Sign in to use this feature.

Years

Between: -

Subjects

remove_circle_outline
remove_circle_outline
remove_circle_outline
remove_circle_outline
remove_circle_outline
remove_circle_outline
remove_circle_outline
remove_circle_outline
remove_circle_outline

Journals

remove_circle_outline
remove_circle_outline
remove_circle_outline
remove_circle_outline
remove_circle_outline
remove_circle_outline
remove_circle_outline

Article Types

Countries / Regions

remove_circle_outline
remove_circle_outline
remove_circle_outline
remove_circle_outline

Search Results (179)

Search Parameters:
Keywords = ration homogeneity

Order results
Result details
Results per page
Select all
Export citation of selected articles as:
18 pages, 6057 KB  
Article
Fundamentals of Cubic Phase Synthesis in PbF2–EuF3 System
by Sofia Zykova, Kristina Runina, Mariya Mayakova, Maria Berezina, Olga Petrova, Roman Avetisov and Igor Avetissov
Materials 2026, 19(1), 195; https://doi.org/10.3390/ma19010195 - 5 Jan 2026
Viewed by 162
Abstract
Fluoride solid solutions exhibit exceptional optical and thermodynamic properties that make them valuable for advanced technological applications, and the PbF2-EuF3 system represents a particularly promising quasi-binary system for developing high-performance materials. However, the comprehensive understanding of the thermodynamic conditions governing [...] Read more.
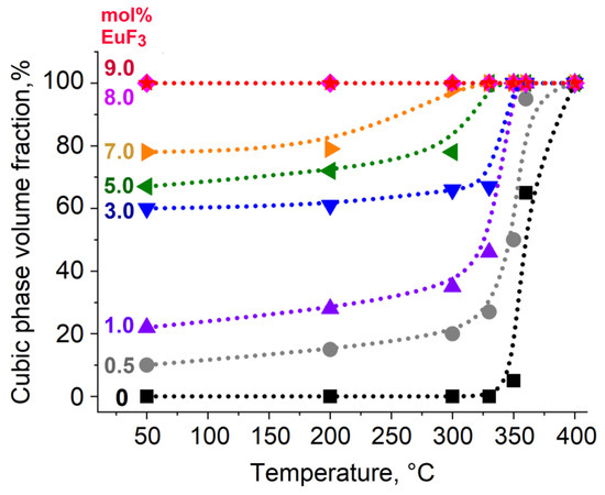
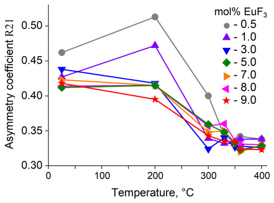
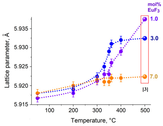
Fluoride solid solutions exhibit exceptional optical and thermodynamic properties that make them valuable for advanced technological applications, and the PbF2-EuF3 system represents a particularly promising quasi-binary system for developing high-performance materials. However, the comprehensive understanding of the thermodynamic conditions governing phase equilibria and the precise boundaries of homogeneity regions in this system remains incomplete, limiting the rational design of single-phase materials with desired properties. Therefore, we conducted a comprehensive investigation of the thermodynamic conditions (temperature and composition) controlling the existence of cubic and rhombohedral phases within the homogeneity regions of the PbF2-EuF3 system. Solid solution samples were synthesized using both solid-phase synthesis and co-precipitation techniques from aqueous nitrate solutions. Phase equilibria were systematically investigated in two critical regions: the solvus line spanning 0–10 mol% EuF3 and the ordered rhombohedral R-phase region spanning 35–45 mol% EuF3. Structural characterization was performed at temperatures below the phase transition temperature in lead fluoride (365 °C) using X-ray phase analysis, optical probing, and Raman scattering. Our investigation successfully demonstrated the possibility of obtaining cubic preparations of high purity across the 0–37 mol% EuF3 composition range. Additionally, we precisely defined the region of existence of the ordered rhombohedral R-phase within the concentration range of 37–39 to 43–44 mol% EuF3. These findings provide essential thermodynamic data for the rational design of PbF2-EuF3 solid solutions and establish clear compositional boundaries for obtaining desired phase structures in this technologically important fluoride system. Full article
(This article belongs to the Section Optical and Photonic Materials)
Show Figures

Graphical abstract

17 pages, 1761 KB  
Article
A New Protocol for Homogeneity Testing in Feed Mill Concentrate Rations
by Raphaela Cenci Vidal, Edenio Detmann, Marcia de Oliveira Franco, Daiana Francisca Quirino, Marcos Inácio Marcondes, Alex Lopes da Silva, Laiane Silva and Polyana Pizzi Rotta
Animals 2026, 16(1), 46; https://doi.org/10.3390/ani16010046 - 24 Dec 2025
Viewed by 524
Abstract
To ensure an accurate homogeneity test, animal feed manufacturers should apply standardised techniques and procedures, which aim to guarantee the product quality. Our objective was to propose a new protocol for performing concentrate ration homogeneity tests in commercial feed mills, based on three [...] Read more.
To ensure an accurate homogeneity test, animal feed manufacturers should apply standardised techniques and procedures, which aim to guarantee the product quality. Our objective was to propose a new protocol for performing concentrate ration homogeneity tests in commercial feed mills, based on three main points: the suitability of different minerals as markers; establishing a simplified and reliable sampling protocol; and developing a simplified statistical approach for evaluating marker dispersion among increments. Four horizontal commercially available mixers were used. Increments were collected sequentially during the mixer-emptying time over five consecutive days, totalling 200 increments, in which nine potential mineral markers were evaluated. The minerals potassium (K) and magnesium (Mg) were considered suitable, as they simultaneously exhibited low variability among batches, among mixers, and among increments. Based on the variation patterns of K and Mg, the new protocol for homogeneity testing in feed mill concentrate rations is based on the following additional key points: two increments must be collected per ration batch, taken during the mixer-emptying operation—specifically at the second and eight tenths of the mixer-emptying time, and a concentrate ration mixture is considered homogeneous when the ratio between the highest and lowest marker contents in the increments is lower than 1.26. Full article
(This article belongs to the Section Animal Nutrition)
Show Figures

Figure 1

22 pages, 7644 KB  
Communication
Bismuth–Titanium–Silicate–Oxide Glass Ceramics for Various Dielectric Applications
by Stanislav Slavov and Veselin Stankov
Materials 2025, 18(24), 5519; https://doi.org/10.3390/ma18245519 - 8 Dec 2025
Viewed by 341
Abstract
Ceramics based on bismuth titanate with added SiO2 and Nd2O3 were synthesized from the Bi2O3–TiO2–SiO2–Nd2O3 system through rapid melt quenching followed by controlled cooling. By adjusting the initial [...] Read more.
Ceramics based on bismuth titanate with added SiO2 and Nd2O3 were synthesized from the Bi2O3–TiO2–SiO2–Nd2O3 system through rapid melt quenching followed by controlled cooling. By adjusting the initial compositions and applying heat treatments between 1450 °C and 1100 °C, either homogeneous crystalline products or multiphase glass–ceramics were obtained. The identified crystalline phases included Bi12TiO20 and Bi4Ti3O12, coexisting with amorphous networks enriched in silicon, bismuth, titanium, and aluminum oxides. In previous investigations, the materials were characterized using X-ray diffraction, scanning electron microscopy, and Fourier-transform infrared spectroscopy, which collectively confirmed the presence of both ordered and disordered structural domains within the bulk samples. Electrical properties were evaluated through measurements of conductivity (4 × 10−9 S/m to 30 S/m), dielectric constant (real part from 10 to 5 × 103 and imaginary part from 5 to 5 × 104), and dielectric loss (0.02 to ~100) over the frequency range 1 Hz–1 MHz. These results provide a foundation for rational control of phase evolution in this quaternary oxide system and highlight strategies for tailoring the functional properties of glass–ceramic materials for dielectric applications. The aim of the present study is to investigate the relationship between phase composition, structural features, and dielectric behavior in cast Bi–Ti–Si–Nd glass–ceramics. Particular attention is given to the influence of the amorphous network containing SiO2 as a traditional glass former, as well as the formation of amorphous crosslinking Si–O–Ti structures acting as non-traditional glass formers. Full article
Show Figures

Figure 1

18 pages, 2478 KB  
Article
Drug-Dependent Enhancement of Blood–Brain Barrier Permeation by Polysorbate 80 Minor Components
by Xiaofeng Wang, Jue Wang, Xia Zhao, Langui Xie, Rui Yang, Chunmeng Sun, Jiasheng Tu and Huimin Sun
Pharmaceutics 2025, 17(12), 1572; https://doi.org/10.3390/pharmaceutics17121572 - 5 Dec 2025
Viewed by 563
Abstract
Background/Objectives: Polysorbate 80 (PS80), a complex surfactant mixture, is widely recognized for its ability to enhance drug permeation across the blood–brain barrier (BBB). While this effect is generally attributed to the combined actions of its components, the specific contribution and potential selectivity [...] Read more.
Background/Objectives: Polysorbate 80 (PS80), a complex surfactant mixture, is widely recognized for its ability to enhance drug permeation across the blood–brain barrier (BBB). While this effect is generally attributed to the combined actions of its components, the specific contribution and potential selectivity of individual minor components remain poorly understood. This study therefore aimed to isolate and compare the primary minor components of PS80 to determine whether they uniformly enhance BBB permeation or exhibit drug-specific functions. Methods: In this research, four primary minor components of PS80—polyoxyethylene sorbitan monooleate (PSM), polyoxyethylene isosorbide monooleate (PIM), polyoxyethylene sorbitan dioleate (PSD), and a polyethylene glycol/polyoxyethylene sorbitan/polyoxyethylene isosorbide mixture (PEG/PS/PI mixture)—were isolated using preparative liquid-phase chromatography. Drug-loaded formulations were then prepared using the solvent evaporation method incorporating five model drugs: 1,1′-dioctadecyl-3,3,3′,3′-tetramethylindotricarbocyanine iodide (DiR, MW = 1013.39 Da), donepezil (MW = 379.49 Da), nimodipine (MW = 418.44 Da), chlorogenic acid (MW = 354.31 Da), and paclitaxel (MW = 853.92 Da). The permeability of these formulations across the BBB was evaluated in BALB/c mice after intravenous administration. Brain distribution of the lipophilic dye DiR was assessed using fluorescence imaging, whereas brain homogenate concentrations of therapeutic drugs were quantified by UPLC-MS/MS. Results: Results revealed that the enhancement of brain delivery was dependent on both the specific minor component and the drug. The PEG/PS/PI mixture specially enhanced the brain homogenate concentration of donepezil to 11.8 ± 1.2 ng/mL, representing a 6.9-fold enhancement, while PIM micelles increased the delivery of DiR, donepezil, and nimodipine. In contrast, PSM and PSD micelles improved transport of only DiR and donepezil. The broad performance of PIM suggests a more flexible formulation—a hypothesis that warrants further validation. Conversely, none of the different minor components enhanced the delivery of chlorogenic acid or paclitaxel, underscoring the critical role of specific drug–component interactions. Conclusions: This component-resolved insight challenges the conventional perception of PS80 and provides a rational framework for engineering precision brain-targeted delivery systems by selecting functional minor components. Full article
(This article belongs to the Section Drug Targeting and Design)
Show Figures

Graphical abstract

35 pages, 24477 KB  
Article
A Physics-Based Method for Delineating Homogeneous Channel Units in Debris Flow Channels
by Xiaohu Lei, Fangqiang Wei, Hongjuan Yang and Shaojie Zhang
Water 2025, 17(23), 3444; https://doi.org/10.3390/w17233444 - 4 Dec 2025
Viewed by 511
Abstract
For runoff-generated debris flow continuum mechanics-based early warning models, the computational unit must satisfy the homogeneity assumption of continuum mechanics. Although traditional grid cells meet the homogeneity assumption as computational units, they segment channel geomorphological functional reaches, weaken the clustered mobilization of sediment [...] Read more.
For runoff-generated debris flow continuum mechanics-based early warning models, the computational unit must satisfy the homogeneity assumption of continuum mechanics. Although traditional grid cells meet the homogeneity assumption as computational units, they segment channel geomorphological functional reaches, weaken the clustered mobilization of sediment sources, and constrain efficiency due to grid-by-grid calculations. To address these limitations, we construct a Froude number (Fr) calculation model constrained by key factors such as the channel cross-sectional geometry and topographic parameters. The absolute deviation of Fr is used as a criterion for homogeneity within the computational unit. By combining critical shear stress theory and velocity perturbation, physical thresholds for the criteria are derived. A physical model-based method for automatically delineating homogeneous channel units (CUj) is proposed, ensuring that the geometric features and hydrodynamic parameters within CUj are homogeneous, while ensuring heterogeneity between adjacent CUj. Comprehensive multi-scale validation in Yeniu Gully, a typical debris flow catchment in Wenchuan County, demonstrates that parameters such as longitudinal gradient, cross-sectional area, flow depth, and shear stress remain relatively homogeneous within each CUj but differ significantly between adjacent CUj. Furthermore, the proposed method can stably characterize key channel geomorphological functional units, such as bends, confluences, abrupt width changes, longitudinal gradient changes, erosion segments, and deposition segments. Sensitivity analysis demonstrates that the method satisfies both robustness and universality under various conditions of rainfall intensity, runoff coefficient, and Manning’s roughness coefficient. Even under the most unfavorable extreme conditions, the accuracy of CUj delineation exceeds 88.64%, indicating high reliability and suitability for deployment in various debris flow catchments. The proposed framework for defining CUj resolves the conflict in traditional computational units between the “continuum model homogeneity requirement” and “geomorphological functional unit continuity,” providing a more rational and efficient computational environment for runoff-generated debris flow continuum mechanics-based early warning models. Full article
(This article belongs to the Section Water Erosion and Sediment Transport)
Show Figures

Figure 1

21 pages, 20415 KB  
Article
Physicochemical Characterization and Structural Tuning of PVA/CMC Composites Modified with Montmorillonite and Glycerol: Toward Sustainable Wound Dressings
by Aleksandra Niedźwiecka, Irena Brunarska, Anna Adamczyk and Przemysław Talik
Int. J. Mol. Sci. 2025, 26(23), 11445; https://doi.org/10.3390/ijms262311445 - 26 Nov 2025
Viewed by 421
Abstract
Current wound care still lacks multifunctional dressings capable of providing both structural support and controlled therapeutic activity. Developing such materials requires polymer matrices with tunable physicochemical properties, achievable through the rational selection of components and modifiers. In this study, polymer composites based on [...] Read more.
Current wound care still lacks multifunctional dressings capable of providing both structural support and controlled therapeutic activity. Developing such materials requires polymer matrices with tunable physicochemical properties, achievable through the rational selection of components and modifiers. In this study, polymer composites based on poly(vinyl alcohol) (PVA) and carboxymethyl cellulose (CMC), modified with glycerol and montmorillonite (MMT), were synthesized using a novel and rapid preparation method aimed at producing structurally adjustable matrices. The obtained materials were characterized by FTIR, SEM, and AFM analyses. FTIR spectra confirmed the competitive role of glycerol in reducing cross-linking efficiency and the compensatory effect of MMT in enhancing molecular interactions and structural density. The interaction between the two modifiers resulted in hybrid structures with intermediate organization, neither purely crystalline nor amorphous. SEM imaging revealed that glycerol promotes porosity, while higher MMT content stabilizes the polymer matrix, enhancing surface homogeneity. AFM revealed that the average roughness (1 × 1 μm scans) increased from 0.98 μm (sample B7) to 5.30 μm (sample C7) after glycerol addition. In conclusion, obtained results demonstrate the synergistic and opposing roles of glycerol and MMT, ultimately enabling the design of multifunctional polymer composites and warranting further investigation through XRD, DSC, rheology, and swelling capacity analyses. Full article
(This article belongs to the Section Macromolecules)
Show Figures

Figure 1

18 pages, 1933 KB  
Article
Atomistic Insights into Structures and Dynamic Properties for Amorphous Aluminum/Lithium Alloys and Oxides
by Jiageng Xiong, Mi Zhang, Nijing Guo, Lijun Bao, Hua Hou and Baoshan Wang
Aerospace 2025, 12(12), 1041; https://doi.org/10.3390/aerospace12121041 - 24 Nov 2025
Viewed by 533
Abstract
Aluminum/lithium (Al/Li) alloy is a promising energetic material for solid composite propellants. The bonding structure, topological shape, density, cohesive energy, and mechanical and diffusion properties of the Al/Li alloy bulks and oxidation shells are calculated systematically using the large-scale force-field molecular dynamics simulations [...] Read more.
Aluminum/lithium (Al/Li) alloy is a promising energetic material for solid composite propellants. The bonding structure, topological shape, density, cohesive energy, and mechanical and diffusion properties of the Al/Li alloy bulks and oxidation shells are calculated systematically using the large-scale force-field molecular dynamics simulations together with the ab initio quantum chemistry calculations. Theoretical predicted structures and dynamic properties for various crystalline and amorphous reference compounds are compared with the available experimental data to validate the force-field simulations. The dependence of the structures and properties on the Li contents ranging from 2 to 50 wt% is clarified. It is revealed that both Al and Li atoms are resident in the same Al or Li environment in the Al/Li alloys. The presence of the crystalline δ’-Al3Li and β-AlLi phases in the Al/Li alloys is rationalized in terms of the coordination of Al/Li and the thermodynamic free energy of Li substitution. A homogenous six-coordinated Al/Li alloy could be generated with a Li content of 20 wt%. Young’s moduli of the alloys are improved via the low Li addition due to the anisotropic effect. The Al/Li/O oxidation shell is less dense than the amorphous alumina but the densities of oxides are generally higher than those of the corresponding Al/Li alloys. As the Li content increases, the Al/Li/O oxides form the ordered four-coordinated AlO4 passages together with the under-coordinated Li-O units, leading to considerably deteriorated mechanical performance and efficient Li diffusion with an activation energy of about 20 kJ/mol. The present work provides a deep understanding of the Al/Li alloys and Al/Li/O oxides in terms of performance and exposure stability. Full article
(This article belongs to the Special Issue Combustion of Solid Propellants)
Show Figures

Figure 1

39 pages, 3494 KB  
Review
Iron Redox Cycling in Persulfate Activation: Strategic Enhancements, Mechanistic Insights, and Environmental Applications—A Review
by Zutao Zhang, Fengyang Du, Hongliang Shi, Huanzheng Du and Peiyuan Xiao
Nanomaterials 2025, 15(22), 1712; https://doi.org/10.3390/nano15221712 - 12 Nov 2025
Viewed by 1459
Abstract
Iron-based catalysts for peroxymonosulfate (PMS) and peroxydisulfate (PDS) activation represent a cornerstone of advanced oxidation processes (AOPs) in environmental remediation, prized for their cost-effectiveness, environmental compatibility, and high catalytic potential. These catalysts, including zero-valent iron, iron oxides, and iron-organic frameworks, activate PMS/PDS through [...] Read more.
Iron-based catalysts for peroxymonosulfate (PMS) and peroxydisulfate (PDS) activation represent a cornerstone of advanced oxidation processes (AOPs) in environmental remediation, prized for their cost-effectiveness, environmental compatibility, and high catalytic potential. These catalysts, including zero-valent iron, iron oxides, and iron-organic frameworks, activate PMS/PDS through heterogeneous and homogeneous pathways to generate reactive species such as sulfate radicals (SO4) and hydroxyl radicals (•OH). However, their large-scale implementation is constrained by inefficient iron cycling, characterized by sluggish Fe3+/Fe2+ conversion and significant iron precipitation, leading to catalyst passivation and oxidant wastage. This comprehensive review systematically dissects innovative strategies to augment iron cycling efficiency, encompassing advanced material design through elemental doping, heterostructure construction, and defect engineering; system optimization via reductant incorporation, bimetallic synergy, and pH modulation; and external field assistance using light, electricity, or ultrasound. We present a mechanistic deep-dive into these approaches, emphasizing facilitated electron transfer, suppression of iron precipitation, and precise regulation of radical versus non-radical pathways. The performance in degrading persistent organic pollutants—including antibiotics, per- and polyfluoroalkyl substances (PFASs), and pesticides—in complex environmental matrices is critically evaluated. We further discuss practical challenges related to scalability, long-term stability, and secondary environmental risks. Finally, forward-looking directions are proposed, focusing on rational catalyst design, integration of sustainable processes, and scalable implementation, thereby providing a foundational framework for developing next-generation iron-persulfate catalytic systems. Full article
Show Figures

Figure 1

19 pages, 6370 KB  
Article
Enhanced Dielectric Properties of In + Ta Co-Doped TiO2 Ceramics Synthesized via a Green Egg White Route: Low-Temperature Sintering and Microstructural Insights
by Unchista Wongpratat, Nutthakritta Phromviyo, Jurimart Wongsricha, Sirion Srilarueang, Narong Chanlek, Atchara Khamkongkaeo and Prasit Thongbai
Sci 2025, 7(4), 150; https://doi.org/10.3390/sci7040150 - 27 Oct 2025
Viewed by 739
Abstract
Giant dielectric oxides are attractive for next-generation capacitors and related applications, but their practical use is limited by high loss tangent (tanδ), strong temperature dependence of dielectric permittivity (ε′), and the need for energy-intensive high-temperature sintering. To address these challenges, this study focuses [...] Read more.
Giant dielectric oxides are attractive for next-generation capacitors and related applications, but their practical use is limited by high loss tangent (tanδ), strong temperature dependence of dielectric permittivity (ε′), and the need for energy-intensive high-temperature sintering. To address these challenges, this study focuses on the development of (In0.5Ta0.5)xTi1−xO2 (ITTO, x = 0.02–0.06) ceramics via a green egg-white solution route, targeting high dielectric performance at reduced processing temperatures. The as-calcined powders exhibited the anatase TiO2 phase with particle sizes of ~20–50 nm. These powders promoted densification at a sintering temperature of 1300 °C, significantly lower than those of conventional co-doped TiO2 systems. The resulting ceramics exhibited refined grains, high relative density, and homogeneous dopant incorporation, as confirmed by XRD, SEM/TEM, EDS mapping, and XPS. Complementary density functional theory calculations were performed to examine the stability of In3+/Ta5+ defect clusters and their role in electron-pinned defect dipoles (EPDDs). The optimized ceramic (x = 0.06, 1300 °C) achieved a high ε′ of 6.78 × 103, a low tanδ of 0.038, and excellent thermal stability with Δε′ < 3.9% from 30 to 200 °C. These results demonstrate that the giant dielectric response originates primarily from EPDDs associated with Ti3+ species and oxygen vacancies, in agreement with both experimental and theoretical evidence. These findings emphasize the potential of eco-friendly synthesis routes combined with rational defect engineering to deliver high-performance dielectric ceramics with reliable thermal stability at reduced sintering temperatures. Full article
Show Figures

Figure 1

16 pages, 2400 KB  
Article
Recycling of Polyurethanes via Covalent Adaptable Networks: The Role of Crosslink Density in Performance Recovery
by Edoardo Miravalle, Teodora Andra Olariu, Claudio Cecone, Valentina Brunella, Pierangiola Bracco and Marco Zanetti
Polymers 2025, 17(20), 2778; https://doi.org/10.3390/polym17202778 - 17 Oct 2025
Viewed by 1035
Abstract
Thermoset polyurethanes invite industrial interest for their versatility and chemical and mechanical resistance due to their permanently crosslinked networks; yet this structural feature severely limits their recyclability. Recent advances in Covalent Adaptable Networks (CANs), enabled by Dynamic Covalent Chemistry (DCC), have demonstrated promising [...] Read more.
Thermoset polyurethanes invite industrial interest for their versatility and chemical and mechanical resistance due to their permanently crosslinked networks; yet this structural feature severely limits their recyclability. Recent advances in Covalent Adaptable Networks (CANs), enabled by Dynamic Covalent Chemistry (DCC), have demonstrated promising pathways toward reprocessability through bond-exchange mechanisms. However, no clear link has yet been identified between material properties and the retention of performance after reprocessing. This work investigates the role of crosslink density as a key factor in determining the reprocessability of polyurethane networks. Two model systems with comparable compositions but distinct crosslink densities were synthesised, reprocessed, and compared. Relaxation analysis based on the Maxwellian approach proved insufficient to predict reprocessing outcomes. Only the highly crosslinked network yielded homogeneous reprocessable films with significant retention of mechanical performance, whereas the less crosslinked network resulted in incoherent materials with markedly reduced properties. The application of Kohlrausch–Williams–Watts (KWW) fitting revealed that dynamic covalent exchange dominates relaxation in the highly crosslinked system, while in the looser network, relaxation is governed by soft segment mobility, hindering effective network reformation. These findings underscore the pivotal role of crosslink density in determining the recyclability of thermoset polyurethanes and provide new insights for the rational design of reprocessable materials. Full article
Show Figures

Graphical abstract

17 pages, 5472 KB  
Article
An Automated Approach for Calibrating Gafchromic EBT3 Films and Mapping 3D Doses in HDR Brachytherapy
by Labinot Kastrati, Burim Uka, Polikron Dhoqina, Gezim Hodolli, Sehad Kadiri, Behar Raci, Faton Sermaxhaj, Kjani Guri and Hekuran Sejdiu
Appl. Sci. 2025, 15(19), 10833; https://doi.org/10.3390/app151910833 - 9 Oct 2025
Viewed by 699
Abstract
The accurate calibration of radiochromic films is critical for high dose rate (HDR) brachytherapy dosimetry. Conventional workflows frequently rely on manually determined regions of interest (ROIs), which might increase operator variability. In this investigation, Gafchromic EBT3 films were irradiated under clinical settings at [...] Read more.
The accurate calibration of radiochromic films is critical for high dose rate (HDR) brachytherapy dosimetry. Conventional workflows frequently rely on manually determined regions of interest (ROIs), which might increase operator variability. In this investigation, Gafchromic EBT3 films were irradiated under clinical settings at nominal doses of 0–10 Gy and evaluated using a MATLAB (R2024b)-based tool that allows for both manual and automated ROI selection. The calibration curves were modeled with a second-order polynomial and rational model, and performance was assessed using statistical measures. The study found that the rational model fits better than the polynomial model. Additionally, the automatic ROI approach outperformed the manual method in both models, resulting in higher calibration accuracy and reproducibility (R2 = 0.999, RMSE = 0.118 Gy, MAE = 0.103 Gy vs. R2 = 0.986, RMSE = 0.448 Gy, MAE = 0.388 Gy). Although manual ROI occasionally produced greater dose–response slopes at higher doses, it was more susceptible to operator bias and film non-uniformity. In contrast, automatic ROI reduced variability by consistently picking homogeneous sections, resulting in steady curve fitting across the entire dose range. Furthermore, a companion module transformed calibrated films into 2D false-color maps and 3D dosage surfaces, allowing for visual assessment of dose uniformity, detection of scanner-related aberrations, and quantitative verification for quality assurance. These findings demonstrate that automated ROI selection provides a more stable and reproducible foundation for film calibration in HDR brachytherapy, minimizing operator dependency while facilitating routine clinical quality assurance. Full article
(This article belongs to the Section Applied Physics General)
Show Figures

Figure 1

30 pages, 1778 KB  
Article
AI, Ethics, and Cognitive Bias: An LLM-Based Synthetic Simulation for Education and Research
by Ana Luize Bertoncini, Raul Matsushita and Sergio Da Silva
AI Educ. 2025, 1(1), 3; https://doi.org/10.3390/aieduc1010003 - 4 Oct 2025
Viewed by 6267
Abstract
This study examines how cognitive biases may shape ethical decision-making in AI-mediated environments, particularly within education and research. As AI tools increasingly influence human judgment, biases such as normalization, complacency, rationalization, and authority bias can lead to ethical lapses, including academic misconduct, uncritical [...] Read more.
This study examines how cognitive biases may shape ethical decision-making in AI-mediated environments, particularly within education and research. As AI tools increasingly influence human judgment, biases such as normalization, complacency, rationalization, and authority bias can lead to ethical lapses, including academic misconduct, uncritical reliance on AI-generated content, and acceptance of misinformation. To explore these dynamics, we developed an LLM-generated synthetic behavior estimation framework that modeled six decision-making scenarios with probabilistic representations of key cognitive biases. The scenarios addressed issues ranging from loss of human agency to biased evaluations and homogenization of thought. Statistical summaries of the synthetic dataset indicated that 71% of agents engaged in unethical behavior influenced by biases like normalization and complacency, 78% relied on AI outputs without scrutiny due to automation and authority biases, and misinformation was accepted in 65% of cases, largely driven by projection and authority biases. These statistics are descriptive of this synthetic dataset only and are not intended as inferential claims about real-world populations. The findings nevertheless suggest the potential value of targeted interventions—such as AI literacy programs, systematic bias audits, and equitable access to AI tools—to promote responsible AI use. As a proof-of-concept, the framework offers controlled exploratory insights, but all reported outcomes reflect text-based pattern generation by an LLM rather than observed human behavior. Future research should validate and extend these findings with longitudinal and field data. Full article
Show Figures

Figure 1

15 pages, 10073 KB  
Article
Defect Engineering in Fluorinated Metal–Organic Frameworks Within Mixed-Matrix Membranes for Enhanced CO2 Separation
by Benxing Li, Lei Wang, Yizheng Tao, Rujing Hou and Yichang Pan
Membranes 2025, 15(10), 296; https://doi.org/10.3390/membranes15100296 - 30 Sep 2025
Viewed by 1026
Abstract
Developing highly permeable and selective membranes for energy-efficient CO2/CH4 separation remains challenging. Mixed-matrix membranes (MMMs) integrating polymer matrices with metal–organic frameworks (MOFs) offer significant potential. However, rational filler–matrix matching presents substantial difficulties, constraining separation performance. In this work, defects were [...] Read more.
Developing highly permeable and selective membranes for energy-efficient CO2/CH4 separation remains challenging. Mixed-matrix membranes (MMMs) integrating polymer matrices with metal–organic frameworks (MOFs) offer significant potential. However, rational filler–matrix matching presents substantial difficulties, constraining separation performance. In this work, defects were engineered within fluorinated MOF ZU-61 through the partial replacement of 4,4′-bipyridine linkers with pyridine modulators, producing high-porosity HP-ZU-61 nanoparticles exhibiting a 267% BET surface area enhancement (992.9 m2 g−1) over low-porosity ZU-61 (LP-ZU-61) (372.2 m2 g−1). The HP-ZU-61/6FDA-DAM MMMs (30 wt.%) demonstrated homogeneous filler dispersion and pre-served crystallinity, achieving a CO2 permeability of 1626 barrer and CO2/CH4 selectivity (33), surpassing the 2008 Robeson upper bound. Solution-diffusion modeling indicated ligand deficiencies generated accelerated diffusion pathways, while defect-induced unsaturated metal sites functioned as strong CO2 adsorption centers that maintained solubility selectivity. This study establishes defect engineering in fluorinated MOF-based MMMs as a practical strategy to concurrently overcome the permeability–selectivity trade-off for efficient CO2 capture. Full article
(This article belongs to the Special Issue Functional Composite Membranes: Properties and Applications)
Show Figures

Figure 1

34 pages, 3191 KB  
Article
Padé Approximation for Solving Coupled Subgroup Neutron Transport Equations in Resonant Interference Media
by Yongfa Zhang, Song Li, Lei Liu, Xinwen Zhao, Qi Cai and Qian Zhang
Mathematics 2025, 13(18), 3003; https://doi.org/10.3390/math13183003 - 17 Sep 2025
Viewed by 458
Abstract
Resonance self-shielding in multi-resonant nuclide media is a dominant physical process in reactor neutronics analysis. This study proposes an improved subgroup method (ISM) based on Padé rational approximation, constructing a high-order rational function mapping between effective and background cross-sections to overcome the precision [...] Read more.
Resonance self-shielding in multi-resonant nuclide media is a dominant physical process in reactor neutronics analysis. This study proposes an improved subgroup method (ISM) based on Padé rational approximation, constructing a high-order rational function mapping between effective and background cross-sections to overcome the precision bottleneck of traditional DSMs and BIMs in nonlinear resonance interference scenarios. The method first generates cross-section relation data via ultra-fine group calculations, then solves subgroup parameters using a positive definite system, with a Spatial Homogenization (SPH) factor introduced for reaction rate conservation. Validation results show that ISM + SPH reduces k-infinity errors from −708 pcm (DSM) to +5 pcm for UO2 fuel, and from −269 pcm to +45 pcm for MOX fuel with 239Pu, significantly enhancing neutron transport accuracy in complex fuel systems. This work provides a theoretically rigorous and practically applicable approach for efficient resonance modeling in advanced reactor fuel design. Full article
(This article belongs to the Section E4: Mathematical Physics)
Show Figures

Figure 1

22 pages, 6337 KB  
Article
Optimization of PLGA Nanoparticle Formulation via Microfluidic and Batch Nanoprecipitation Techniques
by Gül Kozalak, Salar Heyat Davoudian, Evangelos Natsaridis, Nubia Gogniat, Ali Koşar and Oya Tagit
Micromachines 2025, 16(9), 972; https://doi.org/10.3390/mi16090972 - 24 Aug 2025
Cited by 3 | Viewed by 3807
Abstract
Polymeric nanoparticles based on poly(lactic-co-glycolic acid) (PLGA) are widely used in drug delivery, yet scalable and reproducible production methods remain a major challenge. In this study, we combine experimental nanoprecipitation and computational fluid dynamics (CFD) modeling to optimize PLGA nanoparticle formulation using both [...] Read more.
Polymeric nanoparticles based on poly(lactic-co-glycolic acid) (PLGA) are widely used in drug delivery, yet scalable and reproducible production methods remain a major challenge. In this study, we combine experimental nanoprecipitation and computational fluid dynamics (CFD) modeling to optimize PLGA nanoparticle formulation using both traditional batch and microfluidic methods. While Design of Experiments (DoE) was used to optimize the batch process, microfluidic mixing was systematically explored by varying flow parameters such as the flow rate ratio (FRR) and total flow rate (TFR). We compared two microfluidic mixer designs with Y-junction and three-inlet junction geometries to evaluate their impact on the mixing efficiency and nanoparticle formation. Experimental results revealed that the three-inlet design produced smaller, more uniform nanoparticles with superior post-lyophilization stability. CFD simulations confirmed these findings by displaying velocity fields and PLGA concentration gradients, demonstrating significantly more homogeneous mixing and efficient interfacial contact in the three-inlet configuration. Furthermore, simulated outlet concentrations were used to predict the nanoparticle size via theoretical modeling, which closely agreed with the experimental data. This integrated approach highlights the importance of microfluidic geometry in controlling nanoparticle nucleation dynamics and provides a framework for rational design of scalable nanomedicine production systems. Full article
(This article belongs to the Special Issue Microfluidic Nanoparticle Synthesis)
Show Figures

Figure 1

Back to TopTop