Sign in to use this feature.

Years

Between: -

Subjects

remove_circle_outline
remove_circle_outline
remove_circle_outline
remove_circle_outline
remove_circle_outline
remove_circle_outline
remove_circle_outline

Journals

Article Types

Countries / Regions

Search Results (65)

Search Parameters:
Keywords = postoperative pulmonary infection

Order results
Result details
Results per page
Select all
Export citation of selected articles as:
32 pages, 510 KB  
Review
Perioperative Blood Biomarkers of Infectious and Non-Infectious Postoperative Pulmonary Complications: A Narrative Review
by Simona Gigliotti, Giuseppe Guerriero, Giuseppe Mazza, Eugenio Garofalo, Grazia Pavia, Angela Amaddeo, Antonia Rizzuto, Nadia Marascio, Angela Quirino, Federico Longhini and Giovanni Matera
J. Clin. Med. 2026, 15(2), 699; https://doi.org/10.3390/jcm15020699 - 15 Jan 2026
Abstract
Background/Objectives: Postoperative pulmonary complications (PPCs) remain frequent and increase morbidity, mortality, and resource use. Preoperative risk scores (ARISCAT, NSQIP-derived calculators) use mostly static variables and may miss the dynamic perioperative host response preceding respiratory deterioration or infection. We address the gap in clinically [...] Read more.
Background/Objectives: Postoperative pulmonary complications (PPCs) remain frequent and increase morbidity, mortality, and resource use. Preoperative risk scores (ARISCAT, NSQIP-derived calculators) use mostly static variables and may miss the dynamic perioperative host response preceding respiratory deterioration or infection. We address the gap in clinically interpretable syntheses of perioperative blood biomarker trajectories that distinguish infectious from non-infectious PPCs and clarify bedside-ready versus exploratory markers. Methods: We conducted a narrative review with a structured Medline search (inception to 1 November 2025) plus reference screening. We included English-language adult surgical studies (observational or interventional) evaluating perioperative blood biomarkers in relation to PPCs or postoperative pulmonary infection; case reports, editorials, and reviews were excluded. No formal risk-of-bias assessment or quantitative meta-analysis was performed. Results: Across 298 cited publications, serial patterns of routinely available biomarkers (C-reactive protein, procalcitonin, lactate, albumin, and leukocyte-derived indices) were most consistently associated with PPC risk and helped separate expected postoperative inflammation from evolving infection when interpreted longitudinally rather than as single values. Mechanistic biomarkers (cytokines/immune-function assays, endothelial injury and coagulation/fibrinolysis markers, oxidative stress indicators) add biological insight but are limited by assay availability, heterogeneous sampling windows, and absent standardized cut-offs. Omics signatures and machine learning models combining biomarker kinetics with clinical variables are promising but require prospective, transportable validation. Conclusions: Key barriers to implementation include biological variability, non-specificity across postoperative syndromes, heterogeneous sampling windows, and lack of standardized cut-offs. Integrating multimarker panels into validated, dynamic predictive frameworks represents a promising direction for perioperative precision medicine. Full article
(This article belongs to the Section Anesthesiology)
13 pages, 615 KB  
Article
Effect of Hand Grip Strength on Perioperative Outcomes in Older Female Patients Scheduled for Total Knee Arthroplasty Under General Anesthesia—A Prospective Observational Study
by Sangho Lee, Doh Yoon Kim, Minsu Kong, Ann Hee You, Jung Eun Kim and Hee Yong Kang
J. Clin. Med. 2026, 15(2), 463; https://doi.org/10.3390/jcm15020463 - 7 Jan 2026
Viewed by 136
Abstract
Background: This study aims to evaluate the effect of hand grip strength (HGS) on perioperative outcomes—particularly postoperative delirium (POD)—in patients scheduled for total knee arthroplasty (TKA). Methods: Older female patients, aged ≥ 65 years, who were scheduled for TKA under general [...] Read more.
Background: This study aims to evaluate the effect of hand grip strength (HGS) on perioperative outcomes—particularly postoperative delirium (POD)—in patients scheduled for total knee arthroplasty (TKA). Methods: Older female patients, aged ≥ 65 years, who were scheduled for TKA under general anesthesia were enrolled in this study. We measured preoperative HGS and clinical frailty scale. The primary outcome was the incidence of POD within 30 days of surgery. Secondary outcomes included intraoperative hypotension, surgical site infection, postoperative pulmonary complications, postoperative nausea and vomiting, acute kidney injury, postoperative urinary retention, and hospital length of stay. Results: The final analysis was conducted on 78 participants. The median HGS was 17.9 kg, the patients were divided into Weak (HGS ≤ 17.9, n = 39) and Strong groups (HGS > 17.9, n = 39). POD was more prevalent in the Weak group (23.1% vs. 0.0%, p = 0.005). As secondary outcomes, there were no significant differences between the two groups, except the postoperative estimated glomerular filtration rate (101 [90; 120.5] mL/min/1.73 m2 in the Weak group vs. 122 [104; 138] mL/min/1.73 m2 in the Strong group; p = 0.007). In the receiver operating characteristic curve analysis of POD occurrence according to HGS, the cutoff value was 17.5 (area under curve 0.88, p < 0.001). In univariate logistic regression analysis, age and HGS were associated with the occurrence of POD. In multivariate logistic regression analysis, HGS was the only factor that affects POD. For each 1 kg increase in HGS, the risk of POD decreased by 28% (Odds ratio: 0.72). Conclusions: In this study, lower preoperative HGS was significantly associated with the occurrence of POD. Full article
(This article belongs to the Section Anesthesiology)
Show Figures

Graphical abstract

16 pages, 1016 KB  
Article
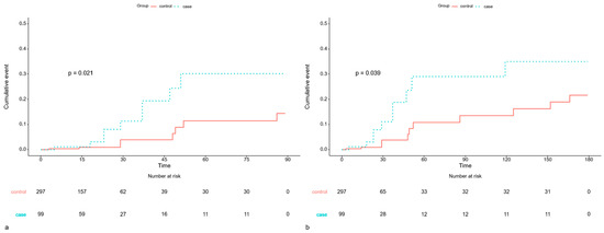
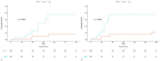
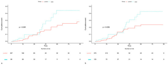
Impact of a History of COVID-19 Infection on Postoperative Complications in Spinal Surgery: A Nationwide Cohort Study
by Namhoo Kim, Joonoh Seo, Minae Park, Yoonjong Bae, Min Ho Lee, Byung Ho Lee, Si-Young Park, Kyung-Soo Suk, Seong-Hwan Moon, Hak-Sun Kim and Ji-Won Kwon
J. Clin. Med. 2026, 15(2), 420; https://doi.org/10.3390/jcm15020420 - 6 Jan 2026
Viewed by 209
Abstract
Background/Objectives: The postoperative implications of a history of coronavirus disease 2019 (COVID-19) in patients undergoing spinal surgery remain inadequately defined. This study investigated whether a history of COVID-19 is associated with increased postoperative complication risk and assessed how surgical timing after infection [...] Read more.
Background/Objectives: The postoperative implications of a history of coronavirus disease 2019 (COVID-19) in patients undergoing spinal surgery remain inadequately defined. This study investigated whether a history of COVID-19 is associated with increased postoperative complication risk and assessed how surgical timing after infection influences outcomes. Methods: Patients who underwent spinal surgery in 2020 were identified. Individuals with a confirmed history of COVID-19 were matched 1:3 by age and sex to uninfected controls. Patients were categorized by the interval between COVID-19 diagnosis and the index surgical date (≤1 month, >1–≤3 months, or >3–≤6 months). Postoperative pulmonary, cardiovascular, thromboembolic, infectious, and mortality outcomes were evaluated. Cumulative risks were estimated using Kaplan–Meier analysis, and adjusted hazard ratios (HRs) were determined using multivariable Cox proportional hazards models controlling for demographic and clinical factors. Results: Surgery performed ≤1 month after COVID-19 diagnosis was associated with significantly higher risks of pneumonia within 3 months (HR 3.91; p = 0.031) and 6 months postoperatively (HR 3.12; p = 0.049). Patients undergoing surgery >1–≤3 months after COVID-19 demonstrated increased risk of spinal and implant-related infections within 3 months (HR 2.12; p = 0.040), and this elevated risk persisted when surgery occurred >3–≤6 months after infection (HR 2.00; p = 0.022). No significant differences were observed in cardiovascular, thromboembolic, or mortality outcomes. Conclusions: A history of COVID-19 infection was associated with postoperative pneumonia and spinal and implant-related infections following spinal surgery. These findings suggest that prior COVID-19 infection may be a relevant consideration in perioperative risk assessment and surgical planning. Full article
(This article belongs to the Section Orthopedics)
Show Figures

Figure 1

12 pages, 309 KB  
Article
Impact of the COVID-19 Pandemic on Pathological Stage, Tumor Characteristics and Surgical Outcomes of Oral Squamous Cell Carcinoma: A Retrospective Analysis
by Samer Omari, Murad AbdelRaziq, Kutaiba Alkeesh, Alaa Muhana, Imad Abu El-Naaj and Yasmin Ghantous
Medicina 2025, 61(12), 2225; https://doi.org/10.3390/medicina61122225 - 17 Dec 2025
Viewed by 404
Abstract
Background and Objectives: Oral Squamous Cell Carcinoma (OSCC) requires early diagnosis for favorable outcomes, but global healthcare disruptions caused by the COVID-19 pandemic severely affected cancer care delivery. This study aimed to investigate the pandemic’s influence on OSCC pathological staging and disease-related [...] Read more.
Background and Objectives: Oral Squamous Cell Carcinoma (OSCC) requires early diagnosis for favorable outcomes, but global healthcare disruptions caused by the COVID-19 pandemic severely affected cancer care delivery. This study aimed to investigate the pandemic’s influence on OSCC pathological staging and disease-related characteristics at a single medical center. Materials and Methods: A retrospective study was conducted on 148 patients who underwent curative-intent surgery for newly diagnosed OSCC between March 2018 and October 2024. Patients were stratified into a Pre-COVID-19 group (March 2018–January 2020, N = 52) and a Post-COVID-19 group (February 2020–October 2024, N = 96). Patient demographics and risk factors were compared using Chi-squared and Wilcoxon rank-sum tests, while pathological stage, Depth of Invasion (DOI), and surgical outcomes were analyzed. Results: Patient demographics, risk factors, and comorbidities were comparable between the two groups. The Post-COVID-19 cohort presented with significantly more advanced pathological disease, evidenced by an increase in overall TNM stage, including a dramatically higher rate of Stage 4 diagnosis (35% vs. 3.2% in the Pre-COVID-19 group). This group also showed a significantly higher Depth of Invasion (median DOI: 5.0 mm vs. 3.0 mm). Consequently, the Post-COVID-19 group required more aggressive treatment (e.g., higher rates of adjuvant radiotherapy) and experienced worse short-term outcomes, including significantly longer hospitalization (median 15 days vs. 6 days) and higher rates of postoperative pulmonary infection and tracheostomy. Conclusions: The COVID-19 pandemic was associated with a dramatic shift toward the diagnosis of OSCC at advanced pathological stages. This diagnostic delay necessitated more complex surgical management and resulted in significantly worse short-term outcomes. These findings underscore the urgent need for resilient strategies to prevent systemic diagnostic delays during public health crises. Full article
(This article belongs to the Special Issue Research on Oral and Maxillofacial Surgery)
10 pages, 233 KB  
Review
Navigating the Spectrum of Pancreatic Surgery Complications: A Review
by Sibi Krishna Thiyagarajan, Alfredo Verastegui, John A. Stauffer and Katherine Poruk
Complications 2025, 2(4), 24; https://doi.org/10.3390/complications2040024 - 2 Oct 2025
Viewed by 2109
Abstract
Background: Despite advances in surgical techniques and perioperative care, pancreatic resections such as pancreaticoduodenectomy (PD) and distal pancreatectomy (DP) remain high-risk procedures. Postoperative complications significantly impact morbidity, mortality, and patient quality of life. Methods: This narrative review summarizes recent literature on major complications [...] Read more.
Background: Despite advances in surgical techniques and perioperative care, pancreatic resections such as pancreaticoduodenectomy (PD) and distal pancreatectomy (DP) remain high-risk procedures. Postoperative complications significantly impact morbidity, mortality, and patient quality of life. Methods: This narrative review summarizes recent literature on major complications following pancreatic surgery, including postoperative pancreatic fistula (POPF), delayed gastric emptying (DGE), and post-pancreatectomy hemorrhage (PPH), with an emphasis on incidence, risk factors, outcomes, and current preventive strategies. Results: POPF is a leading complication, occurring in 5–22% of cases and often linked with sepsis and hemorrhage. Key risk factors include high BMI, soft pancreatic texture, and small duct size. Preventive measures like Pasireotide, modified anastomosis techniques, and neoadjuvant therapy show variable success. DGE affects up to 57% of PD patients and is associated with prolonged recovery; antecolic reconstruction and erythromycin may reduce incidence. PPH, though less frequent (3–13%), can be life-threatening, particularly when secondary to POPF. Endovascular approaches are now favored for late arterial bleeding. Other complications include wound infections, abscesses, bile leaks, and pulmonary issues, all contributing to extended hospital stays and diminished quality of life. Conclusions: Pancreatic surgery continues to carry significant risks, with POPF, DGE, and PPH being the most impactful complications. While multiple interventions have shown promise, standardized protocols and predictive tools are still needed. Surgery should be performed in high-volume centers with experienced multidisciplinary teams to optimize outcomes. Full article
13 pages, 621 KB  
Systematic Review
Impact of COVID-19 History on Patients’ Outcome in the Perioperative Period—A Systematic Review
by Cornelia Elena Predoi, Alexandru Dascalu, Raluca Goicea, Mihai Stefan, Daniela Filipescu and Niculae Iordache
COVID 2025, 5(9), 148; https://doi.org/10.3390/covid5090148 - 4 Sep 2025
Cited by 2 | Viewed by 1500
Abstract
Background: Elective surgery soon after SARS-CoV-2 infection is linked to high morbidity, but the risk > 7 weeks post-infection is uncertain. Methods: A PROSPERO-registered systematic review (CRD42023416842) following PRISMA 2020 searched PubMed, Web of Science, WHO COVID Database, Wiley, Google Scholar, and Scopus [...] Read more.
Background: Elective surgery soon after SARS-CoV-2 infection is linked to high morbidity, but the risk > 7 weeks post-infection is uncertain. Methods: A PROSPERO-registered systematic review (CRD42023416842) following PRISMA 2020 searched PubMed, Web of Science, WHO COVID Database, Wiley, Google Scholar, and Scopus (Jane 2020–July 2025) for studies reporting postoperative outcomes in patients with confirmed COVID-19 ≥ 7 weeks before elective surgery. Primary endpoints were cardiopulmonary, neurological, renal and thrombotic complications, ICU/hospital stay and 30-day mortality. Results: Thirteen observational studies (38,055 patients) met inclusion criteria. In patients operated ≥7 weeks after mild or asymptomatic infection, overall mortality rate was 2.27% (607/26,688), with no significant excess versus uninfected controls. Pneumonia (1.66%), pulmonary embolism (1.47%), arrhythmias (2.57%) and myocardial injury (1.06%)—did not exceed baseline surgical rates. Thrombosis occurred in 2.8% but lacked a clear association with prior infection. Conversely, individuals with previous moderate-to-severe disease or recent COVID-19-related hospitalization showed higher complication rates, especially in complex procedures such as coronary bypass. Conclusions: Evidence to date indicates that COVID-19 history beyond seven weeks does not independently raise perioperative morbidity or mortality for most elective procedures. Full article
(This article belongs to the Section COVID Clinical Manifestations and Management)
Show Figures

Figure 1

9 pages, 3876 KB  
Case Report
An Unveiling of the Misdiagnosis of Granulomatosis with Polyangiitis as Acute Sinusitis: A Case Report
by Qi Wang, Yi Ling, Yangyiyi Huang, Lijing Zhao, Zhewei Lou, Guokang Fan and Jing Xue
Diagnostics 2025, 15(17), 2218; https://doi.org/10.3390/diagnostics15172218 - 1 Sep 2025
Viewed by 1572
Abstract
Background and Clinical Significance: Granulomatosis with polyangiitis (GPA), an immune-mediated systemic small-vessel vasculitis affecting the upper/lower respiratory tracts and kidneys, frequently presents with non-specific nasal symptoms that lead to misdiagnosis. Case Presentation: We report a case of a 55-year-old female with [...] Read more.
Background and Clinical Significance: Granulomatosis with polyangiitis (GPA), an immune-mediated systemic small-vessel vasculitis affecting the upper/lower respiratory tracts and kidneys, frequently presents with non-specific nasal symptoms that lead to misdiagnosis. Case Presentation: We report a case of a 55-year-old female with GPA complicated by Bartter syndrome. She presented with one month of left nasal congestion, rhinorrhea, epistaxis, and headache. Initial diagnosis was acute sinusitis. Computed tomography (CT) revealed left maxillary and ethmoid sinus inflammation with bone destruction, while metagenomic next-generation sequencing (mNGS) suggested conventional bacterial infection. Postoperative pathology demonstrated chronic mucosal inflammation with lymphoid tissue hyperplasia. GPA was ultimately diagnosed based on PR3-ANCA seropositivity and chest CT findings of cavitary pulmonary nodules. Postoperatively, severe hypokalemia and hypomagnesemia secondary to Bartter syndrome emerged. Following electrolyte correction, induction therapy with glucocorticoids and cyclophosphamide was initiated. Conclusions: This case underscores that GPA’s head and neck manifestations are frequently misdiagnosed as infections or malignancies. Early diagnosis requires vigilance for GPA ‘red flags’, such as refractory nasal symptoms to conventional therapy (e.g., bloody rhinorrhea), characteristic CT findings (e.g., sinus opacification without ostiomeatal complex obstruction), and nasal endoscopy findings (e.g., ulcers/crusting). Otolaryngologists play a pivotal role in recognizing early disease onset and initiating timely treatment. Full article
(This article belongs to the Special Issue Advances in the Diagnosis and Management of Head and Neck Disease)
Show Figures

Figure 1

11 pages, 453 KB  
Article
Are We Overtesting? Rethinking Routine Blood Work After Low-Risk Laparoscopic Cholecystectomy: A Retrospective Study
by Murat Demir, Huseyin Kilavuz, Feyyaz Gungor, Sibel Yaman, Baki Ekci and Idris Kurtulus
Medicina 2025, 61(9), 1555; https://doi.org/10.3390/medicina61091555 - 29 Aug 2025
Viewed by 1084
Abstract
Background and Objectives: Laparoscopic cholecystectomy is one of the most performed surgical procedures worldwide. In low-risk patients, routine postoperative blood tests are frequently ordered despite limited evidence supporting their necessity. The aim of the study was to evaluate the predictability of complications [...] Read more.
Background and Objectives: Laparoscopic cholecystectomy is one of the most performed surgical procedures worldwide. In low-risk patients, routine postoperative blood tests are frequently ordered despite limited evidence supporting their necessity. The aim of the study was to evaluate the predictability of complications that may occur with routine postoperative blood tests. Materials and Methods: This retrospective study examined 538 patients who underwent surgery in Cam and Sakura City Hospital between May 2020 and May 2021. Patients were divided into two groups: no postoperative complications (Group NC, n = 521) and postoperative complications (Group C, n = 17). Demographic characteristics, including age and gender, duration of surgery, cystic duct closure method, drain use, complications, preoperative and postoperative blood tests, and the mean time of hospital stay, were the collected data throughout the study. Results: The analysis of the post-operative blood test values revealed that the total bilirubin (p = 0.005), ALT (p = 0.002), AST (p = 0.002), GGT (p = 0.02) and amylase (p = 0.034) values were statistically significantly higher in Group C than in Group NC, but these values did not exceed the normal range except for ALT, AST and GGT, which were slightly higher than the normal parameters. Seventeen patients (3.15%) developed postoperative complications, including biliary leakage (n = 1); choledocholithiasis (n = 2); cardiac (n = 2), pulmonary (n = 9), and hemorrhagic (n = 2) complications; and a superficial wound infection (n = 1). Most complications were identified by symptoms and clinical observation. Conclusions: Routine postoperative blood tests in low-risk laparoscopic cholecystectomy patients do not significantly contribute to the early detection of complications. Clinical observation and targeted use of laboratory or imaging tests in selected high-risk cases might be more efficient. This approach can help reduce unnecessary workload, hospital costs, and healthcare expenditures without compromising patient safety. Full article
(This article belongs to the Section Surgery)
Show Figures

Figure 1

11 pages, 2862 KB  
Systematic Review
Popliteal Venous Aneurysms: A Systematic Review of Treatment Strategies and Outcomes
by Ottavia Borghese, Domenico Pascucci, Nicolò Peluso, Francesco Sposato, Antonino Marzullo, Tommaso Donati, Laura Rascio and Yamume Tshomba
J. Clin. Med. 2025, 14(10), 3296; https://doi.org/10.3390/jcm14103296 - 9 May 2025
Cited by 1 | Viewed by 1612
Abstract
Background: Popliteal venous aneurysms (PVA) are an uncommon but potentially severe condition due to their association with increased risk of recurrent pulmonary embolisms. Because of their rarity, their aetiology, natural history, and optimal treatment strategies have been poorly defined. The aim of this [...] Read more.
Background: Popliteal venous aneurysms (PVA) are an uncommon but potentially severe condition due to their association with increased risk of recurrent pulmonary embolisms. Because of their rarity, their aetiology, natural history, and optimal treatment strategies have been poorly defined. The aim of this paper is to report a comprehensive systematic review on the treatment strategies and outcomes in PVA, summarizing current evidence. Methods: A systematic literature search was conducted in PubMed, Scopus, and Web of Science, covering studies published from database inception through February 2025 (protocol registered on PROSPERO CRD420251008927). The primary endpoint was the analysis of outcomes and complications associated with surgical and conservative management. Results: Nine studies, including 173 adult patients with popliteal venous aneurysms, were included. The mean age was 56 years (range 18–86 years, mean aneurysm diameter 25.4 mm). Most of the patients were female (73, 42.2%). Overall, 85 (49.1%) aneurysms were saccular and 74 (42.8%) fusiform, although morphology was not consistently reported across all studies. Intraluminal thrombus was reported in 26 cases (15.0%), and pulmonary embolism upon presentation in 21 (12.1%). Surgical treatment was performed in 119 patients (68.8%), while 54 (31.2%) were managed conservatively. Fifteen patients (13.0%) experienced postoperative complications, including wound infections (4, 3.5%), hematomas (7, 6.0%), and nerve injury (4, 3.5%), but no cases of postoperative pulmonary embolisms were observed. Following surgery, anticoagulation was indicated in most cases for 3–6 months or a long life. During follow-up (mean 35 months, range 1–262), thrombosis of the surgical reconstruction was observed in 1 patient (0.8%). Death occurred in 3 cases (5.5%), all in the non-surgical group: 2 (3.7%) due to malignancy and 1 (1.9%) from myocardial infarction. Conclusions: PVA is a rarely described condition potentially associated with the risk of PE. In their management, surgical strategies in association with oral anticoagulation represent the most commonly described approach, allowing for satisfactory results and a low rate of complications. Full article
(This article belongs to the Section Vascular Medicine)
Show Figures

Figure 1

17 pages, 3214 KB  
Case Report
Severe Postoperative Complications Following Bilateral DIEP Flap Breast Reconstruction in a High-Risk Patient: A Case Report
by Francesco Marena, Marco Grosso, Alessia De Col, Franco Bassetto and Tito Brambullo
Complications 2025, 2(2), 12; https://doi.org/10.3390/complications2020012 - 2 May 2025
Viewed by 4712
Abstract
Background/Objectives: Deep inferior epigastric perforator (DIEP) flap reconstruction is considered the gold standard for autologous breast reconstruction due to its favorable aesthetic results and low donor site morbidity. Nevertheless, it remains associated with potentially life-threatening complications such as deep vein thrombosis (DVT) [...] Read more.
Background/Objectives: Deep inferior epigastric perforator (DIEP) flap reconstruction is considered the gold standard for autologous breast reconstruction due to its favorable aesthetic results and low donor site morbidity. Nevertheless, it remains associated with potentially life-threatening complications such as deep vein thrombosis (DVT) and pulmonary embolism (PE). This report aims to describe a complex clinical case in which severe thromboembolic and ischemic complications occurred despite adherence to standard prophylactic protocols. Methods: We present the case of a 65-year-old female with multiple thromboembolic risk factors—including obesity, a history of heavy smoking, hormone therapy, and prior COVID-19 infection—who underwent immediate bilateral breast reconstruction with DIEP flaps following mastectomy. Results: Within the first 24 h postoperatively, the patient developed a massive pulmonary embolism requiring intensive care management. Despite appropriate anticoagulation and supportive measures, she subsequently experienced full-thickness necrosis of the central portion of the abdominal flap. Thrombophilia screening and diagnostic imaging did not reveal peripheral venous thrombosis, raising the hypothesis of a hypercoagulable state potentially related to prior SARS-CoV-2 infection. Conclusions: This case underscores the importance of individualized risk stratification and suggests that current prophylaxis protocols may be insufficient for patients with overlapping thrombotic risk factors. The findings advocate for further investigation into the long-term vascular effects of COVID-19 and support reconsidering extended or intensified prophylaxis in high-risk populations undergoing complex microsurgical procedures. Full article
Show Figures

Figure 1

12 pages, 1241 KB  
Article
The “Spider Web” Technique in Difficult Chest Wall Reconstructions: A 5-Year Experience
by Emanuel Palade, Stefanie Schierholz, Tobias Keck and David Benjamin Ellebrecht
J. Clin. Med. 2025, 14(9), 2903; https://doi.org/10.3390/jcm14092903 - 23 Apr 2025
Cited by 1 | Viewed by 835
Abstract
Background/Objectives: Primary chest wall tumors or malignancies of adjacent organs with chest wall infiltration present a significant challenge for surgical resection and reconstruction. Larger defects involving the sternum, resections in the area of the thoracic apertures, or those near the spine are [...] Read more.
Background/Objectives: Primary chest wall tumors or malignancies of adjacent organs with chest wall infiltration present a significant challenge for surgical resection and reconstruction. Larger defects involving the sternum, resections in the area of the thoracic apertures, or those near the spine are difficult to reconstruct. The reconstruction has to ensure stability, to prevent paradoxical movements and lung herniation, while also achieving a satisfactory cosmetic result. The “spider web” technique restores chest wall stability by creating a web-like framework made of non-resorbable threads fixed to adjacent bony structures. Additionally, a synthetic mesh is placed over the web construct, and both layers are covered with muscles (local muscles or different types of flaps). In this prospective study, clinical data from patients who underwent surgery using the “spider web” technique were analyzed with respect to chest wall stability, procedure-specific complications, pulmonary function, and patient satisfaction. Methods: A total of 16 patients receiving 18 chest wall resections and reconstructions using the “spider web” technique were followed for at least one year. Chest wall stability and lung function (FEV1 and DLCO) were assessed. Quality of life, cosmetic satisfaction, potential functional impairment, and analgesic consumption were measured using a modified EORTC QLQ-C30 questionnaire. Results: The follow-up period ranged from 12 to 32 months. In all cases, optimal chest wall stability was maintained without impairment of respiratory mechanics. Procedure-specific complications occurred in five cases (27.8%), including seroma (one case), hematoma (two cases), necrosis at the TRAM flap donor site (one case), and mesh infection (one case), all of which were resolved without further complications. Postoperative FEV1 and DLCO were not significantly reduced compared with preoperative values. The global health status score for quality of life was 60 ± 27 points. Nine patients reported being able to ascend at least one floor of stairs without shortness of breath and half of the patients were able to participate in sports activities. One patient required prolonged analgesic medication due to chronic pain. In all cases, patients were satisfied with the cosmetic result. Both 30-day and 90-day mortality were 0%. No local recurrence at the chest wall reconstruction site occurred. Conclusions: The “spider web” technique is a highly suitable method for chest wall reconstruction, allowing covering all types of chest wall defects, regardless of size and location. This cost-effective technique not only provides optimal stability but also good functional results. Full article
Show Figures

Figure 1

17 pages, 863 KB  
Article
Perioperative Coronavirus Disease 2019 Infection and Its Impact on Postoperative Outcomes: Pulmonary Complications and Mortality Based on Korean National Health Insurance Data
by Hyo Jin Kim, EunJin Ahn, Eun Jung Oh and Si Ra Bang
J. Pers. Med. 2025, 15(4), 157; https://doi.org/10.3390/jpm15040157 - 17 Apr 2025
Cited by 2 | Viewed by 988
Abstract
Background/Objectives: The coronavirus disease 2019 (COVID-19) pandemic significantly disrupted global healthcare. This study explores the effects of perioperative COVID-19 infection on postoperative outcomes, aiming to refine risk assessment and enhance personalized perioperative care using a comprehensive dataset from the Korean National Health [...] Read more.
Background/Objectives: The coronavirus disease 2019 (COVID-19) pandemic significantly disrupted global healthcare. This study explores the effects of perioperative COVID-19 infection on postoperative outcomes, aiming to refine risk assessment and enhance personalized perioperative care using a comprehensive dataset from the Korean National Health Insurance Service. This analysis extends previous research by providing a large-scale validation of risk factors associated with COVID-19 in a perioperative setting. Methods: In this retrospective cohort study, we analyzed data from 2,903,858 patients who underwent surgery under general anesthesia between January 2020 and December 2021. Patients were categorized into COVID-19 (+) and COVID-19 (−) groups within 30 d before or after surgery. Logistic regression models were used to identify independent risk factors for mortality and pulmonary complications. Results: After propensity score matching, the final cohort comprised 19,235 patients (COVID-19 (+): 3847; COVID-19 (−): 15,388). The COVID-19 (+) group had significantly higher overall mortality than the COVID-19 (−) group. No significant difference was observed between the groups concerning 30 d mortality. Pulmonary complications, including pneumonia and acute respiratory distress syndrome, were significantly more frequent in the COVID-19 (+) group. The independent predictors of 30 d mortality included advanced age, emergency surgery, and the American Society of Anesthesiologists physical status classification. Conclusions: Our study confirms that perioperative COVID-19 infection significantly elevates overall mortality and pulmonary complications, emphasizing the necessity of tailored perioperative management. Incorporating individual risk factors into care protocols not only reduces risks for surgical patients but also enhances treatment approaches. These findings advocate for the implementation of personalized medicine principles in surgical settings to improve patient outcomes during and after the COVID-19 pandemic. This research uses a comprehensive national medical claims dataset to set new standards for studying pandemic health impacts and improving clinical strategies. Full article
(This article belongs to the Special Issue Advances in Infectious Disease Epidemiology)
Show Figures

Figure 1

12 pages, 234 KB  
Review
Advances in Managing Pelvic Fractures in Polytrauma: A Comprehensive Review
by Uros Dabetic, Jovana Grupkovic, Slavisa Zagorac, Dejan Aleksandric, Nikola Bogosavljevic and Goran Tulic
J. Clin. Med. 2025, 14(5), 1492; https://doi.org/10.3390/jcm14051492 - 23 Feb 2025
Cited by 2 | Viewed by 4859
Abstract
Background: Pelvic fractures are among the most complex and life-threatening injuries encountered in trauma and orthopedic surgery, often resulting from high-energy trauma and leading to severe complications. This review synthesizes recent advancements in pelvic trauma care, with a focus on comparing damage control [...] Read more.
Background: Pelvic fractures are among the most complex and life-threatening injuries encountered in trauma and orthopedic surgery, often resulting from high-energy trauma and leading to severe complications. This review synthesizes recent advancements in pelvic trauma care, with a focus on comparing damage control orthopedics (DCO) and early total care (ETC) strategies, operative versus nonoperative management, and outcomes of minimally invasive versus traditional ORIF techniques. Results: Our comparative analysis highlights that DCO remains the preferred approach for hemodynamically unstable patients, prioritizing rapid stabilization and reducing mortality from hemorrhage. In contrast, ETC has demonstrated superior functional recovery outcomes in stable polytrauma patients, with a 30–40% reduction in pulmonary complications and shorter ICU stays when performed within 24–48 h post-injury. Additionally, percutaneous fixation reduces soft tissue trauma and infection risk but increases the likelihood of malunion, while ORIF provides superior anatomical restoration with a higher risk of postoperative infections. Hybrid approaches, integrating percutaneous techniques with limited open reduction, show promise in minimizing operative time and complications while achieving stable fixation. Conclusions: These findings reinforce the importance of tailoring surgical strategies to patient physiology and injury patterns. DCO and ETC have distinct but complementary roles, and emerging hybrid techniques offer a middle ground that balances stability with reduced morbidity. A precision medicine approach, integrating AI-driven predictive modeling and real-world clinical data, is essential for optimizing outcomes and developing evidence-based treatment protocols. Large-scale, multicenter trials are needed to validate these approaches and establish standardized guidelines for pelvic fracture management. Full article
8 pages, 197 KB  
Article
Reverse Shoulder Arthroplasty in Patients with Rheumatoid Arthritis: A Nationwide Analysis
by Andrew G. Beauperthuy, Nadia F. Linton, Peter A. Falgiano, Kevin L. Mekkawy, Hugo C. Rodriguez and Ashim Gupta
J. Clin. Med. 2025, 14(3), 994; https://doi.org/10.3390/jcm14030994 - 4 Feb 2025
Cited by 1 | Viewed by 1899
Abstract
Introduction: Reverse shoulder arthroplasty (RSA) was originally developed for treating rotator cuff arthropathy but is now commonly used for rheumatoid arthritis (RA)-related shoulder degeneration. While previous studies have identified RA to be a risk factor for complications following total shoulder arthroplasty, its specific [...] Read more.
Introduction: Reverse shoulder arthroplasty (RSA) was originally developed for treating rotator cuff arthropathy but is now commonly used for rheumatoid arthritis (RA)-related shoulder degeneration. While previous studies have identified RA to be a risk factor for complications following total shoulder arthroplasty, its specific impact on RSA outcomes remains unclear. This study aims to evaluate the post-operative medical and implant-related complications, and healthcare utilization, among RA patients undergoing RSA. Methods: A retrospective analysis of patients undergoing RSA was conducted using a national administrative claims database from 2010 to 2023. Patients who underwent RSA with and without RA were identified using corresponding diagnoses and procedural codes. Patients with RA who underwent RSA had propensity score matched to a control on a 1:5 basis. The control group consisted of patients who did not have RA and underwent RSA for any other indication. Results: A total of 7232 of RSA patients with RA were matched to 36,054 control patients. The RA cohort had significantly higher rates of 90-day medical complications when compared to the control (p < 0.001), with the highest rates in urinary tract infections (OR: 9.69), pulmonary embolisms (OR: 9.69), and the need for blood transfusions (OR:9.41). Patients with RA had significantly greater odds of developing all implant-related complications within 2 years compared to the control group (p < 0.001). This cohort also had significantly higher fall rates (p < 0.001) and mean lengths of stay (3.42 vs. 2.0 days, p < 0.0001). Conclusions: RSA patients with prior diagnoses of RA face a higher risk of implant-related and medical complications, falls, and prolonged hospital stays compared to the control. These findings suggest that RA is an independent risk factor for reverse total shoulder arthroplasty. Therefore, these patients should be closely monitored post-operatively to reduce complications, cost of care, and length of stay. Level of Evidence: III, retrospective case–control study Full article
(This article belongs to the Special Issue Clinical Management of Elbow and Shoulder Surgery)
10 pages, 226 KB  
Article
The Effects of Syphilis Infection on Total Knee Arthroplasty Outcomes: A Retrospective Cohort Study
by Paul Gudmundsson, Marc Gadda, Aruni Areti and Senthil Sambandam
J. Clin. Med. 2024, 13(23), 7116; https://doi.org/10.3390/jcm13237116 - 25 Nov 2024
Viewed by 1653
Abstract
Objective: This study investigated the impact of recent syphilis infection on postoperative outcomes following total knee arthroplasty (TKA). We hypothesized that patients with a documented history of syphilis infection would experience a higher rate of postoperative complications compared to those without such a [...] Read more.
Objective: This study investigated the impact of recent syphilis infection on postoperative outcomes following total knee arthroplasty (TKA). We hypothesized that patients with a documented history of syphilis infection would experience a higher rate of postoperative complications compared to those without such a history. Methods: We conducted a retrospective cohort analysis using a national insurance claims database. Our study population included 237,360 patients who underwent primary TKA between 2005 and 2024. Patients were classified into two groups based on the presence (+Syph) or absence (−Syph) of a syphilis diagnosis within one year prior to the TKA. We evaluated the rates of several postoperative complications at 30 days postsurgery, including infection, hematologic issues, and cardiac events. Statistical analyses between groups was performed using chi-squared tests and Fisher’s exact tests. Routine demographic data such as age, sex, race, and comorbidities were also analyzed. Results: Among the 237,360 TKA patients, we identified 71 with a history of syphilis within one year of their surgery. The +Syph group exhibited significantly higher rates of periprosthetic infection (4.23% vs. 0.81%, p = 0.001), need for manipulation under anesthesia (MUA) at four months (7.04% vs. 2.82%, p = 0.032), deep venous thrombosis (4.23% vs. 1.27%, p = 0.026), periprosthetic fracture (2.82% vs. 0.23%, p < 0.001), and pneumonia (2.82% vs. 0.62%, p = 0.019) within 30 days postTKA. No significant differences were observed in 30-day mortality, deep or superficial surgical site infections, wound dehiscence, blood loss anemia, or transfusion requirements. Additionally, rates of acute renal failure, pulmonary embolism, and cardiac events did not differ significantly between groups. Demographically, patients in the syphilis cohort had a higher prevalence of smoking and diabetes preoperatively within one year of their surgical date. Conclusions: A documented syphilis diagnosis within one year of TKA significantly affects postoperative outcomes, increasing the rates of prosthetic joint infection, MUA, deep venous thrombosis, periprosthetic fracture, and pneumonia. These findings underscore the need for heightened vigilance in the pre- and postoperative management of patients with a history of syphilis infection undergoing TKA. Further research is warranted to explore the relationship between prior syphilis infection and TKA outcomes, as well as to develop strategies to mitigate this increased risk. Full article
(This article belongs to the Special Issue Arthroplasty: Advances in Surgical Techniques and Patient Outcomes)
Back to TopTop