, 111, 115315. [Google Scholar] [CrossRef]
- Dąbrowska, A. 13-Nanocarbon/epoxy composites: Preparation, properties, and applications. In Nanocarbon and Its Composites Preparation, Properties and Applications Woodhead Publishing Series in Composites Science and Engineering; Woodhead Publishing: Cambridge, UK, 2019; pp. 421–448. [Google Scholar] [CrossRef]
- Rodríguez, G.E.; Bustos Ávila, C.; Cloutier, A. Physical and Mechanical Properties of Fiberboard Madeof MDFResidues and Phase Change Materials. Forests 2024, 15, 802. [Google Scholar] [CrossRef]
- Matykiewicz, D. Biochar as an Effective Filler of Carbon Fiber Reinforced Bio-Epoxy Composites. Processes 2020, 8, 724. [Google Scholar] [CrossRef]
- Aboughaly, M.; Babaei-Ghazvini, A.; Dhar, P.; Patel, R.; Acharya, B.E. Enhancing the Potential of Polymer Composites Using Biochar as a Filler: A Review. Polymers 2023, 15, 3981. [Google Scholar] [CrossRef]
- Bartoli, M.; Arrigo, R.; Malucelli, G.; Tagliaferro, A.; Duraccio, D. Recent Advances in Biochar Polymer Composites. Polymers 2022, 14, 2506. [Google Scholar] [CrossRef]
- Das, C.; Tamrakar, S.; Kiziltas, A.; Xie, X. Incorporation of Biochar to Improve Mechanical, Thermal and Electrical Properties of Polymer Composites. Polymers 2021, 13, 2663. [Google Scholar] [CrossRef]
- Xie, Y.; Kurita, H.; Ishigami, R.; Narita, F. Assessing the Flexural Properties of Epoxy Composites with Extremely Low Addition of Cellulose Nanofiber Content. Appl. Sci. 2020, 10, 1159. [Google Scholar] [CrossRef]
- Panasiuk, K.; Dudzik, K.; Hajdukiewicz, G.; Abramczyk, N. Acoustic Emission and K-S Metric Entropy as Methods to Analyze the Influence of Gamma-Aluminum Oxide Nanopowder on the Destruction Process of GFRP Composite Materials. Materials 2023, 16, 7334. [Google Scholar] [CrossRef]
- Garbacz, G.; Kyzioł, L. Application of metric entropy to determine properties of structural materials. Polímeros 2019, 29, e2019050. [Google Scholar] [CrossRef]
- Garbacz, G.; Kyzioł, L. Determination of yield point of structal materials with using the metric entropy. J. Kones Powertrain Transp. 2014, 21, 1133176. [Google Scholar] [CrossRef]
- Wieczorska, A.; Drewing, S. Statistical Methods in the Analysis of the Effect of Carbonisate on the Hardness of Epoxy-Resin-Based Composites. Materials 2024, 17, 5916. [Google Scholar] [CrossRef] [PubMed]
- Wieczorska, A.; Kosoń-Schab, A. Mechanical characterization of composites containing carbonized furniture waste in static tensile testing. Adv. Sci. Technol. Res. J. 2025, 19, 481–503. [Google Scholar] [CrossRef]
- Wieczorska, A.; Hajdukiewicz, G. Analysis of the Tensile Properties of Composite Material Added Carbonisate Based on the Change of Strain Dynamics. Materials 2024, 17, 6219. [Google Scholar] [CrossRef] [PubMed]
- Efika, E.C.; Onwudili, J.A.; Williams, P.T. Products from the high temperature pyrolysis of RDF at slow and rapid heating rates. J. Anal. Appl. Pyrolysis 2015, 112, 14–22. [Google Scholar] [CrossRef]
- PN-EN ISO 14125:2001; Kompozyty Tworzywowe Wzmocnione Włóknem–Oznaczanie Właściwości Przy Zginaniu. PKN-Polski Komitet Normalizacyjny: Warszawa, Poland, 2001.
- Kolgomorov, A.N. Entropy per Unit Time as a Metric Invariant of Automorphism; Doklady of Russian Academy of Sciences: Moscow, Russia, 1959; Volume 124, pp. 754–755. [Google Scholar]
- Sinai, Y.G. On the Notion of Entropy of a Dynamical System. Dokl. Russ. Acad. Sci. 1959, 124, 768–771. [Google Scholar]
- Garbacz, G. Processing of Experimental Data Taking into Account Their Chaotic Nature. Ph.D. Thesis, Institute of Fundamental Problems of Technology of the Polish Academy of Sciences, Warsaw, Poland, 2008. [Google Scholar]
- Bessa, M. Lyapunov exponents and entropy for divergence-free Lipschitz vector fields. Eur. J. Math. 2023, 9, 20. [Google Scholar] [CrossRef]
- Garbacz, G.; Kyzioł, L. Application of metric entropy for results interpretation of composite materials mechanical tests. Adv. Mater. Sci. 2017, 17, 70–81. [Google Scholar] [CrossRef][Green Version]





















| No. | Sample Code | Number of Samples Tested | Carbonisate Fraction [μm] | Number of Mat Layers | Resin Content % | Glass Mat Content % | Carbonisate Content % |
|---|---|---|---|---|---|---|---|
| 1 | A | 10 | - | 10 | 60 | 40 | 0 |
| 2 | A1 | 10 | <500 | 10 | 60 | 35 | 5 |
| 3 | A2 | 10 | <500 | 10 | 60 | 32.5 | 7.5 |
| 4 | B | 10 | - | 10 | 65 | 35 | 0 |
| 5 | B1 | 10 | <500 | 10 | 65 | 30 | 5 |
| 6 | B2 | 10 | <500 | 10 | 65 | 27.5 | 7.5 |
| No. | Sample Code | Carbonisate Fraction [μm] | Carbonisate Content % | Stress MPa | Difference Percentage % | % Strain | Difference Percentage % |
|---|---|---|---|---|---|---|---|
| 1 | A | - | 0 | 100.56 | 4.634 | ||
| 2 | A1 | 500 | 5 | 133.30 | 32.56 ↑ | 4.269 | 0.079 ↓ |
| 3 | A2 | 500 | 7.5 | 127.79 | 27.08 ↑ | 4.887 | 0.055 ↑ |
| 4 | B | - | 0 | 165.45 | 3.792 | ||
| 5 | B1 | 500 | 5 | 149.05 | 9.89 ↓ | 4.867 | 0.283 ↑ |
| 6 | B2 | 500 | 7.5 | 139.76 | 15.53 ↓ | 4.908 | 0.294 ↑ |
| Sample Code | , % | , % | Changing the Relative to % | MPa | MPa | Change in Relative to % |
|---|---|---|---|---|---|---|
| A | 4.634 | 1.35 | 71 | 100.56 | 53 | 47 |
| A1 | 4.269 | 1.40 | 67 | 133.30 | 55 | 59 |
| A2 | 4.887 | 0.80 | 84 | 127.79 | 24 | 81 |
| B | 3.792 | 2.15 | 43 | 165.45 | 118 | 29 |
| B1 | 4.867 | 2.35 | 52 | 149.05 | 85 | 43 |
| B2 | 4.908 | 2.1 | 57 | 139.76 | 76 | 46 |
Disclaimer/Publisher’s Note: The statements, opinions and data contained in all publications are solely those of the individual author(s) and contributor(s) and not of MDPI and/or the editor(s). MDPI and/or the editor(s) disclaim responsibility for any injury to people or property resulting from any ideas, methods, instructions or products referred to in the content. |
© 2025 by the authors. Licensee MDPI, Basel, Switzerland. This article is an open access article distributed under the terms and conditions of the Creative Commons Attribution (CC BY) license (https://creativecommons.org/licenses/by/4.0/).
Share and Cite
Wieczorska, A.; Hajdukiewicz, G. Application of Kolmogorov–Sinai Metric Entropy to Determine the Exploitation Parameters of Epoxy–Glass Composites with Carbonisate. Materials 2025, 18, 4858. https://doi.org/10.3390/ma18214858
Wieczorska A, Hajdukiewicz G. Application of Kolmogorov–Sinai Metric Entropy to Determine the Exploitation Parameters of Epoxy–Glass Composites with Carbonisate. Materials. 2025; 18(21):4858. https://doi.org/10.3390/ma18214858
Chicago/Turabian StyleWieczorska, Agata, and Grzegorz Hajdukiewicz. 2025. "Application of Kolmogorov–Sinai Metric Entropy to Determine the Exploitation Parameters of Epoxy–Glass Composites with Carbonisate" Materials 18, no. 21: 4858. https://doi.org/10.3390/ma18214858
APA StyleWieczorska, A., & Hajdukiewicz, G. (2025). Application of Kolmogorov–Sinai Metric Entropy to Determine the Exploitation Parameters of Epoxy–Glass Composites with Carbonisate. Materials, 18(21), 4858. https://doi.org/10.3390/ma18214858

