Sign in to use this feature.

Years

Between: -

Subjects

remove_circle_outline
remove_circle_outline
remove_circle_outline
remove_circle_outline

Journals

Article Types

Countries / Regions

Search Results (13)

Search Parameters:
Keywords = radix platycodi

Order results
Result details
Results per page
Select all
Export citation of selected articles as:
13 pages, 1048 KB  
Article
Platycodi Radix Extract Prevents Hepatic Steatosis by Enhancing Bile Acid Synthesis in a High-Fat Diet-Induced Fatty Liver Mouse Model
by Wooyoung Kim, Woon Hee Baek, Sung Ho Yun, Hayoung Lee, Mi Jeong Kim, Sang-Yeop Lee, Gun-Hwa Kim, Seung Il Kim, Hye Gwang Jeong and Edmond Changkyun Park
Nutrients 2024, 16(6), 893; https://doi.org/10.3390/nu16060893 - 20 Mar 2024
Cited by 1 | Viewed by 3078
Abstract
We aimed to identify the mechanism underlying the preventive effects of non-alcoholic fatty liver disease (NAFLD) through Platycodi Radix consumption using liver proteomic and bioinformatic analysis. C57BL/6J mice were categorized into three groups: those receiving a standard chow diet (NCD), those on a [...] Read more.
We aimed to identify the mechanism underlying the preventive effects of non-alcoholic fatty liver disease (NAFLD) through Platycodi Radix consumption using liver proteomic and bioinformatic analysis. C57BL/6J mice were categorized into three groups: those receiving a standard chow diet (NCD), those on a high-fat diet (HFD), and those on an HFD supplemented with 5% Platycodi Radix extract (PRE). After a 12-week period, PRE-fed mice exhibited a noteworthy prevention of hepatic steatosis. Protein identification and quantification in liver samples were conducted using LC-MS/MS. The identified proteins were analyzed through Ingenuity Pathway Analysis software, revealing a decrease in proteins associated with FXR/RXR activation and a concurrent increase in cholesterol biosynthesis proteins in the PRE-treated mouse liver. Subsequent network analysis predicted enhanced bile acid synthesis from these proteins. Indeed, the quantity of bile acids, which was reduced in HFD conditions, increased in the PRE group, accompanied by an elevation in the expression of synthesis-related proteins. Our findings suggest that the beneficial effects of PRE in preventing hepatic steatosis may be mediated, at least in part, through the modulation of FXR/RXR activation, cholesterol biosynthesis, and bile acid synthesis pathways. Full article
Show Figures

Figure 1

14 pages, 2866 KB  
Article
Blood Microbiota Profile Is Associated with the Responsiveness of Postprandial Lipemia to Platycodi radix Beverage: A Randomized Controlled Trial in Healthy Subjects
by Seunghee Kang, Inhye Lee, Soo-yeon Park, Ji Yeon Kim, Youjin Kim, Jeong-Sook Choe and Oran Kwon
Nutrients 2023, 15(14), 3267; https://doi.org/10.3390/nu15143267 - 24 Jul 2023
Cited by 1 | Viewed by 2145
Abstract
Prolonged postprandial hyperlipidemia may cause the development of cardiovascular diseases. This study explored whether postprandial triglyceride-rich lipoprotein (TRL) clearance responsiveness to Platycodi radix beverage (PR) is associated with changes in blood microbiota profiles. We conducted an 8-week randomized controlled clinical trial involving normolipidemic [...] Read more.
Prolonged postprandial hyperlipidemia may cause the development of cardiovascular diseases. This study explored whether postprandial triglyceride-rich lipoprotein (TRL) clearance responsiveness to Platycodi radix beverage (PR) is associated with changes in blood microbiota profiles. We conducted an 8-week randomized controlled clinical trial involving normolipidemic adults with low fruit and vegetable intakes. Participants underwent an oral fat tolerance test and 16S amplicon sequencing analysis of blood microbiota. Using the Qualitative Interaction Trees, we identified responders as those with higher baseline dietary fat intake (>38.5 g/day) and lipoprotein lipase levels (>150.6 ng/mL), who showed significant reductions in AUC for triglyceride (TG) and chylomicron-TG after the oral fat tolerance test. The LEfSe analysis showed differentially abundant blood microbiota between responders and non-responders. A penalized logistic regression algorithm was employed to predict the responsiveness to intervention on the TRL clearance based on the background characteristics, including the blood microbiome. Our findings suggest that PR intake can modulate postprandial TRL clearance in adults consuming higher fat intake over 38.5 g/day and low fruit and vegetable intake through shared links to systemic microbial signatures. Full article
Show Figures

Figure 1

19 pages, 4361 KB  
Review
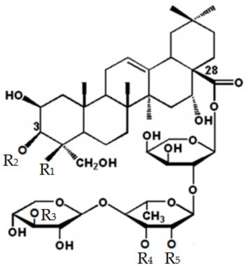
Biotransformation of Platycosides, Saponins from Balloon Flower Root, into Bioactive Deglycosylated Platycosides
by Kyung-Chul Shin and Deok-Kun Oh
Antioxidants 2023, 12(2), 327; https://doi.org/10.3390/antiox12020327 - 31 Jan 2023
Cited by 11 | Viewed by 4550
Abstract
Platycosides, saponins from balloon flower root (Platycodi radix), have diverse health benefits, such as antioxidant, anti-inflammatory, anti-tussive, anti-cancer, anti-obesity, anti-diabetes, and whitening activities. Deglycosylated platycosides, which show greater biological effects than glycosylated platycosides, are produced by the hydrolysis of glycoside moieties in glycosylated [...] Read more.
Platycosides, saponins from balloon flower root (Platycodi radix), have diverse health benefits, such as antioxidant, anti-inflammatory, anti-tussive, anti-cancer, anti-obesity, anti-diabetes, and whitening activities. Deglycosylated platycosides, which show greater biological effects than glycosylated platycosides, are produced by the hydrolysis of glycoside moieties in glycosylated platycosides. In this review, platycosides are classified according to the chemical structures of the aglycone sapogenins and also divided into natural platycosides, including major, minor, and rare platycosides, depending on the content in Platycodi radix extract and biotransformed platycosides. The biological activities of platycosides are summarized and methods for deglycosylation of saponins, including physical, chemical, and biological methods, are introduced. The biotransformation of glycosylated platycosides into deglycosylated platycosides was described based on the hydrolytic pathways of glycosides, substrate specificity of glycosidases, and specific productivities of deglycosylated platycosides. Methods for producing diverse and/or new deglycosylated platycosides are also proposed. Full article
(This article belongs to the Section Natural and Synthetic Antioxidants)
Show Figures

Figure 1

10 pages, 1358 KB  
Article
Conversion of Glycosylated Platycoside E to Deapiose-Xylosylated Platycodin D by Cytolase PCL5
by Kyung-Chul Shin, Dae Wook Kim, Hyun Sim Woo, Deok-Kun Oh and Yeong-Su Kim
Int. J. Mol. Sci. 2020, 21(4), 1207; https://doi.org/10.3390/ijms21041207 - 11 Feb 2020
Cited by 18 | Viewed by 4692
Abstract
Platycosides, the saponins abundant in Platycodi radix (the root of Platycodon grandiflorum), have diverse pharmacological activities and have been used as food supplements. Since deglycosylated saponins exhibit higher biological activity than glycosylated saponins, efforts are on to enzymatically convert glycosylated platycosides to [...] Read more.
Platycosides, the saponins abundant in Platycodi radix (the root of Platycodon grandiflorum), have diverse pharmacological activities and have been used as food supplements. Since deglycosylated saponins exhibit higher biological activity than glycosylated saponins, efforts are on to enzymatically convert glycosylated platycosides to deglycosylated platycosides; however, the lack of diversity and specificities of these enzymes has limited the kinds of platycosides that can be deglycosylated. In the present study, we examined the enzymatic conversion of platycosides and showed that Cytolase PCL5 completely converted platycoside E and polygalacin D3 into deapiose-xylosylated platycodin D and deapiose-xylosylated polygalacin D, respectively, which were identified by LC-MS analysis. The platycoside substrates were hydrolyzed through the following novel hydrolytic pathways: platycoside E → platycodin D3 → platycodin D → deapiosylated platycodin D → deapiose-xylosylated platycodin D; and polygalacin D3 → polygalacin D → deapiosylated polygalacin D → deapiose-xylosylated polygalacin D. Our results show that cytolast PCL5 may have a potential role in the development of biologically active platycosides that may be used for their diverse pharmacological activities. Full article
(This article belongs to the Section Biochemistry)
Show Figures

Figure 1

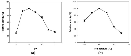
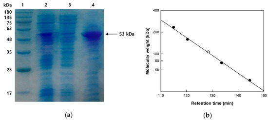
10 pages, 2294 KB  
Article
Characterization of β-Glycosidase from Caldicellulosiruptor owensensis and Its Application in the Production of Platycodin D from Balloon Flower Leaf
by Kyung-Chul Shin, Min-Ju Seo, Dae-Wook Kim, Soo-Jin Yeom and Yeong-Su Kim
Catalysts 2019, 9(12), 1025; https://doi.org/10.3390/catal9121025 - 4 Dec 2019
Cited by 13 | Viewed by 2964
Abstract
Platycodin D has diverse pharmacological activities. An efficient and economical mechanism for obtaining platycosides (platycodin D in particular) would be very useful. Balloon flower leaf extract (BFLE) was obtained by recycling leaves discarded from Platycodi radix production, as they have a high platycoside [...] Read more.
Platycodin D has diverse pharmacological activities. An efficient and economical mechanism for obtaining platycosides (platycodin D in particular) would be very useful. Balloon flower leaf extract (BFLE) was obtained by recycling leaves discarded from Platycodi radix production, as they have a high platycoside E content. A recombinant β-glycosidase from Caldicellulosiruptor owensensis was characterized and applied to BFLE for platycoside bioconversion. The enzyme specifically hydrolyzed the glucose residue at the C-3 position in platycosides and was suitable for platycodin D production. Under optimized reaction conditions, β-glycosidase from C. owensensis completely converted platycoside E from BFLE into platycodin D with the highest concentration and productivity reported so far. These results greatly improve the production process for deglycosylated platycosides. Full article
Show Figures

Figure 1

16 pages, 5035 KB  
Article
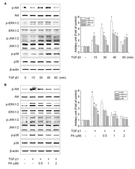
Platyconic Acid A, Platycodi Radix-Derived Saponin, Suppresses TGF-β1-Induced Activation of Hepatic Stellate Cells via Blocking SMAD and Activating the PPARγ Signaling Pathway
by Jae Ho Choi, Seul Mi Kim, Gi Ho Lee, Sun Woo Jin, Hyun Sun Lee, Young Chul Chung and Hye Gwang Jeong
Cells 2019, 8(12), 1544; https://doi.org/10.3390/cells8121544 - 29 Nov 2019
Cited by 15 | Viewed by 3663
Abstract
Platycodi radix is a widely sold health food worldwide, which contains numerous phytochemicals that are beneficial to health. Previously, we reported that saponin from the roots of Platycodi radix-derived saponin inhibited toxicant-induced liver diseases. Nevertheless, the inhibitory effect of platyconic acid A (PA), [...] Read more.
Platycodi radix is a widely sold health food worldwide, which contains numerous phytochemicals that are beneficial to health. Previously, we reported that saponin from the roots of Platycodi radix-derived saponin inhibited toxicant-induced liver diseases. Nevertheless, the inhibitory effect of platyconic acid A (PA), the active component of Platycodi radix-derived saponin, on the anti-fibrotic activity involving the SMAD pathway remains unclear. We investigated the inhibitory effects of PA on TGF-β1-induced activation of hepatic stellate cells (HSCs). PA inhibited TGF-β1-enhanced cell proliferation, as well as expression of α-SMA and collagen Iα1 in HSC-T6 cells. PA suppressed TGF-β1-induced smad2/3 phosphorylation and smad binding elements 4 (SBE4) luciferase activity. Reversely, PA restored TGF-β1-reduced expression of smad7 and peroxisome proliferator-activated receptor (PPAR)γ. PA also repressed TGF-β1-induced phosphorylation of Akt and MAPKs. In summary, the results suggest that the inhibitory effect of PA on HSCs occurs through the blocking of SMAD-dependent and SMAD-independent pathways, leading to the suppression of α-SMA and collagen Iα1 expression. Full article
Show Figures

Figure 1

11 pages, 1223 KB  
Article
Enzymatic Biotransformation of Balloon Flower Root Saponins into Bioactive Platycodin D by Deglucosylation with Caldicellulosiruptor bescii β-Glucosidase
by Tae-Geun Kil, Su-Hwan Kang, Tae-Hun Kim, Kyung-Chul Shin and Deok-Kun Oh
Int. J. Mol. Sci. 2019, 20(16), 3854; https://doi.org/10.3390/ijms20163854 - 7 Aug 2019
Cited by 20 | Viewed by 4980
Abstract
Platycodin D (PD), a major saponin (platycoside) in Platycodi radix (balloon flower root), has higher pharmacological activity than the other major platycosides; however, its content in the plant root is only approximately 10% (w/w) and the productivities of PD [...] Read more.
Platycodin D (PD), a major saponin (platycoside) in Platycodi radix (balloon flower root), has higher pharmacological activity than the other major platycosides; however, its content in the plant root is only approximately 10% (w/w) and the productivities of PD by several enzymes are still too low for industrial applications. To rapidly increase the total PD content, the β-glucosidase from Caldicellulosiruptor bescii was used for the deglucosylation of the PD precursors platycoside E (PE) and platycodin D3 (PD3) in the root extract into PD. Under the optimized reaction conditions, the enzyme completely converted the PD precursors into PD with the highest productivity reported so far, increasing the total PD content to 48% (w/w). In the biotransformation process, the platycosides in Platycodi radix were hydrolyzed by four pathways: deapiosylated (deapi)-PE → deapi-PD3 → deapi-PD, PE → PD3 → PD, polygalacin D3 → polygalacin D, and 3″-O-acetyl polygalacin D3 → 3″-O-acetyl polygalacin D. Full article
(This article belongs to the Section Bioactives and Nutraceuticals)
Show Figures

Graphical abstract

11 pages, 1474 KB  
Article
In Vitro Effect of the Traditional Medicine Hainosan (Painongsan) on Porphyromonas gingivalis
by Masaaki Minami, Hiroshi Takase, Masayo Taira and Toshiaki Makino
Medicines 2019, 6(2), 58; https://doi.org/10.3390/medicines6020058 - 20 May 2019
Cited by 10 | Viewed by 4171
Abstract
Background: Hainosan (Painongsan) is a traditional Japanese and Chinese medicine that is used to treat several purulent diseases, including gingivitis and periodontitis. This formulation contains three crude drug components: The dried immature fruit of Citrus aurantium (Aurantii Fructus Immaturus), the dried root [...] Read more.
Background: Hainosan (Painongsan) is a traditional Japanese and Chinese medicine that is used to treat several purulent diseases, including gingivitis and periodontitis. This formulation contains three crude drug components: The dried immature fruit of Citrus aurantium (Aurantii Fructus Immaturus), the dried root of Paeonia lactiflora (Paeoniae Radix), and the dried root of Platycodon grandiflorum (Platycodi Radix). Here we evaluated the in vitro antibacterial effects of hainosan extract (HNS) and extracts of its three components against Porphyromonas gingivalis, one of the pathogenic bacteria that causes periodontitis. Methods: The antibacterial activities of HNS and its components were examined by counting the number of colony-forming units (CFUs) and through transmission electron microscopy. Results: We found that HNS had direct antibacterial activity against three P. gingivalis isolates (JCM12257, JCM8525, and JCM19600), with HNS-treated cells being significantly smaller than those of untreated bacteria. Extracts of Platycodi Radix and Paeoniae Radix significantly suppressed the growth of P. gingivalis in a dose-dependent manner, with Platycodi Radix extract having the greatest antibacterial effect. In addition, P. gingivalis that were treated with Platycodi Radix extract were significantly larger than those treated with Aurantii Fructus Immaturus or Paeoniae Radix extracts. Further analysis showed that platycodin D, which is one of the ingredients of Platycodi Radix, reduced bacterial growth. Conclusions: Platycodi Radix is the active component in Hainosan and may represent a useful agent for the treatment of P. gingivalis-induced gingivitis and periodontitis. Full article
(This article belongs to the Special Issue Natural Compounds as Potential Antibacterial Agents)
Show Figures

Figure 1

15 pages, 3138 KB  
Article
Biocatalysis of Platycoside E and Platycodin D3 Using Fungal Extracellular β-Glucosidase Responsible for Rapid Platycodin D Production
by Hyung Jin Ahn, Hyun Ju You, Myung Su Park, Tony V. Johnston, Seockmo Ku and Geun Eog Ji
Int. J. Mol. Sci. 2018, 19(9), 2671; https://doi.org/10.3390/ijms19092671 - 8 Sep 2018
Cited by 39 | Viewed by 5629
Abstract
Platycodi radix (i.e., Platycodon grandiflorum root) products (e.g., tea, cosmetics, and herbal supplements) are popular in East Asian nutraceutical markets due to their reported health benefits and positive consumer perceptions. Platycosides are the key drivers of Platycodi radixes’ biofunctional effects; their nutraceutical and [...] Read more.
Platycodi radix (i.e., Platycodon grandiflorum root) products (e.g., tea, cosmetics, and herbal supplements) are popular in East Asian nutraceutical markets due to their reported health benefits and positive consumer perceptions. Platycosides are the key drivers of Platycodi radixes’ biofunctional effects; their nutraceutical and pharmaceutical activities are primarily related to the number and varieties of sugar side-chains. Among the various platycosides, platycodin D is a major saponin that demonstrates various nutraceutical activities. Therefore, the development of a novel technology to increase the total platycodin D content in Platycodi radix extract is important, not only for consumers’ health benefits but also producers’ commercial applications and manufacturing cost reduction. It has been reported that hydrolysis of platycoside sugar moieties significantly modifies the compound’s biofunctionality. Platycodi radix extract naturally contains two major platycodin D precursors (platycoside E and platycodin D3) which can be enzymatically converted to platycodin D via β-d-glucosidase hydrolysis. Despite evidence that platycodin D precursors can be changed to platycodin D in the Platycodi radix plant, there is little research on increasing platycodin D concentrations during processing. In this work, platycodin D levels in Platycodi radix extracts were significantly increased via extracellular Aspergillus usamii β-d-glucosidase (n = 3, p < 0.001). To increase the extracellular β-d-glucosidase activity, A. usamii was cultivated in a culture media containing cellobiose as its major carbon source. The optimal pH and temperature of the fungal β-d-glucosidase were 6.0 and 40.0 °C, respectively. Extracellular A. usamii β-d-glucosidase successfully converted more than 99.9% (w/v, n = 3, p < 0.001) of platycoside E and platycodin D3 into platycodin D within 2 h under optimal conditions. The maximum level of platycodin D was 0.4 mM. Following the biotransformation process, the platycodin D was recovered using preparatory High Performance Liquid Chromatography (HPLC) and applied to in vitro assays to evaluate its quality. Platycodin D separated from the Platycodi radix immediately following the bioconversion process showed significant anti-inflammatory effects from the Lipopolysaccharide (LPS)-induced macrophage inflammatory responses with decreased nitrite and IL-6 production (n = 3, p < 0.001). Taken together, these results provide evidence that biocatalysis of Platycodi radix extracts with A. usamii may be used as an efficient method of platycodin D-enriched extract production and novel Platycodi radix products may thereby be created. Full article
(This article belongs to the Section Biochemistry)
Show Figures

Graphical abstract

12 pages, 5337 KB  
Article
Quantitative and Chemical Fingerprint Analysis for the Quality Evaluation of Platycodi Radix Collected from Various Regions in China by HPLC Coupled with Chemometrics
by Haiyang Lu, Mengzhen Ju, Shanshan Chu, Tao Xu, Yuzhe Huang, Qingyun Chan, Huasheng Peng and Shuangying Gui
Molecules 2018, 23(7), 1823; https://doi.org/10.3390/molecules23071823 - 23 Jul 2018
Cited by 28 | Viewed by 5963
Abstract
Platycodi Radix (PR) is the root of Platycodon grandiflorum (Jacq.) A. DC., which has been used for a long time in China to treat pulmonary diseases. The present study aimed to evaluate the quality of PR samples collected from 23 regions of 11 [...] Read more.
Platycodi Radix (PR) is the root of Platycodon grandiflorum (Jacq.) A. DC., which has been used for a long time in China to treat pulmonary diseases. The present study aimed to evaluate the quality of PR samples collected from 23 regions of 11 provinces in China. Eight saponins were quantified using HPLC coupled with evaporative light scattering detection (HPLC-ELSD). The samples with the highest total contents of saponins were from southern China, such as Yunnan, Guangxi, Jiangxi, and Guangzhou. The fingerprint analysis of PR samples was conducted by HPLC-UV method. Nineteen common peaks were selected and the similarity values varied from 0.607 to 0.921. These findings indicated that the saponins contents of PR from different regions varied significantly, with PR samples from southern China having the highest contents of saponins. These comprehensive methods were successful in evaluating the quality of PR samples from northern and southern China, which will serve as a guide for the development of PR as a clinical medication. Full article
Show Figures

Figure 1

9 pages, 230 KB  
Article
Two New Oleanane-Type Triterpenoids from Platycodi Radix and Anti-proliferative Activity in HSC-T6 Cells
by Qin Zhan, Feng Zhang, Lianna Sun, Zhijun Wu and Wansheng Chen
Molecules 2012, 17(12), 14899-14907; https://doi.org/10.3390/molecules171214899 - 13 Dec 2012
Cited by 18 | Viewed by 6990
Abstract
Two new oleanane-type triterpenoids, named platycodonoids A and B (1, 2), together with five known saponins, including platycodin D (3), deapioplatycodin D (4), 3-O-β-D-glucopyranosyl polygalacic acid (5), 3-O-β-D-glucopyranosyl platycodigenin ( [...] Read more.
Two new oleanane-type triterpenoids, named platycodonoids A and B (1, 2), together with five known saponins, including platycodin D (3), deapioplatycodin D (4), 3-O-β-D-glucopyranosyl polygalacic acid (5), 3-O-β-D-glucopyranosyl platycodigenin (6) and polygalacin D (7), were isolated from the roots of Platycodon grandiflorum. On the basis of spectral data and chemical evidence, the structures of the new compounds were elucidated as 2β,3β,23,24-tetrahydroxy-28-nor-olean-12-en-16-one (1) and 2β,3β,23,24- tetrahydroxy-28-nor-olean-12-en-16-one-3-O-β-D-glucopyranoside (2). Compounds 17 were evaluated for their in vitro anti-proliferative activity against the HSC-T6 cell line. Full article
Show Figures

Figure 1

12 pages, 554 KB  
Article
Response Surface Methodology to Optimize Enzymatic Preparation of Deapio-Platycodin D and Platycodin D from Radix Platycodi
by Wei Li, Li-Chun Zhao, Zi Wang, Yi-Nan Zheng, Jian Liang and Hui Wang
Int. J. Mol. Sci. 2012, 13(4), 4089-4100; https://doi.org/10.3390/ijms13044089 - 28 Mar 2012
Cited by 31 | Viewed by 9662
Abstract
In the present work, we reported the enzymatic preparation of deapio-platycodin D (dPD) and platycodin D (PD) optimized by response surface methodology (RSM) from Radix Platycodi. During investigation of the hydrolysis of crude platycosides by various glycoside hydrolases, snailase showed a strong ability [...] Read more.
In the present work, we reported the enzymatic preparation of deapio-platycodin D (dPD) and platycodin D (PD) optimized by response surface methodology (RSM) from Radix Platycodi. During investigation of the hydrolysis of crude platycosides by various glycoside hydrolases, snailase showed a strong ability to transform deapio-platycoside E (dPE) and platycoside E (PE) into dPD and PD with 100% conversion. RSM was used to optimize the effects of the reaction temperature (35–45 °C), enzyme load (5–20%), and reaction time (4–24 h) on the conversion process. Validation of the RSM model was verified by the good agreement between the experimental and the predicted values of dPD and PD conversion yield. The optimum preparation conditions were as follows: temperature, 43 °C; enzyme load, 15%; reaction time, 22 h. The biotransformation pathways were dPE→dPD3→dPD and PE→PD3→PD, respectively. The determined method may be highly applicable for the enzymatic preparation of dPD and PD for medicinal purposes and also for commercial use. Full article
(This article belongs to the Section Biochemistry)
Show Figures

6 pages, 39 KB  
Article
Neuroprotective Activity of Triterpenoid Saponins from Platycodi radix Against Glutamate-induced Toxicity in Primary Cultured Rat Cortical Cells
by Il Hong Son, Yong Hoon Park, Sung Ik Lee, Hyun Duk Yang and Hyung-In Moon
Molecules 2007, 12(5), 1147-1152; https://doi.org/10.3390/12051147 - 25 May 2007
Cited by 33 | Viewed by 11811
Abstract
During our investigation of the neuroprotective activity of Platycodi radix we found that an aqueous extract of this folk medicine exhibited significant protection against glutamate-induced toxicity in primary cultured rat cortical cells. In order to clarify the neuroprotective mechanism(s) of this observed effect, [...] Read more.
During our investigation of the neuroprotective activity of Platycodi radix we found that an aqueous extract of this folk medicine exhibited significant protection against glutamate-induced toxicity in primary cultured rat cortical cells. In order to clarify the neuroprotective mechanism(s) of this observed effect, activity-guided isolation was performed to seek and identify active fractions and components. By such fractionation, four known triterpene saponin compounds - platycodins A, C and D and deapioplatycodin D - were isolated from the n-butanol fraction. Among these four compounds, platycodin A exhibited significant neuroprotective activities against glutamate-induced toxicity, exhibiting cell viability of about 50 %, at concentrations ranging from 0.1 μM to 10 μM. Therefore, the neuroprotective effect of Platycodi radix might be due to the inhibition of glutamate-induced toxicity by the saponin compounds it contains. Full article
Show Figures

Figure 1

Back to TopTop