Sign in to use this feature.

Years

Between: -

Subjects

remove_circle_outline
remove_circle_outline
remove_circle_outline
remove_circle_outline
remove_circle_outline
remove_circle_outline
remove_circle_outline
remove_circle_outline
remove_circle_outline

Journals

Article Types

Countries / Regions

remove_circle_outline
remove_circle_outline
remove_circle_outline

Search Results (112)

Search Parameters:
Keywords = recycled fine powder

Order results
Result details
Results per page
Select all
Export citation of selected articles as:
18 pages, 5716 KB  
Article
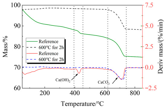
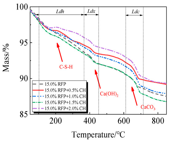
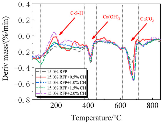
Influence of Coupled Activated Recycled Fine Powder on the Performance of Ultra-High-Performance Concrete
by Chun Lu, Ming Zhang, Nirmal Shrestha, Dongdong Yang and Chengxiao Yu
Materials 2026, 19(1), 201; https://doi.org/10.3390/ma19010201 - 5 Jan 2026
Viewed by 123
Abstract
Ultra-High-Performance Concrete (UHPC) is being increasingly utilized in major engineering projects due to its excellent mechanical properties, strong durability, and superior overall performance. Nevertheless, the widespread use of premium cementitious materials leads to high expenses and a substantial environmental impact. In this work, [...] Read more.
Ultra-High-Performance Concrete (UHPC) is being increasingly utilized in major engineering projects due to its excellent mechanical properties, strong durability, and superior overall performance. Nevertheless, the widespread use of premium cementitious materials leads to high expenses and a substantial environmental impact. In this work, crushed recycled paste was calcined at 600 °C for two hours to produce calcined recycled fine powder (RFP) with varying hydration reactivity. UHPC was produced using the RFP in place of some of the cement. Chemical activation was accomplished by adding a composite activator system made up of Ca(OH)2, Na2SO4, Na2SiO3·9H2O, and K2SO4 in order to further improve the performance of UHPC. Particle size, viscosity, fluidity, mechanical properties, and hydration products were analyzed to establish the best activator type and dosage, as well as the ideal activation procedure for recycled fine powder. By mass replacement of cementitious materials, when 15.0% of the calcined recycled fine powder was added, the compressive strength of UHPC reached 149.1 MPa, a 23.2% increase over reference UHPC without calcined recycled fine powder. The results show that the calcined recycled fine powder ground for 60 min exhibits the highest activity. More hydrated products were formed in UHPC as a result of the addition of Ca(OH)2. The compressive strength peaked at 162.2 MPa at an incorporation rate of 1.5%, which is 8.8% higher than UHPC without an activator. Full article
Show Figures

Figure 1

35 pages, 15734 KB  
Article
Demonstration of 3D-Printed Concrete Containing Fine Recycled Concrete Aggregates (fCAs) and Recycled Concrete Powder (RCP): Rheology, Early-Age, Shrinkage, Mechanical, and Durability Performance
by Pawel Sikora, Karol Federowicz, Szymon Skibicki, Mateusz Techman, Marcin Hoffmann, Joao Nuno Pacheco, Mehdi Chougan, Daniel Grochała, Krzysztof Cendrowski, Daniel Sibera, Jarosław Błyszko, Bartosz Budziński, Guan Lin and Aleksandra Ludwiczak-Sarzała
Buildings 2025, 15(23), 4255; https://doi.org/10.3390/buildings15234255 - 25 Nov 2025
Viewed by 666
Abstract
The paper presents a comprehensive analysis of cement-based composites incorporating both fine recycled concrete aggregates (fRAs) and recycled concrete powder (RCP), which were used for 3D concrete printing. The study evaluates properties ranging from fresh-state behaviour to hardened properties, durability, and microstructural characteristics. [...] Read more.
The paper presents a comprehensive analysis of cement-based composites incorporating both fine recycled concrete aggregates (fRAs) and recycled concrete powder (RCP), which were used for 3D concrete printing. The study evaluates properties ranging from fresh-state behaviour to hardened properties, durability, and microstructural characteristics. In the final stage, a life cycle assessment (LCA) was conducted. A study found that it is feasible to print a composite containing up to 100% fRA as a replacement for natural river sand. Notably, an increase in fRA content enhances the buildability of the mix, as confirmed by green strength tests. However, the open time of mixes containing fRA and RCP was shortened. Incorporation of RCP and fRA led to a decrease in shrinkage within the first 24 h of hydration. Mechanical studies reported a significant reduction in compressive strength (up to 55%) when RCP and fRA were introduced to the mix. Despite the reduction in mechanical properties in specific configurations, all mixes—including 100% fRA and 10% RCP—exhibited compressive strengths above 30 MPa, demonstrating their potential suitability for use in the construction industry. The durability properties of mixes modified with fRA show that there is a statistically significant reduction in flexural strength after 25 and 50 freeze–thaw cycles. In terms of compressive strength, cast specimens did not exhibit any notable reduction in mechanical performance after freezing and thawing cycles. The LCA results demonstrate the high potential for using fRA and RCP derived from concrete waste in the additive manufacturing industry. Full article
(This article belongs to the Special Issue Advanced Studies in Cement-Based Materials)
Show Figures

Figure 1

15 pages, 1867 KB  
Article
Non-Anatomical Identification and Compositional Profiling of Processed Wood Using ATR-FTIR and Chemometric Modeling
by Olivia-Stella Salm, Jaan Kers and Maria Kulp
Analytica 2025, 6(4), 46; https://doi.org/10.3390/analytica6040046 - 12 Nov 2025
Viewed by 685
Abstract
In modern circular-economy value chains, wood is frequently processed into fines, chips, or powders—forms in which anatomical features are no longer visible, rendering traditional visual identification methods ineffective. This study introduces a rapid, non-destructive attenuated total reflection–Fourier transform infrared (ATR-FTIR) spectroscopy approach, combined [...] Read more.
In modern circular-economy value chains, wood is frequently processed into fines, chips, or powders—forms in which anatomical features are no longer visible, rendering traditional visual identification methods ineffective. This study introduces a rapid, non-destructive attenuated total reflection–Fourier transform infrared (ATR-FTIR) spectroscopy approach, combined with chemometric modeling, to address this challenge by enabling both the classification and compositional profiling of processed wood fractions. Using full-spectrum ATR-FTIR data, partial least squares discriminant analysis (PLS-DA) models achieved high-accuracy classification of wood by type, species, and provenance, with sensitivity and specificity reaching up to 1.00. In addition, PLS and backward interval BiPLS models predicted total lignin, acid-soluble lignin, and extractives with strong performance (R2 > 0.90, RPD > 2). Interval selection further enhanced prediction accuracy by reducing RMSEP by up to 30%, improving model stability for real-world application. By replacing slow, reagent-intensive wet chemistry with a rapid, green, and scalable technique, the presented methodology provides a valuable tool for authentication, quality control, and resource optimization when dealing with mechanically processed or recycled wood. Full article
(This article belongs to the Section Chemometrics)
Show Figures

Figure 1

24 pages, 25909 KB  
Article
Utilization of Brick Powder in Blended Cement Compositions: Rheological, Mechanical, and Microstructural Properties
by Vitalii Kryzhanovskyi, Jeanette Orlowsky, Jan Skocek and Marina Macias Barrientos
Materials 2025, 18(22), 5120; https://doi.org/10.3390/ma18225120 - 11 Nov 2025
Cited by 2 | Viewed by 569
Abstract
The growing demand for eco-efficient construction materials has driven the development of low-clinker cement systems incorporating recycled mineral additives. Finely ground brick powder represents one of such materials with high pozzolanic potential. This article presents an experimental study on the effect of partially [...] Read more.
The growing demand for eco-efficient construction materials has driven the development of low-clinker cement systems incorporating recycled mineral additives. Finely ground brick powder represents one of such materials with high pozzolanic potential. This article presents an experimental study on the effect of partially replacing slag cement CEM III and ordinary rapid-hardening cement CEM I with brick powder waste of different chemical compositions and fineness levels (63, 32, and 15 µm) on the physical and mechanical properties of blended cement mortars. Compressive and flexural strengths were determined at 2, 7, and 28 days, along with the strength activity index (SAI). Additionally, the setting times and standard consistency were investigated, with the latter showing a correlation with the workability of fresh mortars. Comprehensive microstructural analysis (TGA, SEM, EDX) confirmed the pozzolanic activity of the brick powder, which was manifested by the formation of C-S-H and C-A-S-H phases. The highest strength characteristics were achieved with a 15% replacement of cement by brick powder with a fineness of 32 μm and an increased SiO2 content (63.06%). Comparative analysis with fly ash- and silica fume-modified mortars revealed that brick powder exhibits comparable performance, confirming its suitability as an active mineral additive. Full article
Show Figures

Figure 1

32 pages, 18102 KB  
Article
Sustainable Concrete Using Porcelain and Clay Brick Waste as Partial Sand Replacement: Evaluation of Mechanical and Durability Properties
by Mustafa Thaer Hasan, Alaa A. Abdul-Hamead and Farhad M. Othman
Constr. Mater. 2025, 5(4), 78; https://doi.org/10.3390/constrmater5040078 - 29 Oct 2025
Viewed by 686
Abstract
The increasing demand for sustainable construction materials has prompted the recycling of construction and demolition waste in concrete manufacturing. This study investigates the feasibility of utilizing porcelain and brick waste as partial substitutes for natural sand in concrete with the objective of improving [...] Read more.
The increasing demand for sustainable construction materials has prompted the recycling of construction and demolition waste in concrete manufacturing. This study investigates the feasibility of utilizing porcelain and brick waste as partial substitutes for natural sand in concrete with the objective of improving sustainability and preserving mechanical and durability characteristics. The experimental program was conducted in three consecutive phases. During the initial phase, natural sand was partially substituted with porcelain waste powder (PWP) and brick waste powder (BWP) in proportions of 25%, 50%, and 75% of the weight of the fine aggregate. During the second phase, polypropylene fibers were mixed at a dosage of 0.5% by volume fraction to enhance tensile and flexural properties. During the third phase, zinc oxide nanoparticles (ZnO-NPs) were utilized as a partial substitute for cement at concentrations of 0.5% and 1% to improve microstructure and strength progression. Concrete samples were tested at curing durations of 7, 28, and 91 days. The assessed qualities encompassed workability, density, water absorption, porosity, compressive strength, flexural strength, and splitting tensile strength. Microstructural characterization was conducted utilizing X-ray diffraction (XRD), scanning electron microscopy (SEM), and energy-dispersive X-ray spectroscopy (EDS). The findings indicated that porcelain waste powder markedly surpassed brick waste powder in all mechanical and durability-related characteristics, particularly at 25% and 50% sand replacement ratios. The integration of polypropylene fibers enhanced fracture resistance and ductility. Moreover, the incorporation of zinc oxide nanoparticles improved hydration, optimized the pore structure, and resulted in significant enhancements in compressive and tensile strength throughout prolonged curing durations. The best results were obtained with a mix of 50% porcelain sand aggregate, 1% zinc oxide nanoparticles as cement replacement, and 0.5% polypropylene fibers, for which the improvements in compressive strength, flexural strength, and splitting tensile strength were 39.5%, 46.2%, and 60%, respectively, at 28 days. The results confirm the feasibility of using porcelain and brick waste as sand replacements in concrete, as well as polypropylene fiber-reinforced concrete and polypropylene fiber-reinforced concrete mixed with zinc oxide nanoparticles as a sustainable option for construction purposes. Full article
Show Figures

Figure 1

37 pages, 2119 KB  
Review
Recycled Components in 3D Concrete Printing Mixes: A Review
by Marcin Maroszek, Magdalena Rudziewicz and Marek Hebda
Materials 2025, 18(19), 4517; https://doi.org/10.3390/ma18194517 - 28 Sep 2025
Cited by 1 | Viewed by 2651
Abstract
Rapid population growth and accelerating urbanization are intensifying the demand for construction materials, particularly concrete, which is predominantly produced with Portland cement and natural aggregates. This reliance imposes substantial environmental burdens through resource depletion and greenhouse gas emissions. Within the framework of sustainable [...] Read more.
Rapid population growth and accelerating urbanization are intensifying the demand for construction materials, particularly concrete, which is predominantly produced with Portland cement and natural aggregates. This reliance imposes substantial environmental burdens through resource depletion and greenhouse gas emissions. Within the framework of sustainable construction, recycled aggregates and industrial by-products such as fly ash, slags, crushed glass, and other secondary raw materials have emerged as viable substitutes in concrete production. At the same time, three-dimensional concrete printing (3DCP) offers opportunities to optimize material use and minimize waste, yet it requires tailored mix designs with controlled rheological and mechanical performance. This review synthesizes current knowledge on the use of recycled construction and demolition waste, industrial by-products, and geopolymers in concrete mixtures for 3D printing applications. Particular attention is given to pozzolanic activity, particle size effects, mechanical strength, rheology, thermal conductivity, and fire resistance of recycled-based composites. The environmental assessment is considered through life-cycle analysis (LCA), emphasizing carbon footprint reduction strategies enabled by recycled constituents and low-clinker formulations. The analysis demonstrates that recycled-based 3D printable concretes can maintain or enhance structural performance while mix-level (cradle-to-gate, A1–A3) LCAs of printable mixes report CO2 reductions typically in the range of ~20–50% depending on clinker substitution and recycled constituents—with up to ~48% for fine recycled aggregates when accompanied by cement reduction and up to ~62% for mixes with recycled concrete powder, subject to preserved printability. This work highlights both opportunities and challenges, outlining pathways for advancing durable, energy-efficient, and environmentally responsible 3D-printed construction materials. Full article
(This article belongs to the Special Issue Research on Alkali-Activated Materials (Second Edition))
Show Figures

Figure 1

31 pages, 2951 KB  
Article
Mechanical, Durability, and Environmental Impact Properties of Natural and Recycled Fiber Geopolymer with Zero Waste Approach: Alternative to Traditional Building Materials
by Haluk Görkem Alcan
Polymers 2025, 17(17), 2432; https://doi.org/10.3390/polym17172432 - 8 Sep 2025
Cited by 1 | Viewed by 1169
Abstract
This study evaluates the physical, mechanical, durability, and environmental properties of geopolymer mortars (GMs) produced using waste tire steel fibers (WTSFs), hemp fibers (HFs), waste marble powder (WMP), and recycled fine aggregates (RFAs). Within the scope of this study, fibers were incorporated as [...] Read more.
This study evaluates the physical, mechanical, durability, and environmental properties of geopolymer mortars (GMs) produced using waste tire steel fibers (WTSFs), hemp fibers (HFs), waste marble powder (WMP), and recycled fine aggregates (RFAs). Within the scope of this study, fibers were incorporated as single and hybrid types at 0.5% and 1% by volume. The addition of HFs generally reduced dry unit weight, as well as compressive and flexural strength but increased fracture energy by nearly three times. The addition of WTSFs improved compressive and flexural strengths by up to 42% and enhanced fracture energy by 840%. Hybrid fibers increased the strength values by 21% and the fracture energy by up to four times, demonstrating a clear synergistic effect between HFs and WTSFs in enhancing crack resistance and structural stability. In the durability tests conducted within the scope of this study, HFs burnt at 600 °C, while WTSFs showed signs of corrosion under freeze–thaw and acid conditions; however, hybrid fibers combined the benefits of both materials, resulting in an effective preservation of internal structure. The fact that the materials used in the production of GM samples were waste or recycled products reduced the total cost to 188 USD/m3, and thanks to these materials and the carbon-negative properties of HFs, CO2 emissions were reduced to 338 kg CO2/m3. The presented study demonstrates the potential of using recycled and waste materials to create sustainable building materials in the construction industry. Full article
(This article belongs to the Special Issue Sustainable Polymeric Materials in Building and Construction)
Show Figures

Graphical abstract

16 pages, 1271 KB  
Article
Conversion of Komagataella phaffii Biomass Waste to Yeast Extract Supplement
by Laura Murphy and David J. O’Connell
Appl. Microbiol. 2025, 5(3), 95; https://doi.org/10.3390/applmicrobiol5030095 - 4 Sep 2025
Viewed by 1184
Abstract
Valorisation of spent yeast biomass post-fermentation requires energy-intensive autolysis or enzymatic hydrolysis that reduces the net benefit. Here, we present a simple and reproducible method for generating functional yeast extract recycled from Komagataella phaffii biomass without a requirement of a pre-treatment process. Spent [...] Read more.
Valorisation of spent yeast biomass post-fermentation requires energy-intensive autolysis or enzymatic hydrolysis that reduces the net benefit. Here, we present a simple and reproducible method for generating functional yeast extract recycled from Komagataella phaffii biomass without a requirement of a pre-treatment process. Spent yeast pellets from fermentations were freeze-dried to produce a fine powder that can be used directly at low concentrations, 0.0015% (w/v), together with 2% peptone (w/v), to formulate complete media ready for secondary fermentations. This media formulation supported growth rates of yeast culture that were statistically indistinguishable (p-value > 0.05) from cultures grown in standard YPD media containing commercial yeast extract, and these cultures produced equivalent titres of recombinant β-glucosidase (0.998 Abs405nm commercial extract vs. 0.899 Abs405nm recycled extract). Additionally, nutrient analyses highlight equivalent levels of sugars (~23 g/L), total proteins, and cell yield per carbon source (~2.17 g) with this recycled yeast extract media formulation when compared to commercial media. This method reduces process complexity and cost and enables the circular reuse of yeast biomass. The protocol is technically straightforward to implement, using freeze drying that is commonly available in research laboratories, representing a broadly applicable and sustainable alternative to conventional media supplementation that achieves a circular approach within the same fermentation system. Full article
Show Figures

Figure 1

21 pages, 10515 KB  
Article
Comprehensive Study on Mechanical Properties of Rubberized Geopolymer Concrete Reinforced with Steel Fibers
by Xiaoping Wang, Feng Liu, Lei Luo, Baifa Zhang and Lijuan Li
Buildings 2025, 15(17), 3175; https://doi.org/10.3390/buildings15173175 - 4 Sep 2025
Viewed by 921
Abstract
To address challenges posed by waste tires and greenhouse gas emissions associated with ordinary Portland cement, exploring eco-friendly construction materials is critical for sustainability. This study examines the workability and mechanical properties of straight steel fiber-reinforced rubberized geopolymer concrete (SFRRGC), where rubber powder [...] Read more.
To address challenges posed by waste tires and greenhouse gas emissions associated with ordinary Portland cement, exploring eco-friendly construction materials is critical for sustainability. This study examines the workability and mechanical properties of straight steel fiber-reinforced rubberized geopolymer concrete (SFRRGC), where rubber powder is derived from recycled waste tires. The experimental variables included rubber powder (RP) content (0%, 6%, 12%, and 20% by volume of fine aggregate) and steel fiber (SF) content (0%, 0.5%, 1.0%, and 1.5% by volume). The results show that incorporating RP and SFs reduced the workability of SFRRGC but increased its peak strain. Specifically, RP addition decreased the elastic modulus, compressive strength, and toughness; increasing the SF content enhanced energy dissipation, while the effects of SF and RP contents on Poisson’s ratio were negligible. The specimens showed that a higher RP content would weaken the crack-bridging effect of SF. For example, specimens with 1.0% SF and 6% RP achieved 49.56 MPa compressive strength and 4.04 × 10−3 maximum peak strain; those with 0.5% SF and 20% RP had 118.40 J compressive toughness, which was 5.53% lower than that of the reference specimens (125.33 J). Furthermore, a constitutive model for SFRRGC was proposed, and its theoretical curves aligned well with the experimental results. This proposed model can reliably predict the stress–strain curves of geopolymer concrete with different SF and RP mixture proportions. Full article
(This article belongs to the Special Issue Next-Gen Cementitious Composites for Sustainable Construction)
Show Figures

Figure 1

22 pages, 3246 KB  
Article
Effects of Recycled and Supplemented Cementitious Materials on Corrosion Resistance and Mechanical Properties in Reinforced Concrete
by Abdulrahman Al Fuhaid
J. Compos. Sci. 2025, 9(9), 457; https://doi.org/10.3390/jcs9090457 - 29 Aug 2025
Cited by 1 | Viewed by 1745
Abstract
Reinforced concrete is the most widely utilized building material for bridges, buildings, and other infrastructure components, and its longevity is significantly influenced by corrosion or rust. Corrosion shortens reinforced concrete’s service life and safety, which raises maintenance expenses. Concrete is a porous material [...] Read more.
Reinforced concrete is the most widely utilized building material for bridges, buildings, and other infrastructure components, and its longevity is significantly influenced by corrosion or rust. Corrosion shortens reinforced concrete’s service life and safety, which raises maintenance expenses. Concrete is a porous material that allows air and water to pass through, and corrosion begins when the air and water reach the steel. This study evaluated the mechanical and corrosion resistance properties of reinforced concrete containing recycled and supplemented cementitious materials. The results showed that mixtures containing fine glass aggregate, glass powder, slag, fly ash, or silica fume significantly improved the compressive, tensile, and flexural strengths, but the 10% slag mix, and 5% glass aggregate with 10% glass powder with 10% fly ash mix produced the best results overall. In addition, the mixture containing 15% fly ash produced the best result against corrosion. The corrosion tests revealed that mixtures with 10% slag and 20% glass powder also significantly enhanced the corrosion resistance of steel with the same results, confirming their effectiveness in reducing the permeability and increasing the durability of reinforced concrete. Full article
Show Figures

Figure 1

25 pages, 3593 KB  
Article
Evaluation of the Usability of SCMs Produced by Adding Aluminum and Iron Oxide to Mortar Waste Powder Under Different Conditions
by Osman Hansu and Serkan Etli
Buildings 2025, 15(17), 3067; https://doi.org/10.3390/buildings15173067 - 27 Aug 2025
Viewed by 727
Abstract
The integration of recycled materials into cementitious systems presents a sustainable path to reducing environmental impact in construction. This study investigates the mechanical and durability performance of self-compacting mortars (SCMs) incorporating finely ground mortar waste powder (MWP) as a partial cement substitute, reinforced [...] Read more.
The integration of recycled materials into cementitious systems presents a sustainable path to reducing environmental impact in construction. This study investigates the mechanical and durability performance of self-compacting mortars (SCMs) incorporating finely ground mortar waste powder (MWP) as a partial cement substitute, reinforced with aluminum oxide (Al2O3) and iron oxide (Fe2O3). Eleven mixes were designed with MWP replacing cement at 0–50% by volume. Fresh-state tests showed that slump flow decreased moderately (from 259 mm to 240 mm), while V-funnel times improved (from 10.51 s to 7.01 s), indicating acceptable flowability. The optimum performance was observed in SCM2 (5% MWP + oxides), which achieved 75.62 MPa compressive and 13.74 MPa flexural strength at 28 days, outperforming the control mix. Durability under high temperature and freeze–thaw cycling revealed that oxide-reinforced mixes exhibited superior strength retention, with SCM2 maintaining over 87 MPa after 300 °C exposure and minimal degradation after 100 freeze–thaw cycles. Porosity remained low (16.1%) at optimal replacement levels but increased significantly beyond 25% MWP. The results confirm that low-level MWP replacement, when reinforced with reactive oxides, provides a viable strategy for producing durable, high-performance, and eco-efficient SCMs. Full article
(This article belongs to the Special Issue Recycling of Waste in Material Science and Building Engineering)
Show Figures

Figure 1

33 pages, 5443 KB  
Article
Effects of Carbonation Conditions and Sand-to-Powder Ratio on Compressive Strength and Pore Fractal Characteristics of Recycled Cement Paste–Sand Mortar
by Yuchen Ye, Zhenyuan Gu, Chenhui Zhu and Jie Yang
Buildings 2025, 15(16), 2906; https://doi.org/10.3390/buildings15162906 - 17 Aug 2025
Viewed by 1229
Abstract
This study investigates the influence of carbonation duration and sand-to-powder ratio on the compressive strength and pore structure of recycled cement paste–sand (RCP-S) mortar. Specimens incorporating four different sand contents were subjected to carbonation for 1 and 24 h. Fractal dimensions, ranging from [...] Read more.
This study investigates the influence of carbonation duration and sand-to-powder ratio on the compressive strength and pore structure of recycled cement paste–sand (RCP-S) mortar. Specimens incorporating four different sand contents were subjected to carbonation for 1 and 24 h. Fractal dimensions, ranging from 2.60159 to 3.86742, indicated increased pore complexity with extended carbonation exposure. Mercury intrusion porosimetry (MIP) and scanning electron microscopy (SEM) were employed to characterize pore features, including volume, surface area, and diameter. A Menger sponge-based fractal model was applied to compute the fractal dimensions and investigate their relationships with microstructural parameters and mechanical performance. Results showed that prolonged carbonation markedly reduced macropores and large capillary pores, enhanced fine pore content, and improved overall pore connectivity. Fractal analysis revealed that Segments I and IV exhibited the most significant fractal characteristics. The fractal dimension demonstrated exponential correlations with pore diameter; quadratic relationships—with superior statistical performance—with porosity, surface area, and pore volume; and a power–law relationship with compressive strength. These findings highlight the potential of fractal parameters as effective indicators of pore structure complexity and mechanical performance. This study offers a quantitative basis for optimizing pore structure in recycled cementitious materials, promoting their sustainable application in construction. Full article
Show Figures

Figure 1

17 pages, 6578 KB  
Article
Research on the Influence Law and Mechanism of Regenerated Ceramic Tile Form and Replacement Rate on the Mechanical Properties of Ultra-High-Performance Concrete
by Xiuying Yang, Yiwu Xing, Zhen Wang, Shixin Duan, Guodong Zhao, Jie Song and Zhaohui Xiao
Materials 2025, 18(13), 3028; https://doi.org/10.3390/ma18133028 - 26 Jun 2025
Cited by 1 | Viewed by 760
Abstract
Ultra-high-performance concrete (UHPC) has gained widespread application across various domains owing to its superior properties. Nevertheless, the high cement content and associated costs present challenges, including significant shrinkage of the cement matrix and economic considerations. Using industrial by-products or waste to replace some [...] Read more.
Ultra-high-performance concrete (UHPC) has gained widespread application across various domains owing to its superior properties. Nevertheless, the high cement content and associated costs present challenges, including significant shrinkage of the cement matrix and economic considerations. Using industrial by-products or waste to replace some raw materials is one of the effective solutions. Meanwhile, China’s ceramic industry generates a large amount of waste every year. Applying ceramics in UHPC can effectively solve these problems. This study explores the use of recycled tile waste as a sustainable alternative to reduce the use of natural aggregates and cement and enhance the performance of UHPC. To investigate the impact of recycled ceramics on the mechanical properties of UHPC, three preparation methods were employed: (1) single incorporation of ceramic tile aggregate (CTA) to replace fine aggregates (0–100%), (2) single incorporation of ceramic tile powder (CTP) to replace cementitious materials (0–20%), and (3) dual incorporation of both CTA and CTP. The effects of different preparation methods and substitution rates on mechanical properties were evaluated through compressive and flexural strength tests, and microstructure analyses were conducted by scanning electron microscopy (SEM) and mercury intrusion porosimetry (MIP). The test results show that the compressive strength and flexural strength of UHPC increased with an increase in the ceramic particle substitution rate and reached the maximum value at a 100% substitution rate. On the contrary, ceramic powder substitution initially reduced the compressive strength, and it slightly recovered at a substitution rate of 10%. However, the bending strength decreased with an increase in the substitution rate of the ceramic powder. When ceramic particles and ceramic powder were used in combination, the compressive strength was the highest when 100% ceramic particles and 20% ceramic powder were used as substitutes. The maximum flexural strength occurred when 100% ceramic particles or 5% ceramic powder was used as a substitute. This study demonstrates that recycled ceramic waste can effectively enhance the mechanical properties of UHPC, providing a sustainable solution for reducing cement consumption and improving the performance of concrete. Full article
(This article belongs to the Section Construction and Building Materials)
Show Figures

Figure 1

15 pages, 6837 KB  
Article
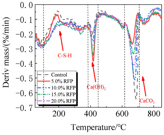
Research on the Influence of Recycled Fine Powder on Chloride Ion Erosion of Concrete in Different Chloride Salt Environments
by Lijun Chen, Gang Zhao and Ying Li
Materials 2025, 18(9), 2018; https://doi.org/10.3390/ma18092018 - 29 Apr 2025
Cited by 1 | Viewed by 681
Abstract
The Qinghai–Tibet Plateau features a high-altitude, cold, and arid climate, with harsh environmental conditions. It is also one of the regions in China where chloride-rich salt lakes are abundant. These circumstances pose significant challenges to the durability of concrete. This study explored the [...] Read more.
The Qinghai–Tibet Plateau features a high-altitude, cold, and arid climate, with harsh environmental conditions. It is also one of the regions in China where chloride-rich salt lakes are abundant. These circumstances pose significant challenges to the durability of concrete. This study explored the impact of recycled fine powders (RFP) on the resistance of concrete to chloride ion erosion. To evaluate this, a 3.5% sodium chloride solution and Qarhan Salt Lake brine were employed as erosion media. The depth and concentration of chloride ion penetration, the free chloride ion diffusion coefficient (Df), and the microstructure of the concrete were measured. The results demonstrated that when the replacement rate of RFP was 20%, the concrete displayed excellent resistance to chloride ion erosion in both the sodium chloride solution and the Salt Lake brine. XRD analysis and SEM images revealed that the addition of RFP enabled the concrete to bind more Cl to form Friedel’s salt, which filled the pores of the concrete and reduced the diffusion of Cl within the concrete. Moreover, as the soaking time extended continuously, the erosion and damage effects of the Salt Lake brine solution on the concrete were more severe than those of the sodium chloride solution. Full article
(This article belongs to the Section Construction and Building Materials)
Show Figures

Figure 1

21 pages, 6620 KB  
Article
Optimizing Recycled Tunnel Boring Machine (TBM)-Excavated Materials as Aggregates in Shotcrete Mix Design
by Wei Zhang, Rusheng Hao, Zhijun Men, Jingjing He, Yong Zhang and Wei Hu
Buildings 2025, 15(9), 1483; https://doi.org/10.3390/buildings15091483 - 27 Apr 2025
Viewed by 1142
Abstract
Tunnel Boring Machine (TBM) excavation materials were recycled by sieving and separating particles into sizes 5–10 mm (coarse aggregates) and below 5 mm (manufactured sand) to explore their potential as aggregates in shotcrete production, with the aim of reducing environmental harm from waste [...] Read more.
Tunnel Boring Machine (TBM) excavation materials were recycled by sieving and separating particles into sizes 5–10 mm (coarse aggregates) and below 5 mm (manufactured sand) to explore their potential as aggregates in shotcrete production, with the aim of reducing environmental harm from waste disposal. Mix proportion experiments were conducted to evaluate the mechanical properties—including failure patterns, compressive strength, flexural strength, and deflection—of the shotcrete specimens through cubic axial compression and four-point bending tests; furthermore, rebound tests were conducted on shotcrete mixed with the recycled TBM aggregates in foundation pit engineering. These tests assessed the effects of key parameters (water–binder ratio, sand ratio, fly ash content, synthetic fibers, and liquid alkali-free accelerator) on shotcrete composed of recycled TBM sand and gravel. The results indicated that crushing and grading flaky TBM-excavated rock fragments, and subsequently blending them with pre-screened fine aggregates in a 4:1 ratio, yielded manufactured sand with an optimized particle gradation and controlled stone powder content (18%). Adjusting the water–binder ratio (0.4–0.5), fly ash dosage (mixed with 0–20%), and sand ratio (0.5–0.6) are feasible steps in preparing shotcrete with a compressive strength of 29.1 MPa to 50.4 MPa and slump of 9 cm to 20 cm. Moreover, the rebound rate of the shotcrete reached 11.3% by applying polyoxymethylene (POM) fibers with a 0.15% volume fraction and a liquid-state alkali-free setting accelerator (8% dosage), demonstrating that the implemented approach enables a decrease in the rebound rate of shotcrete. Full article
Show Figures

Figure 1

Back to TopTop