Sign in to use this feature.

Years

Between: -

Subjects

remove_circle_outline
remove_circle_outline
remove_circle_outline
remove_circle_outline
remove_circle_outline
remove_circle_outline
remove_circle_outline

Journals

Article Types

Countries / Regions

Search Results (13)

Search Parameters:
Keywords = refined bleached and deodorized palm oil

Order results
Result details
Results per page
Select all
Export citation of selected articles as:
18 pages, 6033 KB  
Article
Analysis of the Development and Thermal Properties of Chitosan Nanoparticle-Treated Palm Oil: An Experimental Investigation
by Varadharaja Kirthika, Chanaka Galpaya, Ashan Induranga, Amanda Sajiwanie, Vimukthi Vithanage and Kaveenga Rasika Koswattage
Nanomaterials 2025, 15(13), 972; https://doi.org/10.3390/nano15130972 - 22 Jun 2025
Viewed by 1228
Abstract
This study is an effort to optimize the thermal properties of refined, bleached, and deodorized (RBD) oil by incorporating bionanoparticles. This study investigates the impact on thermal conductivity and thermal diffusivity by incorporating chitosan nanoparticles (CS-NPs) at different temperatures with varying weight fractions [...] Read more.
This study is an effort to optimize the thermal properties of refined, bleached, and deodorized (RBD) oil by incorporating bionanoparticles. This study investigates the impact on thermal conductivity and thermal diffusivity by incorporating chitosan nanoparticles (CS-NPs) at different temperatures with varying weight fractions of NPs. To the best of our knowledge, these synthesized CS-NPs from oyster mushrooms (Pleurotus ostreatus) and commercial marine-sourced CS-NPs are used for the first time to prepare nanofluids. These nanofluids offer high potential for industrial applications due to their biodegradability, biocompatibility, and nontoxicity. Fungal-sourced chitosan is a vegan-friendly alternative and does not contain allergic compounds, such as marine-sourced chitosan. The CS-NPs were synthesized using a chemical and mechanical treatment process at three different amplitudes, and CS-NPs at amplitude 80 were selected to prepare the nanofluid. Chitin, chitosan, and CS-NPs were characterized by the FTIR-ATR method, while the size and morphology of the CNs were analyzed by SEM. Thermal conductivity and thermal diffusivity of nanofluids and base fluid were measured using a multifunctional thermal conductivity meter (Flucon LAMBDA thermal conductivity meter) by ASTM D7896-19 within the temperature range 40–160 °C with step size 20. The thermal conductivity values were compared between commercial CS-NPs and synthesized CS-NPs treated with RBD palm olein with different weight percentages (0.01, 0.05, and 0.1 wt.%). It was confirmed that the thermal properties were enhanced in both kinds of nanoparticles added to RBD palm olein, and higher enhancement was observed in fungal-sourced CS-NPs treated with RBD palm olein. Maximum enhancement of thermal conductivity of commercial and synthesized CS-NPs treated with RBD palm olein were 4.28% and 7.33%, respectively, at 0.05 wt.%. Enhanced thermal conductivity of RBD palm olein by the addition of CS-NPs facilitates more effective heat transfer, resulting in quicker and more consistent cooking and other potential heat transfer applications. Full article
Show Figures

Figure 1

22 pages, 6455 KB  
Article
Process Improvement and Economic and Environmental Evaluation of Bio-Hydrogenated Diesel Production from Refined Bleached Deodorized Palm Oil
by Amata Anantpinijwatna, Lida Simasatitkul, Kanokporn Yooyen, Suksun Amornraksa, Suttichai Assabumrungrat and Karittha Im-orb
Processes 2025, 13(1), 75; https://doi.org/10.3390/pr13010075 - 1 Jan 2025
Cited by 1 | Viewed by 2383
Abstract
The co-production of BHD with other renewable fuels (i.e., using a novel process involving carbon dioxide utilization to achieve the global sustainability goal) is presented. The three configurations of BHD production from refined bleached deodorized palm oil (RBDPO), including (1) the conventional BHD [...] Read more.
The co-production of BHD with other renewable fuels (i.e., using a novel process involving carbon dioxide utilization to achieve the global sustainability goal) is presented. The three configurations of BHD production from refined bleached deodorized palm oil (RBDPO), including (1) the conventional BHD process with hydrogen recovery (BHD process), (2) the BHD process coupled with the Fischer–Tropsch process (BHD-FT process), and (3) the BHD process coupled with the bio-jet fuel and methanol processes (BHD-BIOJET-MEOH process) are investigated using the process model developed in Aspen Plus. The effect of the operating parameters is studied, and the condition of each process offering the highest BHD yield is proposed. Then, the pinch analysis and heat exchanger network (HEN) design of each proposed process are performed to find the highest energy-efficient configuration. The economic and environmental analysis is later performed to investigate the sustainability performance of each configuration. The conventional BHD process requires less hydrogen and consumes less energy than the others. The BHD-BIOJET-MEOH process is the most economically feasible, offering the highest net present value (NPV) of USD 7.93 million and the shortest payback period of 3 years and 1 month. However, it offers the highest carbon footprint of 0.820 kgCO2 eq./kg of BHD, and it presented the highest potential environmental impact (PEI) in all categories. Full article
(This article belongs to the Special Issue Process Systems Engineering for Environmental Protection)
Show Figures

Figure 1

35 pages, 2916 KB  
Article
Life Cycle Assessment of LPG Engines for Small Fishing Vessels and the Applications of Bio LPG Fuel in Korea
by Jeong Kuk Kim, Byongug Jeong, Jae-Hyuk Choi and Won-Ju Lee
J. Mar. Sci. Eng. 2023, 11(8), 1488; https://doi.org/10.3390/jmse11081488 - 26 Jul 2023
Cited by 17 | Viewed by 4253
Abstract
This study aimed to evaluate the environmental impact of using liquefied petroleum gas (LPG) in small fishing vessels by conducting a life cycle assessment (LCA) in Korea. For the first time in the country, LPG engines designed for small fishing ships were utilized [...] Read more.
This study aimed to evaluate the environmental impact of using liquefied petroleum gas (LPG) in small fishing vessels by conducting a life cycle assessment (LCA) in Korea. For the first time in the country, LPG engines designed for small fishing ships were utilized in this study. In addition, this research examined the potential benefits of employing Bio LPG, a renewable LPG produced from two distinct raw materials (crude palm oil (CPO) and refined, bleached, and deodorized (RBD) palm oil), instead of conventional LPG. The LCA findings reveal that utilizing LPG fuel in small fishing vessels can reduce greenhouse gas (GHG) emissions by more than 30% over conventional gasoline and diesel fuels. During the life cycle of vessels that use LPG fuel instead of gasoline and diesel fuels, there is a reduction of 2.2 and 1.2 million tons of GHG emissions, respectively. Moreover, substituting conventional fossil fuels with Bio LPG can result in over 65% reduction in GHG emissions. For the life cycle of boats that use Bio LPG fuel in place of gasoline and diesel fuels, the reduction of GHG emissions was 4.9 million tons and 2.5 million tons for CPO and 5.2 million tons and 2.7 million tons for RBD, respectively. This study not only underscores the substantial advantages of using Bio LPG over conventional fossil fuels but also presents conventional LPG as a way to reduce GHG emissions and promote sustainable practices in the fishing industry. Full article
Show Figures

Figure 1

14 pages, 2123 KB  
Article
Influence of the Degumming Process Parameters on the Formation of Glyceryl Esters and 3-MCPDE in Refined Palm Oil: Optimization and Palm Oil Quality Analyses
by Mohammad Saiful Nidzam, Md. Sohrab Hossain, Norli Ismail, Razam Abdul Latip, Muhammad Khalish Mohammad Ilias, Md. Bazlul Mobin Siddique and Muzafar Zulkifli
Foods 2022, 11(1), 124; https://doi.org/10.3390/foods11010124 - 5 Jan 2022
Cited by 15 | Viewed by 8873
Abstract
The presence of glyceryl esters (GE) and 3-monochloropropane-1,2-diol esters (3-MCPDE) in refined, bleached, and deodorized (RBD) palm oil is severely concerning to the palm oil consumer. In the present study, the influence of the phosphoric acid degumming process on the formation of GE [...] Read more.
The presence of glyceryl esters (GE) and 3-monochloropropane-1,2-diol esters (3-MCPDE) in refined, bleached, and deodorized (RBD) palm oil is severely concerning to the palm oil consumer. In the present study, the influence of the phosphoric acid degumming process on the formation of GE and 3-MCDE and in the RBD palm oil was determined with varying the acid dose (0.03–0.06 wt%), temperature (70–100 °C), and reaction time (15–45 min). The experimental conditions of the acid degumming process were designed following the central composite design of experiments, and they were optimized using Response Surface Methodology (RSM) based on the minimal formation of GE and 3-MCDE in the RBD palm oil. The optimal experimental conditions of the acid degumming process were a reaction time of 30 min, phosphoric acid concentration of 0.06 wt%, and temperature of 90 °C. Under these experimental conditions, the minimal GE and 3-MCDE formation in RBD palm oil were determined to be 0.61 mg/kg and 0.59 mg/kg; respectively. Several analytical methods were employed to determine RBD palm oil quality, including color, phosphorus, free fatty acids (FFAs), peroxide values, and fatty acid properties. It was found that the phosphoric acid degumming of CPO effectively removed the phosphorus and hydroperoxide content without conceding the quality of palm oil. Full article
(This article belongs to the Special Issue New Insights into Food Contamination: Harmful Toxins and Chemicals)
Show Figures

Figure 1

18 pages, 3296 KB  
Article
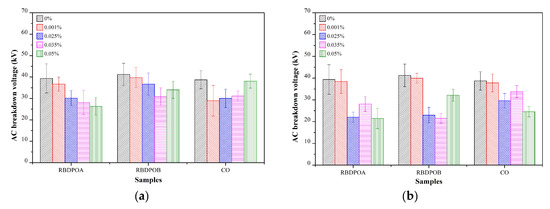
Experimental Study on the Partial Discharge Characteristics of Palm Oil and Coconut Oil Based Al2O3 Nanofluids in the Presence of Sodium Dodecyl Sulfate
by Nur Aqilah Mohamad, Norhafiz Azis, Jasronita Jasni, Mohd Zainal Abidin Ab. Kadir, Robiah Yunus and Zaini Yaakub
Nanomaterials 2021, 11(3), 786; https://doi.org/10.3390/nano11030786 - 19 Mar 2021
Cited by 16 | Viewed by 2694
Abstract
This experimental study aims to examine the partial discharge (PD) properties of palm oil and coconut oil (CO) based aluminum oxide (Al2O3) nanofluids with and without surfactants. The type of surfactant used in this study was sodium dodecyl sulfate [...] Read more.
This experimental study aims to examine the partial discharge (PD) properties of palm oil and coconut oil (CO) based aluminum oxide (Al2O3) nanofluids with and without surfactants. The type of surfactant used in this study was sodium dodecyl sulfate (SDS). The volume concentrations range of Al2O3 dispersed in oil samples was varied from 0.001% to 0.05%. The ratio of surfactants to nanoparticles was set to 1:2. In total, two different types of refined, bleached and deodorized palm oil (RBDPO) and one type of CO were measured for PD. Mineral oil (MO) was also examined for comparison purpose. PDIV measurements for all samples were carried out based on rising voltage method whereby a needle-sphere electrode configuration with a gap distance of 50 mm was chosen in this study. Al2O3 improves the PDIVs of RBDPO, CO and MO whereby the highest improvements of PDIVs are 34%, 39.3% and 27%. The PD amplitude and repetition rate of RBDPO improve by 38% and 81% while for CO, it can increase up to 65% and 80% respectively. The improvement of PD amplitude and repetition rate for MO are 18% and 95%, regardless with and without SDS. Without SDS, the presence of Al2O3 could cause 26%, 75% and 65% reductions of the average emission of light signals for RBDPOA, RBDPOB and CO with the improvement of PD characteristics but both events do not correlate at the same volume concentration of Al2O3. On the other hand, the average emission of light signal levels of the oils increases with the introduction of SDS. The emission of light signal in MO does not correlate with the PD characteristics improvement either with or without SDS. Full article
Show Figures

Figure 1

24 pages, 1401 KB  
Review
A Revisit to the Formation and Mitigation of 3-Chloropropane-1,2-Diol in Palm Oil Production
by Farrah Aida Arris, Vincent Tiang Soon Thai, Wan Nabilah Manan and Mohd Shaiful Sajab
Foods 2020, 9(12), 1769; https://doi.org/10.3390/foods9121769 - 29 Nov 2020
Cited by 30 | Viewed by 8994
Abstract
Process-based contaminants in food—particularly in vegetable oils—have been a topic of interest due to their potential health risk on humans. Oral consumption above the tolerable daily intake might result in health risks. Therefore, it is critical to correctly address the food contaminant issues [...] Read more.
Process-based contaminants in food—particularly in vegetable oils—have been a topic of interest due to their potential health risk on humans. Oral consumption above the tolerable daily intake might result in health risks. Therefore, it is critical to correctly address the food contaminant issues with a proper mitigation plan, in order to reduce and subsequently remove the occurrence of the contaminant. 3-monochloropropane-1,3-diol (3-MCPD), an organic chemical compound, is one of the heat- and process-induced food contaminants, belonging to a group called chloropropanols. This review paper discusses the occurrence of the 3-MCPD food contaminant in different types of vegetable oils, possible 3-MCPD formation routes, and also methods of reduction or removal of 3-MCPD in its free and bound esterified forms in vegetable oils, mostly in palm oil due to its highest 3-MCPD content. Full article
Show Figures

Figure 1

15 pages, 659 KB  
Article
Oxidation and Polymerization of Triacylglycerols: In-Depth Investigations towards the Impact of Heating Profiles
by Yih Phing Khor, Khai Shin Hew, Faridah Abas, Oi Ming Lai, Ling Zhi Cheong, Imededdine Arbi Nehdi, Hassen Mohamed Sbihi, Mohamed Mossad Gewik and Chin Ping Tan
Foods 2019, 8(10), 475; https://doi.org/10.3390/foods8100475 - 11 Oct 2019
Cited by 41 | Viewed by 5754
Abstract
The stability of refined, bleached, and deodorized palm olein (RBDPO) was studied under controlled heating conditions. RBDPO was heated continuously for 24 h at 160, 170, and 180 °C, with oil sampled at four hour intervals. Thermo-oxidative alterations were measured through various parameters, [...] Read more.
The stability of refined, bleached, and deodorized palm olein (RBDPO) was studied under controlled heating conditions. RBDPO was heated continuously for 24 h at 160, 170, and 180 °C, with oil sampled at four hour intervals. Thermo-oxidative alterations were measured through various parameters, such as monomeric oxidized triacylglycerols (oxTAG), total polar compounds (TPC), polymerized triacylglycerols (PTG), oxidative stability, and fatty acid composition. After 24 h of heating, the TPC and triacylglycerol oligomers showed a linear increase with heating time at all heating temperatures. At the end of the heating study, more epoxy acids were formed than keto and hydroxy acids. Moreover, caprylic acid, which was not present in fresh oil, was formed in significant amounts. The increase in oxTAG was strongly correlated with the increase in the p-anisidine value and total oxidation value. The decreases in diacylglycerol and free fatty acids were strongly correlated with an increase in PTG. Full article
(This article belongs to the Section Food Quality and Safety)
Show Figures

Graphical abstract

15 pages, 3049 KB  
Article
Optimization of Bio-Hydrogenated Kerosene from Refined Palm Oil by Catalytic Hydrocracking
by Praepilas Dujjanutat, Arthit Neramittagapong and Pakawadee Kaewkannetra
Energies 2019, 12(16), 3196; https://doi.org/10.3390/en12163196 - 20 Aug 2019
Cited by 11 | Viewed by 5379
Abstract
In this work, hydro-processing was used as an alternative route for producing bio-hydrogenated kerosene (BHK) from refined bleached deodorized palm oil (RPO) in the presence of a 0.5 wt% Pd/Al2O3 catalyst. The Box-Behnken Design was used to determine the effects [...] Read more.
In this work, hydro-processing was used as an alternative route for producing bio-hydrogenated kerosene (BHK) from refined bleached deodorized palm oil (RPO) in the presence of a 0.5 wt% Pd/Al2O3 catalyst. The Box-Behnken Design was used to determine the effects of reaction temperature, H2 pressure, and reaction time in terms of liquid hourly space velocity (LHSV) on BHK production. The kerosene selectivity was used as the response for staticial interpretation. The results show that both temperature and LHSV produced significant effects, whereas H2 pressure did not. The optimal conditions were found to be 483 °C, 5.0 MPa, and 1.4 h−1 LHSV; these conditions provided approximately 57.30% kerosene selectivity and a 47.46% yield. The BHK product had a good heating value and flash point. However, the mass percentage of carbon and hydrogen was 99.1%, which is just below the minimum standard (99.5%), according to the carbon loss by the reaction pathway to form as CO and CO2. Water can be produced from the reaction induced by oxygen removal, which results in a high freezing point. Full article
(This article belongs to the Section A4: Bio-Energy)
Show Figures

Figure 1

14 pages, 17177 KB  
Article
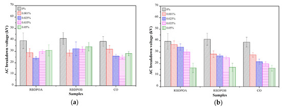
Impact of Fe3O4, CuO and Al2O3 on the AC Breakdown Voltage of Palm Oil and Coconut Oil in the Presence of CTAB
by Nur Aqilah Mohamad, Norhafiz Azis, Jasronita Jasni, Mohd Zainal Abidin Ab Kadir, Robiah Yunus and Zaini Yaakub
Energies 2019, 12(9), 1605; https://doi.org/10.3390/en12091605 - 27 Apr 2019
Cited by 26 | Viewed by 3365
Abstract
This paper presents an experimental study on the AC breakdown voltages of Refined, Bleached and Deodorized Palm Oil (RBDPO) Olein and Coconut Oil (CO) in the presence of conductive (Iron (II,III) Oxide, Fe3O4), semi-conductive (Copper (II) Oxide, CuO) and [...] Read more.
This paper presents an experimental study on the AC breakdown voltages of Refined, Bleached and Deodorized Palm Oil (RBDPO) Olein and Coconut Oil (CO) in the presence of conductive (Iron (II,III) Oxide, Fe3O4), semi-conductive (Copper (II) Oxide, CuO) and insulative (Aluminium Oxide, Al2O3) nanoparticles without and with surfactant. The type of surfactant used in this study was Cetyl Trimethyl Ammonium Bromide (CTAB). The volume concentrations range of Fe3O4, CuO and Al2O3 was varied from 0.001% to 0.05%. Transmission Electron Microscope (TEM) was used to characterize the nanoparticles in RBDPO and CO. AC breakdown voltage tests were carried out for RBDPO and CO of which the AC breakdown voltage at 1% probability was determined based on Weibull distribution. It is found that only Al2O3 can improve the average AC breakdown voltage of RBDPO and CO. The AC breakdown voltages at 1% probability for RBDPO and CO can be improved through introduction of Fe3O4, CuO and Al2O3 at certain volume concentrations. Al2O3 provides the highest enhancement of AC breakdown voltages at 1% probability for RBDPO and CO with the highest percentage of improvement can be up to 52%. CTAB has no clear effect on the improvement of AC breakdown voltages of RBDPO and CO based Fe3O4, CuO and Al2O3 nanofluids. Full article
Show Figures

Figure 1

15 pages, 3995 KB  
Article
Lightning Breakdown Voltage Evaluation of Palm Oil and Coconut Oil as Transformer Oil under Quasi-Uniform Field Conditions
by Nurul Izzatul Akma Katim, Mohd Taufiq Ishak, Nur Aqilah Mohamad Amin, Mardhiah Hayati Abdul Hamid, Khairol Amali Ahmad and Norhafiz Azis
Energies 2018, 11(10), 2676; https://doi.org/10.3390/en11102676 - 9 Oct 2018
Cited by 21 | Viewed by 5496
Abstract
This paper presents lightning (1.2/50 µs) breakdown voltages of palm oil (PO), coconut oil (CO) and mineral oil (MO) in a quasi-uniform sphere to sphere electric field at two gap distances. The type of PO used in this study is Refined Bleached Deodorized [...] Read more.
This paper presents lightning (1.2/50 µs) breakdown voltages of palm oil (PO), coconut oil (CO) and mineral oil (MO) in a quasi-uniform sphere to sphere electric field at two gap distances. The type of PO used in this study is Refined Bleached Deodorized Palm Oil (RBDPO) Olein type. The effect of voltage polarities (positive and negative) and testing methods (rising voltage, up and down and multiple level) on the lightning breakdown performance were investigated. The results indicated that lightning breakdown voltages of CO and RBDPO are comparable to those of MO under various test conditions. The results indicated that there is no polarity effect for lightning impulse breakdown tests in a quasi-uniform field. The testing methods, including rising voltage method, up and down method and multiple level method have a notable influence on the breakdown voltages. The effect of the 50% breakdown voltage on rising voltage method, up and down method and multiple level method for RBDPO and CO is comparable to MO. The withstand voltage at 1% and 50% breakdown probabilities were obtained using the Normal distribution fitting on the cumulative probability plot of impulse shots. Based on a normal distribution fitting, withstand voltages 1% breakdown probability of POA were close to the MO. Finally, based on statistical studies and simulation using ANSYS software, the prediction formulas for breakdown voltage for larger gap distances for all samples were derived. Full article
(This article belongs to the Section F: Electrical Engineering)
Show Figures

Figure 1

13 pages, 6316 KB  
Article
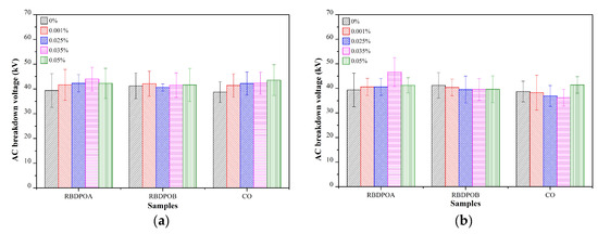
Physiochemical and Electrical Properties of Refined, Bleached and Deodorized Palm Oil under High Temperature Ageing for Application in Transformers
by Nur Aqilah Mohamad, Norhafiz Azis, Jasronita Jasni, Mohd Zainal Abidin Ab Kadir, Robiah Yunus and Zaini Yaakub
Energies 2018, 11(6), 1583; https://doi.org/10.3390/en11061583 - 16 Jun 2018
Cited by 9 | Viewed by 4167
Abstract
This paper presents a high temperature ageing study of refined, bleached, and deodorized palm oil (RBDPO) olein at 170 °C in the presence of air. In total, two types of RBDPO were examined. The physiochemical and dielectric properties of RBDPO were measured and [...] Read more.
This paper presents a high temperature ageing study of refined, bleached, and deodorized palm oil (RBDPO) olein at 170 °C in the presence of air. In total, two types of RBDPO were examined. The physiochemical and dielectric properties of RBDPO were measured and analysed. We found that the moisture and viscosities for both RBDPO increased as the ageing progressed, whereas the acidities fluctuated at very low levels at less than 0.005 mg KOH/g. The ageing on the AC breakdown voltages of both RBDPO were not affected throughout the ageing processes. The dielectric dissipation factors and relative permittivities for both RBDPO increased as the resistivities decreased with the ageing time. Full article
Show Figures

Figure 1

20 pages, 16630 KB  
Article
Ageing Study of Palm Oil and Coconut Oil in the Presence of Insulation Paper for Transformers Application
by Nur Aqilah Mohamad, Norhafiz Azis, Jasronita Jasni, Mohd Zainal Abidin Ab Kadir, Robiah Yunus and Zaini Yaakub
Materials 2018, 11(4), 532; https://doi.org/10.3390/ma11040532 - 30 Mar 2018
Cited by 20 | Viewed by 5179
Abstract
This paper presents a sealed ageing study of palm oil (PO) and coconut oil (CO) in the presence of insulation paper. The type of PO under study is refined, bleached, and deodorized palm oil (RBDPO) olein. Three different variations of RBDPO and one [...] Read more.
This paper presents a sealed ageing study of palm oil (PO) and coconut oil (CO) in the presence of insulation paper. The type of PO under study is refined, bleached, and deodorized palm oil (RBDPO) olein. Three different variations of RBDPO and one sample of CO are aged at temperatures of 90 °C, 110 °C, and 130 °C. The properties of RBDPO and CO as well as paper under ageing are then analysed through dielectric and physicochemical measurements. It is found that the effect of ageing is not significant on the alternating current (AC) breakdown voltages and relative permittivities of RBDPO and CO. There is a slight increment trend of the resistivity for CO, while for all of the RBDPO, the resistivity slightly decreases as the ageing progresses. Only CO shows an apparent reduction of the dielectric dissipation factor. Throughout the ageing time, the acidities of all of the RBDPO and CO remain at low level, while the moisture in oils decreases. The tensile index (TI) of the papers for all of the RBDPO and CO retain more than 50% of the TI. A significant increment of the paper ageing rates of all of the RBDPO and CO is observed at an ageing temperature of 130 °C. Full article
Show Figures

Figure 1

31 pages, 369 KB  
Review
Applications of Supercritical Fluid Extraction (SFE) of Palm Oil and Oil from Natural Sources
by Mohammed Jahurul Haque Akanda, Mohammed Zaidul Islam Sarker, Sahena Ferdosh, Mohd Yazid Abdul Manap, Nik Norulaini Nik Ab Rahman and Mohd Omar Ab Kadir
Molecules 2012, 17(2), 1764-1794; https://doi.org/10.3390/molecules17021764 - 10 Feb 2012
Cited by 107 | Viewed by 16365
Abstract
Supercritical fluid extraction (SFE), which has received much interest in its use and further development for industrial applications, is a method that offers some advantages over conventional methods, especially for the palm oil industry. SC-CO2 refers to supercritical fluid extraction (SFE) that [...] Read more.
Supercritical fluid extraction (SFE), which has received much interest in its use and further development for industrial applications, is a method that offers some advantages over conventional methods, especially for the palm oil industry. SC-CO2 refers to supercritical fluid extraction (SFE) that uses carbon dioxide (CO2) as a solvent which is a nontoxic, inexpensive, nonflammable, and nonpolluting supercritical fluid solvent for the extraction of natural products. Almost 100% oil can be extracted and it is regarded as safe, with organic solvent-free extracts having superior organoleptic profiles. The palm oil industry is one of the major industries in Malaysia that provides a major contribution to the national income. Malaysia is the second largest palm oil and palm kernel oil producer in the World. This paper reviews advances in applications of supercritical carbon dioxide (SC-CO2) extraction of oils from natural sources, in particular palm oil, minor constituents in palm oil, producing fractionated, refined, bleached, and deodorized palm oil, palm kernel oil and purified fatty acid fractions commendable for downstream uses as in toiletries and confectionaries. Full article
Show Figures

Figure 1

Back to TopTop