Sign in to use this feature.

Years

Between: -

Subjects

remove_circle_outline
remove_circle_outline
remove_circle_outline
remove_circle_outline
remove_circle_outline
remove_circle_outline
remove_circle_outline
remove_circle_outline
remove_circle_outline

Journals

Article Types

Countries / Regions

Search Results (37)

Search Parameters:
Keywords = raw and tap water

Order results
Result details
Results per page
Select all
Export citation of selected articles as:
12 pages, 1899 KB  
Article
Fractal Analysis of the Microstructure and Functional Properties of Milk Powders
by Katarzyna Kiełczewska, Michał Smoczyński, Elżbieta Haponiuk and Bogdan Dec
Appl. Sci. 2025, 15(18), 10281; https://doi.org/10.3390/app151810281 - 22 Sep 2025
Viewed by 907
Abstract
(1) Background: The impact of different drying methods on the functional properties and microstructure of milk powders was analyzed in this study. (2) Methods: Whole milk, skim milk, and buttermilk powders were obtained by freeze drying, spray drying, and roller drying. (3) Results: [...] Read more.
(1) Background: The impact of different drying methods on the functional properties and microstructure of milk powders was analyzed in this study. (2) Methods: Whole milk, skim milk, and buttermilk powders were obtained by freeze drying, spray drying, and roller drying. (3) Results: The examined powders differed in chemical composition, and these differences were attributed mainly to their fat content. The functional properties of the studied powders were determined mainly by the drying method and were less influenced by their composition. Loose and tapped bulk density was highest in roller-dried powders and lowest in freeze-dried powders. The flowability of milk powders was determined by calculating the Carr index and the Hausner ratio, and the results were used to classify the analyzed powders into the following groups: poorly flowing and cohesive (spray-dried samples), passable (roller-dried samples), and fair (freeze-dried samples). The volume of insoluble particles was highest in roller-dried powders and much lower in spray-dried powders, whereas freeze-dried powders were 99.8–99.9% soluble in water. Whole milk powder was characterized by low wettability (>180 s) regardless of the drying method. Powder morphology was influenced mainly by the drying method. (4) Conclusions: The fractal analysis demonstrated that spray-dried powders had the smallest fractal dimensions, which implies that their surface was least complex (most uniform). Regardless of the drying method, fractal dimensions were highest in whole milk powder, which could suggest that fat affects the microstructure of powders. The color parameters of milk powders were determined mainly by the drying method and were less influenced by the type of raw material used in powder production. Full article
Show Figures

Figure 1

23 pages, 1486 KB  
Article
Valorisation of Waste Oils Through Oleaginous Yarrowia lipolytica Yeast: Insights into Lipid Stability and Nutritive Properties of Lipid-Rich Biomass
by Agata Urszula Fabiszewska, Joanna Kobus, Magdalena Górnicka, Aleksandra Piotrowicz, Iga Piasecka and Dorota Nowak
Appl. Sci. 2025, 15(12), 6796; https://doi.org/10.3390/app15126796 - 17 Jun 2025
Cited by 3 | Viewed by 2494
Abstract
This study investigated the potential of Yarrowia lipolytica, an oleaginous yeast, for producing lipid-rich biomass and its application in food technology. According to EFSA guidelines, lipid-rich biomass is recognized as a novel food with potential nutritional and technological value. However, cost-effective and [...] Read more.
This study investigated the potential of Yarrowia lipolytica, an oleaginous yeast, for producing lipid-rich biomass and its application in food technology. According to EFSA guidelines, lipid-rich biomass is recognized as a novel food with potential nutritional and technological value. However, cost-effective and scalable production of such biomass remains a challenge. The yeast was cultured in a nitrogen-limited medium using a cost-containment strategy based on the use of waste carbon sources, such as post-frying oil and untreated tap water. The composed batch culture approach studied in the experiments presented an example that reduces the cost of yeast biomass biosynthesis. This research aimed to characterize the biomass to assess its nutritional quality and suitability for food applications. Cultures were conducted in a laboratory bioreactor with a working volume of 4 litres. Key kinetic parameters were determined, including biomass yield (X), maximum lipid concentration (Lmax), lipid yield, protein yield relative to substrate and the specific rate of lipid synthesis or protein content and other cellular components. The biomass of Y. lipolytica demonstrated a high lipid content (39.43–50.53%), with significant levels of protein (24.16–27.03%) and unsaturated fatty acids, including oleic acid (62.73–66.44%) and linoleic acid (19.40–21.40%). Lipid-rich biomass produced in cultures with shorter times (20 h), which ended in the logarithmic growth phase, exhibited lower oxidative stability than longer cultures (65 h), which ended in the stationary growth phase. The results of this study highlighted that waste carbon sources and untreated tap water did not significantly impact the biomass yield or the nutritional profile, but did affect the stability of the produced oil. The biomass of Y. lipolytica, containing over 20% lipids, could serve as a promising raw material for food technology, providing a sustainable alternative to traditional vegetable oils. This work makes an important contribution to the development of alternative lipid sources by integrating waste processing in bioreactor-scale culture and kinetic modelling. Full article
Show Figures

Figure 1

27 pages, 7088 KB  
Article
Effect of Calcined Marble Powder and Magnetized Water on the Performance of Cement-Based Composites
by Erdinc Halis Alakara, Ozer Sevim, Gazi Günel and İlhami Demir
Appl. Sci. 2024, 14(24), 11923; https://doi.org/10.3390/app142411923 - 20 Dec 2024
Cited by 2 | Viewed by 1392
Abstract
This study explores the transformative impact of substituting cement with raw marble powder (RMP) and calcined marble powder (CMP) at varying levels (0%, 5%, 10%, 15%, 20%, and 25%) on the physical and mechanical properties of cement-based composites. Additionally, the influence of two [...] Read more.
This study explores the transformative impact of substituting cement with raw marble powder (RMP) and calcined marble powder (CMP) at varying levels (0%, 5%, 10%, 15%, 20%, and 25%) on the physical and mechanical properties of cement-based composites. Additionally, the influence of two different mixing waters—tap water (TW) and magnetized water (MW)—was assessed to determine their combined effects on the composite performance. The evaluation encompassed fresh properties (initial and final setting times, and consistency) and hardened properties (flexural strength (ffs), compressive strength (fcs), ultrasonic pulse velocity (UPV), water absorption, porosity, and unit weight) of the composites. The results reveal that CMP-substituted composites significantly outperformed RMP-based counterparts across all indices. Notably, CMP-substituted mortars produced with TW showed a 10.8% to 15.8% increase in 28-day fcs values compared to RMP-substituted mortars, while those prepared with MW exhibited 7.8% to 10.9% higher fcs values than TW-prepared samples. A microstructural analysis via SEM indicated that CMP enhances hydration and microstructure densification, resulting in improved mechanical performance and durability. Overall, the combination of CMP and MW demonstrated a superior potential for producing eco-friendly, high-performance cementitious composites, supporting sustainable construction practices through significant material savings and environmental benefits. Full article
(This article belongs to the Section Civil Engineering)
Show Figures

Figure 1

11 pages, 2242 KB  
Article
Tracking Microplastics Contamination in Drinking Water Supply Chain in Haikou, China: From Source to Household Taps
by Xiangxiang Li, Yihan Yu, Mei Yang, Shaobai Wen and Jun Zhang
Toxics 2024, 12(11), 793; https://doi.org/10.3390/toxics12110793 - 30 Oct 2024
Viewed by 2074
Abstract
The presence of microplastics (MPs) in aquatic environments has become a significant global concern due to their potential adverse effects on human health. This study aimed to investigate the contamination of MPs throughout the drinking water supply chain in Haikou City, China, and [...] Read more.
The presence of microplastics (MPs) in aquatic environments has become a significant global concern due to their potential adverse effects on human health. This study aimed to investigate the contamination of MPs throughout the drinking water supply chain in Haikou City, China, and to conduct risk assessments regarding the relationship between MPs contamination and human health. The results revealed that the abundance of MPs in raw, treated, and tap water was 0.6 ± 0.6, 5.2 ± 2.7, and 1.2 ± 1.1 particles·L−1, respectively. Fragments were identified as the most prevalent shape across all samples, with the size category of 20–50 μm showing the highest abundance of MPs. Among the 11 types of polymers identified, polyethylene and polypropylene accounted for 50% and 29%, respectively. The potential risk index values were significantly higher for treated water (370.26) and tap water (303.85) compared to raw water (13.46), suggesting that plastic pipes may be a key contributor to MPs contamination in drinking water. Therefore, efforts should be directed toward developing pipes with low release rates of MPs, as well as improving detection methods for smaller particles and accurately assessing associated risks. Full article
(This article belongs to the Section Emerging Contaminants)
Show Figures

Graphical abstract

14 pages, 2326 KB  
Article
Microplastic Transportation in a Typical Drinking Water Supply: From Raw Water to Household Water
by Xiangying Sun, Yunjie Zhu, Lihui An, Yan Liu, Yin Zhuang, Yubang Wang, Mingdong Sun and Qiujin Xu
Water 2024, 16(11), 1567; https://doi.org/10.3390/w16111567 - 30 May 2024
Cited by 16 | Viewed by 4769
Abstract
Microplastics in drinking water have attracted increasing global concerns due to their potential adverse impacts on human health. However, there needs to be more knowledge of the occurrence and distribution of microplastics in drinking water systems from water sources to household tap water. [...] Read more.
Microplastics in drinking water have attracted increasing global concerns due to their potential adverse impacts on human health. However, there needs to be more knowledge of the occurrence and distribution of microplastics in drinking water systems from water sources to household tap water. Herein, laser direct infrared spectroscopy is used to investigate the occurrence of microplastics in a typical drinking water plant with different water sources. Microplastic information is further used to understand microplastic fates during drinking water supply, including microplastic abundance, size, shape, and polymer type. Overall, the microplastic abundance in treated water ranges from 12.00 to 25.33 particles/L, higher than those in raw water (RW; 2.33–17.33 particles/L) and household water (HW; 8.00–19.67 particles/L), which shows that microplastics are not removed from RW. The main polymers in these microplastics are polyethylene terephthalate, polyvinyl chloride, polyethylene, and polypropylene. At the same time, the main microplastic shapes are fragments and fibers. Small-sized microplastics of 20–100 μm account for up to 76.74% and 79.30% of microplastics during the dry and wet seasons, respectively. Additionally, more microplastics are detected in RW from rivers than those from reservoirs and lakes, and the microplastic abundance in the wet season is higher than that in the dry season. As expected, the potential ecological risk of microplastics in all waters is the I level, which is the lowest level. Most importantly, the annual microplastic intake of an adult via drinking water is 5063–18,301 microplastics, less than that reported in previous studies. These results provide valuable data on the fates of microplastics in drinking water supply systems from water sources to HW and promote authorities to update the treatment technologies for drinking water in the future to remove microplastics efficiently. Full article
(This article belongs to the Section Urban Water Management)
Show Figures

Figure 1

19 pages, 3074 KB  
Article
Impact of the Drying Procedure and Botanical Origin on the Physico-Chemical and Potentially Bioactive Properties of Honey Powders
by Leire Cantero, Lara González-Ceballos, Saúl Vallejos, Guillermo Puertas, Miguel A. Fernández-Muiño, M. Teresa Sancho and Sandra M. Osés
Foods 2023, 12(21), 3990; https://doi.org/10.3390/foods12213990 - 31 Oct 2023
Cited by 6 | Viewed by 2480
Abstract
This study was aimed at researching the impact of the drying procedure (using the most appropriate honey–maltodextrin concentration for each drying technique) and botanical origin of honey on the physicochemical and potentially bioactive properties of honey powders that were made using maltodextrin as [...] Read more.
This study was aimed at researching the impact of the drying procedure (using the most appropriate honey–maltodextrin concentration for each drying technique) and botanical origin of honey on the physicochemical and potentially bioactive properties of honey powders that were made using maltodextrin as a carrier. The research was carried out with thyme, lavender, vetch and multifloral honey dehydrated using vacuum drying and freeze drying. The analysed parameters were moisture, water activity, colour, glass transition temperature, powder recovery, hygroscopic index and rate, tapped density, solubility, and phenolics as well as antiradical (ABTS•+, ROO, OH and O2•−), anti-inflammatory and antimicrobial (against Staphylococcus aureus, Escherichia coli and Listeria monocytogenes) activities. Freeze drying provided the highest recoveries. Powders obtained using freeze drying showed higher moisture and solubility as well as lower glass transition temperature, density and hygroscopicity than those obtained using vacuum drying. Hygroscopicity, glass transition temperature and antimicrobial activity against St. aureus depended on the drying procedure–honey concentration. Colour, anti-O2•− activity and antimicrobial activity against L. monocytogenes depended on the botanical origin of the raw honey. Moisture, solubility, density, total phenolic content, anti-ABTS•+ and anti-ROO activities as well as anti-inflammatory activity and antimicrobial activity against E. coli depended on the drying procedure–honey concentration and botanical origin. Full article
(This article belongs to the Section Food Physics and (Bio)Chemistry)
Show Figures

Figure 1

11 pages, 395 KB  
Article
Evaluation of Prevalence of Hepatitis E Clinical Markers among Donors in Estonia
by Tatiana Kuznetsova, Diana Moor, Gulara Khanirzayeva and Julia Geller
Viruses 2023, 15(10), 2118; https://doi.org/10.3390/v15102118 - 19 Oct 2023
Cited by 3 | Viewed by 2058
Abstract
Hepatitis E virus (HEV) is now considered the most common cause of acute hepatitis worldwide. There are no published data about the prevalence of antibodies to HEV and RNA in donor sera in Estonia, and this precludes planning measures for preventing HEV proliferation [...] Read more.
Hepatitis E virus (HEV) is now considered the most common cause of acute hepatitis worldwide. There are no published data about the prevalence of antibodies to HEV and RNA in donor sera in Estonia, and this precludes planning measures for preventing HEV proliferation through blood transfusion services. Here, were report data from an analysis of 1002 sera on the prevalence of anti-HEV IgG and IgM and the viral RNA. The antibodies were found in 48 donor sera (4.8%); of these, 40 (4%) harbored anti-HEV IgG, 15 (1.5%) contained anti-HEV IgM, and 7 donors had anti-HEV antibodies of both classes simultaneously. HEV RNA was not detected in any blood serum. Statistical associations of infection risk factors (gender, age, travel in the last six months, contact with pigs and/or wild boars in the last six months, consumption of thermally unprocessed/raw pork or boar meat, raw/unfiltered tap water or water from natural sources, unpasteurized farm dairy products, and unwashed berries and/or vegetables) were assessed. None of the listed factors were found to be associated with a higher or lower risk of anti-HEV antibody presence. At the same time, an increasing share of anti-HEV IgG carriers with age was found. The absence of HEV RNA in the analyzed donor plasma samples proves that HEV acute infection prevalence in Estonia does not exceed the average level of European countries. There is no urgent necessity to enter a requirement for a total screening of blood plasma for HEV RNA prevalence in Estonia. Full article
(This article belongs to the Special Issue Hepatitis E Virus (HEV) 2.0)
Show Figures

Figure 1

27 pages, 6959 KB  
Article
Optimal Synthesis of Novel Phosphonic Acid Modified Diatomite Adsorbents for Effective Removal of Uranium(VI) Ions from Aqueous Solutions
by Natalia Kobylinska, Oksana Dudarko, Agnieszka Gładysz-Płaska, Valentyn A. Tertykh and Marek Majdan
Materials 2023, 16(15), 5263; https://doi.org/10.3390/ma16155263 - 26 Jul 2023
Cited by 9 | Viewed by 2171
Abstract
The authors synthesized a series of functionalized diatomite-based materials and assessed their U(VI) removal performance. Phosphor-derivative-modified diatomite adsorbents were synthesized by the three-route procedures: polymerisation (DIT-Vin-PAin), covalent (DIT-Vin-PAcov), and non-covalent (DIT-PA) immobilization of the functional [...] Read more.
The authors synthesized a series of functionalized diatomite-based materials and assessed their U(VI) removal performance. Phosphor-derivative-modified diatomite adsorbents were synthesized by the three-route procedures: polymerisation (DIT-Vin-PAin), covalent (DIT-Vin-PAcov), and non-covalent (DIT-PA) immobilization of the functional groups. The effects of the diatomite modification have been studied using powder XRD, solid state NMR, FTIR spectroscopy, electronic microscopy, EDX, acid–base titrations, etc. The maximum adsorption capacities of DIT-Vin-PAcov, DIT-PA, and DIT-Vin-PAin samples were 294.3 mg/g, 253.8 mg/g, and 315.9 mg/g, respectively, at pH0 = 9.0. The adsorption amount of U(VI) ions using the prepared DIT-Vin-PAin was 95.63%, which is higher compared with that of the natural diatomite at the same concentration. The adsorption studies demonstrated that the phosphonic and hydroxyl groups on the surface of the diatomite played pivotal roles in the U(VI) adsorption. The U(VI) ions as a “hard” Lewis acid could easily form bonds with the “hard” donor P-containing ligands, so that the as-prepared DIT-Vin-PAin sample had excellent adsorption properties. The monolayer adsorption of the analyte on the surface of the raw diatomite and DIT-PA was observed. It was found from the thermodynamic parameters that the uptake of the U(VI) ions by the obtained adsorbents was a spontaneous process with an endothermic effect. Findings of the present work highlight the potential for using modified diatomite as effective and reusable adsorbents for the extraction of U(VI) in the waste, river, and tap waters with satisfactory results. Full article
Show Figures

Figure 1

19 pages, 3535 KB  
Article
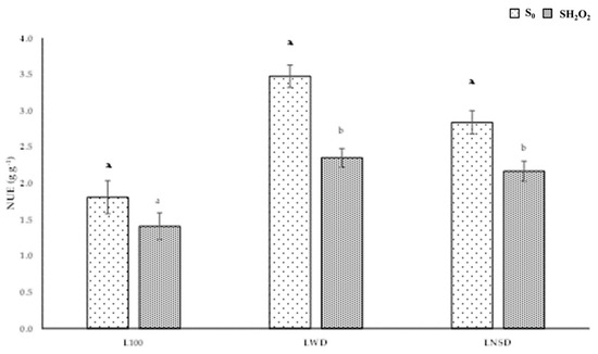
Sustainable Strategies Based on Reused Leachates and Hydrogen Peroxide Supply to Fertigate Cordyline fruticosa var. ‘Red Edge’ Plants
by Fernando Paniagua, Blanca María Plaza, Alfonso Llanderal, Pedro García-Caparrós and María Teresa Lao
Agriculture 2023, 13(7), 1326; https://doi.org/10.3390/agriculture13071326 - 28 Jun 2023
Viewed by 1732
Abstract
Leachate reuse is a helpful tool that contributes to the sustainability of agricultural systems, but it requires previous disinfection. Hydrogen peroxide can be found among the disinfectants frequently applied in ecological production systems. Moreover, it can improve the oxygenation of the root system. [...] Read more.
Leachate reuse is a helpful tool that contributes to the sustainability of agricultural systems, but it requires previous disinfection. Hydrogen peroxide can be found among the disinfectants frequently applied in ecological production systems. Moreover, it can improve the oxygenation of the root system. The objective of this work was to study its effect on C. fruticosa plants fertigated with leachates. A split-plot design with six treatments, three without an H2O2 supply (S0) and three with an H2O2 supply dosage at 2% (SH2O2), was arranged: raw leachate from C. lanatus (L100), raw leachate from C. lanatus diluted with tap water until EC of 2.5 dS m−1 (LWD), and raw leachate from C. lanatus diluted with standard nutrient solution until EC of 2.5 dS m−1 (LNSD). The results produced data about the evolution of the nutrient and leachate solutions throughout the cultivation period. Morphological (height, leaf number, leaf area, total fresh weight, relative water status, and dry weight) and physiological (chlorophyll a, chlorophyll b, carotenoids, chlorophyll a+b, and proline) parameters were studied to reveal the plant response. The efficiency of nutrient utilization was higher with the LWD treatment, and water and nitrogen utilization efficiency decreased under the H2O2 supply. In conclusion, the reuse of diluted leachate is advised for nutritionally undemanding crops, such as C. fruticosa; moreover, the H2O2 supply improved tolerance to salinity and enhanced root growth and Red-Green-Blue (RGB) values. Full article
(This article belongs to the Section Crop Production)
Show Figures

Figure 1

18 pages, 4906 KB  
Article
Strength Development and Durability of Metakaolin Geopolymer Mortars Containing Pozzolans under Different Curing Conditions
by Burak Işıkdağ and Mohammad Rahim Yalghuz
Minerals 2023, 13(7), 857; https://doi.org/10.3390/min13070857 - 24 Jun 2023
Cited by 15 | Viewed by 4073
Abstract
This study presents the strength development and durability of heat and non-heat-cured geopolymer mortars (GMs) produced using metakaolin (MK), ground granulated blast-furnace slag (GGBFS), silica fume (SF), ground calcined perlite (GCP), raw perlite (RP), potassium hydroxide (KOH), sodium metasilicate (Na2SiO3 [...] Read more.
This study presents the strength development and durability of heat and non-heat-cured geopolymer mortars (GMs) produced using metakaolin (MK), ground granulated blast-furnace slag (GGBFS), silica fume (SF), ground calcined perlite (GCP), raw perlite (RP), potassium hydroxide (KOH), sodium metasilicate (Na2SiO3), standard sand, and tap water. An optimal combination of MK with various pozzolans and constant solid/liquid and alkaline activator ratios were determined. It was found that the GMs, including MK and GGBFS with a 1.45 solid/liquid ratio and 2.0 alkaline activator ratio, resulted in compressive strength at 88 MPa. Analysis of GMs was performed using scanning electron microscopy (SEM), EDX (Energy Scattered X-ray Spectrophotometer), and X-ray diffraction (XRD). According to the results obtained, mainly alumino-silicate-based formation, potassium from KOH solution, and calcium from GGBFS were determined. The SEM images showed that the grains with high silica content, approximately 6–7 µm in size, are quartz crystals and embedded in the gel structure. The heat-cured GMs were exposed to MgSO4, Na2SO4, and HCl solutions for the durability tests. The strength of the heat-cured GMs was higher than the non-heat-cured GMs, and the durability of the heat-cured GMs was found as sufficient. The use of pozzolans in GMs resulted in improvements in terms of strength and durability. Full article
(This article belongs to the Special Issue Development in Geopolymer Materials and Applications)
Show Figures

Figure 1

14 pages, 2282 KB  
Article
Thermal Processing of Acidified Vegetables: Effect on Process Time-Temperature, Color and Texture
by Harsimar Singh and Hosahalli S. Ramaswamy
Processes 2023, 11(4), 1272; https://doi.org/10.3390/pr11041272 - 19 Apr 2023
Cited by 11 | Viewed by 8887
Abstract
The objective of this study was to compare the quality of low-acid vegetables conventionally thermal processed with those subjected to modified thermal processing following acidification to pH < 4.6. For conventional processing, a process lethality (Fo value) equivalent of 5 min at 121.1 [...] Read more.
The objective of this study was to compare the quality of low-acid vegetables conventionally thermal processed with those subjected to modified thermal processing following acidification to pH < 4.6. For conventional processing, a process lethality (Fo value) equivalent of 5 min at 121.1 °C (commercially sterilization) was used, while those that are acidified were pasteurized, such as acidic foods, to a lethality value of 10 min at 90 °C. Acidification was performed with citric acid by immersion of vegetables in an ultrasonic bath. The quality of raw, blanched, acidified, pasteurized and sterilized products were compared for color and textural characteristics. The acidified thermal processing yielded significantly better retained color and textural properties, almost similar to blanched vegetables, while those subjected to the conventional processing resulted in significant texture loss. The process temperatures were significantly lower, and corresponding process intensities were significantly less severe with the acidified thermal process, providing significant energy saving opportunities. The absorbed acid could easily be leached out by heating/holding the vegetables in tap water, if it was desired, to reduce the acidity level in the processed vegetables. There is significant current interest in acidified thermal processing of low acid- foods with quality retention being the main focus. While it is possible that some meat products may suffer quality loss, for vegetables, in general, the negative influence is significantly low, and the positive potential for quality retention, energy savings and process efficiency are very high. Full article
Show Figures

Figure 1

15 pages, 3415 KB  
Article
Time Series Data Preparation for Failure Prediction in Smart Water Taps (SWT)
by Nsikak Mitchel Offiong, Fayyaz Ali Memon and Yulei Wu
Sustainability 2023, 15(7), 6083; https://doi.org/10.3390/su15076083 - 31 Mar 2023
Cited by 3 | Viewed by 2058
Abstract
Smart water tap (SWT) time series model development for failure prediction requires acquiring data on the variables of interest to researchers, planners, engineers and decision makers. Thus, the data are expected to be ‘noiseless’ (i.e., without discrepancies such as missing data, data redundancy [...] Read more.
Smart water tap (SWT) time series model development for failure prediction requires acquiring data on the variables of interest to researchers, planners, engineers and decision makers. Thus, the data are expected to be ‘noiseless’ (i.e., without discrepancies such as missing data, data redundancy and data duplication) raw inputs for modelling and forecasting tasks. However, historical datasets acquired from the SWTs contain data discrepancies that require preparation before applying the dataset to develop a failure prediction model. This paper presents a combination of the generative adversarial network (GAN) and the bidirectional gated recurrent unit (BiGRU) techniques for missing data imputation. The GAN aids in training the SWT data trend and distribution, enabling the imputed data to be closely similar to the historical dataset. On the other hand, the BiGRU was adopted to save computational time by combining the model’s cell state and hidden state during data imputation. After data imputation there were outliers, and the exponential smoothing method was used to balance the data. The result shows that this method can be applied in time series systems to correct missing values in a dataset, thereby mitigating data noise that can lead to a biased failure prediction model. Furthermore, when evaluated using different sets of historical SWT data, the method proved reliable for missing data imputation and achieved better training time than the traditional data imputation method. Full article
Show Figures

Figure 1

18 pages, 3079 KB  
Article
Potential Use of Two Forest Species (Salix alba and Casuarina glauca) in the Rhizofiltration of Heavy-Metal-Contaminated Industrial Wastewater
by Malek Bousbih, Mohammed S. Lamhamedi, Mejda Abassi, Damase P. Khasa and Zoubeir Béjaoui
Forests 2023, 14(3), 654; https://doi.org/10.3390/f14030654 - 22 Mar 2023
Cited by 5 | Viewed by 3186
Abstract
The discharge of raw industrial wastewater (IWW) into ecosystems is a major environmental problem that adversely affects water quality, soil physicochemical properties, the food chain and, therefore, human health. Injection of treated IWW into irrigation and “fertigation” systems is an ecological, sustainable and [...] Read more.
The discharge of raw industrial wastewater (IWW) into ecosystems is a major environmental problem that adversely affects water quality, soil physicochemical properties, the food chain and, therefore, human health. Injection of treated IWW into irrigation and “fertigation” systems is an ecological, sustainable and economical approach for its appropriate disposal. Seedlings of two forest species (Salix alba, Casuarina glauca) were grown hydroponically and subjected to 25% diluted IWW and control (tap water) treatments for 35 days. Morphological and physiological traits were evaluated, including leaf symptoms, stem and root dry masses, leaf water potential, relative water content, chlorophyll content, photosystem II efficiency, hydrogen peroxide, thiobarbituric acid reactive substances, bioaccumulation and translocation factor estimates and removal efficiency for various heavy metals. Application of 25% IWW stress affected many aspects of plant morphology: chlorosis and necrosis in leaves, epinasty, leaf curling, early leaf senescence and root browning. In both species, the 25% IWW treatment reduced leaf, stem and root dry masses relative to controls. S. alba exhibited greater removal capacity for heavy metal ions and could be effective as a remediator of toxic-metal-polluted industrial effluent water. Full article
(This article belongs to the Special Issue Production in Forest Nurseries and Field Performance of Seedlings)
Show Figures

Figure 1

35 pages, 7170 KB  
Article
Aquaphotomic Study of Effects of Different Mixing Waters on the Properties of Cement Mortar
by Jelena Muncan, Satoshi Tamura, Yuri Nakamura, Mizuki Takigawa, Hisao Tsunokake and Roumiana Tsenkova
Molecules 2022, 27(22), 7885; https://doi.org/10.3390/molecules27227885 - 15 Nov 2022
Cited by 5 | Viewed by 4788
Abstract
The mixing water used for cement concrete has a significant effect on the physical properties of the material after hardening; however, other than the upper limit for the mixed impurities, not enough consideration has been given to the functions and characteristics of water [...] Read more.
The mixing water used for cement concrete has a significant effect on the physical properties of the material after hardening; however, other than the upper limit for the mixed impurities, not enough consideration has been given to the functions and characteristics of water at the molecular level. In this study, we investigated the effect of four different types of water (two spring-, mineral waters, tap water and distilled water) on the drying shrinkage of the hardened cement by comparing the material properties of the concrete specimens and analyzing the molecular structure of the water and cement mortar using aquaphotomics. The near infrared (NIR) spectra of waters used for mixing were acquired in the transmittance mode using a high-precision, high-accuracy benchtop spectrometer in the range of 400–2500 nm, with the 0.5 nm step. The NIR spectra of cement paste and mortar were measured in 6.2 nm increments in the wavelength range of 950 nm to 1650 nm using a portable spectrometer. The measurements of cement paste and mortar were performed on Day 0 (immediately after mixing, cement paste), 1 day, 3 days, 7 days, and 28 days after mixing (cement mortar). The spectral data were analyzed according to the aquaphotomics’ multivariate analysis protocol, which involved exploration of raw and preprocessed spectra, exploratory analysis, discriminating analysis and aquagrams. The results of the aquaphotomics’ analysis were interpreted together with the results of thermal and drying shrinkage measurements. Together, the findings clearly demonstrated that the thermal and drying shrinkage properties of the hardened cement material differed depending on the water used. Better mechanical properties were found to be a result of using mineral waters for cement mixing despite minute differences in the chemical content. In addition, the aquaphotomic characterization of the molecular structure of waters and cement mortar during the initial hydration reaction demonstrated the possibility to predict the characteristics of hardened cement at a very early stage. This provided the rationale to propose a novel evaluation method based on aquaphotomics for non-invasive evaluation and monitoring of cement mortar. Full article
(This article belongs to the Special Issue Aquaphotomics - Exploring Water Molecular Systems in Nature)
Show Figures

Figure 1

17 pages, 3982 KB  
Article
Study of Dyeing Process of Hemp/Cotton Fabrics by Using Natural Dyes Obtained from Rubia tinctorum L. and Calendula officialis
by Gabriela Mijas, Mariona Josa, Diana Cayuela and Marta Riba-Moliner
Polymers 2022, 14(21), 4508; https://doi.org/10.3390/polym14214508 - 25 Oct 2022
Cited by 11 | Viewed by 5366
Abstract
The objective of this work was to assess the possibility of dyeing a substrate composed of non-textile industrial hemp using natural dyes from common madder (Rubia Tinctorum L.) and calendula (Calendula Officialis) and tannin and alum as mordants. The substrate [...] Read more.
The objective of this work was to assess the possibility of dyeing a substrate composed of non-textile industrial hemp using natural dyes from common madder (Rubia Tinctorum L.) and calendula (Calendula Officialis) and tannin and alum as mordants. The substrate used for the dyeing had a 25/75 hemp/cotton composition. The hemp raw material is an agricultural by-product that was subjected to mechanical and chemical treatments in order to cottonize the fibers, blend them with cotton, and thus obtain first 40-tex open-end yarns and then a knitted fabric. The latter was subjected to different dyeing conditions by varying the dye, mordant, and method for its application, type of water, and rinsing after dyeing. Measurements of the difference (ΔE) and intensity (K/S) of color and fastness to washing and rubbing were carried out. The results showed that dyeing of a non-textile residual hemp substrate is possible, and that calendula is a good option for dyeing it with tap water, tannin-alum set in a meta-mordanting process, and rinsing after 24 h. In this way, a contribution has been made to the circular economy of the textile industry through the use of more sustainable sources and products. Full article
(This article belongs to the Special Issue Textile Materials and Textile Design)
Show Figures

Figure 1

Back to TopTop