Sign in to use this feature.

Years

Between: -

Subjects

remove_circle_outline
remove_circle_outline
remove_circle_outline
remove_circle_outline
remove_circle_outline
remove_circle_outline
remove_circle_outline
remove_circle_outline
remove_circle_outline

Journals

remove_circle_outline
remove_circle_outline
remove_circle_outline
remove_circle_outline
remove_circle_outline
remove_circle_outline
remove_circle_outline
remove_circle_outline
remove_circle_outline
remove_circle_outline
remove_circle_outline
remove_circle_outline
remove_circle_outline
remove_circle_outline
remove_circle_outline
remove_circle_outline
remove_circle_outline
remove_circle_outline
remove_circle_outline

Article Types

Countries / Regions

remove_circle_outline
remove_circle_outline
remove_circle_outline
remove_circle_outline
remove_circle_outline
remove_circle_outline
remove_circle_outline

Search Results (2,110)

Search Parameters:
Keywords = raw material extraction

Order results
Result details
Results per page
Select all
Export citation of selected articles as:
40 pages, 4375 KB  
Article
Low-Processed Extracts from Peppermint Leaves (Mentha × piperita L.) as a Source of Polyphenols and Essential Oils: Evaluation of Green Solvents and Valorization of Post-Extraction Plant Material
by Radosław Kowalski, Klaudia Kałwa, Artur Mazurek and Grażyna Kowalska
Molecules 2026, 31(7), 1128; https://doi.org/10.3390/molecules31071128 (registering DOI) - 29 Mar 2026
Abstract
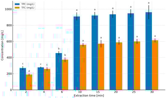
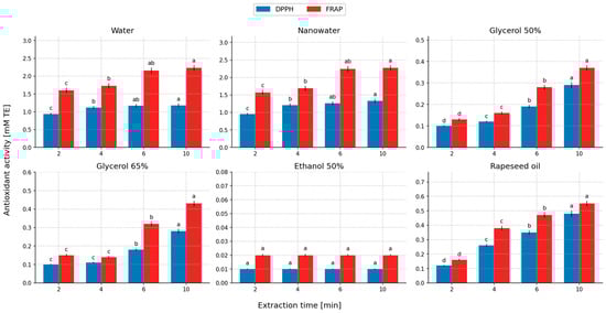
This study examines a low-processed, food-grade extraction concept for peppermint leaves (Mentha × piperita L.) using solvents consistent with the principles of green chemistry and an infusion-like protocol. Primary extraction (2–30 min; 50–100 °C) was carried out using water, plasma-treated nanowater, a [...] Read more.
This study examines a low-processed, food-grade extraction concept for peppermint leaves (Mentha × piperita L.) using solvents consistent with the principles of green chemistry and an infusion-like protocol. Primary extraction (2–30 min; 50–100 °C) was carried out using water, plasma-treated nanowater, a glycerol–water mixture (65%), an ethanol–water mixture (50%; at room temperature and at 50 °C), and rapeseed oil. To evaluate the potential use of biomass within a circular economy model, the residue remaining after the first extraction was subjected to secondary extraction under identical time–temperature conditions. Primary and secondary extracts were characterized in terms of total phenolic content (TPC), total flavonoid content (TFC), essential oil (EO) recovery, and antioxidant activity (DPPH and FRAP), and extraction yields were expressed relative to a 70% methanolic reference (TPC/TFC) and to the initial EO content in the plant material. Under the most favorable conditions (10 min; 100 °C; ethanol–water at 50 °C), the highest extraction yields of polar phytochemicals (TPC and TFC) were obtained with water and nanowater, whereas the ethanol–water mixture (50%) and rapeseed oil provided the greatest recovery of essential oil (up to complete depletion after the second extraction). Antioxidant activity showed a similar dependence on solvent type, with water and nanowater extracts exhibiting the highest DPPH/FRAP values. Importantly, secondary extraction contributed a substantial share of the total recovered bioactive compounds (often >30% of combined TPC/TFC), confirming that post-extraction residues remain a valuable raw material. The results support a practical, sequential strategy for designing peppermint extracts: aqueous and glycerol systems for phenolic-rich extracts, and ethanol and oil systems for essential-oil-enriched preparations, with secondary extraction enabling simple, low-energy biomass valorization. Full article
Show Figures

Figure 1

20 pages, 1611 KB  
Review
Pyrometallurgical Methods for Processing Lateritic Nickel Ores and Evaluation of Their Application for Processing Nickel Ores in Kazakhstan: A Review
by Yerbol Shabanov, Yerlan Zhumagaliyev, Ablay Zhunusov, Maulen Jundibayev, Bauyrzhan Orynbayev, Ayim Seksenbayeva and Rysgul Adaibayeva
Appl. Sci. 2026, 16(7), 3308; https://doi.org/10.3390/app16073308 (registering DOI) - 29 Mar 2026
Abstract
The depletion of global reserves of high-quality sulfide nickel deposits, coupled with the steady growth of nickel demand, has led to increased interest in the processing of oxidized (lateritic) nickel ores, including deposits with significant resource potential in the Republic of Kazakhstan. This [...] Read more.
The depletion of global reserves of high-quality sulfide nickel deposits, coupled with the steady growth of nickel demand, has led to increased interest in the processing of oxidized (lateritic) nickel ores, including deposits with significant resource potential in the Republic of Kazakhstan. This paper provides an overview of global nickel ore reserves and their distribution, as well as the major nickel deposits in Kazakhstan, which are primarily located in the Aktobe, East Kazakhstan, Kostanay, and Pavlodar regions. Pyrometallurgical processing routes for lateritic nickel ores are also considered. Conventional production technologies, including the Rotary Kiln–Electric Furnace (RKEF), Krupp–Renn process, blast furnace smelting, Vaniukov process, and ISASMELT process, are reviewed, and their process flow diagrams are presented. These methods typically process lateritic nickel ores containing more than 1.2% Ni, whereas Kazakhstan ores are characterized by lower nickel grades, generally in the range of 0.75–1.1%. The advantages and limitations of conventional processing routes are analyzed, and the factors limiting the effective beneficiation of lateritic nickel ores using traditional methods are identified. The present study substantiates the feasibility of producing nickel-containing alloys from lateritic nickel ores using a metallothermic reduction approach. This method is based on the reduction of nickel and iron oxides using metallic reductants, which enables more selective extraction of target components and the formation of alloys with controlled composition. Metallothermic reduction is of particular interest for the processing of low-grade lateritic ores, as it allows the production of nickel-containing alloys without prior beneficiation, at lower energy consumption, and with reduced sensitivity to variations in the chemical and mineralogical composition of the raw materials. Therefore, this approach is considered a promising direction for the processing of lateritic nickel ores in Kazakhstan. Full article
Show Figures

Figure 1

20 pages, 1151 KB  
Article
Response Surface Methodology-Optimized Ultrasonic-Assisted Extraction Combined with Folin–Ciocalteu Assay for Total Polyphenol Determination in Grape Seeds: Development and Application
by Chujun Li, Ruiqi Liu, Linlin Meng, Yuxin Meng, Shuang Xu, Xin Wang, Lihong Wang, Tao Lan and Tong Zhou
Appl. Sci. 2026, 16(7), 3306; https://doi.org/10.3390/app16073306 (registering DOI) - 29 Mar 2026
Abstract
A robust Folin–Ciocalteu method, coupled with an optimized ultrasonic-assisted extraction, was established for accurate quantification of total polyphenols in high-oil grape seed matrices, where lipid interference and low extraction efficiency have been persistent challenges. Samples were first defatted with n-hexane to eliminate lipid [...] Read more.
A robust Folin–Ciocalteu method, coupled with an optimized ultrasonic-assisted extraction, was established for accurate quantification of total polyphenols in high-oil grape seed matrices, where lipid interference and low extraction efficiency have been persistent challenges. Samples were first defatted with n-hexane to eliminate lipid interference. Key colorimetric parameters—Folin–Ciocalteu reagent volume, Na2CO3 concentration, reaction temperature, and time—were systematically optimized and validated for linearity, precision, and recovery. Subsequently, using defatted grape seed powder as the raw material, a four-factor, three-level Box–Behnken design combined with response surface methodology was employed to optimize the four extraction parameters: solid-to-liquid ratio, ethanol concentration, extraction temperature, and extraction time. The optimal conditions were 0.5 mL of Folin–Ciocalteu reagent, 20% Na2CO3, and reaction at 30 °C for 2.0 h, yielding a linear calibration curve (R2 = 0.9991) with satisfactory methodological validation. Optimal extraction (52% ethanol, 1:50 w/v, 68 °C, 21 min) achieved a total polyphenol content of 2.93 × 104 mg·kg−1, closely matching the predicted value (relative error = 0.34%). Analysis of seven grape seed varieties from the Hebei Province revealed significant content variation (p < 0.05), ranging from 3.24 to 7.47 × 104 mg·kg−1, with Rose grape seeds exhibiting the highest level. The developed method effectively overcame matrix interference from high oil content, offering a reliable, efficient tool for screening high-polyphenol grape seed varieties and supporting the development of value-added functional products. Full article
18 pages, 1643 KB  
Article
Root-Derived Flammulina velutipes Polysaccharides Improve Myofibrillar Protein Stability and Maintain Catfish Surimi Quality During Freeze–Thaw Cycling
by Ruiying Chen, Ning He, Xiaodong Li, Yu Zhan, Xin Zhang and Yingchun Zhu
Gels 2026, 12(4), 285; https://doi.org/10.3390/gels12040285 (registering DOI) - 28 Mar 2026
Abstract
Frozen surimi, a commonly used raw material in processed aquatic products, is vulnerable to repeated freeze–thaw fluctuations that accelerate protein denaturation and quality loss. In this study, root-derived Flammulina velutipes polysaccharides (FVPs) were extracted from the root-like portion of enoki mushroom, and surimi [...] Read more.
Frozen surimi, a commonly used raw material in processed aquatic products, is vulnerable to repeated freeze–thaw fluctuations that accelerate protein denaturation and quality loss. In this study, root-derived Flammulina velutipes polysaccharides (FVPs) were extracted from the root-like portion of enoki mushroom, and surimi supplemented with 2% FVP and a blank control (CK) were stored at −18 °C and subjected to a total of five freeze–thaw cycles. The effects of FVP on myofibrillar protein (MP) characteristics and the storage quality of catfish surimi during the freeze–thaw cycles were analyzed. Compared with CK, FVP markedly alleviated the deterioration of water-holding capacity, gel strength, and MP solubility throughout freeze–thaw cycling. It also effectively inhibited the increase in thiobarbituric acid reactive substance (TBARS) values and MP aggregation and delayed the rate of decrease in the storage modulus (G′) and loss modulus (G″) of surimi. Additionally, low-field nuclear magnetic resonance (LF-NMR) further showed that FVP limited the conversion of immobilized water to free water, indicating enhanced water retention under repeated freeze–thaw stress. Fourier transform infrared spectroscopy (FTIR) and scanning electron microscopy (SEM) analyses revealed that FVP stabilized the secondary structure of MPs, making the microstructure of surimi more uniform and compact. The results of this study indicate that FVP exhibited significant cryoprotective effects during freeze–thaw cycles of surimi relative to the untreated control group, providing a theoretical basis for its potential application in aquatic product storage. Full article
(This article belongs to the Special Issue Research and Application of Edible Gels)
Show Figures

Figure 1

23 pages, 5529 KB  
Article
Sustainable Foam-like Carbon as a Flexible Radar Absorbing Material
by D. E. Flórez-Vergara, B. H. K. Lopes, A. F. N. Boss, G. F. B. Lenz e Silva, G. Amaral-Labat and M. R. Baldan
Processes 2026, 14(7), 1082; https://doi.org/10.3390/pr14071082 - 27 Mar 2026
Abstract
In this work, a flexible and sustainable radar-absorbing material (RAM) based on porous carbon derived from raw Kraft black liquor was developed. The porous carbon filler was synthesized through a simple, eco-friendly one-pot polymerization route, thereby avoiding lignin extraction, purification, and chemical activation [...] Read more.
In this work, a flexible and sustainable radar-absorbing material (RAM) based on porous carbon derived from raw Kraft black liquor was developed. The porous carbon filler was synthesized through a simple, eco-friendly one-pot polymerization route, thereby avoiding lignin extraction, purification, and chemical activation steps. Macroporosity was introduced by using poly(methyl methacrylate) microspheres as a hard template, yielding a lightweight carbon material with a foam-like morphology, low density, and high porosity. The carbon filler was incorporated into a silicone rubber matrix at different loadings (5–25 wt.%) to produce flexible composites. The structural, morphological, and textural properties of porous carbon were investigated by SEM, EDX, Raman spectroscopy, nitrogen adsorption, and mercury porosimetry. The electromagnetic properties of composites were measured in the X-band (8.2–12.4 GHz) using a vector network analyzer. The mechanical behavior was evaluated through Young’s modulus. The results show that increasing filler content enhances dielectric losses and attenuation capability. Among all composites, the sample containing 20 wt.% of porous carbon exhibited the best electromagnetic performance, achieving a reflection loss of −42.3 dB at 10.97 GHz with a thickness of 2.43 mm, corresponding to an absorption efficiency of 99.99%. This performance is attributed to a favorable combination of impedance matching and quarter-wavelength cancellation effects. The developed sustainable, lightweight, and flexible composites demonstrate potential as low-cost RAM for aerospace and electromagnetic interference mitigation applications. Full article
(This article belongs to the Section Materials Processes)
Show Figures

Figure 1

14 pages, 1111 KB  
Proceeding Paper
Environmental Impact and Recycling Routes of Rare Earth Elements in Permanent Magnets of Electric Machines for Industrial and Automotive Applications: A Systematic Review
by Giulia Cortina, Maurizio Guadagno, Lorenzo Berzi and Massimo Delogu
Eng. Proc. 2026, 131(1), 11; https://doi.org/10.3390/engproc2026131011 - 27 Mar 2026
Abstract
This study presents a systematic literature review on the environmental impact of industrial applications of Rare Earth Elements (REEs), particularly those classified as Critical Raw Materials (CRMs), such as Neodymium alloys. These materials are key components of permanent magnets (PMs) used in electrical [...] Read more.
This study presents a systematic literature review on the environmental impact of industrial applications of Rare Earth Elements (REEs), particularly those classified as Critical Raw Materials (CRMs), such as Neodymium alloys. These materials are key components of permanent magnets (PMs) used in electrical machines, including automotive applications, wind turbine generators, and various consumer electronics. A structured methodology began with a comprehensive search across multiple scientific databases utilizing primary and secondary keywords. Studies were selected through a multi-step process, including screening by title, abstract, and full-text review, ensuring the inclusion of relevant and high-quality research. This approach allowed for a rigorous and reproducible assessment of the literature. The review was conducted to address two central issues: the main environmental impacts of using rare earths in permanent magnets for electric motors, and the role of recycling and reuse strategies in reducing them. The review summarizes current knowledge on the life cycle environmental impacts of REEs, from extraction to end-of-life management, highlighting opportunities and challenges in recycling and reuse. While recycling can partially reduce environmental impact, significant gaps remain in efficiency and large-scale feasibility. The literature also emphasizes the substantial impacts of REEs in permanent magnets, including resource depletion, energy use, and emissions. Overall, the study highlights the need to integrate environmental considerations into the design and management of REE-containing systems and identifies research gaps to support more sustainable and efficient materials management. Full article
Show Figures

Figure 1

19 pages, 4590 KB  
Article
Recovery Potential of Critical Rare Earth Elements from Coal Preparation Tailings: A Case Study of the Abayskaya Mine
by Gulnara Katkeeva, Ilyas Oskembekov, Yerlan Zhunussov, Zhamila Shaike, Baurzhan Kozhabekov, Dilara Gizatullina, Karakat Turebekova and Sultan Kabylkanov
Processes 2026, 14(7), 1040; https://doi.org/10.3390/pr14071040 - 25 Mar 2026
Viewed by 194
Abstract
Coal preparation tailings from the K18 seam of the Abayskaya mine were evaluated as a potential secondary source of critical rare earth elements (REEs). The study showed that REEs are predominantly associated with the mineral fraction of coal; therefore, during beneficiation, approximately 70% [...] Read more.
Coal preparation tailings from the K18 seam of the Abayskaya mine were evaluated as a potential secondary source of critical rare earth elements (REEs). The study showed that REEs are predominantly associated with the mineral fraction of coal; therefore, during beneficiation, approximately 70% of their total content is transferred to flotation tailings. The concentrations of valuable elements in the tailings are as follows (g/t): Li—65; Sc—16; Y—17; Yb—2.5; V—135; and Ti—2293. These values significantly exceed the Clarke values and are comparable to those of some low-grade primary ores, indicating the potential of coal preparation wastes as a technogenic raw material for critical elements. To extract REEs from the resistant aluminosilicate matrix, a fluorine–ammonium sulfate thermochemical activation method was proposed. Using a probabilistic–deterministic experimental design approach, a mathematical model of the process was developed and optimal parameters were determined (400 °C, 120 min, (NH4)2SO4 consumption—140% relative to Al, NH4HF2 consumption—110% relative to Si), providing a feed liberation degree (by Al extraction) of up to 94%. Under optimal conditions, high leaching efficiencies of key elements were achieved: Sc (95%), Y (100%), Yb (100%), and Li (100%). The results demonstrate the significant potential of coal preparation tailings as a secondary resource of rare earth elements and confirm the efficiency of fluorine–ammonium sulfate technology for processing this type of technogenic waste. Full article
(This article belongs to the Section Petroleum and Low-Carbon Energy Process Engineering)
Show Figures

Figure 1

17 pages, 3648 KB  
Article
Comparative Analysis of Surface Roughness and Wettability of Grey Poplar (Populus × canescens) and Spruce (Picea abies)
by Csilla Mária Csiha, Tibor László Alpár, László Németh and Endre Magoss
Forests 2026, 17(4), 400; https://doi.org/10.3390/f17040400 - 24 Mar 2026
Viewed by 106
Abstract
This study investigated the surface characteristics and wettability behaviour of grey poplar (Populus × canescens) compared with spruce (Picea abies) in order to evaluate its potential as an alternative raw material for bonded structural wood products. Surface roughness was [...] Read more.
This study investigated the surface characteristics and wettability behaviour of grey poplar (Populus × canescens) compared with spruce (Picea abies) in order to evaluate its potential as an alternative raw material for bonded structural wood products. Surface roughness was analysed on freshly planed radial surfaces using amplitude and functional roughness parameters, complemented by multivariate factor analysis and dynamic contact angle measurements. The results showed that grey poplar sapwood exhibited roughness values comparable to spruce (Ra ≈ 6–7 μm; Rz ≈ 35–40 μm). Grey poplar heartwood showed slightly higher roughness and greater variability, which can be attributed to its heterogeneous anatomical structure characterised by larger vessel elements and higher extractive content. Hybrid roughness parameters indicated favourable bonding-related surface characteristics in sapwood due to lower Rpk values, suggesting fewer protruding fibres, while higher Rvk values reflected the diffuse-porous anatomical structure of poplar. Static contact angle measurements revealed higher initial values for grey poplar (37.9° for heartwood and 41.9° for sapwood) compared with spruce (31.7°), indicating lower initial wettability with polar liquids. However, dynamic measurements demonstrated faster early-stage spreading in grey poplar heartwood (Δθ = 26.1° within the first second) compared with sapwood (16.8°) and spruce (17.5°), suggesting that vessel-driven capillary uptake may facilitate liquid penetration once wetting begins. Overall, the results indicate that grey poplar—particularly its sapwood fraction—exhibits surface characteristics comparable to spruce after planing. Despite slightly lower initial wettability, its spreading behaviour and surface morphology indicate favourable conditions for adhesive interaction. These findings support the potential use of grey poplar as an alternative raw material for laminated structural products such as glulam or bonded panels, provided that adhesive application parameters are properly adjusted. Full article
Show Figures

Figure 1

16 pages, 2398 KB  
Article
Flow Analysis of Construction Materials and Environmental Transition Pathways to Decarbonize Residential Buildings
by Tasnim Khalaili and Azzam Abu-Rayash
Buildings 2026, 16(7), 1277; https://doi.org/10.3390/buildings16071277 - 24 Mar 2026
Viewed by 216
Abstract
Rapid urbanization and global growth have made sustainable infrastructure a dire necessity. In hot arid regions, rising heat index levels intensify cooling demand and accelerate construction activity. Reducing emissions from concrete is critical to mitigate climate change. This study integrates BIM in Revit [...] Read more.
Rapid urbanization and global growth have made sustainable infrastructure a dire necessity. In hot arid regions, rising heat index levels intensify cooling demand and accelerate construction activity. Reducing emissions from concrete is critical to mitigate climate change. This study integrates BIM in Revit with EC3 to quantify GWP and total use of renewable/non-renewable primary resources at the product stage. A residential building is used to evaluate variations in environmental performance across multiple material scenarios (carbon intensive, energy transition, and green scenarios). Results reveal substantial differences in embodied carbon across scenarios. The carbon intensive scenario accounts for a total GWP of 649 tCO2e, while the green scenario reduces emissions to 381 tCO2e, which represents a reduction of 42%. Walls and floors are identified as the dominant contributors to embodied carbon due to high concrete volumes, with raw material extraction accounting for the largest share of emissions. Substituting conventional concrete walls with lightweight concrete walls reduces the total GWP by 28%. In addition, planed timber exhibits near zero emissions due to biogenic carbon storage and shows the highest renewable primary energy use among assessed materials. The proposed framework provides a practical approach for evaluating embodied carbon emissions and supports informed material selection for more sustainable building design. Full article
(This article belongs to the Section Building Materials, and Repair & Renovation)
Show Figures

Figure 1

20 pages, 1013 KB  
Article
Upcycling Roman Chamomile Hydrolate and Apple Pomace Agri-Wastes into Sustainable Cosmetic Ingredients
by Kamil Szymczak, Agnieszka Krajewska, Małgorzata Grzyb, Iga Jodłowska, Katarzyna Mietlińska and Radosław Bonikowski
Antioxidants 2026, 15(3), 380; https://doi.org/10.3390/antiox15030380 - 18 Mar 2026
Viewed by 245
Abstract
The aim of this study was to evaluate the potential of selected agri-food by-products—apple pomace extract from Malus domestica cv. ‘Grochówka’ and Roman chamomile (Chamaemelum nobile L.) hydrolate—as functional, sustainable ingredients for cosmetic applications. The work focused on their chemical composition, biological [...] Read more.
The aim of this study was to evaluate the potential of selected agri-food by-products—apple pomace extract from Malus domestica cv. ‘Grochówka’ and Roman chamomile (Chamaemelum nobile L.) hydrolate—as functional, sustainable ingredients for cosmetic applications. The work focused on their chemical composition, biological activity, formulation performance, and in vivo effects on skin condition. Volatile compounds, phenolic acids, and triterpenoids were analyzed by GC–MS, while total phenolic content, antioxidant capacity, and enzyme inhibitory activity were evaluated in vitro. An oil-in-water emulsion containing the by-products was formulated and, in a 14-day split-face study, assessed for its effects on skin hydration, elasticity, inflammation, sensitivity, pore visibility, and melanin index. Biochemical analyses have shown that chamomile hydrolate is characterized by very low antioxidant activity (DPPH 5.0 ± 1.25%, FRAP 0%) and weak protease inhibition (9.70 ± 1.84%). In contrast, apple extract contained a significant amount of polyphenols (23.94 ± 0.3 mg GAE/g) and showed strong antioxidant properties (DPPH 79.4 ± 2.12%, FRAP 70.56 ± 2.23%; IC50 = 21.5 ± 0.196 mg/mL), which confirms the dominant role of phenolic compounds in its biological activity. This extract also demonstrated significant protease inhibition (60.88 ± 2.35%; IC50 = 15.02 ± 0.47 mg/mL), while its lipase inhibition activity was moderate (10%), which may be beneficial from a cosmetic perspective. The obtained results indicate that apple extract is a valuable raw material with multifaceted biological potential. Overall, the results demonstrate that apple pomace extract and chamomile hydrolate can be effectively valorized as bioactive cosmetic ingredients, supporting both skin health benefits and circular economy principles in sustainable cosmetic formulation. Full article
Show Figures

Figure 1

18 pages, 1871 KB  
Review
Platinum Group Element Mineralization in Mongolia: Geological Setting, Occurrences, and Exploration Potential
by Jaroslav Dostal, Ochir Gerel and Turbold Sukhbaatar
Minerals 2026, 16(3), 317; https://doi.org/10.3390/min16030317 - 18 Mar 2026
Viewed by 165
Abstract
Platinum group elements (PGE) are six rare highly siderophile metals which have similar chemical characteristics and occur together in mineral deposits: platinum (Pt), palladium (Pd), rhodium (Rh), ruthenium (Ru), iridium (Ir) and osmium (Os). In nature, they tend to exist in a metallic [...] Read more.
Platinum group elements (PGE) are six rare highly siderophile metals which have similar chemical characteristics and occur together in mineral deposits: platinum (Pt), palladium (Pd), rhodium (Rh), ruthenium (Ru), iridium (Ir) and osmium (Os). In nature, they tend to exist in a metallic state or bond with sulfur and arsenic and occur as trace accessory minerals predominantly in mafic and ultramafic rocks. High industrial demand together with their scarcity in crustal rocks has been reflected in their inclusion in 2025 US Government’s List of Critical Minerals, European Union’s List of Critical Raw Materials and Mongolian List of 11 Critical Minerals. Although Mongolia is not currently a producer, it hosts four types of potentially economic PGE deposits: (1) Podiform chromitites associated with ophiolites; (2) Ni-Cu-PGE sulfide mineralization of rift-related mafic–ultramafic intrusions; (3) Alaskan–Uralian type arc related zoned mafic–ultramafic intrusions; and (4) Placers. Particularly promising are Permian Ni-Cu-PGE sulfide bearing mafic–ultramafic intrusions of the Khangai large igneous province which bear resemblance to mineralized Permian intrusions in Russia (e.g., Norilsk-Talnakh) and N.W. China (e.g., Kalatongke; Tarim basin). In addition, sub-economic ophiolite-hosted PGE mineralization can be extracted as a by-product during chromite mining. There is also the potential for PGE recovery as a by-product in existing gold placer operations in areas hosting ophiolitic massifs and Alaskan–Uralian type intrusions. Mongolia is a promising frontier for PGE exploration and mining. Full article
(This article belongs to the Special Issue Critical Metal Minerals, 2nd Edition)
Show Figures

Figure 1

16 pages, 2472 KB  
Article
Characteristics of Asphalt–Concrete Mixtures Produced by Hot Asphalt Recycling Using Thermal Energy from the Combustion of Waste Automobile Tires
by Andrey Akimov, Mikhail Lebedev, Valentina Yadykina, Natalia Kozhukhova and Marina Kozhukhova
J. Compos. Sci. 2026, 10(3), 160; https://doi.org/10.3390/jcs10030160 - 16 Mar 2026
Viewed by 301
Abstract
The use of resource-saving technology in road construction material production is a current problem, the solution of which will allow us to increase the environmental and economic efficiency of the road construction industry. Nowadays, secondary raw materials are widely used in highway construction, [...] Read more.
The use of resource-saving technology in road construction material production is a current problem, the solution of which will allow us to increase the environmental and economic efficiency of the road construction industry. Nowadays, secondary raw materials are widely used in highway construction, obtained both from the waste of old road construction materials and collected from other industries. During asphalt production, up to 90% of raw materials can be replaced by reclaimed asphalt pavement (RAP). This technology requires residual binder modification to reduce the negative impact on the technological and operational asphalt concrete properties. On the other hand, the use of rubber crumbs or granules obtained from the disposal of old car tires in asphalt–concrete mixtures is widespread. However, some types of car tires cannot be used as raw materials to produce an effective modifier. Truck tires and tires from special vehicles are suitable for use as a modifier for asphalt–concrete mixtures. Tires designed for passenger cars do not contain enough polymer. As an experiment on asphalt–concrete mixture production using secondary resources only, a testing facility was developed. The testing facility uses hot gas obtained by burning automobile tires in a special oven as a heat source. Rubber residues from the recycling of automobile tires are used as fuel, which cannot be used to produce rubber powder or granules. RAP obtained by cold milling of the pavements of city and public roads was used as the object of the research. When studying the characteristics of the asphalt–concrete-mixture-based binder, it was found that the sulfur compounds present in the composition of hot gases change the properties of the binder, leading to a serious deterioration in the technological characteristics of asphalt–concrete mixtures. The asphalt–concrete mixture obtained during RAP processing is characterized by a narrow temperature range in which it can be laid and compacted to the required density values. After laying the pavement, quality control revealed a significant variation (the number of air voids ranged from 0.8 to 5.5%) in the average density of samples taken from the compacted layer. In addition, there were significant violations of the longitudinal evenness of the finished coating. Experiments were carried out to extract the binder from asphalt–concrete mixtures before and after regeneration. The physico-mechanical and rheological characteristics were studied and qualitative analysis of the binder was realized by IR spectroscopy. The data obtained allow us to establish the mechanism of how sulfur-containing gases influence the bitumen binder’s properties in asphalt mixtures. Additionally, the features of thermo-oxidative degradation occurring during the hot recycling of asphalt–concrete mixtures were established. A justification is also given for the need to use anti-aging modifiers to restore the properties of the residual binder. Full article
(This article belongs to the Special Issue Advanced Asphalt Composite Materials)
Show Figures

Figure 1

21 pages, 3139 KB  
Article
Alginate–Arabinoxylan Composite Films with Enhanced Mechanical Strength and Functional Properties for Potential Food Packaging Use
by Gargi Dandegaonkar, Ali Nawaz, Parikshit Goswami and Chenyu Du
Foods 2026, 15(6), 1035; https://doi.org/10.3390/foods15061035 - 16 Mar 2026
Viewed by 275
Abstract
The concern about plastic pollution drives the exploration of sustainable and environmentally friendly packaging materials. Alginate is a renewable, edible feedstock extracted from seaweed, which has been used for preparing edible biofilms. The major limiting factor in alginate biofilms wider application is that [...] Read more.
The concern about plastic pollution drives the exploration of sustainable and environmentally friendly packaging materials. Alginate is a renewable, edible feedstock extracted from seaweed, which has been used for preparing edible biofilms. The major limiting factor in alginate biofilms wider application is that it is relatively weak in strength. This study explored a novel alginate composite biofilm prepared using alginate and maize bran derived arabinoxylans. In comparison with alginate alone, adding 2.5% w/w maize arabinoxylans increased the tensile strength of the film by 3.1 times. Using an optimized composition (2.5% alginate, 1% glycerol and 1.5% maize arabinoxylans), the tensile strength and elongation of the biofilm increased to 4.9 and 3.0 times that of alginate only biofilm to 6.88 ± 0.06 MPa and to 96.4 ± 9.9%, respectively. Interestingly, the water-holding capacity of biofilm increased from 5.5 times weight of water for 5 min for alginate alone biofilm to 27.6 times the weight of water for 50 min. When 0.5% clove essential oil was incorporated into the composite film, the biofilm exhibited excellent anti-microbial property, keeping raw meat free of bacteria for five days in both refrigerated and open environments. These results indicate that the alginate-based bio-composite film is a promising candidate for food packaging. Full article
Show Figures

Graphical abstract

11 pages, 3270 KB  
Article
Utilization of Secondary Copper Smelting Slags for Proppant Production
by Galymzhan Adilov, Bagdagul Uakhitova, Assylbek Abdirashit and Aldiyar Bazarbay
Metals 2026, 16(3), 328; https://doi.org/10.3390/met16030328 - 15 Mar 2026
Viewed by 190
Abstract
The accumulation of copper smelting slags generated by non-ferrous metallurgy represents both an environmental challenge and a potential source of technogenic raw materials for value-added products. In this study, the feasibility of producing magnesia–quartz proppants from secondary copper smelting slag formed after the [...] Read more.
The accumulation of copper smelting slags generated by non-ferrous metallurgy represents both an environmental challenge and a potential source of technogenic raw materials for value-added products. In this study, the feasibility of producing magnesia–quartz proppants from secondary copper smelting slag formed after the pyrometallurgical extraction of iron and zinc was investigated. The slag, primarily composed of oxides of the SiO2–CaO–Al2O3–MgO system, was processed by centrifugal melt granulation to obtain spherical granules suitable for proppant applications. The initial granules exhibited an amorphous glassy structure and insufficient mechanical strength, with up to 70% of particles destroyed under a pressure of 34.5 MPa. Controlled heat treatment within the temperature range of 300–1000 °C induced crystallization of silicate and aluminosilicate phases, leading to a significant improvement in mechanical performance. Optimal properties were achieved after holding at 800 °C for 60 min, where the fraction of crushed granules decreased to 10%, meeting the requirements of GOST R 54571-2011. The influence of MgO content on microstructure and strength was also examined. Increasing the MgO concentration from 5 to 16 wt.% resulted in grain refinement and improved crushing resistance, reducing the fraction of destroyed granules to 3%. To enhance chemical durability, a phenol–formaldehyde protective coating was applied, decreasing proppant solubility in a hydrochloric–hydrofluoric acid mixture from 19% to 2%. These results demonstrate that secondary copper smelting slag can serve as a promising raw material for producing standard-compliant proppants while contributing to the efficient utilization of metallurgical waste. Full article
Show Figures

Figure 1

28 pages, 5562 KB  
Article
Prospective Environmental Assessment of Citric Acid Production: An Integrated Framework of Ex-Ante LCA and Technological Learning
by Shuting Chen, Jin Wang, Ayueerguli Abuduniyazi, Mingjun Gao, Liming Dong, Guannan Liu and Suping Yu
Sustainability 2026, 18(6), 2848; https://doi.org/10.3390/su18062848 - 13 Mar 2026
Viewed by 341
Abstract
Citric acid (CA) necessitates the investigation of the environmental footprint from its production. This study compared three recovery technologies at different readiness levels, industrial calcium hydrogen salt precipitation–ion exchange (CHP-IE), pilot-scale solvent extraction (SE), and laboratory-scale bipolar membrane electrodialysis (BMED), to evaluate the [...] Read more.
Citric acid (CA) necessitates the investigation of the environmental footprint from its production. This study compared three recovery technologies at different readiness levels, industrial calcium hydrogen salt precipitation–ion exchange (CHP-IE), pilot-scale solvent extraction (SE), and laboratory-scale bipolar membrane electrodialysis (BMED), to evaluate the life cycle environmental impacts of CA production when employing each recovery technology. SE and BMED were selected as emerging alternatives, as both are potential candidates to offer environmental or economic advantages over CHP-IE. By modeling the continuous improvement in the key production parameters as cumulative production experience increases, technological learning curves capture the efficiency gains that occur as technologies mature. This study pioneers an integrated ex-ante LCA framework that couples technological learning curves with energy transition scenarios to prospectively compare emerging CA recovery technologies against an industrialized process. Currently, CHP-IE shows the highest profit of 1078 CNY/t CA and the lowest global warming potential (GWP) of 1.79 t CO2 eq/t CA, with the latter advantage projected to persist until 2030. By 2050, under deep decarbonization, BMED becomes the lowest-carbon option with 0.78 t CO2 eq/t CA. Furthermore, with maize as the primary raw material, improved cultivation models in Northeast China reduce the environmental impacts of CA production by approximately 3% in acidification potential (AP) and eutrophication potential (EP), while diversified cropping systems in North China yield reductions of over 50% in these two categories. This paper provides an approach of comprehensive evaluation, supporting technology selection and green supply chain development in the CA industry. Full article
(This article belongs to the Section Resources and Sustainable Utilization)
Show Figures

Figure 1

Back to TopTop