Sign in to use this feature.

Years

Between: -

Subjects

remove_circle_outline
remove_circle_outline
remove_circle_outline
remove_circle_outline
remove_circle_outline
remove_circle_outline
remove_circle_outline
remove_circle_outline
remove_circle_outline

Journals

remove_circle_outline
remove_circle_outline
remove_circle_outline
remove_circle_outline
remove_circle_outline
remove_circle_outline
remove_circle_outline
remove_circle_outline
remove_circle_outline
remove_circle_outline
remove_circle_outline
remove_circle_outline
remove_circle_outline
remove_circle_outline

Article Types

Countries / Regions

remove_circle_outline
remove_circle_outline
remove_circle_outline
remove_circle_outline
remove_circle_outline

Search Results (1,137)

Search Parameters:
Keywords = quantification of uncertainty

Order results
Result details
Results per page
Select all
Export citation of selected articles as:
13 pages, 11106 KB  
Article
Quantification of Yield Gain from Bifacial PV Modules in Multi-Megawatt Plants with Sun-Tracking Systems
by Gabriele Malgaroli, Fabiana Matturro, Andrea Cagnetti, Aleandro Vivino, Ludovico Terzi, Alessandro Ciocia and Filippo Spertino
Solar 2025, 5(4), 49; https://doi.org/10.3390/solar5040049 - 21 Oct 2025
Abstract
Nowadays, bifacial photovoltaic (PV) technology has emerged as a key solution to enhance the energy yield of large-scale PV plants, especially when integrated with sun-tracking systems. This study investigates the quantification of bifaciality productivity for two multi-MW PV plants in southern Italy (Sicily) [...] Read more.
Nowadays, bifacial photovoltaic (PV) technology has emerged as a key solution to enhance the energy yield of large-scale PV plants, especially when integrated with sun-tracking systems. This study investigates the quantification of bifaciality productivity for two multi-MW PV plants in southern Italy (Sicily) equipped with monocrystalline silicon bifacial modules installed on single-axis east–west tracking systems and aligned in the north–south direction. An optimized energy model was developed at the stringbox level, employing a dedicated procedure including data filtering, clear-sky condition selection, and numerical estimation of bifaciality factors. The model was calibrated using on-field measurements acquired during the first operational months to minimize uncertainties related to degradation phenomena. The application of the model demonstrated that the rear-side contribution to the total energy output is non-negligible, resulting in additional energy gains of approximately 5.3% and 3% for the two plants, respectively. Full article
Show Figures

Figure 1

14 pages, 957 KB  
Article
TECP: Token-Entropy Conformal Prediction for LLMs
by Beining Xu and Yongming Lu
Mathematics 2025, 13(20), 3351; https://doi.org/10.3390/math13203351 - 21 Oct 2025
Abstract
Uncertainty quantification (UQ) for open-ended language generation remains a critical yet underexplored challenge, particularly in settings where token-level log-probabilities are available during decoding. We present Token-Entropy Conformal Prediction (TECP), which treats a log-probability-based token-entropy statistic as a nonconformity score and integrates it [...] Read more.
Uncertainty quantification (UQ) for open-ended language generation remains a critical yet underexplored challenge, particularly in settings where token-level log-probabilities are available during decoding. We present Token-Entropy Conformal Prediction (TECP), which treats a log-probability-based token-entropy statistic as a nonconformity score and integrates it with split conformal prediction to construct prediction sets with finite-sample coverage guarantees. We work in a white-box regime in which per-token log-probabilities are accessible during decoding. TECP estimates episodic uncertainty from the token-entropy structure of sampled generations and calibrates thresholds via conformal quantiles to ensure provable error control. Empirical evaluations across six large language models and two QA benchmarks (CoQA and TriviaQA) show that TECP consistently achieves reliable coverage and compact prediction sets, outperforming prior self-UQ methods. These results provide a principled and efficient solution for trustworthy generation in white-box, log-probability-accessible LLM settings. Full article
(This article belongs to the Topic Challenges and Solutions in Large Language Models)
Show Figures

Figure 1

28 pages, 7150 KB  
Article
Distress-Level Prediction of Pavement Deterioration with Causal Analysis and Uncertainty Quantification
by Yifan Sun, Qian Gao, Feng Li and Yuchuan Du
Appl. Sci. 2025, 15(20), 11250; https://doi.org/10.3390/app152011250 - 21 Oct 2025
Abstract
Pavement performance prediction serves as a core basis for maintenance decision-making. Although numerous studies have been conducted, most focus on road segments and aggregate indicators such as IRI and PCI, with limited attention to the daily deterioration of individual distresses. Subject to the [...] Read more.
Pavement performance prediction serves as a core basis for maintenance decision-making. Although numerous studies have been conducted, most focus on road segments and aggregate indicators such as IRI and PCI, with limited attention to the daily deterioration of individual distresses. Subject to the combined influence of multiple factors, pavement distress deterioration exhibits pronounced nonlinear and time-lag characteristics, making distress-level predictions prone to disturbances and highly uncertain. To address this challenge, this study investigates the distress-level deterioration of three representative distresses—transverse cracks, alligator cracks, and potholes—with causal analysis and uncertainty quantification. Based on two years of high-frequency road inspection data, a continuous tracking dataset comprising 164 distress sites and 9038 records was established using a three-step matching algorithm. Convergent cross mapping was applied to quantify the causal strength and lag days of environmental factors, which were subsequently embedded into an encoder–decoder framework to construct a BayesLSTM model. Monte Carlo Dropout was employed to approximate Bayesian inference, enabling probabilistic characterization of predictive uncertainty and the construction of prediction intervals. Results indicate that integrating causal and time-lag characteristics improves the model’s capacity to identify key drivers and anticipate deterioration inflection points. The proposed BayesLSTM achieved high predictive accuracy across all three distress types, with a prediction interval coverage of 100%, thereby enhancing the reliability of prediction by providing both deterministic results and interval estimates. These findings facilitate the identification of high-risk distresses and their underlying mechanisms, offering support for rational allocation of maintenance resources. Full article
(This article belongs to the Special Issue New Technology for Road Surface Detection, 2nd Edition)
Show Figures

Figure 1

19 pages, 483 KB  
Article
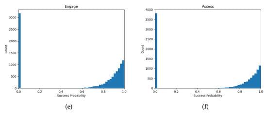
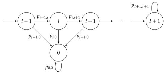
Probabilistic Models for Military Kill Chains
by Stephen Adams, Alex Kyer, Brian Lee, Dan Sobien, Laura Freeman and Jeremy Werner
Systems 2025, 13(10), 924; https://doi.org/10.3390/systems13100924 - 20 Oct 2025
Abstract
Military kill chains are the sequence of events, tasks, or functions that must occur to successfully accomplish a mission. As the Department of Defense moves towards Combined Joint All-Domain Command and Control, which will require the coordination of multiple networked assets with the [...] Read more.
Military kill chains are the sequence of events, tasks, or functions that must occur to successfully accomplish a mission. As the Department of Defense moves towards Combined Joint All-Domain Command and Control, which will require the coordination of multiple networked assets with the ability to share data and information, kill chains must evolve into kill webs with multiple paths to achieve a successful mission outcome. Mathematical frameworks for kill webs provide the basis for addressing the complexity of this system-of-systems analysis. A mathematical framework for kill chains and kill webs would provide a military decision maker a structure for assessing several key aspects to mission planning including the probability of success, alternative chains, and parts of the chain that are likely to fail. However, to the best of our knowledge, a generalized and flexible mathematical formulation for kill chains in military operations does not exist. This study proposes four probabilistic models for kill chains that can later be adapted to kill webs. For each of the proposed models, events in the kill chain are modeled as Bernoulli random variables. This extensible modeling scaffold allows flexibility in constructing the probability of success for each event and is compatible with Monte Carlo simulations and hierarchical Bayesian formulations. The probabilistic models can be used to calculate the probability of a successful kill chain and to perform uncertainty quantification. The models are demonstrated on the Find–Fix–Track–Target–Engage–Assess kill chain. In addition to the mathematical framework, the MIMIK (Mission Illustration and Modeling Interface for Kill webs) software package has been developed and publicly released to support the design and analysis of kill webs. Full article
Show Figures

Figure 1

35 pages, 7096 KB  
Article
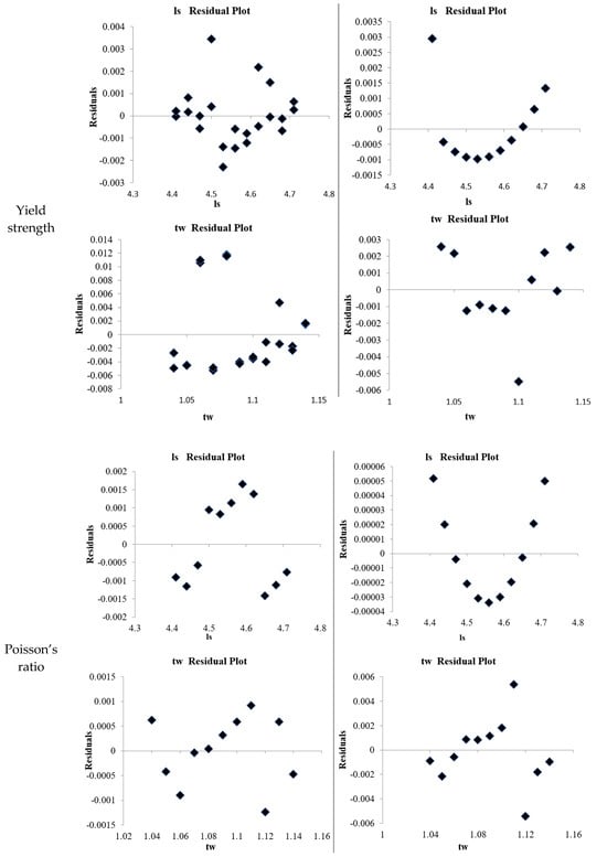
Uncertainty Quantification of the Mechanical Properties of 2D Hexagonal Cellular Solid by Analytical and Finite Element Method Approach
by Safdar Iqbal and Marcin Kamiński
Materials 2025, 18(20), 4792; https://doi.org/10.3390/ma18204792 - 20 Oct 2025
Abstract
The mechanical properties of cellular materials are critical to their performance and must be accurately determined through both analytical and numerical methods. These approaches are essential not only for understanding material behavior but also for evaluating the effects of parametric variations within the [...] Read more.
The mechanical properties of cellular materials are critical to their performance and must be accurately determined through both analytical and numerical methods. These approaches are essential not only for understanding material behavior but also for evaluating the effects of parametric variations within the unit cell structure. This study focuses on the in-plane comparison of analytical and numerical evaluations of key mechanical properties, including Young’s modulus, yield strength, and Poisson’s ratio of a 2D hexagonal unit cell subjected to systematic geometric and material variations. Analytically, the mechanical properties were derived based on the geometric configuration of the hexagonal unit cell. Numerically, the finite element method (FEM) simulations employed three different meshing methods: quadrilateral, quad-dominated, and triangular elements, to ensure precision and consistency in the results. The elastic response (Young’s modulus) was examined through a parametric sweep involving segmental length variations (4.41 to 4.71 mm) and material modulus (66.5 to 71.5 GPa), revealing percentage differences between analytical and numerical results ranging from −8.28% to 10.87% and −10.58% to 11.95%, respectively. Similarly, yield strength was evaluated with respect to variations in segmental length (4.41 to 4.71 mm) and wall thickness (1.08 to 1.11 mm), showing discrepancies between −2.86% to −5.53% for segmental length and 7.76% to 10.57% for thickness. For Poisson’s ratio, variations in the same parameters led to differences ranging from −7.05% to −12.48% and −9.11% to −12.64%, respectively. Additionally, uncertainty was assessed through relative entropy measures—Bhattacharyya, Kullback–Leibler, Hellinger, and Jeffreys—to evaluate the sensitivity of homogenized properties to input variability. These entropy measures quantify the probabilistic distance between core material distributions and their effective counterparts, reinforcing the importance of precise modeling in the design and optimization of cellular structures. Full article
Show Figures

Graphical abstract

25 pages, 7385 KB  
Article
Reducing Annotation Effort in Semantic Segmentation Through Conformal Risk Controlled Active Learning
by Can Erhan and Nazim Kemal Ure
AI 2025, 6(10), 270; https://doi.org/10.3390/ai6100270 - 18 Oct 2025
Viewed by 103
Abstract
Modern semantic segmentation models require extensive pixel-level annotations, creating a significant barrier to practical deployment as labeling a single image can take hours of human effort. Active learning offers a promising way to reduce annotation costs through intelligent sample selection. However, existing methods [...] Read more.
Modern semantic segmentation models require extensive pixel-level annotations, creating a significant barrier to practical deployment as labeling a single image can take hours of human effort. Active learning offers a promising way to reduce annotation costs through intelligent sample selection. However, existing methods rely on poorly calibrated confidence estimates, making uncertainty quantification unreliable. We introduce Conformal Risk Controlled Active Learning (CRC-AL), a novel framework that provides statistical guarantees on uncertainty quantification for semantic segmentation, in contrast to heuristic approaches. CRC-AL calibrates class-specific thresholds via conformal risk control, transforming softmax outputs into multi-class prediction sets with formal guarantees. From these sets, our approach derives complementary uncertainty representations: risk maps highlighting uncertain regions and class co-occurrence embeddings capturing semantic confusions. A physics-inspired selection algorithm leverages these representations with a barycenter-based distance metric that balances uncertainty and diversity. Experiments on Cityscapes and PascalVOC2012 show CRC-AL consistently outperforms baseline methods, achieving 95% of fully supervised performance with only 30% of labeled data, making semantic segmentation more practical under limited annotation budgets. Full article
(This article belongs to the Section AI Systems: Theory and Applications)
Show Figures

Graphical abstract

20 pages, 2805 KB  
Article
A Fully Coupled Sensitivity Analysis Framework for Offshore Wind Turbines Based on an XGBoost Surrogate Model and the Interpretation of SHAP
by Zhongbo Hu, Liangxian Li, Xiang Gao, Jianfeng Xu, Xinyi Liu, Sen Gong, Wenhua Wang, Wei Shi and Xin Li
Sustainability 2025, 17(20), 9227; https://doi.org/10.3390/su17209227 - 17 Oct 2025
Viewed by 129
Abstract
To advance global sustainability and meet climate targets, the development of reliable renewable energy infrastructure is paramount. Offshore wind energy is a key factor in achieving this goal, and ensuring its operational efficiency requires a deep understanding of the sources of uncertainty faced [...] Read more.
To advance global sustainability and meet climate targets, the development of reliable renewable energy infrastructure is paramount. Offshore wind energy is a key factor in achieving this goal, and ensuring its operational efficiency requires a deep understanding of the sources of uncertainty faced by offshore wind turbines (OWTs). This study proposes and implements an integrated framework for sensitivity analysis (SA) to investigate the key sources of uncertainty influencing the dynamic response of an OWT. This framework is based on the XGBoost surrogate model and Sobol’s method, aiming to efficiently and accurately quantify the impact of various uncertain parameters. A key methodological novelty lies in the integrated use of Sobol’s method and SHapley Additive exPlanations (SHAP), which provides a unique cross-validating mechanism for the sensitivity results. This study demonstrates the strongly condition-dependent nature of the OWT’s sensitivity characteristics by analyzing design load cases. The results indicate that wind speed is the dominant factor influencing the structural response under normal operating conditions. In contrast, under extreme shutdown conditions, the response of the OWT is primarily governed by the physical and material properties of the structure. In addition, the high consistency between the results of SHAP technology and the SA results obtained by Sobol’s method confirms the reliability of the proposed framework. The identified key sources of uncertainty provide direct practical insights for design optimization and reliability assessment of OWTs. Full article
Show Figures

Figure 1

13 pages, 1426 KB  
Article
Bayesian Neural Networks for Quantifying Uncertainty in Solute Transport Through Saturated Porous Media
by Seyed Kourosh Mahjour
Processes 2025, 13(10), 3324; https://doi.org/10.3390/pr13103324 - 17 Oct 2025
Viewed by 244
Abstract
Uncertainty quantification (UQ) is critical for predicting solute transport in heterogeneous porous media, with applications in groundwater management and contaminant remediation. Traditional UQ methods, such as Monte Carlo (MC) simulations, are computationally expensive and impractical for real-time decision-making. This study introduces a novel [...] Read more.
Uncertainty quantification (UQ) is critical for predicting solute transport in heterogeneous porous media, with applications in groundwater management and contaminant remediation. Traditional UQ methods, such as Monte Carlo (MC) simulations, are computationally expensive and impractical for real-time decision-making. This study introduces a novel machine learning framework to address these limitations. We developed a surrogate model for a 2D advection-dispersion solute transport model using a Bayesian Neural Network (BNN). The BNN was trained on a synthetic dataset generated by simulating solute transport across various stochastic permeability and dispersivity fields. Uncertainty was quantified through variational inference, capturing both data-related (aleatoric) and model-related (epistemic) uncertainties. We evaluated the framework’s performance against traditional MC simulations. Our BNN model accurately predicts solute concentration distributions with a mean squared error (MSE) of 9.8 × 105, significantly outperforming other machine learning surrogates. The framework successfully quantifies uncertainty, providing calibrated confidence intervals that align closely with the spread of the MC results. The proposed approach achieved a 98.5% reduction in computational time compared to a standard Monte Carlo simulation with 1000 realizations, representing a 65-fold speed-up. A sensitivity analysis revealed that permeability field heterogeneity is the dominant source of uncertainty in plume migration. The developed machine learning framework offers a computationally efficient and robust alternative for quantifying uncertainty in solute transport models. By accurately predicting solute concentrations and their associated uncertainties, our approach can inform risk-based decision-making in environmental and hydrogeological applications. The method shows promise for scaling to more complex, three-dimensional systems. Full article
(This article belongs to the Section Chemical Processes and Systems)
Show Figures

Figure 1

47 pages, 3715 KB  
Article
Exploring Uncertainty in Medical Federated Learning: A Survey
by Xiaoyang Zeng, Awais Ahmed and Muhammad Hanif Tunio
Electronics 2025, 14(20), 4072; https://doi.org/10.3390/electronics14204072 - 16 Oct 2025
Viewed by 273
Abstract
The adoption of artificial intelligence (AI) in healthcare requires not only accurate predictions but also a clear understanding of its reliability. In safety-critical domains such as medical imaging and diagnosis, clinicians must assess the confidence in model outputs to ensure safe decision making. [...] Read more.
The adoption of artificial intelligence (AI) in healthcare requires not only accurate predictions but also a clear understanding of its reliability. In safety-critical domains such as medical imaging and diagnosis, clinicians must assess the confidence in model outputs to ensure safe decision making. Uncertainty quantification (UQ) addresses this need by providing confidence estimates and identifying situations in which models may fail. Such uncertainty estimates enable risk-aware deployment, improve model robustness, and ultimately strengthen clinical trust. Although prior studies have surveyed UQ in centralized learning, a systematic review in the federated learning (FL) context is still lacking. As a privacy-preserving collaborative paradigm, FL enables institutions to jointly train models without sharing raw patient data. However, compared with centralized learning, FL introduces more complex sources of uncertainty. In addition to data uncertainty caused by noisy inputs and model uncertainty from distributed optimization, there also exists distributional uncertainty arising from client heterogeneity and personalized uncertainty associated with site-specific biases. These intertwined uncertainties complicate model reliability and highlight the urgent need for UQ strategies tailored to federated settings. This survey reviews UQ in medical FL. We categorize uncertainties unique to FL and compare them with those in centralized learning. We examine the sources of uncertainty, existing FL architectures, UQ methods, and their integration with privacy-preserving techniques, and we analyze their advantages, limitations, and trade-offs. Finally, we highlight key challenges—scalable UQ under non-IID conditions, federated OOD detection, and clinical validation—and outline future opportunities such as hybrid UQ strategies and personalization. By combining methodological advances in UQ with application perspectives, this survey provides a structured overview to inform the development of more reliable and privacy-preserving FL systems in healthcare. Full article
Show Figures

Figure 1

16 pages, 1675 KB  
Article
Probabilistic State of Health Prediction for Lithium-Ion Batteries Based on Incremental Capacity and Differential Voltage Curves
by Qingbin Wang, Hangang Yan, Yuxi Wang, Yun Yang, Xiaoguang Liu, Zhuoqi Zhu, Gancai Huang and Zheng Huang
Energies 2025, 18(20), 5450; https://doi.org/10.3390/en18205450 - 16 Oct 2025
Viewed by 214
Abstract
The rapid proliferation of lithium-ion batteries in electric vehicles and grid-scale energy storage systems has underscored the critical need for advanced battery management systems, particularly for accurate state of health (SOH) monitoring. In this study, a hybrid data-driven framework incorporating the whale optimization [...] Read more.
The rapid proliferation of lithium-ion batteries in electric vehicles and grid-scale energy storage systems has underscored the critical need for advanced battery management systems, particularly for accurate state of health (SOH) monitoring. In this study, a hybrid data-driven framework incorporating the whale optimization algorithm (WOA) for Bidirectional Long Short-Term Memory (BiLSTM) networks is introduced. The framework extracts battery aging-related features based on incremental capacity (IC) and differential voltage (DV), which are used as inputs to the SOH prediction model. Then, the BiLSTM network is optimized by WOA to improve convergence performance and model generalization. To further quantify the prediction uncertainty, the Bootstrap approach was used to construct SOH prediction intervals for various confidence levels. Experimental results based on the Oxford dataset show that the proposed WOA-BiLSTM model outperforms the baseline methods including standard LSTM, BiLSTM, and BiGRU. Model performance is evaluated using the root mean square error (RMSE), mean absolute error (MAE), and mean absolute percentage error (MAPE). In addition, the integration of Bootstrap enables flexible and reliable interval prediction. The results show that PICP reaches 1 at the 90% confidence level and exceeds 0.85 at the 80% confidence level, with PINAW and CWC metrics validating the interval quality. The proposed method provides accurate point prediction and robust uncertainty quantification, offering a promising tool for smart battery health management. Full article
Show Figures

Figure 1

19 pages, 520 KB  
Review
Physics-Informed Neural Networks in Grid-Connected Inverters: A Review
by Ekram Al Mahdouri, Said Al-Abri, Hassan Yousef, Ibrahim Al-Naimi and Hussein Obeid
Energies 2025, 18(20), 5441; https://doi.org/10.3390/en18205441 - 15 Oct 2025
Viewed by 339
Abstract
Physics-Informed Neural Networks (PINNs) have emerged as a powerful tool for modeling and controlling complex energy systems by embedding physical laws into deep learning architectures. This review paper highlights the application of PINNs in grid-connected inverter systems (GCISs), categorizing them by key tasks: [...] Read more.
Physics-Informed Neural Networks (PINNs) have emerged as a powerful tool for modeling and controlling complex energy systems by embedding physical laws into deep learning architectures. This review paper highlights the application of PINNs in grid-connected inverter systems (GCISs), categorizing them by key tasks: parameter estimation, state estimation, control strategies, fault diagnosis and detection, and system identification. Particular focus is given to the use of PINNs in enabling accurate parameter estimation for aging and degradation monitoring. Studies show that PINN-based approaches can outperform purely data-driven models and traditional methods in both computational efficiency and accuracy. However, challenges remain, mainly related to high training costs and limited uncertainty quantification. To address these, emerging strategies such as advanced PINN frameworks are explored. The paper also explores emerging solutions and outlines future research directions to support the integration of PINNs into practical inverter design and operation. Full article
Show Figures

Figure 1

24 pages, 1370 KB  
Article
Quantifying Operational Uncertainty in Landing Gear Fatigue: A Hybrid Physics–Data Framework for Probabilistic Remaining Useful Life Estimation of the Cessna 172 Main Gear
by David Gerhardinger, Karolina Krajček Nikolić and Anita Domitrović
Appl. Sci. 2025, 15(20), 11049; https://doi.org/10.3390/app152011049 - 15 Oct 2025
Viewed by 197
Abstract
Predicting the Remaining Useful Life (RUL) of light aircraft landing gear is complicated by flight-to-flight variability in operational loads, particularly in sensor-free fleets that rely only on mass-and-balance records. This study develops a hybrid physics–data framework to quantify operational-load-driven uncertainty in the main [...] Read more.
Predicting the Remaining Useful Life (RUL) of light aircraft landing gear is complicated by flight-to-flight variability in operational loads, particularly in sensor-free fleets that rely only on mass-and-balance records. This study develops a hybrid physics–data framework to quantify operational-load-driven uncertainty in the main landing gear strut of a Cessna 172. High-fidelity finite-element strain–life simulations were combined with a quadratic Ridge surrogate and a two-layer bootstrap to generate full probabilistic RUL distributions. The surrogate mapped five mass-and-balance inputs (fuel, front seats, rear seats, forward and aft baggage) to per-flight fatigue damage with high accuracy (R2 = 0.991 ± 0.013). At the same time, ±3% epistemic confidence bands were attached via resampling. Borgonovo’s moment-independent Δ indices were applied to incremental damage (ΔD) in this context, revealing front-seat mass as the dominant driver of fatigue variability (Δ = 0.502), followed by fuel (0.212), rear seats (0.199), forward baggage (0.141), and aft baggage (0.100). The resulting RUL distribution spanned 9 × 104 to >2 × 106 cycles, with a fleet average of 0.41 million cycles (95% CI: 0.300–0.530 million). These results demonstrate that operational levers—crew assignment, fuel loading, and baggage placement—can significantly extend strut life. Although demonstrated on a specific training fleet dataset, the methodological framework is, in principle, transferable to other aircraft or mission types. However, this would require developing a new, component-specific finite element model and retraining the surrogate using a representative set of mass and balance records from the target fleet. Full article
(This article belongs to the Special Issue Big Data Analytics and Deep Learning for Predictive Maintenance)
Show Figures

Figure 1

26 pages, 11786 KB  
Article
Quantification of Multi-Source Road Emissions in an Urban Environment Using Inverse Methods
by Panagiotis Gkirmpas, George Tsegas, Giannis Ioannidis, Paul Tremper, Till Riedel, Eleftherios Chourdakis, Christos Vlachokostas and Nicolas Moussiopoulos
Atmosphere 2025, 16(10), 1184; https://doi.org/10.3390/atmos16101184 - 14 Oct 2025
Viewed by 157
Abstract
The spatial quantification of multiple sources within the urban environment is crucial for understanding urban air quality and implementing measures to mitigate air pollution levels. At the same time, emissions from road traffic contribute significantly to these concentrations. However, uncertainties arise when assessing [...] Read more.
The spatial quantification of multiple sources within the urban environment is crucial for understanding urban air quality and implementing measures to mitigate air pollution levels. At the same time, emissions from road traffic contribute significantly to these concentrations. However, uncertainties arise when assessing the contribution of multiple sources affecting a single receptor. This study aims to evaluate an inverse dispersion modelling methodology that combines Computational Fluid Dynamics (CFD) simulations with the Metropolis–Hastings Markov Chain Monte Carlo (MCMC) algorithm to quantify multiple traffic emissions at the street scale. This approach relies solely on observational data and prior information on each source’s emission rate range and is tested within the Augsburg city centre. To address the absence of extensive measurement data of a real pollutant correlated with traffic emissions, a synthetic observational dataset of a theoretical pollutant, treated as a passive scalar, was generated from the forward dispersion model, with added Gaussian noise. Furthermore, a sensitivity analysis also explores the influence of sensor configuration and prior information on the accuracy of the emission estimates. The results indicate that, when the potential emission rate range is narrow, high-quality predictions can be achieved (ratio between true and estimated release rates, Δq2) even with networks using data from only 10 sensors. In contrast, expanding the allowable emission range leads to reduced accuracy (2Δq6), particularly in networks with fewer than 50 sensors. Further research is recommended to assess the methodology’s performance using real-world measurements. Full article
(This article belongs to the Section Air Quality)
Show Figures

Figure 1

26 pages, 4780 KB  
Article
Uncertainty Quantification Based on Block Masking of Test Images
by Pai-Xuan Wang, Chien-Hung Liu and Shingchern D. You
Information 2025, 16(10), 885; https://doi.org/10.3390/info16100885 - 11 Oct 2025
Viewed by 118
Abstract
In image classification tasks, models may occasionally produce incorrect predictions, which can lead to severe consequences in safety-critical applications. For instance, if a model mistakenly classifies a red traffic light as green, it could result in a traffic accident. Therefore, it is essential [...] Read more.
In image classification tasks, models may occasionally produce incorrect predictions, which can lead to severe consequences in safety-critical applications. For instance, if a model mistakenly classifies a red traffic light as green, it could result in a traffic accident. Therefore, it is essential to assess the confidence level associated with each prediction. Predictions accompanied by high confidence scores are generally more reliable and can serve as a basis for informed decision-making. To address this, the present paper extends the block-scaling approach—originally developed for estimating classifier accuracy on unlabeled datasets—to compute confidence scores for individual samples in image classification. The proposed method, termed block masking confidence (BMC), applies a sliding mask filled with random noise to occlude localized regions of the input image. Each masked variant is classified, and predictions are aggregated across all variants. The final class is selected via majority voting, and a confidence score is derived based on prediction consistency. To evaluate the effectiveness of BMC, we conducted experiments comparing it against Monte Carlo (MC) dropout and a vanilla baseline across image datasets of varying sizes and distortion levels. While BMC does not consistently outperform the baselines under standard (in-distribution) conditions, it shows clear advantages on distorted and out-of-distribution (OOD) samples. Specifically, on the level-3 distorted iNaturalist 2018 dataset, BMC achieves a median expected calibration error (ECE) of 0.135, compared to 0.345 for MC dropout and 0.264 for the vanilla approach. On the level-3 distorted Places365 dataset, BMC yields an ECE of 0.173, outperforming MC dropout (0.290) and vanilla (0.201). For OOD samples in Places365, BMC achieves a peak entropy of 1.43, higher than the 1.06 observed for both MC dropout and vanilla. Furthermore, combining BMC with MC dropout leads to additional improvements. On distorted Places365, the median ECE is reduced to 0.151, and the peak entropy for OOD samples increases to 1.73. Overall, the proposed BMC method offers a promising framework for uncertainty quantification in image classification, particularly under challenging or distribution-shifted conditions. Full article
(This article belongs to the Special Issue Machine Learning and Data Mining for User Classification)
Show Figures

Figure 1

28 pages, 3979 KB  
Review
Beyond Deterministic Forecasts: A Scoping Review of Probabilistic Uncertainty Quantification in Short-to-Seasonal Hydrological Prediction
by David De León Pérez, Sergio Salazar-Galán and Félix Francés
Water 2025, 17(20), 2932; https://doi.org/10.3390/w17202932 - 11 Oct 2025
Viewed by 709
Abstract
This Scoping Review methodically synthesizes methodological trends in predictive uncertainty (PU) quantification for short-to-seasonal hydrological modeling-based forecasting. The analysis encompasses 572 studies from 2017 to 2024, with the objective of addressing the central question: What are the emerging trends, best practices, and gaps [...] Read more.
This Scoping Review methodically synthesizes methodological trends in predictive uncertainty (PU) quantification for short-to-seasonal hydrological modeling-based forecasting. The analysis encompasses 572 studies from 2017 to 2024, with the objective of addressing the central question: What are the emerging trends, best practices, and gaps in this field? In accordance with the six-stage protocol that is aligned with PRISMA-ScR standards, 92 studies were selected for in-depth evaluation. The results of the study indicate the presence of three predominant patterns: (1) exponential growth in the applications of machine learning and artificial intelligence; (2) geographic concentration in Chinese, North American, and European watersheds; and (3) persistent operational barriers, particularly in data-scarce tropical regions with limited flood and streamflow forecasting validation. Hybrid statistical-AI modeling frameworks have been shown to enhance forecast accuracy and PU quantification; however, these frameworks are encumbered by constraints in computational demands and interpretability, with inadequate validation for extreme events highlighting critical gaps. The review emphasizes standardized metrics, broader validation, and adaptive postprocessing to enhance applicability, advocating robust frameworks integrating meteorological input to hydrological output postprocessing for minimizing uncertainty chains and supporting water management. This study provides an updated field mapping, identifies knowledge gaps, and prioritizes research for the operational integration of advanced PU quantification. Full article
(This article belongs to the Section Hydrology)
Show Figures

Graphical abstract

Back to TopTop