Sign in to use this feature.

Years

Between: -

Subjects

remove_circle_outline
remove_circle_outline
remove_circle_outline
remove_circle_outline
remove_circle_outline
remove_circle_outline
remove_circle_outline
remove_circle_outline
remove_circle_outline

Journals

remove_circle_outline
remove_circle_outline
remove_circle_outline
remove_circle_outline
remove_circle_outline
remove_circle_outline
remove_circle_outline
remove_circle_outline
remove_circle_outline
remove_circle_outline
remove_circle_outline
remove_circle_outline
remove_circle_outline
remove_circle_outline
remove_circle_outline
remove_circle_outline
remove_circle_outline
remove_circle_outline
remove_circle_outline
remove_circle_outline
remove_circle_outline
remove_circle_outline
remove_circle_outline
remove_circle_outline
remove_circle_outline
remove_circle_outline
remove_circle_outline
remove_circle_outline
remove_circle_outline

Article Types

Countries / Regions

remove_circle_outline
remove_circle_outline
remove_circle_outline
remove_circle_outline
remove_circle_outline
remove_circle_outline
remove_circle_outline
remove_circle_outline

Search Results (5,739)

Search Parameters:
Keywords = regression vectors

Order results
Result details
Results per page
Select all
Export citation of selected articles as:
26 pages, 1238 KB  
Article
A Comparative Study of Univariate Models for Baltic Dry Index Forecasting
by Juan Huang, Ching-Wu Chu and Hsiu-Li Hsu
Forecasting 2026, 8(1), 11; https://doi.org/10.3390/forecast8010011 - 2 Feb 2026
Abstract
The Baltic Dry Index (BDI) measures the cost of transporting dry bulk commodities such as coal, iron ore, and grain. As a key indicator of global trade, supply chain dynamics, and overall economic activity, accurate short-term forecasting of the BDI is crucial. This [...] Read more.
The Baltic Dry Index (BDI) measures the cost of transporting dry bulk commodities such as coal, iron ore, and grain. As a key indicator of global trade, supply chain dynamics, and overall economic activity, accurate short-term forecasting of the BDI is crucial. This paper compares six univariate methods to obtain a more precise short-term BDI prediction model, providing valuable insights for decision-makers. The six forecasting techniques include Grey Forecast, ARIMA, Support Vector Regression, LSTM, GRU and EMD-SVR-GWO. Model performance is evaluated using three common metrics: Mean Absolute Error (MAE), Root Mean Squared Error (RMSE), and Mean Absolute Percentage Error (MAPE). Our findings reveal that the novel EMD-SVR-GWO model outperforms the other univariate methods, demonstrating superior accuracy in forecasting monthly BDI trends. This study contributes to improved BDI prediction, aiding managers in strategic planning and decision-making. Full article
(This article belongs to the Section Forecasting in Economics and Management)
19 pages, 6175 KB  
Article
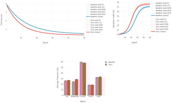
Dynamic Feature Fusion for Sparse Radar Detection: Motion-Centric BEV Learning with Adaptive Task Balancing
by Yixun Sang, Junjie Cui, Yaoguang Sun, Fan Zhang, Yanting Li and Guoqiang Shi
Sensors 2026, 26(3), 968; https://doi.org/10.3390/s26030968 (registering DOI) - 2 Feb 2026
Abstract
This paper proposes a novel motion-aware framework to address key challenges in 4D millimeter-wave radar detection for autonomous driving. While existing methods struggle with sparse point clouds and dynamic object characterization, our approach introduces three key innovations: (1) A Bird’s Eye View (BEV) [...] Read more.
This paper proposes a novel motion-aware framework to address key challenges in 4D millimeter-wave radar detection for autonomous driving. While existing methods struggle with sparse point clouds and dynamic object characterization, our approach introduces three key innovations: (1) A Bird’s Eye View (BEV) fusion network incorporating velocity vector decomposition and dynamic gating mechanisms, effectively encoding motion patterns through independent XY-component convolutions; (2) a gradient-aware multi-task balancing scheme using learnable uncertainty parameters and dynamic weight normalization, resolving optimization conflicts between classification and regression tasks; and (3) a two-phase progressive training strategy combining multi-frame pre-training with sparse single-frame refinement. Evaluated on the TJ4D benchmark, our method achieves 33.25% mean Average Precision (mAP)3D with minimal parameter overhead (1.73 M), showing particular superiority in pedestrian detection (+4.16% AP) while maintaining real-time performance (24.4 FPS on embedded platforms). Comprehensive ablation studies validate each component’s contribution, with thermal map visualization demonstrating effective motion pattern learning. This work advances robust perception under challenging conditions through principled motion modeling and efficient architecture design. Full article
(This article belongs to the Section Radar Sensors)
Show Figures

Figure 1

33 pages, 2466 KB  
Article
Machine Learning Analysis of Inlet Air Filter Differential Pressure Effects on Gas Turbine Power and Efficiency with Carbon Footprint Assessment
by Ali Osman Büyükköse and Asiye Aslan
Machines 2026, 14(2), 170; https://doi.org/10.3390/machines14020170 - 2 Feb 2026
Abstract
This study presents a detailed evaluation of how inlet air filter differential pressure (Filter DP) affects the operational performance of a gas turbine, focusing on its influence on power generation and thermal efficiency. Real operating data combined with machine learning (ML) techniques were [...] Read more.
This study presents a detailed evaluation of how inlet air filter differential pressure (Filter DP) affects the operational performance of a gas turbine, focusing on its influence on power generation and thermal efficiency. Real operating data combined with machine learning (ML) techniques were used. Following the installation of new filters, the turbine operated for 10,000 h, and 4438 h under base-load conditions were selected for modeling. The impact of Filter DP was examined using Multiple Linear Regression (MLR), Quadratic Support Vector Regression (SVR), Regression Tree, and Artificial Neural Network (ANN) models, allowing both linear and nonlinear behavior to be captured. Results show that each 1 mbar increase in Filter DP leads to roughly a 1.67 MW drop in power output and a 0.094% reduction in thermal efficiency. Additionally, higher Filter DP raises fuel consumption and causes an extra 0.45 kgCO2e of emissions per 1 MWh of electricity produced. These findings underline that even small increases in inlet pressure loss significantly affect economic and environmental performance. Filter fouling increases natural gas demand, CO2e emissions, and overall carbon footprint. The ML-based approach enhances predictive maintenance by enabling early detection of filter degradation and supporting more efficient and sustainable turbine operation. Full article
(This article belongs to the Section Turbomachinery)
24 pages, 3245 KB  
Article
Experimental Data-Driven Machine Learning Analysis for Prediction of PCM Charging and Discharging Behavior in Portable Cold Storage Systems
by Raju R. Yenare, Chandrakant Sonawane, Anindita Roy and Stefano Landini
Sustainability 2026, 18(3), 1467; https://doi.org/10.3390/su18031467 - 2 Feb 2026
Abstract
The problem of the post-harvest loss of perishable products has been a loss facing food security, especially in areas that lack adequate cold chain facilities. This issue is directly connected with sustainability objectives because post-harvest losses are the major source of food wastage, [...] Read more.
The problem of the post-harvest loss of perishable products has been a loss facing food security, especially in areas that lack adequate cold chain facilities. This issue is directly connected with sustainability objectives because post-harvest losses are the major source of food wastage, unneeded energy use, and related greenhouse gas emissions. Cold storage with phase-change material (PCM) is a promising alternative, as it aims at stabilizing temperatures and enhancing energy consumption, but current analyses of performance have been conducted through experimental testing and computational fluid dynamic (CFD) simulations, which are precise but computationally expensive. To handle this drawback, the current work constructs a machine learning predictive model to predict the dynamics of charging and discharging temperature of PCM cold storage systems. Four regression models, namely Random Forest, Extreme Gradient Boosting (XGBoost), Support Vector Regression (SVR), and K-Nearest Neighbors (KNNs), were trained and tested on experimental datasets that were obtained for varying storage layouts. The various error and accuracy measures used to determine model performance comprised MSE, MAE, R2, MAPE, and percentage accuracy. The findings suggest that Random Forest provides the best accuracy during both the charging and the discharging process, with the highest R2 values of over 0.98 and with minimal mean absolute errors. The KNN model was competitive in the discharge process, especially in cases of consistent thermal recovery patterns, and XGBoost was consistent in layout accuracy. However, SVR had relatively lower robustness, particularly when using nonlinear charged dynamics. Among the evaluated models, the Random Forest algorithm demonstrated the highest predictive accuracy, achieving coefficients of determination (R2) exceeding 0.98 for both charging and discharging processes, with mean absolute errors below 0.6 °C during charging and 0.3 °C during discharging. This paper has proven that machine learning is an efficient surrogate to CFD and experimental-only methods and can be used to predict the thermal behavior of PCM quickly and precisely. The proposed framework will allow for developing cold storage systems based on energy efficiency, low costs, and sustainability, especially in the context of decentralized and resource-limited agricultural supply chains, with the help of quick and data-focused forecasting of PCM thermal behavior. Full article
Show Figures

Figure 1

31 pages, 18140 KB  
Article
Mapping Soil Trace Metals Using VIS–NIR–SWIR Spectroscopy and Machine Learning in Aligudarz District, Western Iran
by Saeid Pourmorad, Samira Abbasi and Luca Antonio Dimuccio
Remote Sens. 2026, 18(3), 465; https://doi.org/10.3390/rs18030465 - 1 Feb 2026
Abstract
Detecting trace metals in soil across geologically diverse terrains remains challenging due to complex mineral–metal interactions and the limited spatial coverage of traditional geochemical tests. This study develops a scalable VIS–NIR–SWIR spectroscopy and machine learning (ML) framework to predict and map soil concentrations [...] Read more.
Detecting trace metals in soil across geologically diverse terrains remains challenging due to complex mineral–metal interactions and the limited spatial coverage of traditional geochemical tests. This study develops a scalable VIS–NIR–SWIR spectroscopy and machine learning (ML) framework to predict and map soil concentrations of Cr, As, Cu, and Cd in the Aligudarz District, located within the geotectonically complex Sanandaj–Sirjan Zone of western Iran. Laboratory reflectance spectra (~350–2500 nm) obtained from 110 soil samples were pre-processed using derivative filtering, scatter-correction techniques, and genetic algorithm (GA)-based wavelength optimisation to enhance diagnostic absorption features linked to Fe-oxides, clay minerals, and carbonates. Multiple ML-based approaches, including artificial neural networks (ANNs), support vector regression (SVR), and partial least squares regression (PLSR), as well as stepwise multiple linear regression (SMLR), were compared using nested, spatial, and external validation. Nonlinear models, particularly ANNs, exhibited the highest predictive accuracy, with strong generalisation confirmed via an independent test set. GA-selected wavelengths and derivative-enhanced spectra revealed mineralogical controls on metal retention, confirming that spectral predictions reflect underlying geological processes. Ordinary kriging of spectral-ML residuals generated spatially consistent metal-distribution maps that aligned well with local and regional geological features. The integrated framework demonstrates high predictive accuracy and operational scalability, providing a reproducible, field-ready method for rapid geochemical assessment. The findings highlight the potential of VIS–NIR–SWIR spectroscopy, combined with advanced modelling and geostatistics, to support environmental monitoring, mineral exploration, and risk assessment in geologically complex terrains. Full article
Show Figures

Figure 1

13 pages, 3668 KB  
Article
Prediction of Red Tide Occurrence Using Integrated Machine-Learning Algorithms—A Case in Hong Kong Coastal Waters
by Lifen Yao, Lei Zhu, Zeda Song, Yuxuan Wu, Xi Wang, Jiao Dong and Yulin Kang
Water 2026, 18(3), 374; https://doi.org/10.3390/w18030374 - 1 Feb 2026
Abstract
Red tides are among the most destructive marine ecological hazards worldwide, posing significant threats to fisheries, biodiversity, and human health. Therefore, it is imperative to accurately and timely predict red tide occurrences to mitigate their ecological and socioeconomic impacts. However, the prediction accuracy [...] Read more.
Red tides are among the most destructive marine ecological hazards worldwide, posing significant threats to fisheries, biodiversity, and human health. Therefore, it is imperative to accurately and timely predict red tide occurrences to mitigate their ecological and socioeconomic impacts. However, the prediction accuracy of red tides is challenged by the complex, nonlinear relationships between red tide algae and environmental factors. Using 35 years (1986–2020) of continuous in situ records of water quality and red tides in Hong Kong coastal waters, this study developed an integrated prediction framework based on five machine-learning algorithms: Random Forest, Back-Propagation Neural Network, Support Vector Machine, Gaussian Naive Bayes, and Logistic Regression. After feature selection using the Granger causality test and variance inflation factor, the random forest algorithm achieved the highest individual-model accuracy of 84.85% for predicting red tide occurrence. An integrated model combining the top three algorithms further improved performance, reaching an accuracy of 98.5%. Feature-importance analyses indicated that silicon (Si) and suspended solids (SS) are the most influential environmental predictors in the integrated model. Overall, this study provides a high-precision and interpretable framework for predicting red tide occurrence and offers new insights into the environmental mechanisms underlying red tide outbreaks. Full article
Show Figures

Figure 1

16 pages, 704 KB  
Article
Extreme Events and Dam Safety: Machine Learning Approach to Predict Spillway Erosion
by Sanjeeta N. Ghimire, Joseph Schulenberg and Stefan Flynn
Water 2026, 18(3), 373; https://doi.org/10.3390/w18030373 - 1 Feb 2026
Abstract
This study examines the erosion potential of earthen spillways under the growing risks posed by changing climate and extreme flood events, which threaten the stability and safety of dam infrastructure. Specifically, it employs a machine learning approach to evaluate how readily available spillway [...] Read more.
This study examines the erosion potential of earthen spillways under the growing risks posed by changing climate and extreme flood events, which threaten the stability and safety of dam infrastructure. Specifically, it employs a machine learning approach to evaluate how readily available spillway width and stream power can predict erosion potential. Site-specific erosion prediction methods are often costly and time-consuming because they rely on extensive field investigations and physical modeling. To address these challenges, this research employs multiple machine learning algorithms, including logistic regression, Support Vector Machine, and Random Forest, on existing data to classify spillways as erodible or non-erodible cases. The Random Forest model demonstrated the best predictive performance, achieving 82.7% accuracy on the test dataset. To further interpret the reliability of model predictions, a Bayesian probability analysis was performed, revealing that when the model predicts erosion, there is a 59% probability that the dam will actually experience erosion. These results highlight how integrating existing datasets with machine learning and probabilistic reasoning can enhance dam safety assessment by considering the accuracy, efficiency, and reliability of spillway erosion predictions. Full article
(This article belongs to the Special Issue Machine Learning Applications in the Water Domain)
Show Figures

Figure 1

18 pages, 1796 KB  
Article
SpADE-BERT: Multilingual BERT-Based Model with Trigram-Sensitive Tokenization, Tuned for Depression Detection in Spanish Texts
by Abdiel Reyes-Vera, Magdalena Saldana-Perez, Marco Moreno-Ibarra and Juan Pablo Francisco Posadas-Durán
AI 2026, 7(2), 48; https://doi.org/10.3390/ai7020048 - 1 Feb 2026
Abstract
This article proposes an automated approach, based on artificial intelligence techniques, for detecting indicators of depression in texts written in Spanish. Among the main contributions is the construction of a new specialized corpus, supervised by mental health professionals and based on the Beck [...] Read more.
This article proposes an automated approach, based on artificial intelligence techniques, for detecting indicators of depression in texts written in Spanish. Among the main contributions is the construction of a new specialized corpus, supervised by mental health professionals and based on the Beck Depression Inventory. Text processing included linguistic techniques such as lemmatization, stopword removal, and structural transformation using trigrams. As part of the work, SpADE-BERT was designed, a model based on multilingual BERT with a tokenization scheme adapted to incorporate trigrams directly from the input phase. This modification allowed for more robust interaction between the local context and semantic representations. SpADE-BERT was evaluated against multiple approaches reported in the literature, which employ algorithms such as logistic regression, support vector machines, decision trees, and Random Forest with advanced configurations and specialized preprocessing. In all cases, our model showed consistently superior performance on metrics such as precision, recall, and F1-score. The results show that integrating deep language models with adapted tokenization strategies can significantly strengthen the automated identification of linguistic signals associated with depression in Spanish texts. Full article
(This article belongs to the Topic Applications of NLP, AI, and ML in Software Engineering)
Show Figures

Figure 1

17 pages, 1993 KB  
Article
Spatial Vertical Distribution of the Leaf Nitrogen Concentration in Young Cephalotaxus hainanensis
by Mengmeng Shi, Danni He, Ying Yuan, Zhulin Chen, Shudan Chen, Xingjing Chen, Tian Wang and Xuefeng Wang
Forests 2026, 17(2), 192; https://doi.org/10.3390/f17020192 - 1 Feb 2026
Abstract
Cephalotaxus hainanensis, a valuable medicinal and endangered conifer, requires scientific conservation and precision management to ensure the sustainable utilization of its genetic and ecological resources. Nitrogen (N) is a key nutrient that regulates plant growth and metabolism; rapid and accurate nitrogen diagnosis [...] Read more.
Cephalotaxus hainanensis, a valuable medicinal and endangered conifer, requires scientific conservation and precision management to ensure the sustainable utilization of its genetic and ecological resources. Nitrogen (N) is a key nutrient that regulates plant growth and metabolism; rapid and accurate nitrogen diagnosis is vital for optimizing fertilization, reducing nutrient losses, and promoting healthy plant development. This study employed a combined approach integrating stepwise regression, correlation analysis, and Least Absolute Shrinkage and Selection Operator (LASSO) regression to identify leaf color features strongly correlated with leaf nitrogen content (LNC). A support vector regression (SVR) model, suitable for small-sample datasets, was then employed to accurately estimate LNC across canopy layers. Nine color variables were found to be highly associated with LNC, among which the Green Minus Blue index (GMB) consistently appeared across all correlation methods, demonstrating strong robustness and generality. Color features effectively reflected LNC variations among nitrogen treatments—especially between N1 and N4—and across canopy layers, with the most pronounced contrasts observed between upper and lower leaves. The Spearman-based SVR model revealed that the middle canopy maintained the highest and most stable LNC. However, the lower leaves were most sensitive to nitrogen deficiency, while the upper leaves were more sensitive to nitrogen excess. Comprehensive analysis identified N2 as the optimal nitrogen treatment, representing a balanced nutrient state. Overall, this study confirms the reliability of color features for LNC estimation and highlights the importance of vertical canopy LNC distribution in nitrogen diagnostics, providing a theoretical and methodological foundation for color-based nitrogen diagnosis and precision nutrient management in evergreen conifers. Full article
(This article belongs to the Section Forest Ecology and Management)
Show Figures

Figure 1

19 pages, 2658 KB  
Article
Unveiling the Gaps: Machine Learning Models for Unmeasured Ions
by Furkan Tontu and Zafer Çukurova
Diagnostics 2026, 16(3), 427; https://doi.org/10.3390/diagnostics16030427 - 1 Feb 2026
Abstract
Background: Unmeasured ions (UIs) contribute significantly to acid–base disturbances in critically ill patients, yet the optimal parameter for their estimation remains uncertain. The most widely used indicators are the albumin-corrected anion gap (AGc), the strong ion gap (SIG), and the base excess gap [...] Read more.
Background: Unmeasured ions (UIs) contribute significantly to acid–base disturbances in critically ill patients, yet the optimal parameter for their estimation remains uncertain. The most widely used indicators are the albumin-corrected anion gap (AGc), the strong ion gap (SIG), and the base excess gap (BEGap). Methods: In this retrospective cohort study, a total of 2274 ICU patients (2018–2022) were included in the development cohort, and an independent external validation cohort of 1202 patients (2023–2025) was used to assess temporal generalizability. Three approaches to blood gas analysis—traditional (PaCO2, HCO3, AGc), Stewart (PaCO2, SIDa, ATOT, SIG), and partitioned base excess (PaCO2, BECl, BEAlb, BELac, BEGap)—were evaluated. Multivariable linear regression (MLR) and machine learning (ML, random forest [RF], extreme gradient boosting [XGBoost], and support vector regression [SVR]) were applied to evaluate the explanatory performance of analytical approaches with respect to arterial pH. Model performance was assessed using adjusted R2, RMSE, and MAE. Variable importance was quantified with tree-based methods, SHAP values, and permutation importance. All modeling and reporting steps followed the PROBAST-AI guideline. Results: In multiple linear regression (MLR), the partitioned base excess (BE) approach achieved the highest explanatory performance (adjusted R2 = 0.949), followed by the traditional (0.929) and Stewart approaches (0.926). In ML analyses, model fit was high across all approaches. For the traditional approach, R2 values were 0.979 with RF, 0.974 with XGBoost, and 0.934 with SVR. The Stewart’s approach showed lower overall explanatory performance, with R2 values of 0.876 (RF), 0.967 (XGBoost), and 0.996 (SVR). The partitioned BE approach again demonstrated the strongest explanatory performance, achieving R2 values of 0.975 with XGBoost and 0.989 with SVR. Across all analytical models, BEGap consistently emerged as a strong and independent determinant of arterial pH, outperforming SIG and AGc. SIG showed an intermediate contribution, whereas AGc provided minimal independent explanatory value. Among ML models, XGBoost showed the most stable and accurate explanatory performance across approaches. Conclusions: This study demonstrates that BEGap is a practical, physiologically informative, and bedside-applicable parameter for assessing unmeasured ions, outperforming both AGc and SIG across linear and non-linear analytical models. Full article
(This article belongs to the Special Issue From Data to Decisions: Deep Learning in Clinical Diagnostics)
Show Figures

Graphical abstract

22 pages, 7120 KB  
Article
Enhancing Cross-Species Prediction of Leaf Mass per Area from Hyperspectral Remote Sensing Using Fractional Order Derivatives and 1D-CNNs
by Shijie Shan, Qiaozhen Guo, Lu Xu, Weiguo Jiang, Shuo Shi and Yiyun Chen
Remote Sens. 2026, 18(3), 444; https://doi.org/10.3390/rs18030444 - 1 Feb 2026
Abstract
Leaf mass per area (LMA) plays an important role in vegetation productivity, carbon cycling, and remote sensing-based ecosystem monitoring. However, remotely predicting LMA from hyperspectral reflectance remains challenging due to the weak and strongly overlapping spectral response of LMA and spectral variability across [...] Read more.
Leaf mass per area (LMA) plays an important role in vegetation productivity, carbon cycling, and remote sensing-based ecosystem monitoring. However, remotely predicting LMA from hyperspectral reflectance remains challenging due to the weak and strongly overlapping spectral response of LMA and spectral variability across species. To address these limitations, this study proposed an integrated framework that combines a fractional-order spectral derivative (FOD) with a one-dimensional convolutional neural network (1D-CNN) to enhance LMA prediction accuracy and cross-species generalization. Leaf hyperspectral reflectance was processed using FOD with 0–2 orders, and the relationship between FOD-enhanced spectra and LMA was analyzed. Model performance was assessed using (i) overall prediction accuracy by an 8:2 random split between training and test sets, and (ii) cross-species generalization through leave-one-species-out validation. The results demonstrated that the 1D-CNN using a 1.5-order derivative achieved the best performance (R2 = 0.85; RMSE = 11.57 g/m2), outperforming common machine-learning models including partial least squares regression (PLSR), random forest (RF), and support vector regression (SVR). The proposed method also demonstrated great generalization in cross-species prediction. These results indicate that integrating FOD with 1D-CNN effectively enhances LMA-related spectral information and improves LMA prediction across various species. It provides a promising pathway for applying airborne and satellite hyperspectral images in vegetation biochemical parameter mapping, crop monitoring, and ecological assessment. Full article
Show Figures

Figure 1

11 pages, 1590 KB  
Article
Radiomic Analysis for Ki-67 Classification in Small Bowel Neuroendocrine Tumors
by Filippo Checchin, Davide Malerba, Alessandro Gambella, Aurora Rita Puleri, Virginia Sambuceti, Alessandro Vanoli, Federica Grillo, Lorenzo Preda and Chandra Bortolotto
Cancers 2026, 18(3), 463; https://doi.org/10.3390/cancers18030463 - 30 Jan 2026
Viewed by 147
Abstract
Objective: To analyze radiomic features extracted from CT images of small bowel neuroendocrine tumors and evaluate their association with Ki-67 expression. Methods: 128 small bowel NET primary and secondary lesions from 34 patients were analyzed. Manual segmentation of the lesions was [...] Read more.
Objective: To analyze radiomic features extracted from CT images of small bowel neuroendocrine tumors and evaluate their association with Ki-67 expression. Methods: 128 small bowel NET primary and secondary lesions from 34 patients were analyzed. Manual segmentation of the lesions was conducted on portal-phase CT images using ITK-SNAP v. 4.0®, and 107 radiomic features were extracted using the PyRadiomics library. The lesions were categorized into two groups based on their Ki-67 index expression (≤1% and >1%). Correlation filtering reduced the set of 107 to 41 radiomic features. Inferential statistical analyses (t-test and Mann–Whitney U, following Shapiro–Wilk and Levene’s tests) identified 19 significant features (p < 0.05) that were predominantly texture related. A ranking procedure further reduced these to eight top-performing variables across multiple selection methods (Information Gain, Gini, ANOVA, χ2). Five supervised Machine Learning models (Logistic Regression, Support Vector Machine (SVM), K-Nearest Neighbors (KNN), XGBoost, and Random Forest) were trained and validated using 5-fold cross-validation. The evaluation metrics employed included AUC, accuracy, precision, recall, F1 score, and a confusion matrix. Results: Random Forest exhibited the best overall performance (AUC = 0.80; F1 score = 0.813; Recall = 0.847). The model’s low false negative rate (15.3%) suggests potential clinical utility in minimizing the risk of underestimating more aggressive lesions. Conclusions: Radiomics represents a promising frontier to identify patterns associated with histopathological markers. This study highlights its potential for non-invasive assessment of proliferative rate in small bowel neuroendocrine tumors, confirming the performance in the literature, and posing an interesting prospect for future research. Full article
(This article belongs to the Topic Machine Learning and Deep Learning in Medical Imaging)
Show Figures

Figure 1

17 pages, 3057 KB  
Article
Assessing the Utility of Satellite Embedding Features for Biomass Prediction in Subtropical Forests with Machine Learning
by Chao Jin, Xiaodong Jiang, Lina Wen, Chuping Wu, Xia Xu and Jiejie Jiao
Remote Sens. 2026, 18(3), 436; https://doi.org/10.3390/rs18030436 - 30 Jan 2026
Viewed by 154
Abstract
Spatial predictions of forest biomass at regional scale in forests are critical to evaluate the effects of management practices across environmental gradients. Although multi-source remote sensing combined with machine learning has been widely applied to estimate forest biomass, these approaches often rely on [...] Read more.
Spatial predictions of forest biomass at regional scale in forests are critical to evaluate the effects of management practices across environmental gradients. Although multi-source remote sensing combined with machine learning has been widely applied to estimate forest biomass, these approaches often rely on complex data acquisition and processing workflows that limit their scalability for large-area assessments. To improve the efficiency, this study evaluates the potential of annual multi-sensor satellite embeddings derived from the AlphaEarth Foundations model for forest biomass prediction. Using field inventory data from 89 forest plots at the Yunhe Forestry Station in Zhejiang Province, China, we assessed and compared the performance of four machine learning algorithms: Random Forest (RF), Support Vector Regression (SVR), Multi-Layer Perceptron Neural Networks (MLPNN), and Gaussian Process Regression (GPR). Model evaluation was conducted using repeated 5-fold cross-validation. The results show that SVR achieved the highest predictive accuracy in broad-leaved and mixed forests, whereas RF performed best in coniferous forests. When all forest types were modeled together, predictive performance was consistently limited across algorithms, indicating substantial heterogeneity (e.g., structure, environment, and topography) among forest types. Spatial prediction maps across Yunhe Forestry Station revealed ecologically coherent patterns, with higher biomass values concentrated in intact forests with less human disturbance and lower biomass primarily occurring in fragmented forests and near urban regions. Overall, this study highlights the potential of embedding-based remote sensing for regional forest biomass estimation and suggests its utility for large-scale forest monitoring and management. Full article
Show Figures

Figure 1

19 pages, 2554 KB  
Article
Research on Fatigue Crack Growth Rate Prediction of 2024-T3 Aluminum Alloy Friction Stir Welded Joints Driven by Machine Learning
by Yanning Guo, Na Sun, Wenbo Sun and Xiangmiao Hao
Aerospace 2026, 13(2), 134; https://doi.org/10.3390/aerospace13020134 - 30 Jan 2026
Viewed by 122
Abstract
Fatigue crack propagation in friction stir welded joints significantly affects aircraft structural integrity. This study investigates the influence of welding speed, rotational speed, specimen thickness, loading frequency, and stress ratio on the fatigue crack growth rate. Four classical machine learning models with different [...] Read more.
Fatigue crack propagation in friction stir welded joints significantly affects aircraft structural integrity. This study investigates the influence of welding speed, rotational speed, specimen thickness, loading frequency, and stress ratio on the fatigue crack growth rate. Four classical machine learning models with different structures—Deep Back-Propagation Network, Random Forest, Support Vector Regression, and K-Nearest Neighbors—were employed to predict fatigue crack growth behavior. The results show that all models achieve strong predictive performance. For FSWed joints, Deep BP and KNN exhibit comparable performance (R2 > 0.98) on the training data, indicating similar learning capabilities with sufficient data coverage. Notably, KNN achieves the fastest training time (<0.3 s), while all models require less than 5 s of computation time. These results demonstrate that machine learning-based models provide an efficient and reliable alternative for rapid fatigue crack growth evaluation, supporting damage-tolerant design and structural integrity assessment in aircraft engineering. Full article
(This article belongs to the Special Issue Finite Element Analysis of Aerospace Structures)
Show Figures

Figure 1

18 pages, 4131 KB  
Article
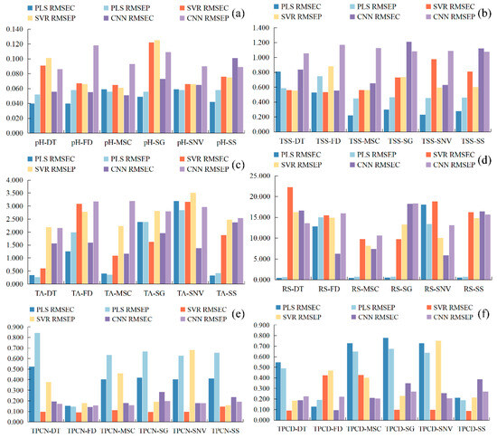
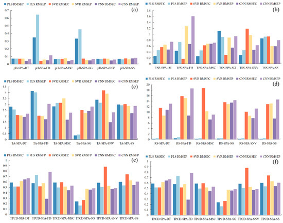
Development of a Dynamic Multi-Parameter Prediction Model for the Maturation Process of ‘Ugni Blanc’ Grapes Using Visible and Near-Infrared Spectroscopy
by Chenxue Su, Jia Che, Zehao Wu, Kai Li, Xiangyu Sun, Yulin Fang and Wenzheng Liu
Foods 2026, 15(3), 475; https://doi.org/10.3390/foods15030475 - 30 Jan 2026
Viewed by 114
Abstract
In this study, the non-destructive determination of pH, total soluble solids (TSS), total acidity (TA), reducing sugars (RS), seed total phenolic content (TPCD), and skin total phenolic content (TPCN) in Ugni Blanc grapes was performed using visible/near-infrared (Vis/NIR) spectroscopy coupled with chemometric quantitative [...] Read more.
In this study, the non-destructive determination of pH, total soluble solids (TSS), total acidity (TA), reducing sugars (RS), seed total phenolic content (TPCD), and skin total phenolic content (TPCN) in Ugni Blanc grapes was performed using visible/near-infrared (Vis/NIR) spectroscopy coupled with chemometric quantitative analysis. Diffuse reflectance spectra in the 400–1507 nm range were measured using a handheld Vis–NIR spectrometer, after which the dataset was partitioned using the SPXY algorithm, accounting for joint X-Y distances. Six spectral preprocessing methods and three modeling algorithms, Partial Least Squares (PLS), Support Vector Machine Regression (SVR), and Convolutional Neural Network (CNN), were used to construct quantitative models based on full-wavelength and feature-wavelength data. Feature-based models outperformed full-spectrum models for TA, RS, and TPCN, whereas full-spectrum models performed better for pH, TSS, and TPCD. The optimal models achieved Rp2 values of 0.940, 0.957, 0.913, 0.889, 0.917, and 0.871 and RPD values of 4.074, 4.798, 3.397, 2.998, 2.904, and 2.786, correspondingly. The findings highlight the applicability of Vis/NIR spectroscopy for the accurate and non-destructive prediction of key physicochemical indicators in Ugni Blanc grapes. Full article
(This article belongs to the Special Issue Winemaking: Innovative Technology and Sensory Analysis)
Show Figures

Figure 1

Back to TopTop