Sign in to use this feature.

Years

Between: -

Subjects

remove_circle_outline
remove_circle_outline
remove_circle_outline
remove_circle_outline
remove_circle_outline
remove_circle_outline
remove_circle_outline
remove_circle_outline
remove_circle_outline

Journals

remove_circle_outline
remove_circle_outline
remove_circle_outline
remove_circle_outline
remove_circle_outline
remove_circle_outline
remove_circle_outline
remove_circle_outline
remove_circle_outline
remove_circle_outline
remove_circle_outline
remove_circle_outline
remove_circle_outline
remove_circle_outline
remove_circle_outline
remove_circle_outline
remove_circle_outline
remove_circle_outline
remove_circle_outline
remove_circle_outline
remove_circle_outline
remove_circle_outline
remove_circle_outline
remove_circle_outline
remove_circle_outline
remove_circle_outline
remove_circle_outline

Article Types

Countries / Regions

remove_circle_outline
remove_circle_outline
remove_circle_outline
remove_circle_outline
remove_circle_outline
remove_circle_outline

Search Results (1,906)

Search Parameters:
Keywords = quartile

Order results
Result details
Results per page
Select all
Export citation of selected articles as:
9 pages, 647 KB  
Article
Rethinking Preoperative Risk Evaluation: How Well Does EuroSCORE II Predict Long-Term Mortality After Cardiac Surgery?—A Single-Centre Retrospective Analysis
by Andreas Koköfer, Lukas Simon Fischer, Bernhard Wernly, Daniel Dankl, Crispiana Cozowicz, Elke Boxhammer, Richard Rezar, Christian Dinges, Jan Waskowski and Niklas Rodemund
J. Clin. Med. 2026, 15(2), 837; https://doi.org/10.3390/jcm15020837 - 20 Jan 2026
Abstract
Objectives: EuroSCORE II is widely used to predict perioperative and 30-day mortality in cardiac surgery, yet data on its ability to predict long-term outcomes remain limited. This study investigates whether EuroSCORE II is associated with one-year and long-term mortality in a heterogeneous population [...] Read more.
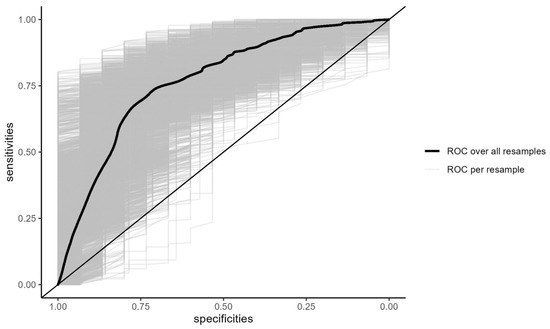
Objectives: EuroSCORE II is widely used to predict perioperative and 30-day mortality in cardiac surgery, yet data on its ability to predict long-term outcomes remain limited. This study investigates whether EuroSCORE II is associated with one-year and long-term mortality in a heterogeneous population undergoing major cardiac surgery with cardiopulmonary bypass. Methods: A retrospective cohort study was conducted including 2179 patients who underwent elective or urgent cardiac surgery with cardiopulmonary bypass between 2017 and 2021 at the University Hospital Salzburg. Data were extracted from the Salzburg Intensive Care database (SICdb) and supplemented with mortality information from Statistik Austria. EuroSCORE II values were compared between survivors and non-survivors. Kaplan–Meier analyses, Cox regression and logistic regression with ROC analysis were performed to evaluate the predictive association of EuroSCORE II with mortality. Results: EuroSCORE II was significantly higher in patients who died within one year and in those who died during a mean follow-up period of 1152.67 ± 521.39 days. Patients who survived at least one year had a median EuroSCORE II of 2.2, whereas those who died within one year had a median of 7.0. Cox regression demonstrated a hazard ratio of 1.062 for one-year mortality and 1.058 for long-term mortality. Kaplan–Meier curves showed significantly reduced survival with increasing EuroSCORE II quartiles. Logistic regression for one-year mortality yielded an AUC of 0.773, indicating good discriminative ability. Conclusions: EuroSCORE II is significantly associated with long-term mortality after major cardiac surgery, demonstrating good discriminatory performance. These findings support its potential utility not only as a short-term but also as a long-term prognostic indicator in cardiac surgery populations. Full article
(This article belongs to the Special Issue Preoperative Optimization in Cardiac Surgery)
Show Figures

Figure 1

16 pages, 3098 KB  
Article
Physical Activity and Bidirectional Stage Transitions in Cardiovascular-Kidney-Metabolic Syndrome: A Cohort Study
by Chuan Mou, Xinrui Miao and Zhihua Wang
Healthcare 2026, 14(2), 244; https://doi.org/10.3390/healthcare14020244 - 19 Jan 2026
Viewed by 60
Abstract
Background: Cardiovascular-Kidney-Metabolic (CKM) syndrome involves interconnected cardiovascular, renal, and metabolic conditions. The dose–response relationship between physical activity and bidirectional CKM stage transitions remains unclear. Methods: Using data from the China Health and Retirement Longitudinal Study (CHARLS), cross-sectional analysis pooled 14,310 observations from 10,868 [...] Read more.
Background: Cardiovascular-Kidney-Metabolic (CKM) syndrome involves interconnected cardiovascular, renal, and metabolic conditions. The dose–response relationship between physical activity and bidirectional CKM stage transitions remains unclear. Methods: Using data from the China Health and Retirement Longitudinal Study (CHARLS), cross-sectional analysis pooled 14,310 observations from 10,868 participants. Logistic regression with clustered robust standard errors accounted for intra-individual correlation. Longitudinal analysis (n = 3442) employed continuous-time multi-state Markov models with a 5-state structure (Stages 0–4). To evaluate physical activity effects, stages were regrouped into low-risk (Stages 0–2) and high-risk states (Stages 3–4) using a 2 × 2 transition intensity matrix. Physical activity was measured in MET-min/week and categorized into quartiles (Q1–Q4). Results: Compared with Q1, Q2, Q3, and Q4 were associated with 43.1%, 52.5%, and 53.1% lower risk of high-risk CKM stages, respectively. RCS analysis demonstrated nonlinear dose–response relationships between physical activity and CKM stage progression. Subgroup analyses showed more pronounced protective effects in older adults and single individuals. During 4-year follow-up, 31.6% experienced progression and 6.8% showed improvement. Stage 4 acted as a complete absorbing state without any reversal. Transition intensity analysis revealed that transitions between adjacent stages were notably higher than cross-stage transitions. The Q4 physical activity level significantly reduced transitions from low-risk to high-risk states (HR = 0.598, 95% CI: 0.459–0.777) and promoted transitions from high-risk to low-risk states (HR = 2.995, 95% CI: 1.257–7.134). Conclusions: Moderate-to-high physical activity effectively reduces CKM progression risk and promotes improvement, providing evidence for CKM prevention and management. Full article
(This article belongs to the Special Issue Association Between Physical Activity and Chronic Condition)
Show Figures

Figure 1

17 pages, 698 KB  
Article
Evaluating a Smoothie-Based Nutrition Education Program to Improve Nutrition Security in Rural Adolescents
by Amelia Sullivan, Emma Watras, Bryn Kubinsky, Kathyrn Yerxa, Kayla Gayer, Elizabeth Hufnagel, Kathleen A. Savoie and Jade McNamara
Nutrients 2026, 18(2), 305; https://doi.org/10.3390/nu18020305 - 19 Jan 2026
Viewed by 185
Abstract
Background/Objective: Nutrition security, defined as consistent access to and consumption of nutritious foods that support health, remains a persistent challenge in rural populations. The HEALTHY (Helping Early Adolescents Live Their Healthiest Youth) program aimed to improve rural adolescents’ nutrition security through school-based strategies. [...] Read more.
Background/Objective: Nutrition security, defined as consistent access to and consumption of nutritious foods that support health, remains a persistent challenge in rural populations. The HEALTHY (Helping Early Adolescents Live Their Healthiest Youth) program aimed to improve rural adolescents’ nutrition security through school-based strategies. This study evaluated its effectiveness by examining changes in fruit consumption, fruit waste, and skin carotenoid levels. Methods: A quasi-experimental, pre–post program was assessed in five rural middle schools (two experimental sites, three comparison sites). The programming paired four biweekly smoothie taste tests with nutrition education grounded in Social Cognitive Theory and Choice Architecture. Students in grades 3–8 (N = 149) participated. Digital tray photographs quantified selection and waste. The Veggie Meter® assessed skin carotenoids on a scale from 0 to 800. Surveys captured perceptions and self-reported intakes. Analyses included χ2, McNemar’s, GLMM, paired t-tests, and ANCOVA. Significance was set at p < 0.005. Results: At post-program, 98.3% of experimental trays contained the standard fruit option and/or a smoothie, compared with 41.0% of comparison trays (χ2 = 41.66, p < 0.001). Fruit selection odds were 16.22 times higher in experimental schools (95% CI: 6.30–41.77, p < 0.001). Among trays with both (n = 39), smoothie waste was lower than the standard fruit option waste (t(38) = −7.10, p < 0.001, d = 1.14), resulting in greater estimated consumption (~0.43 vs. ~0.15 cups). Skin carotenoids increased in both groups, with greater improvement among experimental students in the lowest baseline quartile, F (1,19) = 9.20, p = 0.007, partial η2 = 0.326. Conclusions: The HEALTHY program, which paired frozen-fruit smoothies with nutrition education, may offer a feasible and scalable approach to improving nutrition security among rural adolescents. Full article
Show Figures

Figure 1

15 pages, 539 KB  
Article
Association of Corneal Biomechanical Properties with Fingertip-Measured Advanced Glycation End Products and Carotenoids in Glaucoma Patients
by Keigo Takagi, Hinako Ohtani, Chisako Ida, Mizuki Koike, Kana Murakami and Masaki Tanito
J. Clin. Med. 2026, 15(2), 783; https://doi.org/10.3390/jcm15020783 - 18 Jan 2026
Viewed by 125
Abstract
Background/Objectives: Advanced glycation end products (AGEs) and carotenoids are systemic indicators of metabolic and oxidative status, yet their influence on ocular tissue biomechanics remains unclear. This study investigated the relationships between systemic AGEs and skin carotenoid levels, as well as corneal biomechanical properties [...] Read more.
Background/Objectives: Advanced glycation end products (AGEs) and carotenoids are systemic indicators of metabolic and oxidative status, yet their influence on ocular tissue biomechanics remains unclear. This study investigated the relationships between systemic AGEs and skin carotenoid levels, as well as corneal biomechanical properties in glaucoma patients. Methods: A retrospective observational analysis was performed on 676 patients (1278 eyes) who attended the glaucoma clinic at Shimane University Hospital between May 2019 and August 2024. Fingertip skin autofluorescence (sAF)-based AGE scores using AGE Sensor® and skin carotenoid scores using the Veggie Meter® were collected as part of systemic evaluation. Corneal hysteresis (CH), corneal resistance factor (CRF), Goldmann-correlated intraocular pressure (IOPg), and corneal compensated intraocular pressure (IOPcc) were measured using the ocular response analyzer (ORA). Associations between systemic variables, AGEs, carotenoids, and ORA parameters were analyzed using univariate tests, mixed-effects regression models, and quartile-based comparisons. Results: The mean AGEs and carotenoid scores were 0.42 ± 0.10 arbitrary units and 338.5 ± 130.8 optical density units, respectively. Via a univariate analysis, an inverse association was found between carotenoid level and CRF; however, via multivariate analyses, neither AGEs nor carotenoid levels were associated with IOPg, IOPcc, CH, or CRF in any analysis. In contrast, demographic parameters showed significant associations with ORA parameters. Via quartile-based comparisons, a significant inverse correlation was found between AGEs and carotenoids (p < 0.0001). Conclusions: In conclusion, sAF-measured AGEs and skin carotenoids showed no remarkable associations with corneal biomechanical properties. AGEs and carotenoids demonstrated an inverse relationship with each other, and each marker was associated with several demographic parameters. Full article
(This article belongs to the Special Issue Glaucoma: Advances in Diagnosis, Management, and Vision Preservation)
Show Figures

Figure 1

16 pages, 947 KB  
Article
Multi-Marker Approach in Sepsis: A Clinical Role Beyond SOFA Score
by Gun Hyuk Lee, Hanah Kim, Hee-Won Moon, Yeo-Min Yun, Seungho Lee and Mina Hur
Medicina 2026, 62(1), 201; https://doi.org/10.3390/medicina62010201 - 18 Jan 2026
Viewed by 74
Abstract
Background and Objectives: Procalcitonin (PCT), presepsin (PSEP), interferon-λ3 (IFN-λ3), and bioactive adrenomedullin (bio-ADM) are promising sepsis biomarkers. We explored the clinical utility of a multi-marker approach using these four biomarkers in patients with suspected sepsis. Materials and Methods: In a total [...] Read more.
Background and Objectives: Procalcitonin (PCT), presepsin (PSEP), interferon-λ3 (IFN-λ3), and bioactive adrenomedullin (bio-ADM) are promising sepsis biomarkers. We explored the clinical utility of a multi-marker approach using these four biomarkers in patients with suspected sepsis. Materials and Methods: In a total of 248 patients, the biomarkers were evaluated with the sequential organ failure assessment (SOFA) score. Receiver operating characteristic curves with area under the curve (AUC) were analyzed to diagnose sepsis and predict in-hospital mortality. Survival and reclassification analyses were also used to predict in-hospital mortality. Results: The four biomarkers showed comparable diagnostic performance (AUC = 0.61–0.95, p < 0.001–0.003), and sepsis proportion increased significantly as the number of biomarkers used in the multi-marker approach increased (7.7–91.7%, p < 0.001). The proportion of biomarker quartiles (Q1–Q4) differed significantly according to SOFA score (p < 0.001). The four biomarkers predicted in-hospital mortality (AUC = 0.63–0.84, p < 0.001–0.004). The multi-marker approach performed better than the SOFA score (mortality rate, 58.3% vs. 31.3%; adjusted hazard ratio [HR], 14.7 vs. 4.6), and the addition of biomarkers to the SOFA score increased the performance. The multi-marker approach resulted in a higher HR in patients aged ≥75 years than in the overall population (9.2 vs. 4.2). Conclusions: Each biomarker showed clinical utility in patients with suspected sepsis. The multi-marker approach showed complementary clinical utility in addition to the SOFA score and better prognostic performance in patients aged ≥75 years. The use of biomarkers, alone or in combination, would be a valuable tool in combination with the SOFA score. Full article
(This article belongs to the Collection The Utility of Biomarkers in Disease Management Approach)
Show Figures

Figure 1

33 pages, 2270 KB  
Article
Thermal Stress, Energy Anxiety, and Vulnerable Households in a Just Transition Region: Evidence from Western Macedonia, Greece
by Stavros P. Migkos, Androniki Katarachia and Polytimi M. Farmaki
World 2026, 7(1), 8; https://doi.org/10.3390/world7010008 - 13 Jan 2026
Viewed by 196
Abstract
This study investigates thermal stress and energy-related anxiety as lived, multidimensional manifestations of energy poverty in Western Macedonia, Greece, a coal phase-out region undergoing just transition. Using a 261-household survey, we construct a thermal stress index from four Likert-type items capturing seasonal thermal [...] Read more.
This study investigates thermal stress and energy-related anxiety as lived, multidimensional manifestations of energy poverty in Western Macedonia, Greece, a coal phase-out region undergoing just transition. Using a 261-household survey, we construct a thermal stress index from four Likert-type items capturing seasonal thermal adequacy, energy anxiety, and restricted use of rooms. High thermal stress is defined as the upper quartile of the index. Descriptive results indicate that high thermal stress affects 27.2% of households, exceeding a 20% threshold, while energy-related anxiety and restricted room use are widespread. We then estimate logistic regression models to examine whether vulnerability characteristics (disability-related thermal/electric needs, single parenthood, dependent children, benefit receipt, elderly presence), financial stress indicators (arrears, energy debt, frequent forced reductions in consumption), and socio-economic controls (income, employment, tenure, age, gender) predict high thermal stress. Adjusted models show that vulnerability markers do not retain statistically independent associations once controls are included. In contrast, tenure and energy-related financial stress are significantly associated with the probability of high thermal stress. The findings highlight the importance of measurement choices and suggest that experiential indicators capture energy-poverty dynamics that are not reducible to income-based targeting, with implications for just-transition policy design and energy justice. Full article
Show Figures

Figure 1

10 pages, 1412 KB  
Article
Cystatin C Mirrors Fibrosis Burden in Metabolic Syndrome: Insights from the Metabolic Dysfunction-Associated Fibrosis-5 Score
by Musa Salmanoğlu, Sinan Kazan, Elif Yıldırım Ayaz, Süleyman Kılıç, Elif Kazan and Sena Ulu
Metabolites 2026, 16(1), 71; https://doi.org/10.3390/metabo16010071 - 13 Jan 2026
Viewed by 128
Abstract
Background: Metabolic syndrome (MetS) comprises interrelated metabolic abnormalities that collectively confer increased risk of cardiovascular disease and hepatic morbidity. The MAF-5 score is a non-invasive prognostic marker of liver fibrosis and mortality, while Cystatin C (CysC) is a sensitive indicator of renal function [...] Read more.
Background: Metabolic syndrome (MetS) comprises interrelated metabolic abnormalities that collectively confer increased risk of cardiovascular disease and hepatic morbidity. The MAF-5 score is a non-invasive prognostic marker of liver fibrosis and mortality, while Cystatin C (CysC) is a sensitive indicator of renal function that also reflects inflammation, atherosclerosis, and metabolic dysfunction. Although both MetS and CysC have been widely studied, their potential interplay via MAF-5 remains unclear. We aimed to investigate the relationship between MAF-5 scores and CysC levels in MetS patients for the first time. Materials and Methods: Adults (≥18 years) with MetS were included in this study. MAF-5 scores (based on waist circumference, BMI, diabetes status, AST, and platelet count) and CysC levels were recorded. The MAF-5–CysC relationship was assessed via Pearson correlation. Participants were grouped into MAF-5 quartiles, and continuous variables were compared using ANOVA with Bonferroni-corrected pairwise tests. Results: We included 347 MetS patients (54.8% female, median age 54 years). The median MAF-5 score was 1.25, and MAF-5 correlated positively with CysC (r = 0.357, p < 0.001). CysC levels differed significantly across MAF-5 quartiles (Q1 = 0.96, Q2 = 0.99, Q3 = 1.06, Q4 = 1.09; p < 0.001), with Q4 showing higher values than Q1 and Q2. Conclusions: A significant correlation was found between MAF-5 scores and CysC in patients with MetS. CysC levels differed significantly across MAF-5 quartiles, suggesting a potential link between systemic inflammation, liver fibrosis, and CysC. These results highlight shared inflammatory and fibrotic pathways, underlying metabolic dysfunction. Clinically, combined assessment of MAF-5 and CysC may improve risk stratification, identifying patients at higher risk for hepatic fibrosis and adverse outcomes. Full article
(This article belongs to the Section Endocrinology and Clinical Metabolic Research)
Show Figures

Graphical abstract

19 pages, 1472 KB  
Article
Learning Curve in Endoscopic Pituitary Surgery: Is Progress over Time Always Guaranteed? A Consecutive Series of 123 Cases from a Single Center
by Marta Koźba-Gosztyła, Anastasija Krzemińska, Tomasz Szczepański and Bogdan Czapiga
J. Clin. Med. 2026, 15(2), 569; https://doi.org/10.3390/jcm15020569 - 10 Jan 2026
Viewed by 153
Abstract
Objectives: To characterize the learning curve of endoscopic transsphenoidal pituitary adenoma surgery performed by a single neurosurgeon, assess how operative time, resection rates, and clinical outcomes evolved with experience, and identify tumor-related factors influencing surgical performance. Methods: This retrospective study included 123 consecutive [...] Read more.
Objectives: To characterize the learning curve of endoscopic transsphenoidal pituitary adenoma surgery performed by a single neurosurgeon, assess how operative time, resection rates, and clinical outcomes evolved with experience, and identify tumor-related factors influencing surgical performance. Methods: This retrospective study included 123 consecutive endoscopic transsphenoidal pituitary adenoma resections performed between 2018 and 2025. Cases were divided into quartiles according to chronological order. Clinical, radiological, endocrinological, and operative variables were analyzed. Gross total resection (GTR), biochemical remission, postoperative complications, and visual and cranial nerve outcomes were compared between quartiles. A segmented linear regression model was applied to identify changepoints in the operative-time learning curve. Statistical significance was set at p < 0.05. Results: The mean operative time decreased by 31.8%, from 160.8 min in Quartile 1 to 109.7 min in Quartile 4. Segmented regression revealed two changepoints at cases 47 and 85, defining three learning phases: a steep improvement phase, a consolidation phase, and a plateau. GTR was achieved in 51.2% of patients and did not significantly differ across quartiles. For Knosp 0–2 tumors, GTR was 76.1% overall; for Knosp 3–4 tumors, 30%. Tumor diameter, Knosp grade, and sphenoid sinus invasion were strongly associated with lower GTR rates (all p < 0.05). Biochemical remission was achieved in 74.2% of patients with functional adenomas. New or worsened postoperative pituitary insufficiency significantly decreased across quartiles (p < 0.001). Rates of postoperative diabetes insipidus (30.8%) and CSF leak (6.5%) were comparable with published literature and showed no consistent temporal trend. Conclusions: A clear learning curve exists in endoscopic pituitary surgery, with operative proficiency achieved after approximately 50 cases and an experienced plateau after ~90 cases. Surgical experience significantly reduced operative time and postoperative pituitary insufficiency but did not influence GTR rates, likely due to a high and increasing proportion of large tumors with cavernous sinus invasion. Tumor size, Knosp grade, and sphenoid sinus invasion were identified as major determinants of surgical complexity and should be accounted for when evaluating learning curves and surgical outcomes. Full article
(This article belongs to the Section Oncology)
Show Figures

Figure 1

11 pages, 605 KB  
Article
Factors Associated with Helmet Therapy Outcomes in Positional Plagiocephaly
by Sumin Lee, Eunju Na, Joon Won Seo, Seung Ok Nam, Eunyoung Kang, Dong-Hyuk Kim, Sunghoon Lee, Jihong Cheon, Hyeng-Kyu Park and Younkyung Cho
J. Clin. Med. 2026, 15(2), 566; https://doi.org/10.3390/jcm15020566 - 10 Jan 2026
Viewed by 153
Abstract
Background: Helmet therapy is considered to be a treatment for infants with positional plagiocephaly. Although some studies suggest that anterior fontanelle (AF) size may also affect treatment outcomes, evidence and influence remain unclear. The aim of this study is to assess the impact [...] Read more.
Background: Helmet therapy is considered to be a treatment for infants with positional plagiocephaly. Although some studies suggest that anterior fontanelle (AF) size may also affect treatment outcomes, evidence and influence remain unclear. The aim of this study is to assess the impact of anterior fontanelle size on the effectiveness of helmet therapy, with the goal of determining the optimal timing and patient criteria for treatment. Methods: We conducted a retrospective study of 94 infants treated with helmet therapy for positional plagiocephaly at Kwangju Christian Hospital between January 2020 and December 2021. Patients were divided into two age groups (≤6 months and >6 months) and three SAF quartiles (≤25%, 25–75%, ≥75%). Parameters reflecting the degree of cranial asymmetry correction, including cranial vault asymmetry (CVA) and cranial vault asymmetry index (CVAI), were recorded at the start and end of treatment. Results: Infants aged ≤6 months showed significantly greater improvements in cranial vault asymmetry (CVA) and cranial vault asymmetry index (CVAI) compared to older infants (CVA: 4.57 ± 2.30 mm vs. 7.04 ± 3.85 mm, p = 0.003; CVAI: 3.10 ± 1.55% vs. 4.45 ± 2.44%, p = 0.011). When analyzed by anterior fontanelle (AF) size quartiles (≤25%, 25–75%, ≥75%), no significant differences in treatment outcomes were observed at the end of therapy for CVA (p = 0.88) or CVAI (p = 0.91). In infants ≤6 months, SAF quartile analysis also showed no significant differences in CVA (p = 0.97) or CVAI (p = 0.98) improvements. Conclusions: Our findings indicate that anterior fontanelle size is not a predictor of helmet therapy outcomes in positional plagiocephaly. Early initiation of helmet therapy (≤6 months) remains the most critical factor for achieving optimal results. Full article
(This article belongs to the Section Clinical Rehabilitation)
Show Figures

Figure 1

16 pages, 600 KB  
Article
Stunting Among HIV-Exposed and HIV-Free Children in eSwatini: A Retrospective Evaluation of Associations with Birthweight, Feeding, and Caregiving Practices
by Bareng A. S. Nonyane, Letha Varughese, Jigna M. Dharod, Xolisile Dlamini, Andrea Ruff and Maureen M. Black
Nutrients 2026, 18(2), 198; https://doi.org/10.3390/nu18020198 - 8 Jan 2026
Viewed by 227
Abstract
Background/Objectives. Associations between stunting and dietary practices have been understudied among HIV-exposed and HIV-free children. We investigated associations between birthweight, socio-demographics, and dietary and feeding practices with stunting at 9 and 18 months among children in eSwatini. Methods. We used generalized [...] Read more.
Background/Objectives. Associations between stunting and dietary practices have been understudied among HIV-exposed and HIV-free children. We investigated associations between birthweight, socio-demographics, and dietary and feeding practices with stunting at 9 and 18 months among children in eSwatini. Methods. We used generalized linear mixed models (GLMs) with a logit link to characterize associations between stunting and birthweight quartiles, socio-demographics, maternal characteristics, and infant dietary diversity scores. We examined the moderating effects of dietary factors on relations between birthweight and stunting. Generalized structural equation models characterized direct and indirect associations between exposures and stunting at 18 months, mediated through stunting at 9 months. Results. We included 367 HIV-exposed and HIV-free children. Infants in the third and fourth birthweight quartiles had reduced odds of stunting at 9 months [adjusted odds ratio (adj OR) 0.24 (IQR 0.11, 0.55), p < 0.001; 0.10 (0.03, 0.33), p < 0.001, respectively]. Moderation by dietary diversity was limited to a relative decline in the second birthweight quartile. Stunting prevalence significantly increased from 9 months (21%) to 18 months (37%). Mediated by stunting at 9 months, there were significant direct and indirect effects of birthweight and dietary diversity on stunting at 18 months. Conclusions. Among HIV-exposed and HIV-free children, stunting prevalence increased with age and was associated with lower birthweight. Dietary diversity attenuated stunting risk among children in the second birthweight quartile. Prenatal strategies to reduce low birth weight (LBW) and additional attention to the social determinants of health, particularly dietary diversity, are warranted in programs and policies to reduce stunting. Full article
(This article belongs to the Special Issue Infant and Toddler Feeding and Development)
Show Figures

Figure 1

20 pages, 1630 KB  
Article
Leveraging the Individualized Metabolic Surgery Score to Predict Weight Loss with Tirzepatide in Adults with Type 2 Diabetes and Obesity
by Regina Castaneda, Diego Sepulveda, Rene Rivera Gutierrez, Jose Villamarin, Dima Bechenati, Maria A. Espinosa, Alfredo Verastegui, Elif Tama, Allyson W. McNally, Pamela K. Bennett, Andres Acosta and Maria D. Hurtado Andrade
Diabetology 2026, 7(1), 10; https://doi.org/10.3390/diabetology7010010 - 5 Jan 2026
Viewed by 350
Abstract
Background/Objectives: Individuals with type 2 diabetes (T2D) achieve less total body weight loss (TBWL) with obesity medications compared to those without T2D. The individualized metabolic surgery (IMS) score, originally developed to predict T2D remission after bariatric surgery, inversely correlates with TBWL response to [...] Read more.
Background/Objectives: Individuals with type 2 diabetes (T2D) achieve less total body weight loss (TBWL) with obesity medications compared to those without T2D. The individualized metabolic surgery (IMS) score, originally developed to predict T2D remission after bariatric surgery, inversely correlates with TBWL response to semaglutide. IMS reflects T2D severity, incorporating HbA1c and T2D duration and medication use. This study aims to evaluate TBWL with tirzepatide across IMS severity categories and identify predictors of response in a real-world cohort. Methods: This retrospective analysis included 717 adults with T2D using tirzepatide for overweight or obesity within the Mayo Clinic Health System. Patients were stratified by IMS severity (mild, moderate, severe) and quartiles. Primary endpoint: TBWL% at 15 months. Secondary endpoints: categorical thresholds (≥5%, ≥10%, ≥15%, ≥20%) and predictors of TBWL%. Linear mixed-effects models and regression models were employed. Results: At 15 months, TBWL was greater in mild versus severe IMS groups (14.8% vs. 11.0%, p = 0.015), with similar trends across quartiles. The proportion achieving ≥ 20% TBWL was nearly two-fold higher in mild versus severe IMS (27% vs. 14%, p = 0.03). Female sex independently predicted greater TBWL, whereas insulin use, higher T2D medication burden (particularly weight-promoting agents), and HbA1c > 7% were associated with less TBWL. Conclusions: Tirzepatide produced clinically meaningful TBWL across all IMS categories, although TBWL declined with increasing IMS severity. Glycemic control and T2D medication use emerged as strong predictors of TBWL. The IMS score may serve as a practical tool to anticipate weight-loss trajectories, guide personalized treatment decisions, and inform patient counseling. Full article
Show Figures

Figure 1

12 pages, 1109 KB  
Article
Physical Fitness Level in 9–11-Year-Old Italian Children Is Affected by Body Mass Index and Frequency of Sport Practice but Not by Peak Height Velocity and Relative Age Effect
by Mattia Varalda, Alexandru Nicolae Ungureanu, Alberto Coassin, Nicolò Maffei, Damiano Li Volsi, Paolo Riccardo Brustio and Corrado Lupo
Sports 2026, 14(1), 10; https://doi.org/10.3390/sports14010010 - 3 Jan 2026
Viewed by 317
Abstract
This study was aimed at analyzing physical fitness in 9–11-year-old children and verifying whether it is affected by body mass index (BMI), peak height velocity (PHV), quartile distribution (QD), and sport practice (SP), also considering any potential effects of sex. One thousand one [...] Read more.
This study was aimed at analyzing physical fitness in 9–11-year-old children and verifying whether it is affected by body mass index (BMI), peak height velocity (PHV), quartile distribution (QD), and sport practice (SP), also considering any potential effects of sex. One thousand one hundred forty-three Italian primary school children (50.7% males) underwent anthropometric measurements (body mass, height, and BMI) and physical tests for measuring coordination (Plate Tapping, PT), handgrip strength (HandGrip, HG), lower-limb power (standing long jump, SLJ), low-back flexibility (sit-and-reach, SR), and sprint (20 m sprint, 20 m) skills. A series of analyses of covariance (ANCOVAs) were conducted using age as a covariate to examine differences among subgroups for BMI, PHV, QD, and SP in relation to the different physical tests (i.e., PT, HG, SLJ, SL, 20 m). Sex was included in each model as fixed independent variable. Principally, participants with higher SP and BMI reported higher and lower performance (p < 0.001) in SLJ, SR, and 20 m tests, respectively. Differently, for higher BMI levels, higher HG performance was reported (p < 0.001). PHV and QD had isolated effects, whereas no effect emerged for PT. Sex interactions were found only for SP subcategories in SR (p ≤ 0.001, ES range = 0.74–1.30). Although physical performance in 9–11-year-old (non-competitive, pre-puberty) Italian students does not seem to be characterized by involuntary factors (such as PHV and QD), substantial opposite trends seem to exist for voluntary factors (such as BMI and SP), thus suggesting how an adequate lifestyle and physical activity could crucially lead to valuable fitness benefits. Full article
Show Figures

Figure 1

12 pages, 1308 KB  
Article
Peak Lactate Within 24 h and Mortality in Septic Shock Patients Receiving Continuous Renal Replacement Therapy: A Real-World Cohort from an Asian ICU (2018–2020)
by Wei-Hung Chang, Ting-Yu Hu and Li-Kuo Kuo
Life 2026, 16(1), 62; https://doi.org/10.3390/life16010062 - 31 Dec 2025
Viewed by 384
Abstract
Background: Serum lactate is a key biomarker of tissue hypoperfusion and metabolic stress in sepsis. Although lactate clearance is widely recognized, many intensive care units record only a peak lactate within 24 h (pLac-24h). The prognostic value of pLac-24h among patients receiving blood [...] Read more.
Background: Serum lactate is a key biomarker of tissue hypoperfusion and metabolic stress in sepsis. Although lactate clearance is widely recognized, many intensive care units record only a peak lactate within 24 h (pLac-24h). The prognostic value of pLac-24h among patients receiving blood purification therapy remains unclear in Asian intensive care settings. Methods: We retrospectively analyzed the 2018–2020 ICU dataset from MacKay Memorial Hospital, Taiwan. Among 16,693 adult ICU admissions, 2506 patients received continuous renal replacement therapy (CRRT) as blood purification for severe sepsis or septic shock. Of these, 1264 (50.4%) had available pLac-24h data, and 27 (1.1%) also required extracorporeal membrane oxygenation (ECMO). The primary outcome was 28-day all-cause mortality. Multivariate logistic regression adjusted for age, sex, APACHE II score, infection source, and CRRT/ECMO use. Discrimination was evaluated by receiver operating characteristic (ROC) curves and decision-curve analysis. This analysis was conducted as a predefined sub-analysis of an institutional ICU database. Results: The mean age of the cohort was 65.7 ± 13.4 years, and 64.8% were male. Median pLac-24h was 5.1 mmol/L (IQR 3.2–8.6). The overall 28-day mortality among CRRT patients was 47.3%. Mortality rose progressively across pLac-24h quartiles (Q1–Q4: 28.9%, 39.4%, 54.7%, and 68.1%; p < 0.001). Each 1 mmol/L increase in pLac-24h independently predicted higher mortality (adjusted OR 1.18, 95% CI 1.10–1.26, p < 0.001). The area under the ROC curve for pLac-24h predicting 28-day mortality was 0.78 (95% CI 0.74–0.82), outperforming the APACHE II score (AUC 0.69, p = 0.02). Conclusions: In critically ill patients with septic shock undergoing CRRT, peak lactate within 24 h was a strong, independent predictor of 28-day mortality. pLac-24h offers a pragmatic, readily available prognostic indicator when serial lactate measurements are unavailable, supporting its integration into bedside risk assessment in real-world Asian ICU practice. Full article
(This article belongs to the Special Issue Acute Kidney Events in Intensive Care)
Show Figures

Figure 1

11 pages, 2455 KB  
Article
Combined Impact of Mean and Variability of Non-HDL Cholesterol on Myocardial Infarction in Hemodialysis Patients
by Hanbi Lee, Ji Won Min, Tae Hyun Ban, Eun Sil Koh, Hye Eun Yoon, Young Soo Kim, Hyung Wook Kim and Byung Ha Chung
J. Clin. Med. 2026, 15(1), 242; https://doi.org/10.3390/jcm15010242 - 28 Dec 2025
Viewed by 321
Abstract
Objectives: The aim of this study was to stratify cardiovascular risk based on the mean and variability of non-high-density lipoprotein cholesterol (non-HDL-C) in patients undergoing hemodialysis. Methods: Data were analyzed for 453 hemodialysis patients without a history of myocardial infarction (MI) [...] Read more.
Objectives: The aim of this study was to stratify cardiovascular risk based on the mean and variability of non-high-density lipoprotein cholesterol (non-HDL-C) in patients undergoing hemodialysis. Methods: Data were analyzed for 453 hemodialysis patients without a history of myocardial infarction (MI) or stroke, who underwent at least five lipid profile measurements at any one of seven university hospitals in the Republic of Korea between March 2009 and December 2020. Visit-to-visit non-HDL-C variability was calculated using the coefficient of variation. The endpoints of the study were newly diagnosed MI, stroke, or all-cause death. Patients were divided into four groups according to quartiles of the mean and variability of non-HDL-C. Results: During a median follow-up of 97.0 months, there were 39 cases of MI, 99 cases of stroke, and 96 deaths. The cumulative incidence rate of MI was significantly highest in the low mean/high variability group (log-rank p = 0.0296). However, there were no significant differences between groups in the incidence rates of stroke (log-rank p = 0.9939) or all-cause mortality (log-rank p = 0.9373). In the multivariable Cox regression analysis, age and low mean/high variability (HR: 3.311, 95% CI: 1.380–7.944) were identified as independent risk factors for MI. However, for stroke and all-cause mortality, age was the only independent risk factor. Moreover, neither the mean nor the variability of non-HDL-C alone was associated with MI, stroke, or all-cause mortality. Conclusions: Our results suggest that the coexistence of low mean non-HDL-C and high variability is associated with an elevated risk of MI in hemodialysis patients. Full article
(This article belongs to the Section Nephrology & Urology)
Show Figures

Figure 1

10 pages, 1548 KB  
Article
Association Between High-Density Lipoprotein Cholesterol Levels and Sarcopenia in Elderly Koreans
by Jun-Young Huh, Junghwan Cho and Hye Rang Bak
J. Clin. Med. 2026, 15(1), 183; https://doi.org/10.3390/jcm15010183 - 26 Dec 2025
Viewed by 272
Abstract
Background/Objectives: High-density lipoprotein cholesterol (HDL-C) regulates muscle energy metabolism and function, enhancing glucose uptake and promoting glycogen synthesis. However, studies on the association between HDL-C levels and sarcopenia remain controversial. We therefore investigated the association between HDL-C levels and sarcopenia in elderly [...] Read more.
Background/Objectives: High-density lipoprotein cholesterol (HDL-C) regulates muscle energy metabolism and function, enhancing glucose uptake and promoting glycogen synthesis. However, studies on the association between HDL-C levels and sarcopenia remain controversial. We therefore investigated the association between HDL-C levels and sarcopenia in elderly Koreans. Methods: This cross-sectional study was based on previously collected, anonymous health checkup data. Participants included 3776 individuals aged 65 years and older who underwent body composition analysis using a bioelectrical impedance meter during a health checkup in 2024. Sarcopenia was defined as an appendicular skeletal muscle index of <7.0 kg/m2 for males and <5.7 kg/m2 for females. Logistic regression analyses were performed for each variable, including HDL-C levels, to identify sarcopenia association expressed as odds ratios (ORs). Participants were further divided into four quartiles according to HDL-C levels, and comparative multivariable analyses were performed, with the quartile with the lowest HDL-C level serving as the reference. Results: Of the 3776 Koreans with a mean age of 70.5 years, sarcopenia was diagnosed in 23.1% (n = 872) of participants. Sarcopenia prevalence showed a steadily increasing trend from the lowest quartile group (Q1, n = 977) with HDL-C levels ≤48 mg/dL to the highest quartile group (Q4, n = 974) at ≥67 mg/dL (p < 0.001). After adjusting for sarcopenia-associated risk factors, a significant association was found between the condition and HDL-C levels (OR 1.01, 95% CI 1.00–1.02; p = 0.008). Q4 showed a consistent sarcopenia association compared with Q1, even after adjusting for all variables (OR 1.36, 95% CI 1.05–1.75; p = 0.018). Conclusions: In Koreans aged 65 years and older, we found an association between high HDL-C levels and sarcopenia. Full article
(This article belongs to the Section Geriatric Medicine)
Show Figures

Figure 1

Back to TopTop