Sign in to use this feature.

Years

Between: -

Subjects

remove_circle_outline
remove_circle_outline
remove_circle_outline
remove_circle_outline
remove_circle_outline
remove_circle_outline
remove_circle_outline
remove_circle_outline
remove_circle_outline

Journals

remove_circle_outline
remove_circle_outline
remove_circle_outline
remove_circle_outline
remove_circle_outline
remove_circle_outline
remove_circle_outline
remove_circle_outline
remove_circle_outline
remove_circle_outline
remove_circle_outline
remove_circle_outline
remove_circle_outline

Article Types

Countries / Regions

remove_circle_outline
remove_circle_outline
remove_circle_outline
remove_circle_outline

Search Results (847)

Search Parameters:
Keywords = reaction-diffusion system

Order results
Result details
Results per page
Select all
Export citation of selected articles as:
23 pages, 1084 KB  
Review
Molecular Dissipative Structuring: The Fundamental Creative Force in Biology
by Karo Michaelian
Entropy 2026, 28(2), 246; https://doi.org/10.3390/e28020246 - 20 Feb 2026
Viewed by 21
Abstract
The spontaneous emergence of macroscopic dissipative structures in systems driven by generalized chemical potentials is well established in non-equilibrium thermodynamics. Examples include atmospheric/oceanic currents, hurricanes and tornadoes, Rayleigh–Bénard convection cells and reaction–diffusion patterns. Less well recognized, however, are microscopic dissipative structures that form [...] Read more.
The spontaneous emergence of macroscopic dissipative structures in systems driven by generalized chemical potentials is well established in non-equilibrium thermodynamics. Examples include atmospheric/oceanic currents, hurricanes and tornadoes, Rayleigh–Bénard convection cells and reaction–diffusion patterns. Less well recognized, however, are microscopic dissipative structures that form when the driving potential excites internal molecular degrees of freedom (electronic states and nuclear coordinates), typically via high-energy photons or coupling with ATP. Examples include dynamic nanoscale lipid rafts, kinesin or dynein motors along microtubules, and spatiotemporal Ca2+ signaling waves propagating through the cytoplasm. The thermodynamic dissipation theory of the origin of life asserts that the core biomolecules of all three domains of life originated as self-organized molecular dissipative structures—chromophores or pigments—that proliferated on the Archean ocean surface to absorb and dissipate the intense “soft” UV-C (205–280 nm) and UV-B (280–315 nm) solar flux into heat. Thermodynamic coupling to ancillary antenna and surface-anchoring molecules subsequently increased photon dissipation and enabled more complex dissipative processes, including photosynthesis, to dissipate lower-energy but higher-intensity UV-A and visible light. Further thermodynamic coupling to abiotic geophysical cycles (e.g., the water cycle, winds, and ocean currents) ultimately led to today’s biosphere, efficiently dissipating the incident solar spectrum well into the infrared. This paper reviews historical considerations of UV light in life’s origin and our proposal of UV-C molecular dissipative structuring of three classes of fundamental biomolecules: nucleobases, fatty acids, and pigments. Increases in structural complexity and assembly into larger complexes are shown to be driven by the thermodynamic imperative of enhancing solar photon dissipation. We conclude that thermodynamic selection of dissipative structures, rather than Darwinian natural selection, is the fundamental creative force in biology at all levels of hierarchy. Full article
(This article belongs to the Special Issue Alive or Not Alive: Entropy and Living Things)
Show Figures

Figure 1

28 pages, 4633 KB  
Article
Analysis of Reaction-Diffusion Systems: Painlevé Properties and Conservation Laws of the Convective Fisher–Kolmogorov Equations
by Ali Raza, Alhussein Mohamed Alhussein Ahmed and Abdul Hamid Kara
Symmetry 2026, 18(2), 377; https://doi.org/10.3390/sym18020377 - 18 Feb 2026
Viewed by 108
Abstract
This article investigates the widespread occurrence of wave-like behavior in biological systems and reflects on the importance of reaction–diffusion frameworks to explain fast information transfer. Focusing on the classical Fisher–Kolmogorov equation, it demonstrates how the combination of nonlinear reaction dynamics and diffusion gives [...] Read more.
This article investigates the widespread occurrence of wave-like behavior in biological systems and reflects on the importance of reaction–diffusion frameworks to explain fast information transfer. Focusing on the classical Fisher–Kolmogorov equation, it demonstrates how the combination of nonlinear reaction dynamics and diffusion gives rise to stable traveling wavefronts that propagate at a constant speed while preserving their shape. We adopt a number of approaches (some novel) in dealing with the analyses, namely the symmetry method, soliton approach (algebraic) and Painlevé analysis, among others. Full article
(This article belongs to the Special Issue Symmetry in Lie Groups and Lie Algebras)
19 pages, 432 KB  
Article
A Reaction–Diffusion System of General Gene Expression with Delays
by Xiaoqin P. Wu and Liancheng Wang
Mathematics 2026, 14(3), 563; https://doi.org/10.3390/math14030563 - 4 Feb 2026
Viewed by 212
Abstract
In this paper, a complete analysis is presented to study a reaction–diffusion system of general gene expression with two time delays and with Neumann boundary conditions. The global existence of a unique strong solution and the existence of an attractor are established. Using [...] Read more.
In this paper, a complete analysis is presented to study a reaction–diffusion system of general gene expression with two time delays and with Neumann boundary conditions. The global existence of a unique strong solution and the existence of an attractor are established. Using delays as bifurcation parameters, we obtain critical values so that the Hopf bifurcation occurs at a unique equilibrium point. Numerical simulations are provided to illustrate both the stability of the equilibrium point and the emergence of bifurcations. For steady-state solutions, the Maximum Principle is used to obtain the bounds of positive solutions. The conditions for the system to have constant solutions are also investigated. Full article
Show Figures

Figure 1

20 pages, 1125 KB  
Article
Lie Point and Q-Conditional Symmetries, Exact Solutions, and Conservation Laws for a Reaction–Diffusion System in Mathematical Biology
by Yu-Shan Bai, Jin Wang, Yan-Ting Ren and Yu-Xiang Li
Math. Comput. Appl. 2026, 31(1), 22; https://doi.org/10.3390/mca31010022 - 3 Feb 2026
Viewed by 204
Abstract
This study investigates the Lie point and Q-conditional symmetries of a classical two-component reaction–diffusion system in one spatial dimension. The symmetry classifications for the reaction–diffusion system and corresponding symmetry reductions are provided. Employing Ibragimov’s method, we construct conservation laws for the governing [...] Read more.
This study investigates the Lie point and Q-conditional symmetries of a classical two-component reaction–diffusion system in one spatial dimension. The symmetry classifications for the reaction–diffusion system and corresponding symmetry reductions are provided. Employing Ibragimov’s method, we construct conservation laws for the governing system, offering insights into its invariant properties. Additionally, by applying symmetry reduction techniques, new exact solutions are obtained. These solutions demonstrate the practical utility of our approach and enhance our understanding of the system’s behavior and characteristics. Full article
Show Figures

Figure 1

24 pages, 1974 KB  
Review
Catalytic Oxidation of Alkanes and Cycloalkanes: Overview
by Aygun Zabit Aliyeva, Ulviyya Aliman Karimova, Sahib Gadji Yunusov, Michael Vigdorowitsch and Sevinj Abdulhamid Mammadkhanova
ChemEngineering 2026, 10(2), 25; https://doi.org/10.3390/chemengineering10020025 - 3 Feb 2026
Viewed by 393
Abstract
Selective functionalisation of inert C(sp3)–H bonds in alkanes and cycloalkanes remains one of the main challenges in the field of environmentally sustainable chemistry. This review provides a critical assessment of current catalytic strategies, in particular addressing the persistent problem of overoxidation [...] Read more.
Selective functionalisation of inert C(sp3)–H bonds in alkanes and cycloalkanes remains one of the main challenges in the field of environmentally sustainable chemistry. This review provides a critical assessment of current catalytic strategies, in particular addressing the persistent problem of overoxidation and low selectivity. Going beyond traditional compartmentalised summaries, this work identifies a significant trend towards the integration of non-traditional activation methods, including ultrasonic cavitation, photocatalysis, and nanosecond pulse discharges, in both homogeneous and heterogeneous systems. Key contributions include a comparative analysis of radical control strategies, in particular highlighting how intermediate hydroperoxides can be used to shift reaction pathways towards selectivity of over 97% for alcohols and ketones. In addition, we discuss the emerging role of carbon nanomaterials (e.g., fullerenes and brominated nanotubes) as active electron-rich carriers and catalysts that lower the energy barriers for C–H activation under mild, ‘green’ conditions. The review concludes that the future of scalable hydrocarbon oxidation lies in ‘hybrid’ approaches such as stabilising active metal centres in protective matrices (zeolites, polymers) while using physical stimuli (ultrasound) to overcome diffusion limitations. This unique perspective highlights the transition from purely chemical catalyst design to integrated process intensification, offering a roadmap for energy-efficient and environmentally friendly industrial technologies. Full article
Show Figures

Figure 1

21 pages, 1020 KB  
Article
Maximum Principles for Fractional Diffusion Problems
by Stanislav Harizanov and Svetozar Margenov
Symmetry 2026, 18(2), 272; https://doi.org/10.3390/sym18020272 - 31 Jan 2026
Viewed by 255
Abstract
The maximum principle is a widely used qualitative property of linear (and not only) elliptic boundary value problems. A natural goal for developing numerical methods is for the approximate solution to have a similar property. In this case, we say that a discrete [...] Read more.
The maximum principle is a widely used qualitative property of linear (and not only) elliptic boundary value problems. A natural goal for developing numerical methods is for the approximate solution to have a similar property. In this case, we say that a discrete maximum principle holds. In many cases, such a requirement is critical to ensuring the reliability of computational models. Here, we consider multidimensional linear elliptic problems with diffusion and reaction terms. Such problems have been studied and analyzed for many decades. Since relatively recently, scientists have faced conceptually new challenges when considering anomalous (fractional) diffusion. In the present paper, we concentrate on the case of spectral fractional diffusion. Discretization was carried out using the finite difference method and the finite element method with a lumped mass matrix. In large-scale multidimensional problems, the computational complexity of dense matrix operations is critical. To overcome this problem, BURA (best uniform rational approximation) methods were applied to find the efficient numerical solutions of emerging dense linear systems. Thus, along with the need to satisfy the discrete maximum principle associated with the mesh method applied for discretization of the differential operator, the issue of the monotonicity of BURA numerical solution arises. The presented results are three-fold and include the following: (i) maximum principles for fractional diffusion–reaction problems; (ii) sufficient conditions for discrete maximum principles; and (iii) sufficient conditions for monotonicity of the investigated BURA- or BURA-like approximation methods. A novel, systematic theoretical analysis is developed for sub-diffusion with a fractional power α(1/2,1) and a constant reaction coefficient. The theoretical findings are further supported by numerical examples. Full article
(This article belongs to the Section Mathematics)
Show Figures

Figure 1

27 pages, 625 KB  
Article
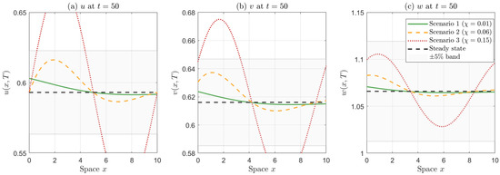
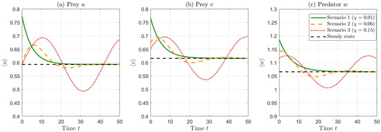
Global Stability Analysis of Coexistence Steady State in a General Predator–Prey System with Double Prey-Taxis
by Guoting Chen, Huan Dai and Mengfeng Sun
Mathematics 2026, 14(3), 499; https://doi.org/10.3390/math14030499 - 30 Jan 2026
Viewed by 237
Abstract
In this paper, we consider a general two-prey one-predator reaction–diffusion system with prey competition and double prey-taxis. We first present some preliminary results, including global-in-time existence and a priori estimates of classical solutions to this system with ratio-dependent and non-ratio-dependent predator functional responses. [...] Read more.
In this paper, we consider a general two-prey one-predator reaction–diffusion system with prey competition and double prey-taxis. We first present some preliminary results, including global-in-time existence and a priori estimates of classical solutions to this system with ratio-dependent and non-ratio-dependent predator functional responses. Our main concern is the global stability of spatially homogeneous coexistence steady states. For generalized prey-dependent models, we show that the global asymptotic stability of the coexistence steady state relates to two prey-taxis coefficients provided that the predator functional response, the conversion, and diffusion rates are given. Since there is little prospect of establishing a unified Lyapunov functional for the systems with a predator-dependent functional response, we propose an explicit predator-dependent model and construct the corresponding Lyapunov functional. The theoretical results can cover most three-species chemotaxis systems. Full article
(This article belongs to the Section E3: Mathematical Biology)
Show Figures

Figure 1

17 pages, 2176 KB  
Article
Turing Instability of Hopf Bifurcation Periodic Solutions and Stability Analysis in a Diffusive Forest Kinematic Model
by Jiahui You, Yuhang Hu, Wenyu Zhang and Mi Wang
Mathematics 2026, 14(3), 481; https://doi.org/10.3390/math14030481 - 29 Jan 2026
Viewed by 274
Abstract
In this paper, we investigate the asymptotic behavior of solutions to a diffusive forest kinematic model, which describes the interactions among young trees, old trees, and airborne seeds. Our study focuses on the stability of the positive equilibrium, the occurrence of Hopf bifurcation [...] Read more.
In this paper, we investigate the asymptotic behavior of solutions to a diffusive forest kinematic model, which describes the interactions among young trees, old trees, and airborne seeds. Our study focuses on the stability of the positive equilibrium, the occurrence of Hopf bifurcation yielding spatially homogeneous periodic solutions, and the subsequent Turing instability induced by diffusion in these periodic states. The analysis highlights that the juvenile tree mortality rate, represented by a quadratic function of mature tree density, plays a central dynamical role. Specifically, the parameter corresponding to the mature tree density at which juvenile mortality is minimized serves as a key Hopf bifurcation parameter. This indicates that the system’s transition to periodic solutions and later to diffusion-driven pattern formation can be effectively regulated through this parameter. From an ecological perspective, these results suggest that forest management strategies capable of indirectly influencing factors related to this critical parameter could help control the emergence of spatial patterns, such as forest patches. Furthermore, the functional form of the mortality rate offers a useful foundation for future studies examining how different assumptions regarding tree interaction morphology may influence ecosystem patterning. Full article
Show Figures

Figure 1

22 pages, 6506 KB  
Article
Time-Engineered Hydrothermal Nb2O5 Nanostructures for High-Performance Asymmetric Supercapacitors
by Rutuja U. Amate, Mrunal K. Bhosale, Aviraj M. Teli, Sonali A. Beknalkar, Hajin Seo, Yeonsu Lee and Chan-Wook Jeon
Nanomaterials 2026, 16(3), 173; https://doi.org/10.3390/nano16030173 - 27 Jan 2026
Viewed by 262
Abstract
Precise control over nanostructure evolution is critical for optimizing the electrochemical performance of pseudocapacitive materials. In this work, Nb2O5 nanostructures were synthesized via a time-engineered hydrothermal route by systematically varying the reaction duration (6, 12, and 18 h) to elucidate [...] Read more.
Precise control over nanostructure evolution is critical for optimizing the electrochemical performance of pseudocapacitive materials. In this work, Nb2O5 nanostructures were synthesized via a time-engineered hydrothermal route by systematically varying the reaction duration (6, 12, and 18 h) to elucidate its influence on structural development, charge storage kinetics, and supercapacitor performance. Structural and surface analyses confirm the formation of phase-pure monoclinic Nb2O5 with a stable Nb5+ oxidation state. Morphological investigations reveal that a 12 h reaction time produces hierarchically organized Nb2O5 architectures composed of nanograin-assembled spherical aggregates with interconnected porosity, providing optimized ion diffusion pathways and enhanced electroactive surface exposure. Electrochemical evaluation demonstrates that the NbO-12 electrode delivers superior pseudocapacitive behavior dominated by diffusion-controlled Nb5+/Nb4+ redox reactions, exhibiting high areal capacitance (5.504 F cm−2 at 8 mA cm−2), fast ion diffusion kinetics, low internal resistance, and excellent cycling stability with 85.73% capacitance retention over 12,000 cycles. Furthermore, an asymmetric pouch-type supercapacitor assembled using NbO-12 as the positive electrode and activated carbon as the negative electrode operates stably over a wide voltage window of 1.5 V, delivering an energy density of 0.101 mWh cm−2 with outstanding durability. This study establishes hydrothermal reaction-time engineering as an effective strategy for tailoring Nb2O5 nanostructures and provides valuable insights for the rational design of high-performance pseudocapacitive electrodes for advanced energy storage systems. Full article
(This article belongs to the Section Physical Chemistry at Nanoscale)
Show Figures

Figure 1

17 pages, 12774 KB  
Article
Study of Stibnite Dissolution in Nitric Acid in the Presence of Organic Acids
by Oleg Dizer, Yuri Shklyaev, Dmitry Golovkin, Kirill Karimov and Denis Rogozhnikov
Minerals 2026, 16(2), 125; https://doi.org/10.3390/min16020125 - 24 Jan 2026
Viewed by 252
Abstract
The nitric acid leaching of antimony from stibnite using organic (tartaric and citric) acids as complexing agents was investigated. Tartaric acid has been found to be a more effective complexing agent, providing up to 90% antimony recovery, while citric acid achieves 54% only. [...] Read more.
The nitric acid leaching of antimony from stibnite using organic (tartaric and citric) acids as complexing agents was investigated. Tartaric acid has been found to be a more effective complexing agent, providing up to 90% antimony recovery, while citric acid achieves 54% only. SEM and X-ray diffraction analysis showed tartaric acid to prevent antimony hydrolysis, preserving unreacted stibnite in the residue, while Sb4O4(OH)2(NO3)2 particles were formed in the system with citric acid. Kinetic calculations have revealed that the nitric acid leaching of antimony with the addition of tartaric acid is limited by internal diffusion (R2 > 0.94), the activation energy is 62.5 kJ/mol, and the empirical reaction orders for tartaric and nitric acids are 2.3 and 2.7, respectively. These data are confirmed by morphological and phase analyses, the mechanisms of action of organic acids have been substantiated, and a generalized kinetic equation describing the nitric acid leaching of antimony with the addition of tartaric acid is proposed. Full article
(This article belongs to the Section Mineral Processing and Extractive Metallurgy)
Show Figures

Figure 1

31 pages, 15772 KB  
Article
Effects of Diffusion Limitations and Partitioning on Signal Amplification and Sensitivity in Bienzyme Electrochemical Biosensors Employing Cyclic Product Conversion
by Romas Baronas and Karolis Petrauskas
Appl. Sci. 2026, 16(3), 1171; https://doi.org/10.3390/app16031171 - 23 Jan 2026
Viewed by 182
Abstract
In this study, the nonlinear and non-monotonic behavior of amperometric bienzyme biosensors employing an enzymatic trigger reaction is investigated analytically and computationally using a two-compartment model comprising an enzymatic layer and an outer diffusion layer. The trigger enzymatic reaction is coupled with a [...] Read more.
In this study, the nonlinear and non-monotonic behavior of amperometric bienzyme biosensors employing an enzymatic trigger reaction is investigated analytically and computationally using a two-compartment model comprising an enzymatic layer and an outer diffusion layer. The trigger enzymatic reaction is coupled with a cyclic electrochemical–enzymatic conversion (CEC) process. The model is formulated as a system of reaction–diffusion equations incorporating nonlinear Michaelis–Menten kinetics and interlayer partitioning effects. Exact steady-state analytical solutions for substrate and product concentrations, as well as for the output current, are obtained for specific cases of first- and zero-order reaction kinetics. At the transition conditions, biosensor performance is further analyzed numerically using the finite difference method. The CEC biosensor exhibits the highest signal gain when the first enzyme has low activity and the second enzyme has high activity; however, under these conditions, the response time is the longest. When the first enzyme possesses a higher substrate affinity (lower Michaelis constant) than the second, the biosensor demonstrates severalfold higher current and gain compared to the reverse configuration under identical diffusion limitations. Furthermore, increasing external mass transport resistance or interfacial partitioning can enhance the apparent signal gain. Full article
Show Figures

Figure 1

16 pages, 4050 KB  
Article
Performance of CuTiO3 Photocatalytic Oxidation for Treating Organic Peroxide Production Wastewater Under Visible Light
by Zichun Yan, Hongfu Li, Hao Yang and Shuo Li
Sustainability 2026, 18(2), 983; https://doi.org/10.3390/su18020983 - 18 Jan 2026
Viewed by 196
Abstract
To investigate the treatment performance of a CuTiO3 photocatalytic system for organic peroxide production wastewater under visible light, CuTiO3 powder prepared through the hydrothermal method was used for this experiment. The light absorption properties of the CuTiO3 catalyst were analyzed [...] Read more.
To investigate the treatment performance of a CuTiO3 photocatalytic system for organic peroxide production wastewater under visible light, CuTiO3 powder prepared through the hydrothermal method was used for this experiment. The light absorption properties of the CuTiO3 catalyst were analyzed using Uv-Vis diffuse reflectance spectroscopy (Uv-Vis DRS). The effects of the initial pH, photocatalyst dosage, light intensity, and reaction duration on the photocatalytic reaction were examined. Before and after the reaction, the changes in pollutant components in water were characterized via three-dimensional excitation–emission matrix fluorescence spectrometry (3D-EEM) and gas chromatography–mass spectrometry (GC-MS); the changes in the concentrations of some pollutants were analyzed via wavelength scanning. The results indicated that CuTiO3 has a good response to visible light. Under the optimized conditions (initial pH = 5, CuTiO3 dosage = 1.2 g/L, light intensity = 1300 W/m2, duration = 4 h), the COD removal rate reached 58%, and the B/C (BOD5/COD) ratio of wastewater increased from 0.112 to 0.221, demonstrating a good pretreatment effect. GC-MS analysis demonstrated significant degradation effects on amide and hydride substances. Radical capture experiments verified hydroxyl radicals as the dominant species in CuTiO3 photocatalysis. Visible-light photocatalysis using CuTiO3 provides an efficient pretreatment pathway for organic peroxide production wastewater. Full article
Show Figures

Figure 1

18 pages, 1527 KB  
Article
Optimization of Biodiesel Production from Waste Cooking Oil Using a Construction Industry Waste Cement as a Heterogeneous and Reusable Catalyst
by Jing Sun, Hongwei Chen, Hongjian Shen, Xiang Luo, Zezhou Lin and Honglei Zhang
Nanomaterials 2026, 16(2), 108; https://doi.org/10.3390/nano16020108 - 14 Jan 2026
Viewed by 353
Abstract
Biodiesel, which is a blend of fatty acid methyl esters (FAME), has garnered significant attention as a promising alternative to petroleum-based diesel fuel. Nevertheless, the commercial production of biodiesel faces challenges due to the high costs associated with feedstock and the non-recyclable homogeneous [...] Read more.
Biodiesel, which is a blend of fatty acid methyl esters (FAME), has garnered significant attention as a promising alternative to petroleum-based diesel fuel. Nevertheless, the commercial production of biodiesel faces challenges due to the high costs associated with feedstock and the non-recyclable homogeneous catalyst system. To address these issues, a solid catalyst derived from construction industry waste cement was synthesized and utilized for biodiesel production from waste cooking oil (WCO). The catalyst’s surface and physical characteristics were analyzed through various techniques, including Scanning Electron Microscopy-Energy Dispersive Spectroscopy (SEM-EDS), X-ray diffraction (XRD), X-ray photoelectron spectroscopy (XPS), and Fourier Transform Infrared Spectroscopy (FTIR). The waste-cement catalyst demonstrated remarkable catalytic performance and reusability in the transesterification of WCO with methanol for biodiesel synthesis. A maximum biodiesel yield of 98.1% was obtained under the optimal reaction conditions of reaction temperature 65 °C; methanol/WCO molar ratio 16:1; calcined cement dosage 3 g; and reaction time 8 h. The apparent activation energy (Ea) from the reaction kinetic study is 35.78 KJ·mol−1, suggesting that the transesterification reaction is governed by kinetic control rather than diffusion. The biodiesel produced exhibited high-quality properties and can be utilized in existing diesel engines without any modifications. This research presents a scalable, environmentally benign pathway for WCO transesterification, thereby contributing significantly to the economic viability and long-term sustainability of the global biodiesel industry. Full article
Show Figures

Figure 1

40 pages, 5340 KB  
Review
Emerging Electrode Materials for Next-Generation Electrochemical Devices: A Comprehensive Review
by Thirukumaran Periyasamy, Shakila Parveen Asrafali and Jaewoong Lee
Micromachines 2026, 17(1), 106; https://doi.org/10.3390/mi17010106 - 13 Jan 2026
Viewed by 486
Abstract
The field of electrochemical devices, encompassing energy storage, fuel cells, electrolysis, and sensing, is fundamentally reliant on the electrode materials that govern their performance, efficiency, and sustainability. Traditional materials, while foundational, often face limitations such as restricted reaction kinetics, structural deterioration, and dependence [...] Read more.
The field of electrochemical devices, encompassing energy storage, fuel cells, electrolysis, and sensing, is fundamentally reliant on the electrode materials that govern their performance, efficiency, and sustainability. Traditional materials, while foundational, often face limitations such as restricted reaction kinetics, structural deterioration, and dependence on costly or scarce elements, driving the need for continuous innovation. Emerging electrode materials are designed to overcome these challenges by delivering enhanced reaction activity, superior mechanical robustness, accelerated ion diffusion kinetics, and improved economic feasibility. In energy storage, for example, the shift from conventional graphite in lithium-ion batteries has led to the exploration of silicon-based anodes, offering a theoretical capacity more than tenfold higher despite the challenge of massive volume expansion, which is being mitigated through nanostructuring and carbon composites. Simultaneously, the rise of sodium-ion batteries, appealing due to sodium’s abundance, necessitates materials like hard carbon for the anode, as sodium’s larger ionic radius prevents efficient intercalation into graphite. In electrocatalysis, the high cost of platinum in fuel cells is being addressed by developing Platinum-Group-Metal-free (PGM-free) catalysts like metal–nitrogen–carbon (M-N-C) materials for the oxygen reduction reaction (ORR). Similarly, for the oxygen evolution reaction (OER) in water electrolysis, cost-effective alternatives such as nickel–iron hydroxides are replacing iridium and ruthenium oxides in alkaline environments. Furthermore, advancements in materials architecture, such as MXenes—two-dimensional transition metal carbides with metallic conductivity and high volumetric capacitance—and Single-Atom Catalysts (SACs)—which maximize metal utilization—are paving the way for significantly improved supercapacitor and catalytic performance. While significant progress has been made, challenges related to fundamental understanding, long-term stability, and the scalability of lab-based synthesis methods remain paramount for widespread commercial deployment. The future trajectory involves rational design leveraging advanced characterization, computational modeling, and machine learning to achieve holistic, system-level optimization for sustainable, next-generation electrochemical devices. Full article
Show Figures

Figure 1

21 pages, 7900 KB  
Article
Mechanisms and Multi-Field-Coupled Responses of CO2-Enhanced Coalbed Methane Recovery in the Yanchuannan and Jinzhong Blocks Toward Improved Sustainability and Low-Carbon Reservoir Management
by Hequn Gao, Yuchen Tian, Helong Zhang, Yanzhi Liu, Yinan Cui, Xin Li, Yue Gong, Chao Li and Chuncan He
Sustainability 2026, 18(2), 765; https://doi.org/10.3390/su18020765 - 12 Jan 2026
Viewed by 268
Abstract
Supercritical CO2 modifies deep coal reservoirs through the coupled effects of adsorption-induced deformation and geochemical dissolution. CO2 adsorption causes coal matrix swelling and facilitates micro-fracture propagation, while CO2–water reactions generate weakly acidic fluids that dissolve minerals such as calcite [...] Read more.
Supercritical CO2 modifies deep coal reservoirs through the coupled effects of adsorption-induced deformation and geochemical dissolution. CO2 adsorption causes coal matrix swelling and facilitates micro-fracture propagation, while CO2–water reactions generate weakly acidic fluids that dissolve minerals such as calcite and kaolinite. These synergistic processes remove pore fillings, enlarge flow channels, and generate new dissolution pores, thereby increasing the total pore volume while making the pore–fracture network more heterogeneous and structurally complex. Such reservoir restructuring provides the intrinsic basis for CO2 injectivity and subsequent CH4 displacement. Both adsorption capacity and volumetric strain exhibit Langmuir-type growth characteristics, and permeability evolution follows a three-stage pattern—rapid decline, slow attenuation, and gradual rebound. A negative exponential relationship between permeability and volumetric strain reveals the competing roles of adsorption swelling, mineral dissolution, and stress redistribution. Swelling dominates early permeability reduction at low pressures, whereas fracture reactivation and dissolution progressively alleviate flow blockage at higher pressures, enabling partial permeability recovery. Injection pressure is identified as the key parameter governing CO2 migration, permeability evolution, sweep efficiency, and the CO2-ECBM enhancement effect. Higher pressures accelerate CO2 adsorption, diffusion, and sweep expansion, strengthening competitive adsorption and improving methane recovery and CO2 storage. However, excessively high pressures enlarge the permeability-reduction zone and may induce formation instability, while insufficient pressures restrict the effective sweep volume. An optimal injection-pressure window is therefore essential to balance injectivity, sweep performance, and long-term storage integrity. Importantly, the enhanced methane production and permanent CO2 storage achieved in this study contribute directly to greenhouse gas reduction and improved sustainability of subsurface energy systems. The multi-field coupling insights also support the development of low-carbon, environmentally responsible CO2-ECBM strategies aligned with global sustainable energy and climate-mitigation goals. The integrated experimental–numerical framework provides quantitative insight into the coupled adsorption–deformation–flow–geochemistry processes in deep coal seams. These findings form a scientific basis for designing safe and efficient CO2-ECBM injection strategies and support future demonstration projects in heterogeneous deep coal reservoirs. Full article
Show Figures

Figure 1

Back to TopTop