Sign in to use this feature.

Years

Between: -

Subjects

remove_circle_outline
remove_circle_outline
remove_circle_outline
remove_circle_outline
remove_circle_outline
remove_circle_outline
remove_circle_outline
remove_circle_outline
remove_circle_outline

Journals

Article Types

Countries / Regions

Search Results (33)

Search Parameters:
Keywords = residual stone rate

Order results
Result details
Results per page
Select all
Export citation of selected articles as:
13 pages, 2633 KB  
Article
A Model of the Degradation Process of Stone Architecture Under the Influence of Climatic Conditions Described by an Exponential Function
by Marek Skłodowski and Alicja Bobrowska
Appl. Sci. 2025, 15(23), 12552; https://doi.org/10.3390/app152312552 - 26 Nov 2025
Viewed by 233
Abstract
In assessing the strength properties of stone materials, especially in historic structures, ultrasonic measurements are widely used as a non-destructive testing (NDT) method. Actual stone degradation in situ is estimated based on various laboratory tests which allow researchers to correlate the number of [...] Read more.
In assessing the strength properties of stone materials, especially in historic structures, ultrasonic measurements are widely used as a non-destructive testing (NDT) method. Actual stone degradation in situ is estimated based on various laboratory tests which allow researchers to correlate the number of artificial ageing cycles of stone specimens with ultrasonic wave velocity measured on these specimens. This paper presents the results obtained for granite, marble, limestone, travertine and sandstone which underwent various cyclic ageing tests including freezing and thawing, high temperature and salt crystallization. Analysis of the obtained results shows that, independent of the stone type tested and independent of the ageing test applied, a rate of change in the stone elastic properties is described by an ordinary differential equation whose solution is an exponential law analogue to the Newton’s law of cooling. The degradation function model can be used for further research on expected residual strength and dynamics of the heritage materials degradation processes. Full article
(This article belongs to the Special Issue Sustainable Research on Rock Mechanics and Geotechnical Engineering)
Show Figures

Figure 1

26 pages, 4446 KB  
Article
Exploring the Dual Nature of Olive Husk: Fiber/Aggregate in Lightweight Bio-Concrete for Enhanced Hygrothermal, Mechanical, and Microstructural Properties
by Halima Belhadad, Nadir Bellel and Ana Bras
Buildings 2025, 15(11), 1950; https://doi.org/10.3390/buildings15111950 - 4 Jun 2025
Viewed by 1310
Abstract
This study investigates the potential of thermally treated olive husk (OH)—a heterogeneous agro-industrial by-product comprising olive stones, pulp, and fibrous residues—as a multifunctional component in lightweight bio-concrete. Uniquely, this work harnesses the intrinsic dual nature of OH as both a fibrous reinforcement and [...] Read more.
This study investigates the potential of thermally treated olive husk (OH)—a heterogeneous agro-industrial by-product comprising olive stones, pulp, and fibrous residues—as a multifunctional component in lightweight bio-concrete. Uniquely, this work harnesses the intrinsic dual nature of OH as both a fibrous reinforcement and a porous aggregate, without further fractionation, to evaluate its influence on the hygrothermal and mechanical behavior of cementitious composites. While prior studies have often focused selectively on thermal conductivity, this work provides a comprehensive assessment of all major thermal parameters; including diffusivity, effusivity, and specific heat capacity; offering deeper insights into the full thermal behavior of bio-based concretes. OH was incorporated at 0%, 10%, and 20% by weight, and the resulting concretes were subjected to a comprehensive characterization of their thermal, hygric, mechanical, and microstructural properties. Thermal performance metrics included conductivity, specific heat capacity, diffusivity, effusivity, time lag, and predicted energy savings. Hygric behavior was assessed through the moisture buffering value (MBV), while density, porosity, and mechanical strengths were also evaluated. At 20% OH content, thermal conductivity decreased to 0.405 W/m·K (a 72% reduction), thermal diffusivity dropped by 87%, and thermal effusivity reached 554 W·s0.5/m2·K, collectively enhancing thermal inertia and increasing the time lag by 77% (to 2.32 h). MBVs improved to 2.18 g/m2·%RH, rated as “Excellent” for indoor moisture regulation. Despite the higher porosity, the bio-concrete maintained adequate mechanical integrity, with compressive and flexural strengths of 11.68 MPa and 3.58 MPa, respectively, attributed to the crack-bridging action of the fibrous inclusions. Microstructural analysis (SEM/XRD) revealed improved paste continuity and denser C–S–H formation, attributed to enhanced matrix compatibility following oil removal via thermal pre-treatment. These findings demonstrate the viability of OH as a new bio-based, multifunctional additive for fabricating thermally efficient, hygroscopically active, and structurally sound concretes suitable for sustainable construction. Full article
(This article belongs to the Collection Advanced Concrete Materials in Construction)
Show Figures

Figure 1

13 pages, 2146 KB  
Article
Small Diameter (7.5 Fr) Single-Use Flexible Ureteroscopy with Direct In-Scope Suction (DISSTM) in Conjunction with Aspiration-Assisted Flexible Access Sheath: A New Hype for Real Stone-Free?
by Petrișor Geavlete, Cristian Mareș, Răzvan Mulțescu, Dragoș Georgescu, Cosmin-Victor Ene, Valentin Iordache and Bogdan Geavlete
J. Clin. Med. 2024, 13(23), 7191; https://doi.org/10.3390/jcm13237191 - 27 Nov 2024
Cited by 8 | Viewed by 4228
Abstract
Background: Renal lithiasis continues to represent a great challenge for modern urology in terms of minimally invasive management of lithotripsy procedures. The recent revolution of endoscopes with the miniaturization of instruments and the development of improved disposable ureteroscopes combined with recent suction [...] Read more.
Background: Renal lithiasis continues to represent a great challenge for modern urology in terms of minimally invasive management of lithotripsy procedures. The recent revolution of endoscopes with the miniaturization of instruments and the development of improved disposable ureteroscopes combined with recent suction methods such as suction access sheaths or direct in-scope suction (DISSTM) systems promise to further improve the outcome of renal stone treatment. Methods: Considering this technological advance, this study aims to evaluate the results obtained by combining these methods in three groups: Group 1—Single-use 7.5 Fr flexible ureteroscope with standard access sheath, Group 2—Single-use 7.5 Fr flexible ureteroscope with direct in-scope suction (DISSTM) with standard access sheath, Group 3—Single-use 7.5 Fr flexible ureteroscope with DISSTM with suction access sheath. A total number of 105 consecutive patients were enrolled in the study, divided equally in each group. Several parameters were followed, such as size and location of the stones, operative time, duration of hospitalization, the need for ureteral stent insertion, residual fragments, and subjective evaluation of the lithotripsy environment visualization. Results: The best results were highlighted in Group 3 for almost all evaluated parameters. Significant improvements were indicated in terms of stone-free rates. Conclusions: Additional large studies are needed to support these initial results, but preliminary data indicate a valuable advantage for every urologist who treats urolithiasis. Full article
(This article belongs to the Special Issue Targeted Treatment of Kidney Stones)
Show Figures

Figure 1

19 pages, 5105 KB  
Article
Peak and Residual Shear Interface Measurement between Sand and Continuum Surfaces Using Ring Shear Apparatus
by Rayed Almasoudi, Firas Daghistani and Hossam Abuel-Naga
Appl. Sci. 2024, 14(14), 6373; https://doi.org/10.3390/app14146373 - 22 Jul 2024
Cited by 3 | Viewed by 1924
Abstract
This study uses a ring shear apparatus to measure the interface shear stress between five types of sand and three surfaces: steel, PVC, and stone. Experiments were conducted under normal stresses of 25, 50, and 100 kPa at a constant shear rate of [...] Read more.
This study uses a ring shear apparatus to measure the interface shear stress between five types of sand and three surfaces: steel, PVC, and stone. Experiments were conducted under normal stresses of 25, 50, and 100 kPa at a constant shear rate of 0.5 mm/min. The research examines the impact of various sand properties, including particle size distribution, median particle size, particle shape, and initial density, as well as the surface roughness and hardness of continuum materials. The results show that interface shear strength is significantly influenced by the mechanical interlock between sand particles and surface asperities, which is affected by the normalized roughness and hardness of the materials. Machine learning models, including Multiple Linear Regression and Random Forest Regression, were used to predict peak and residual shear strengths, demonstrating high accuracy. Additionally, an empirical equation was generated using eight input parameters, considering the peak and residual interface shear strength as outputs. Full article
Show Figures

Figure 1

19 pages, 1691 KB  
Article
Extraction and Depolymerization of Lignin from Different Agricultural and Forestry Wastes to Obtain Building Blocks in a Circular Economy Framework
by María Ángeles Fontecha-Cámara, Irene Delgado-Blanca, María Mañas-Villar, Francisco José Orriach-Fernández and Belén Soriano-Cuadrado
Polymers 2024, 16(14), 1981; https://doi.org/10.3390/polym16141981 - 11 Jul 2024
Cited by 7 | Viewed by 3893
Abstract
Large amounts of agri-food waste are generated and discarded annually, but they have the potential to become highly profitable sources of value-added compounds. Many of these are lignin-rich residues. Lignin, one of the most abundant biopolymers in nature, offers numerous possibilities as a [...] Read more.
Large amounts of agri-food waste are generated and discarded annually, but they have the potential to become highly profitable sources of value-added compounds. Many of these are lignin-rich residues. Lignin, one of the most abundant biopolymers in nature, offers numerous possibilities as a raw material or renewable resource for the production of chemical products. This study aims to explore the potential revalorization of agricultural by-products through the extraction of lignin and subsequent depolymerization. Different residues were studied; river cane, rice husks, broccoli stems, wheat straw, and olive stone are investigated (all local wastes that are typically incinerated). Traditional soda extraction, enhanced by ultrasound, is applied, comparing two different sonication methods. The extraction yields from different residues were as follows: river cane (28.21%), rice husks (24.27%), broccoli (6.48%), wheat straw (17.66%), and olive stones (24.29%). Once lignin is extracted, depolymerization is performed by three different methods: high-pressure reactor, ultrasound-assisted solvent depolymerization, and microwave solvolysis. As a result, a new microwave depolymerization method has been developed and patented, using for the first time graphene nanoplatelets (GNPs) as new promising carbonaceous catalyst, achieving a 90.89% depolymerization rate of river cane lignin and yielding several building blocks, including guaiacol, vanillin, ferulic acid, or acetovanillone. Full article
Show Figures

Graphical abstract

21 pages, 799 KB  
Review
Recurrent Urinary Stone Formers: Imaging Assessment and Endoscopic Treatment Strategies: A Systematic Search and Review
by Charalampos Mavridis, Athanasios Bouchalakis, Vasiliki Tsagkaraki, Bhaskar Kumar Somani, Charalampos Mamoulakis and Theodoros Tokas
J. Clin. Med. 2024, 13(12), 3461; https://doi.org/10.3390/jcm13123461 - 13 Jun 2024
Cited by 5 | Viewed by 3771
Abstract
Background/Objectives: Nephrolithiasis is a heterogeneous disease with a high prevalence and recurrence rate. Although there has been much progress regarding the surgical treatment of stones, a standardized follow-up, especially in recurrent stone formers (SFs), has yet to be decided. This fact leads [...] Read more.
Background/Objectives: Nephrolithiasis is a heterogeneous disease with a high prevalence and recurrence rate. Although there has been much progress regarding the surgical treatment of stones, a standardized follow-up, especially in recurrent stone formers (SFs), has yet to be decided. This fact leads to the overuse of computed tomography (CT) scans and many reoperations in patients, thus increasing their morbidity and the financial burden on the health systems. This review systematically searched the literature for original articles regarding imaging strategies and endoscopic treatment for patients with recurrent urolithiasis, aiming to identify optimal strategies to deal with these patients. Methods: We systematically searched the Medline database (accessed on 1 April 2024) for articles regarding imaging modalities and endoscopic treatment for patients with recurrent urinary tract lithiasis. Results: No specific follow-up or endoscopic treatment strategy exists for patients with recurrent urolithiasis. CT scan was the imaging modality most used in the studies, followed by X-ray, ultrasonography, and digital tomosynthesis. A transparent algorithm could not be identified. Percutaneous nephrolithotomy (PCNL), retrograde intrarenal surgery (RIRS), and ureteroscopy (URS) were used in the studies for endoscopic treatment. PCNL showed the best stone-free (SFr) rate and lowest hazard ratio (HR) for reoperation. RIRS showed superiority over extracorporeal shockwave lithotripsy for recurrent SFs, but fragments over 4 mm increased the recurrent rate. URS has an increased HR for reoperation for bilateral stones. Conclusions: The heterogeneity of urolithiasis leaves urologists without a standardized plan for recurrent SFs. Thus, each patient’s follow-up should be planned individually and holistically. Pre-stenting is not to be avoided, especially in high-risk patients, and SFr status needs to be the aim. Finally, CT scans should not be generally overused but should be part of a patient’s treatment plan. Prospective studies are required to define SFr status, the size of significant residual fragments, and the modalities of intervention and follow-up. Full article
(This article belongs to the Section Nephrology & Urology)
Show Figures

Figure 1

19 pages, 4442 KB  
Article
Analysis of the Solar Pyrolysis of a Walnut Shell: Insights into the Thermal Behavior of Biomaterials
by Arturo Aspiazu-Méndez, Nidia Aracely Cisneros-Cárdenas, Carlos Pérez-Rábago, Aurora M. Pat-Espadas, Fabio Manzini-Poli and Claudio A. Estrada
Energies 2024, 17(6), 1435; https://doi.org/10.3390/en17061435 - 16 Mar 2024
Cited by 5 | Viewed by 2090
Abstract
The state of Sonora, Mexico, stands as one of the leading producers of pecan nuts in the country, which are commercialized without shells, leaving behind this unused residue. Additionally, this region has abundant solar resources, as shown by its high levels of direct [...] Read more.
The state of Sonora, Mexico, stands as one of the leading producers of pecan nuts in the country, which are commercialized without shells, leaving behind this unused residue. Additionally, this region has abundant solar resources, as shown by its high levels of direct normal irradiance (DNI). This study contributes to research efforts aimed at achieving a synergy between concentrated solar energy technology and biomass pyrolysis processes, with the idea of using the advantages of organic waste to reduce greenhouse gas emissions and avoiding the combustion of conventional pyrolysis through the concentration of solar thermal energy. The objective of this study is to pioneer a new experimental analysis methodology in research on solar pyrolysis reactors. The two main features of this new methodology are, firstly, the comparison of temperature profiles during the heating of inert and reactive materials and, secondly, the analysis of heating rates. This facilitated a better interpretation of the observed phenomenon. The methodology encompasses two different thermal experiments: (A) the pyrolysis of pecan shells and (B) the heating–cooling process of the biochar produced in experiment (A). Additionally, an experiment involving the heating of volcanic stone is presented, which reveals the temperature profiles of an inert material and serves as a comparative reference with experiment (B). In this experimental study, 50 g of pecan shells were subjected to pyrolysis within a cylindrical stainless-steel reactor with a volume of 156 cm3, heated by concentrated radiation from a solar simulator. Three different heat fluxes were applied (234, 482, and 725 W), resulting in maximum reaction temperatures of 382, 498, and 674 °C, respectively. Pyrolysis gas analyses (H2, CO, CO2, and CH4) and characterization of the obtained biochar were conducted. The analysis of heating rates, both for biochar heating and biomass pyrolysis, facilitated the identification, differentiation, and interpretation of processes such as moisture evaporation, tar production endpoint, cellulosic material pyrolysis, and lignin degradation. This analysis proved to be a valuable tool as it revealed heating and cooling patterns that were not previously identified. The potential implications of this tool would be associated with improvements in the design and operation protocols of solar reactors. Full article
(This article belongs to the Special Issue Advances in Bioenergy and Waste-to-Energy Technologies)
Show Figures

Figure 1

8 pages, 538 KB  
Article
Safety and Efficacy of Bilateral Tubeless Supine Mini-Percutaneous Nephrolithotomy for the Management of Bilateral Renal Calculi in Renal Failure Patients
by Puvai Murugan Ponnuswamy, Bhalaguru Iyyan Arumugam, Shree Vishnu Siddarth Rajagopal and Krishna Mohan Boopathy Vijayaraghavan
Soc. Int. Urol. J. 2024, 5(1), 56-63; https://doi.org/10.3390/siuj5010011 - 18 Feb 2024
Cited by 1 | Viewed by 2613
Abstract
Background: To evaluate the safety, efficacy, feasibility, stone-free rate, and complications of bilateral tubeless supine mini-percutaneous nephrolithotomy (M-PCNL) for bilateral multiple renal calculi with renal failure as a single-stage procedure. Materials and Methods: We conducted a retrospective study from January 2020 to March [...] Read more.
Background: To evaluate the safety, efficacy, feasibility, stone-free rate, and complications of bilateral tubeless supine mini-percutaneous nephrolithotomy (M-PCNL) for bilateral multiple renal calculi with renal failure as a single-stage procedure. Materials and Methods: We conducted a retrospective study from January 2020 to March 2022 in adult patients with bilateral renal or proximal ureteric calculi with renal failure who were subjected to bilateral supine tubeless M-PCNL. Patients on regular hemodialysis before the procedure were excluded. Data regarding the demographic profile, stone characteristics on non-contrast computed tomography (NCCT), duration of surgery, complications, and auxiliary procedures were retrieved from clinical records. Residual stone fragments of≤4mm in NCCT were considered clinically insignificant. The Clinical Research Office of the Endourological Society validation ofClavien score for PCNL complications was used. Results: A total of twenty-seven patients with a mean age of 45.9years were included in this study. The mean size of stone diameter per renal unit was 2.4 ± 0.4 cm. The mean preoperative serum creatinine was 2.8 mg/dL. A total of 62 tracts and 27 sessions were required for complete treatment of all 54 renal units in the 27 successfully treated patients. The average operating time was 75 (52–122) min on both sides. Serum creatinine drop at onemonth postsurgery was statistically significant (p < 0.0001). Mean hospitalization time was 3.6 days [3–6 days]. The primary stone-free rate was 92.5%. Grade I, II, and IVA complications were recorded in three (11.1%), eight (29.6%), and two (7.4%) patients, respectively. Conclusion: Bilateral tubeless supine M-PCNL for bilateral renal calculi in selective patients with renal failure in a single session is a safe, feasible, and effective option which can be carried out without increased morbidity and can be attempted if the first-side M-PCNL has gone smoothly within a reasonable amount of time. Full article
Show Figures

Figure 1

20 pages, 4545 KB  
Article
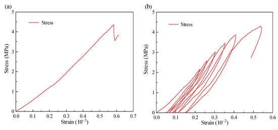
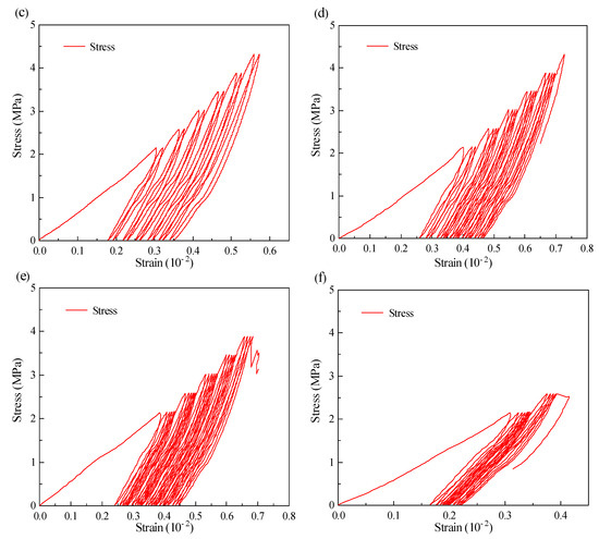
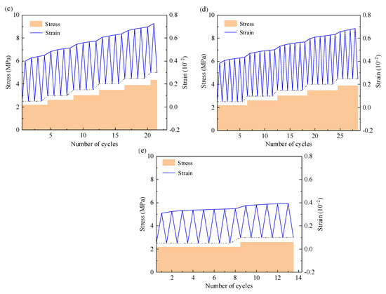
Research on Damage Evolution Law of Glazed Hollow Beads-Cement/Sodium Silicate Grouting Materials under Different Cycles of Loading and Unloading
by Tao Liu, Weijing Yao, Jinxiu Han, Yu Liu and Heng Wang
Materials 2024, 17(1), 204; https://doi.org/10.3390/ma17010204 - 30 Dec 2023
Cited by 1 | Viewed by 1403
Abstract
With the depletion of shallow resources, deep resource mining has become a trend. However, the high temperature and complex stress environment in deep mines make resource extraction extremely challenging. This paper developed a thermal insulation grouting material made of glazed hollow beads, sodium [...] Read more.
With the depletion of shallow resources, deep resource mining has become a trend. However, the high temperature and complex stress environment in deep mines make resource extraction extremely challenging. This paper developed a thermal insulation grouting material made of glazed hollow beads, sodium silicate, and cement and tested the compressive strength, gelation time, and stone rate under various curing days in light of the issue of high temperature heat damage in high ground temperature mines and the impact of mining on roadway grouting bolt support. Fatigue strength, fatigue deformation, load-residual strain, energy evolution and microscopic features were studied and analyzed in relation to the damage law of graded cyclic loading and unloading under the number of varying cycles. The findings demonstrate that cyclic loading and unloading strength is lower than uniaxial compressive strength. The fatigue strength is significantly decreased when the number of cycles reaches its limit. Residual strain is less sensitive to changes in stress than load strain. The fitting correlation coefficients of total output energy and elastic energy are higher than 0.71. Full article
(This article belongs to the Section Construction and Building Materials)
Show Figures

Figure 1

24 pages, 9525 KB  
Article
Design and Implementation of a Hardware and Software System for Visual Assessment of Bituminous Coating Quality
by Dmitrii Kamianskii, Alexander Boldyrev, Nikita Vezdenetsky, Irina Vatamaniuk and Marina Bolsunovskaya
Sensors 2023, 23(23), 9325; https://doi.org/10.3390/s23239325 - 22 Nov 2023
Cited by 1 | Viewed by 1568
Abstract
Typically, the quality of the bitumen adhesion in asphalt mixtures is assessed manually by a group of experts who assign subjective ratings to the thickness of the residual bitumen coating on the gravel samples. To automate this process, we propose a hardware and [...] Read more.
Typically, the quality of the bitumen adhesion in asphalt mixtures is assessed manually by a group of experts who assign subjective ratings to the thickness of the residual bitumen coating on the gravel samples. To automate this process, we propose a hardware and software system for visual assessment of bituminous coating quality, which provides the results both in the form of a discrete estimate compatible with the expert one, and in a more general percentage for a set of samples. The developed methodology ensures static conditions of image capturing, insensitive to external circumstances. This is achieved by using a hardware construction designed to provide capturing the samples at eight different illumination angles. As a result, a generalized image is obtained, in which the effect of highlights and shadows is eliminated. After preprocessing, each gravel sample independently undergoes surface semantic segmentation procedure. Two most relevant approaches of semantic image segmentation were considered: gradient boosting and U-Net architecture. These approaches were compared by both stone surface segmentation accuracy, where they showed the same 77% result and the effectiveness in determining a discrete estimate. Gradient boosting showed an accuracy 2% higher than the U-Net for it and was thereby chosen as the main model when developing the prototype. According to the test results, the evaluation of the algorithm in 75% of cases completely coincided with the expert one, and it had a slight deviation from it in another 22% of cases. The developed solution allows for standardizing the data obtained and contributes to the creation of an interlaboratory digital research database. Full article
(This article belongs to the Special Issue Sensing and Imaging for Defect Detection)
Show Figures

Figure 1

11 pages, 897 KB  
Article
A Prospective Study on the Impact of Clinical Factors and Adjusted Triple D System for Success Rate of ESWL
by Marius Snicorius, Mingailė Drevinskaitė, Marius Miglinas, Albertas Čekauskas, Vidita Urbonienė, Rimantė Bandzevičiūtė, Justinas Čeponkus, Valdas Šablinskas and Arunas Želvys
Medicina 2023, 59(10), 1827; https://doi.org/10.3390/medicina59101827 - 13 Oct 2023
Cited by 1 | Viewed by 3338
Abstract
Objective: Our study aimed to evaluate the success rate of ESWL and identify relevant treatment-specific factors affecting treatment outcomes, as well as to assess the accuracy of the updated Triple D scoring system and compare it with older systems. Material and Methods [...] Read more.
Objective: Our study aimed to evaluate the success rate of ESWL and identify relevant treatment-specific factors affecting treatment outcomes, as well as to assess the accuracy of the updated Triple D scoring system and compare it with older systems. Material and Methods: A prospective study of 71 patients who received ESWL treatment for renal stones that were 5–15 mm in size was completed. The patient having no residual stones or residual stones lesser than 4 mm after ESWL was identified as a treatment success. Univariate and multivariate logistic regression and ROC curves were used to identify important factors for treatment outcomes. Results: Successful treatment was achieved for 66.2% of patients. The stone volume (SV), mean stone density (MD), and delivered power to the stone volume unit ratio (SMLI/SV) were defined as the most critical factors influencing ESWL success. An updated Triple D score system with a, SMLI/SV ratio could be an alternative to older systems and reach an even higher accuracy. A limitation of this study is the limited sample size due to the COVID-19 pandemic. Conclusions: Our results show that the three factors that most influence the success of ESWL are the stone size, mean stone density, and SMLI/SV ratio. Based on this, we present a simple updated triple D score system to predict ESWL success, which could be implemented in future clinical practice. Full article
(This article belongs to the Section Urology & Nephrology)
Show Figures

Figure 1

10 pages, 2240 KB  
Review
Shockwave Lithotripsy for De-Novo Urolithiasis after Kidney Transplantation: A Systematic Review of the Literature
by Clara Cerrato, Victoria Jahrreiss, Carlotta Nedbal, Francesco Ripa, Vincenzo De Marco, Manoj Monga, Amelia Pietropaolo and Bhaskar Somani
J. Clin. Med. 2023, 12(13), 4389; https://doi.org/10.3390/jcm12134389 - 29 Jun 2023
Cited by 8 | Viewed by 3297
Abstract
Background: Allograft urolithiasis is an uncommon, challenging, and potentially dangerous clinical problem. Treatment of allograft stones includes external shockwave lithotripsy (SWL), flexible ureteroscopy and lasertripsy (fURSL), or percutaneous nephrolithotomy (PCNL). A gap in the literature and guidelines exists regarding the treatment of patients [...] Read more.
Background: Allograft urolithiasis is an uncommon, challenging, and potentially dangerous clinical problem. Treatment of allograft stones includes external shockwave lithotripsy (SWL), flexible ureteroscopy and lasertripsy (fURSL), or percutaneous nephrolithotomy (PCNL). A gap in the literature and guidelines exists regarding the treatment of patients in this setting. The aim of this systematic review was to collect preoperative and treatment characteristics and evaluate the outcomes of post-transplant SWL for stone disease. Methods: A systematic search in the literature was performed, including articles up to March 2023. Only original English articles were selected. Results: Eight articles (81 patients) were included in the review. Patients were mainly male, with a mean age of 41.9 years (±7.07). The mean stone size was 13.18 mm (±2.28 mm). Stones were predominantly located in the kidney (n = 18, 62%). The overall stone-free rate and complication rates were 81% (range: 50–100%) and 17.2% (14/81), respectively, with only one major complication reported. A pre-operative drainage was placed in eleven (13.5%) patients. Five patients (6.71%) required a second treatment for residual fragments. Conclusions: SWL is a safe and effective option to treat de novo stones after transplantation. Larger studies are needed to better address allograft urolithiasis management. Full article
(This article belongs to the Special Issue Medical and Surgical Management of Urinary Tract Diseases)
Show Figures

Figure 1

24 pages, 12784 KB  
Article
Analysis of Asphalt Mixtures Modified with Steel Slag Surface Texture Using 3D Scanning Technology
by Shuai Zhang, Rongxin Guo, Feng Yan, Ruzhu Dong, Chuiyuan Kong and Junjie Li
Materials 2023, 16(8), 3256; https://doi.org/10.3390/ma16083256 - 20 Apr 2023
Cited by 3 | Viewed by 2265
Abstract
This paper investigates the use of steel slag in the place of basalt coarse aggregate in Stone Mastic Asphalt-13 (SMA-13) gradings in the early forming of an experimental pavement and evaluates the test performance of the mixes, combined with 3D scanning techniques to [...] Read more.
This paper investigates the use of steel slag in the place of basalt coarse aggregate in Stone Mastic Asphalt-13 (SMA-13) gradings in the early forming of an experimental pavement and evaluates the test performance of the mixes, combined with 3D scanning techniques to analyse the initial textural structure of the pavement. Laboratory tests were carried out to design the gradation of the two asphalt mixtures and to assess the strength, chipping and cracking resistance of the asphalt mixtures using water immersion Marshall tests, freeze–thaw splitting tests, rutting tests and for comparison with laboratory tests, while surface texture collection and analysis of the height parameters (i.e., Sp, Sv, Sz, Sq, Ssk) and morphological parameters (i.e., Spc) of the pavement were performed to assess the skid resistance of the two asphalt mixtures. Firstly, the results show that a substitution of steel slag for basalt in pavements is a good alternative for efficient resource utilization. Secondly, when steel slag was used in place of basalt coarse aggregate, the water immersion Marshall residual stability improved by approximately 28.8% and the dynamic stability by approximately 15.8%; the friction values decayed at a significantly lower rate, and the MTD did not change significantly. Thirdly, in the early stages of pavement formation, Sp, Sv, Sz, Sq and Spc showed a good linear relationship with BPN values, and these texture parameters can be used as parameters to describe steel slag asphalt pavements. Finally, this study also found that the standard deviation of peak height was higher for steel slag–asphalt mixes than for basalt–asphalt mixes, with little difference in texture depth, while the former formed more peak tips than the latter. Full article
(This article belongs to the Special Issue Industrial Solid Wastes for Construction and Building Materials)
Show Figures

Figure 1

20 pages, 4420 KB  
Article
Material Recycling for Manufacturing Aggregates Using Melting Slag of Automobile Shredder Residues
by Soo-Jin Cho, Ha-Na Jang, Sung-Jin Cho, Young-Sam Yoon and Heung-Min Yoo
Materials 2023, 16(7), 2664; https://doi.org/10.3390/ma16072664 - 27 Mar 2023
Cited by 6 | Viewed by 2207
Abstract
The quantity of waste from end-of-life vehicles is increasing with an increase in the number of scrapped internal combustion engine vehicles owing to international trends such as carbon neutrality and particulate matter reduction. The recycling rate must be ≥95%; however, the average recycling [...] Read more.
The quantity of waste from end-of-life vehicles is increasing with an increase in the number of scrapped internal combustion engine vehicles owing to international trends such as carbon neutrality and particulate matter reduction. The recycling rate must be ≥95%; however, the average recycling rate remains at approximately 89%. Therefore, the improvement of the recycling of automobile shredder residues (ASR) is gaining attention. In this study, four types of products (interlocking, clay, and lightweight swelled ceramic (LSC) bricks, and asphalt paving aggregate (APA)) were manufactured using ASR melting slag (ASRMS). Environmental performance, quality standards, and technology were evaluated to assess the recyclability of the manufactured bricks. The interlocking brick substituted melting slag for sand and stone powder as an aggregate. As melting slag content increased, absorption decreased and bending strength increased. Clay brick was manufactured by replacing kaolin and feldspar with melting slag that substituted for 20%. The quality of clay bricks mixed with over 15% melting slag was not better than standard. Asphalt paving aggregate was used to investigate the optimum condition of slag content in mixed asphalt; the mixture ratio showed that 61% broken stone of 13 mm, 6% screenings, 10% melting slag, 15% sand and 8% filler was most effective. A lightweight swelled ceramic brick was manufactured by using melting slag, front glass, and so on. Specific gravity and compressive strength ranged from 0.38 to 0.51 and from 339.7 to 373.6 N/cm2. ASRMS exhibited an environmental performance suitable for recycling and the manufactured bricks satisfied the quality standards. The recyclability of ASR was also assessed in terms of waste usage, conformance to quality standards, market size, and demand prediction. APA showed the best results followed by interlocking, clay, and LSC bricks. Full article
Show Figures

Graphical abstract

18 pages, 2348 KB  
Article
Biochar from Agro-Forest Residue: Application Perspective Based on Decision Support Analysis
by Tsvetelina Petrova, Iliyana Naydenova, João Ribau and Ana F. Ferreira
Appl. Sci. 2023, 13(5), 3240; https://doi.org/10.3390/app13053240 - 3 Mar 2023
Cited by 14 | Viewed by 3575
Abstract
The present work aims at (a) carbonizing agriculture biomass residue; (b) characterizing the obtained biochar; and (c) exploring its potential use for energy/resource recovery purposes. Six types of biomass were carbonized. The biochar was investigated through scanning electron microscopy with energy dispersive X-ray [...] Read more.
The present work aims at (a) carbonizing agriculture biomass residue; (b) characterizing the obtained biochar; and (c) exploring its potential use for energy/resource recovery purposes. Six types of biomass were carbonized. The biochar was investigated through scanning electron microscopy with energy dispersive X-ray spectroscopy detector, thermogravimetric (TGA), proximate, ultimate, and Brunauer–Emmett–Teller analyses, along with bulk density, pH, electrical conductivity, and salt content measurements. The results served as input data for multi-criteria, multi-objective decision analysis of biochar, aiming to evaluate its best application prospective. The TGA identified two general stages: devolatilization (stage 2: 180–560 °C), and combustion (stage 3: 560–720 °C). The activation energy of stage 2 decreased with an increasing heating rate, but the opposite trend was observed for stage 3. The biochar CO2 adsorption suggested possible applications beyond energy conversion technologies. The decision support analysis revealed that peach stones, cherry stones, and grape pomace biochar achieved the most promising results for all evaluated applications (biofuel; catalyst; CO2 sequestration and soil amendment; supercapacitor) in contrast to colza, softwood, or sunflower husks char. Full article
(This article belongs to the Special Issue Recent Advances in Thermochemical Biomass Conversion Technologies)
Show Figures

Figure 1

Back to TopTop