Sign in to use this feature.

Years

Between: -

Subjects

remove_circle_outline
remove_circle_outline
remove_circle_outline
remove_circle_outline
remove_circle_outline
remove_circle_outline
remove_circle_outline
remove_circle_outline
remove_circle_outline

Journals

Article Types

Countries / Regions

Search Results (82)

Search Parameters:
Keywords = porosity curve prediction

Order results
Result details
Results per page
Select all
Export citation of selected articles as:
22 pages, 7997 KB  
Article
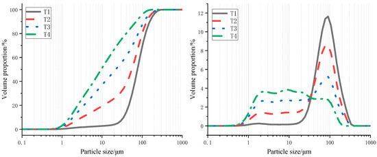
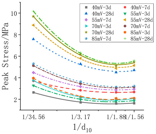
Experimental Study on Dynamic Characteristics of Cemented Tailings Backfill Under Different Tailings Gradation
by Deqing Gan, Hongbao Li and Zhiyi Liu
Appl. Sci. 2025, 15(23), 12778; https://doi.org/10.3390/app152312778 - 2 Dec 2025
Viewed by 104
Abstract
The stability of cemented tailings backfill (CTB) is influenced by mining disturbance. As a property of CTB, tailings gradation (TG) is one of the factors that change its mechanical properties. Taking tailings gradation, impact amplitude, and curing age as variables, this paper focuses [...] Read more.
The stability of cemented tailings backfill (CTB) is influenced by mining disturbance. As a property of CTB, tailings gradation (TG) is one of the factors that change its mechanical properties. Taking tailings gradation, impact amplitude, and curing age as variables, this paper focuses on the characteristics of the influence of curing age on the failure deformation, strength evolution, failure mode, and microstructure of CTB. The results show that with the average particle size of the tailings from coarse to fine, the peak stress and elastic modulus of CTB first decrease and then increase. The increase in curing age and impact amplitude can improve the elastic deformation capacity of CTB. During the post-peak phase, the stress–strain curve undergoes sequential morphological transitions, evolving from the initial “stress drop” characteristics through “post-peak plasticity” manifestations before ultimately demonstrating “post-peak ductility” behavior. This progression corresponds to CTB’s material transformation pathway, commencing as a rigid substance that first transitions into a plastic-brittle composite, subsequently develops plastic properties, and finally attains ductile material characteristics. The TG changes from T1 to T4, and the failure mode of CTB gradually changes from composite failure and shear failure to tension failure and composite failure. A CTB strength prediction model based on TG is proposed. The R2 of the model is 0.997, F = 12,855, and p < 0.001, which has high applicability. As tailings vary from T1/T2 to T4, AFt content progressively decreases, the C-S-H gel transitions from a 3D network to a flocculent structure, and the skeleton shifts from coarse to fine particles, leading to increased porosity but smaller pores. Full article
Show Figures

Figure 1

18 pages, 4994 KB  
Article
Parameter Optimization for Dual-Mode Operation of Unitized Regenerative Fuel Cells via Steady-State Simulation
by Yuhang Hu, Yijia Li, Yuehua Li, Fang Yang, Bin Zhang and Dan Wang
Energies 2025, 18(22), 5899; https://doi.org/10.3390/en18225899 - 10 Nov 2025
Viewed by 226
Abstract
Mathematical modeling of unitized regenerative fuel cells (URFCs) faces significant challenges in reconciling parameter conflicts between fuel cell (FC) and electrolysis cell (EC) modes. This study establishes a COMSOL-based multi-physics framework coupling water–gas–heat–electric transport for both operational states. The critical factors associated with [...] Read more.
Mathematical modeling of unitized regenerative fuel cells (URFCs) faces significant challenges in reconciling parameter conflicts between fuel cell (FC) and electrolysis cell (EC) modes. This study establishes a COMSOL-based multi-physics framework coupling water–gas–heat–electric transport for both operational states. The critical factors associated with the model were identified through a systematic sensitivity analysis of structural and operational parameters, including temperature, exchange current density, conductivity, porosity, and flow rates. FC modes exhibited strong sensitivity to exchange current density (27.8–40.5% performance variation) and conductivity of membrane (10.1–35.6%), while temperature degraded performance (−4.2% to −4.0%). Spatial analysis revealed temperature-induced membrane dehydration and accelerated gas depletion at electrodes, thus explaining the negative correlation. EC modes were dominantly governed by temperature (8.6–9.4%), exchange current density (13.0–16.4%), and conductivity (2.5–13.3%). Channel simulations revealed that elevated temperature contributed to enhanced liquid water fluidity, while high flow rates had a relatively limited effect on mitigating species concentration gradients. Parameter optimization guided by sensitivity thresholds (e.g., porosity > 0.4 in FC GDLs, conductivity > 222 S/m in EC modes) enabled dual-mode calibration. The model achieved <4% error in polarization curve validation under experimental conditions, demonstrating robust prediction of voltage–current dynamics. This work resolves key conflicts of URFC modeling through physics-informed parameterization to provide a foundation for efficient dual-mode system design. Full article
(This article belongs to the Section D: Energy Storage and Application)
Show Figures

Figure 1

17 pages, 3258 KB  
Article
Effects of Grain Size, Density, and Contact Angle on the Soil–Water Characteristic Curve of Coarse Granular Materials
by Xin Liu, Ruixuan Li, Xi Sun and Xiaonan Wang
Appl. Sci. 2025, 15(22), 11910; https://doi.org/10.3390/app152211910 - 9 Nov 2025
Viewed by 292
Abstract
The soil–water characteristic curve (SWCC) is essential for understanding hydraulic behavior in geotechnical applications involving coarse granular materials. However, existing models often overlook the coupled effects of key factors. This study systematically investigates the influence of grain size distribution, density, and contact angle [...] Read more.
The soil–water characteristic curve (SWCC) is essential for understanding hydraulic behavior in geotechnical applications involving coarse granular materials. However, existing models often overlook the coupled effects of key factors. This study systematically investigates the influence of grain size distribution, density, and contact angle on the SWCC using a numerical approach that combines the discrete element method (DEM) with an enhanced pore morphology method incorporating locally variable contact angles (Lvca-PMM). The results show that smaller uniformity coefficients (Cu), larger median grain sizes (D50), higher porosity (φ), and larger contact angles (θ) shift the SWCC to the left, reducing both the air entry value (Ψa) and residual suction (Ψr). Specifically, linear relationships were identified between Ψa, Ψr, Cu, φ, and cos(θ), while a power-law relationship was observed with D50. Furthermore, the interaction of these factors plays a critical role, where a change in one property can amplify or diminish the effects of others. Based on these findings, empirical equations for predicting Ψa and Ψr were developed, offering practical tools for engineers to efficiently estimate the SWCC. This research provides deeper insight into the water retention properties of coarse soils and supports the optimized design of granular fills and drainage systems. Full article
(This article belongs to the Section Civil Engineering)
Show Figures

Figure 1

25 pages, 5436 KB  
Article
Pore Structure Analysis of Growing Media Using X-Ray Microcomputed Tomography
by Hadi Hamaaziz Muhammed, Ruediger Anlauf, Diemo Daum, Mayka Schmitt Rahner and Katrin Kuka
Appl. Sci. 2025, 15(22), 11886; https://doi.org/10.3390/app152211886 - 8 Nov 2025
Viewed by 609
Abstract
This study investigated the representative elementary volume (REV) for visible porosity in horticultural growing media (peat, commercial mixture, treated wood fibre/peat, pure wood fibre) using x-ray micro-computed tomography (µCT) with 2D and 3D image division, pore morphology, water retention curve (WRC), and saturated [...] Read more.
This study investigated the representative elementary volume (REV) for visible porosity in horticultural growing media (peat, commercial mixture, treated wood fibre/peat, pure wood fibre) using x-ray micro-computed tomography (µCT) with 2D and 3D image division, pore morphology, water retention curve (WRC), and saturated hydraulic conductivity (Ksat) via pore network modelling (PNM). Two sample sizes (10 × 10 cm, 3 × 3 cm, height × diameter) with resolutions of 46 and 15 µm were analysed. REV was assessed using deterministic (dREV) and statistical (sREV) criteria, evaluating the porosity and coefficient of variation across subvolumes. The results showed that 3D division of large samples achieved REV only for pure wood fibre (8000–10,000 µm), while 2D division met both criteria for all media. For small samples, 3D division achieved REV only for wood fibre/peat mixture, but 2D division succeeded for all media above 3000 µm. Pore analyses indicated that pure wood fibre had the largest, most connected pores, enhancing drainage, while peat showed complex, retentive structures. WRCs aligned well with lab data (R2 > 0.88). PNM Ksat estimates from small images were more accurate, with discrepancies (21–172%) due to segmentation artefacts. Future studies should incorporate permeability or tortuosity and explore multiscale imaging for improved hydrophysical predictions. This study also highlights advantages unique to X-ray µCT compared to standard laboratory methods, e.g., direct three-dimensional quantification of pore structure parameters and an image-based determination of the REV. Full article
(This article belongs to the Section Applied Physics General)
Show Figures

Figure 1

26 pages, 6773 KB  
Article
Numerical Analysis of Impact-Freezing and Spreading Dynamics of Supercooled Saline Droplets on Offshore Wind Turbine Blades Using the VOF–Enthalpy–Porosity Method
by Guanyu Chen, Huan Xia, Xu Bai, Daolei Wu and Baolong Lin
J. Mar. Sci. Eng. 2025, 13(11), 2093; https://doi.org/10.3390/jmse13112093 - 3 Nov 2025
Viewed by 286
Abstract
The impact-freezing phenomenon of supercooled saline droplets on cold surfaces poses a serious threat to the operational stability and structural integrity of offshore wind turbines. Compared to freshwater droplets, numerical models for analyzing the impact-freezing behavior of saline droplets typically involve complex physical [...] Read more.
The impact-freezing phenomenon of supercooled saline droplets on cold surfaces poses a serious threat to the operational stability and structural integrity of offshore wind turbines. Compared to freshwater droplets, numerical models for analyzing the impact-freezing behavior of saline droplets typically involve complex physical mechanisms, resulting in high computational costs. This study employs a simplified two-dimensional axisymmetric numerical model that integrates the Volume of Fluid (VOF) method with the enthalpy–porosity approach, enabling rapid analysis of the saline droplet impact-freezing process under marine environmental conditions. The model is validated by comparing the spreading factor curve of saline droplets with a salinity of 35‰ against existing experimental data. Results show that the salinity corresponding to the peak relative deviation shifts with varying impact parameters, depending on the competition between impact dynamics and solidification. Furthermore, the maximum spreading factor decreases with increasing supercooling degree and contact angle but increases with higher Weber number. These findings provide useful correction parameters for improving existing droplet motion and icing prediction models. Full article
(This article belongs to the Special Issue Advances in Marine Engineering Hydrodynamics, 2nd Edition)
Show Figures

Figure 1

20 pages, 4410 KB  
Article
Fractal Analysis of Microstructural Effects on Gas-Water Relative Permeability in Fractured Reservoirs
by Linhao Qiu, Yuxi Yang, Xiang Luo, Yunxiu Sai and Youyou Cheng
Processes 2025, 13(11), 3435; https://doi.org/10.3390/pr13113435 - 26 Oct 2025
Viewed by 415
Abstract
During natural gas extraction, understanding multiphase flow in fractured reservoirs remains a critical challenge due to the heterogeneous distribution of pores and fractures and the multi-scale nature of seepage mechanisms. These complexities introduce randomness in fluid distribution and tortuosity in seepage channels, limiting [...] Read more.
During natural gas extraction, understanding multiphase flow in fractured reservoirs remains a critical challenge due to the heterogeneous distribution of pores and fractures and the multi-scale nature of seepage mechanisms. These complexities introduce randomness in fluid distribution and tortuosity in seepage channels, limiting accurate characterization of gas-water flow. To address this issue, a dual-medium gas-water two-phase relative permeability model is developed by incorporating the fractal dimension of fracture surfaces, the tortuosity of the rock matrix, and the stress sensitivity of fracture networks. The model integrates essential microstructural parameters to capture the nonlinear flow behavior in dual-porosity systems. A systematic sensitivity analysis is conducted to evaluate the effects of fracture and matrix properties on the relative permeability curve. Results indicate that the fracture surface fractal dimension exerts a dominant influence in the two-phase flow region (fracture fractal dimensions in the range of 1.6–2.8), while near single-phase flow, fracture fractal dimensions in the range of 2.4–2.8 strongly affect flow behavior. Overall, the findings demonstrate that fracture-related parameters play a greater role than matrix properties in governing permeability evolution. This study provides predictive capability for two-phase flow in stress-sensitive fractured carbonates. Full article
(This article belongs to the Special Issue Flow Mechanisms and Enhanced Oil Recovery)
Show Figures

Graphical abstract

22 pages, 7154 KB  
Article
Effects of Particle Segregation and Grain Pressure on Ventilation Airflow and Temperature–Humidity Distribution in Maize Pilot Silo
by Chaosai Liu, Boyi Zhao, Hao Zhang, Tong Shen and Jun Wang
Agriculture 2025, 15(21), 2205; https://doi.org/10.3390/agriculture15212205 - 23 Oct 2025
Viewed by 459
Abstract
The distribution of grain particles within a silo influences heat and moisture transfer during stored grain ventilation, leading to grain quality losses. A study on porosity distribution analysis and ventilation tests was conducted in a pilot silo with a height of 3 m, [...] Read more.
The distribution of grain particles within a silo influences heat and moisture transfer during stored grain ventilation, leading to grain quality losses. A study on porosity distribution analysis and ventilation tests was conducted in a pilot silo with a height of 3 m, a diameter of 1.5 m, and a conical dome height of 0.85 m. The E-B constitutive model was incorporated into the secondary development of FLAC3D 5.0 to analyze the vertical pressure distribution in the grain bulk. An anisotropic porosity distribution model for the maize bulk was developed, accounting for both vertical pressure and segregation mechanisms. The differences in airflow and heat transfer during ventilation between isotropic and anisotropic porosity distributions were quantified. A nonlinear model was innovatively proposed to predict the temperature front curve (TFC) during ventilation as affected by porosity variation. The results indicate that friction between the maize kernel and the silo wall led to vertical pressure at the center of the bottom that was 10.7% higher than that near the wall. The average surface porosity of the maize bulk was 2.8% higher than at the bottom. This led to a minimum porosity of 0.409 at the center of the silo bottom, due to the combined effect of impact during the loading process and vertical pressure. The numerical simulation demonstrated excellent consistency with the experimental data. At a supply vent air velocity of 0.126 m/s, an increase in the maize bulk height from 0.725 m to 2.9 m resulted in reductions in airflow rate and average relative humidity of 20.3% and 9.67%. The airflow velocity near the wall was 13.4% higher than that in the center, leading to a faster cooling rate in the peripheral region compared to the center of the maize bulk. The airflow velocity based on the isotropic porosity model was higher at the center than that predicted by the anisotropic model, whereas the opposite trend was observed near the wall. The temperature front during ventilation based on the anisotropic porosity model exhibited a concave curve. A nonlinear model was developed to predict this temperature front, showing strong agreement with computational data. Full article
(This article belongs to the Section Agricultural Product Quality and Safety)
Show Figures

Figure 1

21 pages, 9318 KB  
Article
Investigation on Ground Collapse Due to Exfiltration of Shallowly Buried Water-Supply Pipeline
by Fenghao Bai, Ye Lu and Xiuying Lu
Appl. Sci. 2025, 15(19), 10736; https://doi.org/10.3390/app151910736 - 5 Oct 2025
Viewed by 525
Abstract
Pipeline exfiltration from damaged water-supply systems frequently causes soil erosion and ground subsidence, which jeopardizes the safety of pedestrians and vehicles and even causes casualties. Despite the severe consequences, it is difficult for engineers to give reliable assessments of pipeline exfiltration hazards. In [...] Read more.
Pipeline exfiltration from damaged water-supply systems frequently causes soil erosion and ground subsidence, which jeopardizes the safety of pedestrians and vehicles and even causes casualties. Despite the severe consequences, it is difficult for engineers to give reliable assessments of pipeline exfiltration hazards. In this study, erosion processes were explored using model tests and coupled computational fluid dynamics–discrete element method (CFD-DEM) simulations. It was discovered that the erosion zone can be divided into two zones—the exfiltration zone and the seepage diffusion zone. When water pressure reached 2.412 × 10−2 MPa, local porosity approached 1.0, indicating there were no soil particles remaining. As pipeline pressure increased from 2.122 × 10−3 MPa to 2.412 × 10−2 MPa, ground failure transitioned from downward settlement to upward bulge, and the ground failure duration of the fractured prototype pipe was reduced by 22–28% (from 125 s to 98 s), with a standard deviation of less than 5. The established exponential decay model (v(t)=v0e(αt),R2>0.89) enabled prediction of erosion duration. Based on the erosion height curve, the erosion duration and erosion area in similar engineering environments can be estimated, providing a reference for evaluating the risk of ground collapse due to pipe exfiltration. Full article
(This article belongs to the Section Civil Engineering)
Show Figures

Figure 1

24 pages, 11795 KB  
Article
Effects of Sodium Chloride in Soil Stabilization: Improving the Behavior of Clay Deposits in Northern Cartagena, Colombia
by Jair Arrieta Baldovino, Jesús David Torres Parra and Yamid E. Nuñez de la Rosa
Sustainability 2025, 17(19), 8715; https://doi.org/10.3390/su17198715 - 28 Sep 2025
Viewed by 680
Abstract
This research evaluates the stabilization of a clay collected from the northern expansion zone of Cartagena de Indias, Colombia. Laboratory analyses, including particle size distribution, Atterberg limits, compaction, specific gravity, and XRF/XRD, classified the soil as a highly plastic clay (CH) with moderate [...] Read more.
This research evaluates the stabilization of a clay collected from the northern expansion zone of Cartagena de Indias, Colombia. Laboratory analyses, including particle size distribution, Atterberg limits, compaction, specific gravity, and XRF/XRD, classified the soil as a highly plastic clay (CH) with moderate dispersivity, as confirmed by pinhole and crumb tests. The soil was treated with 3–9% lime, with and without the addition of NaCl (0% and 2%), and tested for unconfined compressive strength (qu), small-strain stiffness (Go), and microstructural properties under curing periods of 14 and 28 days at two compaction densities. Results showed that lime significantly improved mechanical behavior, while the inclusion of NaCl further enhanced qu (up to 185%) and Go (up to 3-fold), particularly at higher lime contents and curing times. Regression models demonstrated that both qu and Go follow power-type relationships with the porosity-to-lime index, with consistent exponents (−4.75 and −5.23, respectively) and high coefficients of determination (R2 > 0.79). Normalization of the data yielded master curves with R2 values above 0.90, confirming the robustness of the porosity-to-lime framework as a predictive tool. The Go/qu ratio obtained (3737.4) falls within the range reported for cemented geomaterials, reinforcing its relevance for comparative analysis. SEM observations revealed the transition from a porous, weakly aggregated structure to a dense matrix filled with C–S–H and C–A–H gels, corroborating the macro–micro correlation. Overall, the combined use of lime and NaCl effectively converts dispersive clays into non-dispersive, mechanically improved geomaterials, providing a practical and sustainable approach for stabilizing problematic coastal soils in tropical environments. Full article
Show Figures

Figure 1

27 pages, 4212 KB  
Article
Artificial Neural Network Modeling of Darcy–Forchheimer Nanofluid Flow over a Porous Riga Plate: Insights into Brownian Motion, Thermal Radiation, and Activation Energy Effects on Heat Transfer
by Zafar Abbas, Aljethi Reem Abdullah, Muhammad Fawad Malik and Syed Asif Ali Shah
Symmetry 2025, 17(9), 1582; https://doi.org/10.3390/sym17091582 - 22 Sep 2025
Cited by 2 | Viewed by 605
Abstract
Nanotechnology has become a transformative field in modern science and engineering, offering innovative approaches to enhance conventional thermal and fluid systems. Heat and mass transfer phenomena, particularly fluid motion across various geometries, play a crucial role in industrial and engineering processes. The inclusion [...] Read more.
Nanotechnology has become a transformative field in modern science and engineering, offering innovative approaches to enhance conventional thermal and fluid systems. Heat and mass transfer phenomena, particularly fluid motion across various geometries, play a crucial role in industrial and engineering processes. The inclusion of nanoparticles in base fluids significantly improves thermal conductivity and enables advanced phase-change technologies. The current work examines Powell–Eyring nanofluid’s heat transmission properties on a stretched Riga plate, considering the effects of magnetic fields, porosity, Darcy–Forchheimer flow, thermal radiation, and activation energy. Using the proper similarity transformations, the pertinent governing boundary-layer equations are converted into a set of ordinary differential equations (ODEs), which are then solved using the boundary value problem fourth-order collocation (BVP4C) technique in the MATLAB program. Tables and graphs are used to display the outcomes. Due to their significance in the industrial domain, the Nusselt number and skin friction are also evaluated. The velocity of the nanofluid is shown to decline with a boost in the Hartmann number, porosity, and Darcy–Forchheimer parameter values. Moreover, its energy curves are increased by boosting the values of thermal radiation and the Biot number. A stronger Hartmann number M decelerates the flow (thickening the momentum boundary layer), whereas increasing the Riga forcing parameter Q can locally enhance the near-wall velocity due to wall-parallel Lorentz forcing. Visual comparisons and numerical simulations are used to validate the results, confirming the durability and reliability of the suggested approach. By using a systematic design technique that includes training, testing, and validation, the fluid dynamics problem is solved. The model’s performance and generalization across many circumstances are assessed. In this work, an artificial neural network (ANN) architecture comprising two hidden layers is employed. The model is trained with the Levenberg–Marquardt scheme on reliable numerical datasets, enabling enhanced prediction capability and computational efficiency. The ANN demonstrates exceptional accuracy, with regression coefficients R1.0 and the best validation mean squared errors of 8.52×1010, 7.91×109, and 1.59×108 for the Powell–Eyring, heat radiation, and thermophoresis models, respectively. The ANN-predicted velocity, temperature, and concentration profiles show good agreement with numerical findings, with only minor differences in insignificant areas, establishing the ANN as a credible surrogate for quick parametric assessment and refinement in magnetohydrodynamic (MHD) nanofluid heat transfer systems. Full article
(This article belongs to the Special Issue Computational Mathematics and Its Applications in Numerical Analysis)
Show Figures

Figure 1

31 pages, 7277 KB  
Article
Multi-Performance Evolution and Elasto-Plastic Damage Modeling of Basalt Fiber-Reinforced EPS Geopolymer Lightweight Concrete
by Feng Liang, Qingshun Yang and Jutao Tao
Polymers 2025, 17(18), 2471; https://doi.org/10.3390/polym17182471 - 12 Sep 2025
Viewed by 653
Abstract
To elucidate the multi-performance evolution mechanisms of basalt fiber-reinforced lightweight expanded polystyrene geopolymer concrete (LEGC), a two-tiered investigation was conducted. In the first part, a series of LEGC mixtures with varying volume fractions of EPS (10–40%) and basalt fiber (BF) (0.4–0.8%) were designed. [...] Read more.
To elucidate the multi-performance evolution mechanisms of basalt fiber-reinforced lightweight expanded polystyrene geopolymer concrete (LEGC), a two-tiered investigation was conducted. In the first part, a series of LEGC mixtures with varying volume fractions of EPS (10–40%) and basalt fiber (BF) (0.4–0.8%) were designed. Experimental tests were carried out to evaluate density, flowability, compressive strength, flexural strength, and splitting tensile strength. Crack propagation behavior was monitored using DIC-3D speckle imaging. Additionally, X-ray CT scanning revealed the internal clustering of EPS particles, porosity distribution, and crack connectivity within LEGC specimens, while SEM analysis confirmed the bridging effect of basalt fibers and the presence of dense matrix regions. These microstructural observations verified the consistency between the synergistic effects of EPS weakening and fiber reinforcement at the microscale and the macroscopic failure behavior. The results indicated that increasing EPS content led to reduced mechanical strength, whereas the reinforcing effect of basalt fiber followed a rising-then-falling trend. Among all specimens, LEGC20BF06 exhibited the best comprehensive performance, achieving a compressive strength of 40.87 MPa and a density of 1747.6 kg/m3, thus meeting the criteria for structural lightweight concrete. In the second part, based on the experimental data, predictive models were developed for splitting tensile and flexural strengths using compressive strength as a reference, as well as a dual-factor model incorporating EPS and fiber contents. Both models were validated and demonstrated high predictive accuracy. Furthermore, a splitting tensile elasto-plastic damage constitutive model was proposed based on composite mechanics and energy dissipation theory. The model showed excellent agreement with experimental stress–strain curves, with all fitting coefficients of determination (R2) exceeding 0.95. These findings offer robust theoretical support for the performance optimization of LEGC and its application in green construction and prefabricated structural systems. Full article
(This article belongs to the Special Issue Fiber-Reinforced Polymer Composites: Progress and Prospects)
Show Figures

Figure 1

28 pages, 14358 KB  
Article
Three-Dimensional Mesoscopic DEM Modeling and Compressive Behavior of Macroporous Recycled Concrete
by Yupeng Xu, Fei Geng, Haoxiang Luan, Jun Chen, Hangli Yang and Peiwei Gao
Buildings 2025, 15(15), 2655; https://doi.org/10.3390/buildings15152655 - 27 Jul 2025
Cited by 3 | Viewed by 989
Abstract
The mesoscopic-scale discrete element method (DEM) modeling approach demonstrated high compatibility with macroporous recycled concrete (MRC). However, existing DEM models failed to adequately balance modeling accuracy and computational efficiency for recycled aggregate (RA), replicate the three distinct interfacial transition zone (ITZ) types and [...] Read more.
The mesoscopic-scale discrete element method (DEM) modeling approach demonstrated high compatibility with macroporous recycled concrete (MRC). However, existing DEM models failed to adequately balance modeling accuracy and computational efficiency for recycled aggregate (RA), replicate the three distinct interfacial transition zone (ITZ) types and pore structure of MRC, or establish a systematic calibration methodology. In this study, PFC 3D was employed to establish a randomly polyhedral RA composite model and an MRC model. A systematic methodology for parameter testing and calibration was proposed, and compressive test simulations were conducted on the MRC model. The model incorporated all components of MRC, including three types of ITZs, achieving an aggregate volume fraction of 57.7%. Errors in simulating compressive strength and elastic modulus were 3.8% and 18.2%, respectively. Compared to conventional concrete, MRC exhibits larger strain and a steeper post-peak descending portion in stress–strain curves. At peak stress, stress is concentrated in the central region and the surrounding arc-shaped zones. After peak stress, significant localized residual stress persists within specimens; both toughness and toughness retention capacity increase with rising porosity and declining compressive strength. Failure of MRC is dominated by tension rather than shear, with critical bonds determining strength accounting for only 1.4% of the total. The influence ranking of components on compressive strength is as follows: ITZ (new paste–old paste) > ITZ (new paste–natural aggregates) > new paste > old paste > ITZ (old paste–natural aggregates). The Poisson’s ratio of MRC (0.12–0.17) demonstrates a negative correlation with porosity. Predictive formulas for peak strain and elastic modulus of MRC were established, with errors of 2.6% and 3.9%, respectively. Full article
(This article belongs to the Special Issue Advances in Modeling and Characterization of Cementitious Composites)
Show Figures

Figure 1

31 pages, 8853 KB  
Article
Atomistic-Based Fatigue Property Normalization Through Maximum A Posteriori Optimization in Additive Manufacturing
by Mustafa Awd, Lobna Saeed and Frank Walther
Materials 2025, 18(14), 3332; https://doi.org/10.3390/ma18143332 - 15 Jul 2025
Cited by 1 | Viewed by 870
Abstract
This work presents a multiscale, microstructure-aware framework for predicting fatigue strength distributions in additively manufactured (AM) alloys—specifically, laser powder bed fusion (L-PBF) AlSi10Mg and Ti-6Al-4V—by integrating density functional theory (DFT), instrumented indentation, and Bayesian inference. The methodology leverages principles common to all 3D [...] Read more.
This work presents a multiscale, microstructure-aware framework for predicting fatigue strength distributions in additively manufactured (AM) alloys—specifically, laser powder bed fusion (L-PBF) AlSi10Mg and Ti-6Al-4V—by integrating density functional theory (DFT), instrumented indentation, and Bayesian inference. The methodology leverages principles common to all 3D printing (additive manufacturing) processes: layer-wise material deposition, process-induced defect formation (such as porosity and residual stress), and microstructural tailoring through parameter control, which collectively differentiate AM from conventional manufacturing. By linking DFT-derived cohesive energies with indentation-based modulus measurements and a MAP-based statistical model, we quantify the effect of additive-manufactured microstructural heterogeneity on fatigue performance. Quantitative validation demonstrates that the predicted fatigue strength distributions agree with experimental high-cycle and very-high-cycle fatigue (HCF/VHCF) data, with posterior modes and 95 % credible intervals of σ^fAlSi10Mg=867+8MPa and σ^fTi6Al4V=1159+10MPa, respectively. The resulting Woehler (S–N) curves and Paris crack-growth parameters envelop more than 92 % of the measured coupon data, confirming both accuracy and robustness. Furthermore, global sensitivity analysis reveals that volumetric porosity and residual stress account for over 70 % of the fatigue strength variance, highlighting the central role of process–structure relationships unique to AM. The presented framework thus provides a predictive, physically interpretable, and data-efficient pathway for microstructure-informed fatigue design in additively manufactured metals, and is readily extensible to other AM alloys and process variants. Full article
(This article belongs to the Topic Multi-scale Modeling and Optimisation of Materials)
Show Figures

Figure 1

19 pages, 2353 KB  
Article
A Novel Bimodal Hydro-Mechanical Coupling Model for Evaluating Rainfall-Induced Unsaturated Slope Stability
by Tzu-Hao Huang, Ya-Sin Yang and Hsin-Fu Yeh
Geosciences 2025, 15(7), 265; https://doi.org/10.3390/geosciences15070265 - 9 Jul 2025
Viewed by 1069
Abstract
The soil water characteristic curve (SWCC) is a key foundation in unsaturated soil mechanics describing the relationship between matric suction and water content, which is crucial for studies on effective stress, permeability coefficients, and other soil properties. In natural environments, colluvial and residual [...] Read more.
The soil water characteristic curve (SWCC) is a key foundation in unsaturated soil mechanics describing the relationship between matric suction and water content, which is crucial for studies on effective stress, permeability coefficients, and other soil properties. In natural environments, colluvial and residual soils typically exhibit high pore heterogeneity, and previous studies have shown that the SWCC is closely related to the distribution of pore sizes. The SWCC of soils may display either a unimodal or bimodal distribution, leading to different hydraulic behaviors. Past unsaturated slope stability analyses have used the unimodal SWCC model, but this assumption may result in evaluation errors, affecting the accuracy of seepage and slope stability analyses. This study proposes a novel bimodal hydro-mechanical coupling model to investigate the influence of bimodal SWCC representations on rainfall-induced seepage behavior and stability of unsaturated slopes. By fitting the unimodal and bimodal SWCCs with experimental data, the results show that the bimodal model provides a higher degree of fit and smaller errors, offering a more accurate description of the relationship between matric suction and effective saturation, thus improving the accuracy of soil hydraulic property assessment. Furthermore, the study established a hypothetical slope model and used field data of landslides to simulate the collapse of Babaoliao in Chiayi County, Taiwan. The results show that the bimodal model predicts slope instability 1 to 3 h earlier than the unimodal model, with the rate of change in the safety factor being about 16.6% to 25.1% higher. The research results indicate the superiority of the bimodal model in soils with dual-porosity structures. The bimodal model can improve the accuracy and reliability of slope stability assessments. Full article
Show Figures

Figure 1

20 pages, 6888 KB  
Article
A New Method for Calculating Carbonate Mineral Content Based on the Fusion of Conventional and Special Logging Data—A Case Study of a Carbonate Reservoir in the M Oilfield in the Middle East
by Baoxiang Gu, Kaijun Tong, Li Wang, Zuomin Zhu, Hengyang Lv, Zhansong Zhang and Jianhong Guo
Processes 2025, 13(7), 1954; https://doi.org/10.3390/pr13071954 - 20 Jun 2025
Viewed by 779
Abstract
In this study, we propose a self-adaptive weighted multi-mineral inversion model (SQP_AW) based on Sequential Quadratic Programming (SQP) and the Adam optimization algorithm for the accurate evaluation of mineral content in carbonate reservoir rocks, addressing the high costs of traditional experimental methods and [...] Read more.
In this study, we propose a self-adaptive weighted multi-mineral inversion model (SQP_AW) based on Sequential Quadratic Programming (SQP) and the Adam optimization algorithm for the accurate evaluation of mineral content in carbonate reservoir rocks, addressing the high costs of traditional experimental methods and the strong parameter dependence in geophysical inversion. The model integrates porosity curves (compensated density, compensated neutron, and acoustic time difference), elastic modulus parameters (shear and bulk moduli), and nuclear magnetic porosity data for the construction of a multi-dimensional linear equation system, with calibration coefficients derived from core X-ray diffraction (XRD) data. The Adam algorithm dynamically optimizes the weights, solving the overdetermined equation system. We applied the method to the Asmari Formation in the M oilfield in the Middle East with 40 core samples for calibration, achieving a 0.91 fit with the XRD data. For eight additional uncalibrated samples from Well A, the fit reaches 0.87. With the introduction of the elastic modulus and nuclear magnetic porosity, the average relative error in mineral content decreases from 9.45% to 6.59%, and that in porosity estimation decreases from 8.1% to 7.1%. The approach is also scalable to elemental logging data, yielding inversion precision comparable to that of commercial software. Although the method requires a complete set of logging data and further validation of regional applicability for weight parameters, in future research, transfer learning and missing curve prediction could be incorporated to enhance its practical utility. Full article
Show Figures

Figure 1

Back to TopTop