Effects of Externally Applied Stress on Multiphase Flow Characteristics in Naturally Fractured Tight Reservoirs
Abstract
1. Introduction
2. Literature Review
3. Materials and Methods
3.1. Geometry of Naturally Fractured Tight Reservoir
3.2. Meshing of the Flow Domain
3.3. Multiphase Flow Modelling in Naturally Fractured Tight Reservoir
3.4. Modelling of Applied External Stress in Naturally Fractured Tight Reservoir
3.5. Material Properties
3.6. Initial and Boundary Conditions
4. Numerical Solution Strategy
Numerical Model Validation
5. Results
5.1. Stress-Dependent Matrix Porosity
5.2. Stress-Dependent Matrix Permeability
5.3. Stress-Dependent Fracture Aperture
5.4. Stress-Dependent Fracture Permeability
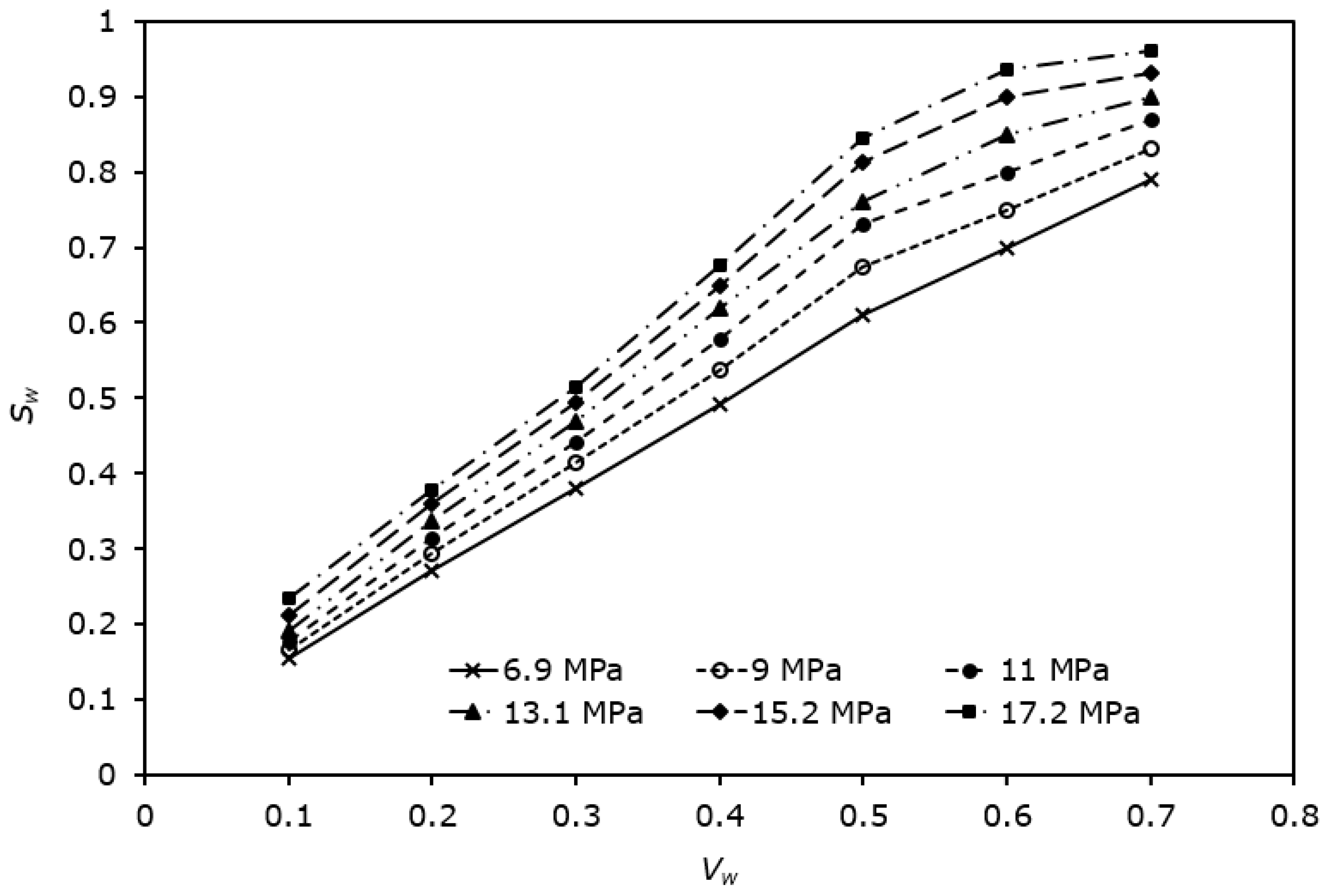
5.5. Stress-Dependent Water and Oil Saturation
5.6. Stress-Dependent Capillary Pressure
5.7. Stress-Dependent Relative Permeability
6. Discussion
7. Conclusions
Author Contributions
Funding
Institutional Review Board Statement
Informed Consent Statement
Data Availability Statement
Conflicts of Interest
References
- Han, K.; Song, X.; Yang, H. The Pricing of Shale Gas: A Review. J. Nat. Gas Sci. Eng. 2021, 89, 103897. [Google Scholar] [CrossRef]
- Suboyin, A.; Rahman, M.M.; Haroun, M. Hydraulic Fracturing Design Considerations and Optimal Usage of Water Resources for Middle Eastern Tight Gas Reservoirs. ACS Omega 2021, 6, 13433–13446. [Google Scholar] [CrossRef] [PubMed]
- Shen, B.; Tao, Y.; Wang, G.; Fan, H.; Wang, X.; Sun, K. A New Method for Mobility Logging Evaluation Based on Flowing Porosity in Shale Oil Reservoirs. Processes 2023, 11, 1466. [Google Scholar] [CrossRef]
- Li, Z.; Wu, W.; Hua, S.; Meng, X.; Zhou, N. Application of Foam Fluids in the Development of Unconventional Gas Reservoirs. Front. Energy Res. 2023, 10, 2018–2021. [Google Scholar] [CrossRef]
- Hawez, H.K.; Sanaee, R.; Faisal, N.H. A Critical Review on Coupled Geomechanics and Fluid Flow in Naturally Fractured Reservoirs. J. Nat. Gas Sci. Eng. 2021, 95, 104150. [Google Scholar] [CrossRef]
- Cui, G.; Cheng, W.; Xiong, W.; Chen, T.; Li, Y.; Feng, X.T.; Liu, J.; Elsworth, D.; Pan, Z. Influence of Well Types on Optimizing the Co-Production of Gas from Coal and Tight Formations. Energy Fuels 2022, 36, 6736–6754. [Google Scholar] [CrossRef]
- Stanton-Yonge, A.; Mitchell, T.M.; Meredith, P.G. The Hydro-Mechanical Properties of Fracture Intersections: Pressure-Dependant Permeability and Effective Stress Law. J. Geophys. Res. Solid Earth 2023, 128, e2022JB025516. [Google Scholar] [CrossRef]
- Hui, G.; Chen, Z.; Schultz, R.; Chen, S.; Song, Z.; Zhang, Z.; Song, Y.; Wang, H.; Wang, M.; Gu, F. Intricate Unconventional Fracture Networks Provide Fluid Diffusion Pathways to Reactivate Pre-Existing Faults in Unconventional Reservoirs. Energy 2023, 282, 128803. [Google Scholar] [CrossRef]
- Kollár, L.E.; Mishra, R.; Asim, T. Particle Size Effects on Optimal Sizing and Lifetime of Pipelines Transporting Multi-Sized Solid-Liquid Mixtures. Procedia CIRP 2013, 11, 317–322. [Google Scholar] [CrossRef][Green Version]
- Viswanathan, H.S.; Ajo-Franklin, J.; Birkholzer, J.T.; Carey, J.W.; Guglielmi, Y.; Hyman, J.D.; Karra, S.; Pyrak-Nolte, L.J.; Rajaram, H.; Srinivasan, G.; et al. From Fluid Flow to Coupled Processes in Fractured Rock: Recent Advances and New Frontiers. Rev. Geophys. 2022, 60, e2021RG000744. [Google Scholar] [CrossRef]
- Abdideh, M.; Dastyaft, F. Stress Field Analysis and Its Effect on Selection of Optimal Well Trajectory in Directional Drilling (Case Study: Southwest of Iran). J. Pet. Explor. Prod. Technol. 2022, 12, 835–849. [Google Scholar] [CrossRef]
- Hawez, H.K.; Asim, T. Impact of Regional Pressure Dissipation on Carbon Capture and Storage Projects: A Comprehensive Review. Energies 2024, 17, 1889. [Google Scholar] [CrossRef]
- Li, Z.; Hu, X. Determining Triaxial Stress Sensitivity of Oil Reservoir Rocks without Fluid Flooding. Geofluids 2021, 2021, 6668799. [Google Scholar] [CrossRef]
- Schimmel, M.T.W.; Hangx, S.J.T.; Spiers, C.J. Impact of Chemical Environment on Compaction Creep of Quartz Sand and Possible Geomechanical Applications. J. Geophys. Res. Solid Earth 2019, 124, 5584–5606. [Google Scholar] [CrossRef]
- Subbiah, S.K.; Samsuri, A.; Mohamad-Hussein, A.; Jaafar, M.Z.; Chen, Y.R.; Kumar, R.R. Root Cause of Sand Production and Methodologies for Prediction. Petroleum 2021, 7, 263–271. [Google Scholar] [CrossRef]
- Agheshlui, H.; Sedaghat, M.H.; Matthai, S. Stress Influence on Fracture Aperture and Permeability of Fragmented Rocks. J. Geophys. Res. Solid Earth 2018, 123, 3578–3592. [Google Scholar] [CrossRef]
- Cao, N.; Lei, G.; Dong, P.; Li, H.; Wu, Z.; Li, Y. Stress-Dependent Permeability of Fractures in Tight Reservoirs. Energies 2019, 12, 117. [Google Scholar] [CrossRef]
- Feng, Y.; Tang, H.; Tang, H.; Leng, Y.; Shi, X.; Liu, J.; Wang, Z.; Deng, C. Influence of Geomechanics Parameters on Stress Sensitivity in Fractured Reservoir. Front. Earth Sci. 2023, 11, 1134260. [Google Scholar] [CrossRef]
- Haghi, A.H.; Chalaturnyk, R. Experimental Characterization of Hydrodynamic Properties of a Deformable Rock Fracture. Energies 2022, 15, 6769. [Google Scholar] [CrossRef]
- Shen, W.; Ma, T.; Li, X.; Sun, B.; Hu, Y.; Xu, J. Fully Coupled Modeling of Two-Phase Fluid Flow and Geomechanics in Ultra-Deep Natural Gas Reservoirs. Phys. Fluids 2022, 34, 043101. [Google Scholar] [CrossRef]
- Yang, Z.D.; Wang, Y.; Zhang, X.Y.; Qin, M.; Su, S.W.; Yao, Z.H.; Liu, L. Numerical Simulation of a Horizontal Well With Multi-Stage Oval Hydraulic Fractures in Tight Oil Reservoir Based on an Embedded Discrete Fracture Model. Front. Energy Res. 2020, 8, 601107. [Google Scholar] [CrossRef]
- Tan, Q.; Kang, Y.; You, L.; Xu, C.; Zhang, X.; Xie, Z. Stress-Sensitivity Mechanisms and Its Controlling Factors of Saline-Lacustrine Fractured Tight Carbonate Reservoir. J. Nat. Gas Sci. Eng. 2021, 88, 103864. [Google Scholar] [CrossRef]
- Haghi, A.H.; Chalaturnyk, R.; Geiger, S. New Semi-Analytical Insights Into Stress-Dependent Spontaneous Imbibition and Oil Recovery in Naturally Fractured Carbonate Reservoirs. Water Resour. Res. 2018, 54, 9605–9622. [Google Scholar] [CrossRef]
- Peretomode, E.; Oluyemi, G.; Faisal, N.H. Oilfield Chemical-Formation Interaction and the Effects on Petrophysical Properties: A Review. Arab. J. Geosci. 2022, 15, 1223. [Google Scholar] [CrossRef]
- Al-Kindi, I.; Babadagli, T. Phase Behavior of Single and Multi-Component Liquid Hydrocarbons in Real Reservoir Rocks. Sci. Rep. 2023, 13, 4507. [Google Scholar] [CrossRef]
- Ghanizadeh, A.; Song, C.; Clarkson, C.R.; Younis, A. Relative Permeability of Tight Hydrocarbon Systems: An Experimental Study. Fuel 2021, 294, 119487. [Google Scholar] [CrossRef]
- Xu, S.; Guo, J.; Feng, Q.; Ren, G.; Li, Y.; Wang, S. Optimization of Hydraulic Fracturing Treatment Parameters to Maximize Economic Benefit in Tight Oil. Fuel 2022, 329, 125329. [Google Scholar] [CrossRef]
- Hawez, H.; Sanaee, R.; Faisal, N.H. Multiphase Flow Modelling in Fractured Reservoirs Using a Novel Computational Fluid Dynamics Approach. In Proceedings of the 55th U.S. Rock Mechanics/Geomechanics Symposium, Virtual, 18–25 June 2021. [Google Scholar]
- Li, S.; Zhao, H.; Cheng, T.; Wang, J.; Gai, J.; Zou, L.; He, T. The Analysis of Hydraulic Fracture Morphology and Connectivity under the Effect of Well Interference and Natural Fracture in Shale Reservoirs. Processes 2023, 11, 2627. [Google Scholar] [CrossRef]
- Ran, Q.; Zhou, X.; Dong, J.; Xu, M.; Ren, D.; Li, R. Study on the Fracture Propagation in Multi-Horizontal Well Hydraulic Fracturing. Processes 2023, 11, 1995. [Google Scholar] [CrossRef]
- Asim, T. Capacity Testing of X-Stream Valves for Single-Component Single-Phase Flows; Weir Valves and Controls: Elland, UK, 2013. [Google Scholar]
- Gao, C. A Coupled Geomechanics and Reservoir Simulator and Its Application to Reservoir Development; The University of Texas at Austin: Austin, TX, USA, 2019. [Google Scholar]
- Sangnimnuan, A.; Li, J.; Wu, K. Development of Coupled Two-Phase Flow and Geomechanics Model to Predict Stress Evolution in Unconventional Reservoirs with Complex Fracture Geometry. J. Pet. Sci. Eng. 2021, 196, 108072. [Google Scholar] [CrossRef]
- Ashworth, M.; Doster, F. An Open Source Numerical Framework for Dual-Continuum Geomechanical Simulation. In Proceedings of the Society of Petroleum Engineers—SPE Reservoir Simulation Conference 2019, RSC 2019, Galveston, TX, USA, 10–11 April 2019; Society of Petroleum Engineers: Aberdeen, UK, 2019. [Google Scholar]
- Berger, L.; Bordas, R.; Kay, D.; Tavener, S. A Stabilized Finite Element Method for Finite-Strain Three-Field Poroelasticity. Comput. Mech. 2017, 60, 51–68. [Google Scholar] [CrossRef]
- Sanaee, R.; Oluyemi, G.F.; Hossain, M.; Oyeneyin, M.B. Stress Effects on Flow Partitioning in Fractured Reservoirs: Equivalent Porous Media versus Poro-Elasticity Coupled Modeling. In Proceedings of the 47th U.S. Rock Mechanics/Geomechanics Symposium, San Francisco, CA, USA, 23–26 June 2013; American Rock Mechanics Association: Alexandria, VA, USA, 2013; Volume 3, pp. 2329–2337. [Google Scholar]
- Cai, L. Matrix-Fracture Interaction Analysis in Fractured Unconventional Gas Reservoir; Colorado School of Mines: Golden, CO, USA, 2014. [Google Scholar]
- Jiang, J.; Yang, J. Coupled Fluid Flow and Geomechanics Modeling of Stress-Sensitive Production Behavior in Fractured Shale Gas Reservoirs. Int. J. Rock Mech. Min. Sci. 2018, 101, 1–12. [Google Scholar] [CrossRef]
- Liu, X.; Zhu, G.; Asim, T.; Mishra, R. Combustion Characterization of Hybrid Methane-Hydrogen Gas in Domestic Swirl Stoves. Fuel 2023, 333, 126413. [Google Scholar] [CrossRef]
- Charlton, M.; Mishra, R.; Asim, T. The Effect of Manufacturing Method-Induced Roughness on Severe Service Control Valve Performance. In Proceedings of the 6th International and 43rd National Conference on Fluid Mechanics and Fluid Power, Allahabad, India, 15–17 December 2016. [Google Scholar]
- Jackson, G.W.; James, D.F. The Permeability of Fibrous Porous Media. Can. J. Chem. Eng. 1986, 64, 364–374. [Google Scholar] [CrossRef]
- Mavko, G.; Mukerji, T.; Dvorkin, J. Elasticity and Hooke’s Law. In The Rock Physics Handbook; Cambridge University Press: Cambridge, UK, 2020; pp. 37–120. [Google Scholar]
- Zhao, Y.; Liu, H.H. An Elastic Stress-Strain Relationship for Porous Rock under Anisotropic Stress Conditions. Rock Mech. Rock Eng. 2012, 45, 389–399. [Google Scholar] [CrossRef]
- Liu, H.H.; Rutqvist, J.; Berryman, J.G. On the Relationship between Stress and Elastic Strain for Porous and Fractured Rock. Int. J. Rock Mech. Min. Sci. 2009, 46, 289–296. [Google Scholar] [CrossRef]
- Cai, Y.; Sun, H. Basic Equations and Governing Equations. In Solutions for Biot’s Poroelastic Theory in Key Engineering Fields; Elsevier Ltd.: Amsterdam, The Netherlands, 2017; pp. 1–8. ISBN 9780128126493. [Google Scholar]
- Tachibana, S.; Ito, S.; Iizuka, A. Constitutive Model with a Concept of Plastic Rebound for Expansive Soils. Soils Found. 2020, 60, 179–197. [Google Scholar] [CrossRef]
- Dazel, O.; Dauchez, N. The Finite Element Method for Porous Materials. In Materials and Acoustics Handbook; Bruneau, M., Potel, C., Eds.; John Wiley & Sons: Hoboken, NJ, USA, 2009; pp. 327–338. ISBN 9781848210745. [Google Scholar]
- Alymann, J.B. Poroelastic Effects in Reservoir Modelling. Ph.D. Thesis, Universität Karlsruhe, Karlsruhe, Germany, 2010. [Google Scholar]
- Lewis, R.W.; Schrefler, B.A. The Finite Element Method in the Static and Dynamic Deformation and Consolidation of Porous, 2nd ed.; Wiley: Hoboken, NJ, USA, 1999. [Google Scholar]
- Simo, J.C.; Taylor, R.L.; Pister, K.S. Variational and Projection Methods for the Volume Constraint in Finite Deformation Elasto-Plasticity. Comput. Methods Appl. Mech. Eng. 1985, 51, 177–208. [Google Scholar] [CrossRef]
- Federico, S.; Grillo, A. Elasticity and Permeability of Porous Fibre-Reinforced Materials under Large Deformations. Mech. Mater. 2012, 44, 58–71. [Google Scholar] [CrossRef]
- Abaqus 6.11/Theory Manual; Simulia Corp.: Providence, RI, USA, 2011.
- Saxena, V.; Krief, M.; Adam, L. Handbook of Borehole Acoustics and Rock Physics for Reservoir Characterization; Elsevier: Amsterdam, The Netherlands, 2018; ISBN 9780128122044. [Google Scholar]
- Lay, T.; Wallace, T.C. Elasticity and Seismic Waves. In Modern Global Seismology; Academic Press: Cambridge, MA, USA, 1995; Volume 58, pp. 34–69. ISBN 9780127328706. [Google Scholar]
- Stalker, R.; Graham, G.M.; Oluyemi, G. Modelling Staged Diversion Treatments and Chemical Placement in the Presence of Near-Wellbore Fractures. Proc.-SPE Int. Symp. Oilf. Chem. 2009, 2, 745–757. [Google Scholar] [CrossRef]
- Stalker, R.; Graham, G.M.; Oliphant, D.; Smillie, M. Potential Application of Viscosified Treatments for Improved Bullhead Scale Inhibitor Placement in Long Horizontal Wells—A Theoretical and Laboratory Examination. In Proceedings of the SPE Sixth International Symposium on Oilfield Scale, Exploring the Boundaries of Scale Control. Aberdeen, UK, 26–27 May 2004; pp. 137–150. [Google Scholar] [CrossRef]
- Singh, D.; Charlton, M.; Asim, T.; Mishra, R.; Townsend, A.; Blunt, L. Quantification of Additive Manufacturing Induced Variations in the Global and Local Performance Characteristics of a Complex Multi-Stage Control Valve Trim. J. Pet. Sci. Eng. 2020, 190, 107053. [Google Scholar] [CrossRef]
- Taimoor, A. Computational Fluid Dynamics Based Diagnostics and Optimal Design of Hydraulic Capsule Pipelines. Ph.D. Thesis, University of Huddersfield, Huddersfield, UK, 2013. [Google Scholar]
- Ma, J.; Wang, J. A Stress-Induced Permeability Evolution Model for Fissured Porous Media. Rock Mech. Rock Eng. 2016, 49, 477–485. [Google Scholar] [CrossRef]
- Ren, X.; Zhao, Y.; Deng, Q.; Kang, J.; Li, D.; Wang, D. A Relation of Hydraulic Conductivity—Void Ratio for Soils Based on Kozeny-Carman Equation. Eng. Geol. 2016, 213, 89–97. [Google Scholar] [CrossRef]
- Liu, X.; Asim, T.; Zhu, G.; Mishra, R. Theoretical and Experimental Investigations on the Combustion Characteristics of Three Components Mixed Municipal Solid Waste. Fuel 2020, 267, 117183. [Google Scholar] [CrossRef]
- Bai, M.; Elsworth, D. Modeling of Subsidence and Stress-Dependent Hydraulic Conductivity for Intact and Fractured Porous Media. Rock Mech. Rock Eng. 1994, 27, 209–234. [Google Scholar] [CrossRef]
- Asim, T.; Mishra, R.; Ubbi, K.; Zala, K. Computational Fluid Dynamics Based Optimal Design of Vertical Axis Marine Current Turbines. Procedia CIRP 2013, 11, 323–327. [Google Scholar] [CrossRef]
- Bogdanov, I.I.; Mourzenko, V.V.; Thovert, J.F.; Adler, P.M. Effective Permeability of Fractured Porous Media in Steady State Flow. Water Resour. Res. 2003, 39, 1023. [Google Scholar] [CrossRef]
- Zhang, J.; Standifird, W.B.; Roegiers, J.C.; Zhang, Y. Stress-Dependent Fluid Flow and Permeability in Fractured Media: From Lab Experiments to Engineering Applications. Rock Mech. Rock Eng. 2007, 40, 3–21. [Google Scholar] [CrossRef]
- Brooks, R.H.; Corey, A.T. Properties of Porous Media Affecting Fluid Flow. J. Irrig. Drain. Div. 1966, 92, 61–88. [Google Scholar] [CrossRef]
- Miao, J.; Zhong, C. Dynamic Variation of Water Saturation and Its Effect on Aqueous Phase Trapping Damage during Tight Sandstone Gas Well Production. ACS Omega 2021, 6, 5166–5175. [Google Scholar] [CrossRef]
- Zaeri, M.R.; Shahverdi, H.; Hashemi, R.; Mohammadi, M. Impact of Water Saturation and Cation Concentrations on Wettability Alteration and Oil Recovery of Carbonate Rocks Using Low-Salinity Water. J. Pet. Explor. Prod. Technol. 2019, 9, 1185–1196. [Google Scholar] [CrossRef]
- NRCS. Chapter 4-Engineering Classification of Rock Materials. In Part 631-Geology; 631.0401 Rock Material Properties, Section (c); NRCS: Washington, DC, USA, 2012. [Google Scholar]
- Lima, R.O.; do Nascimento Guimarães, L.J.; Pereira, L.C. Evaluating Geomechanical Effects Related to the Production of a Brazilian Reservoir. J. Pet. Explor. Prod. 2021, 11, 2661–2678. [Google Scholar] [CrossRef]
- Cheng, C.; Herrmann, J.; Wagner, B.; Leiss, B.; Stammeier, J.A.; Rybacki, E.; Milsch, H. Long-Term Evolution of Fracture Permeability in Slate: An Experimental Study with Implications for Enhanced Geothermal Systems (EGS). Geosciences 2021, 11, 443. [Google Scholar] [CrossRef]














| Mesh | Total Number of Elements |
|---|---|
| M(1) | 1.27 × 104 |
| M(2) | 2.7 × 104 |
| M(3) | 3.7 × 104 |
| M(4) | 7.4 × 104 |
| M(5) | 9.5 × 104 |
Disclaimer/Publisher’s Note: The statements, opinions and data contained in all publications are solely those of the individual author(s) and contributor(s) and not of MDPI and/or the editor(s). MDPI and/or the editor(s) disclaim responsibility for any injury to people or property resulting from any ideas, methods, instructions or products referred to in the content. |
© 2024 by the authors. Licensee MDPI, Basel, Switzerland. This article is an open access article distributed under the terms and conditions of the Creative Commons Attribution (CC BY) license (https://creativecommons.org/licenses/by/4.0/).
Share and Cite
Hawez, H.K.; Asim, T. Effects of Externally Applied Stress on Multiphase Flow Characteristics in Naturally Fractured Tight Reservoirs. Appl. Sci. 2024, 14, 8540. https://doi.org/10.3390/app14188540
Hawez HK, Asim T. Effects of Externally Applied Stress on Multiphase Flow Characteristics in Naturally Fractured Tight Reservoirs. Applied Sciences. 2024; 14(18):8540. https://doi.org/10.3390/app14188540
Chicago/Turabian StyleHawez, Haval Kukha, and Taimoor Asim. 2024. "Effects of Externally Applied Stress on Multiphase Flow Characteristics in Naturally Fractured Tight Reservoirs" Applied Sciences 14, no. 18: 8540. https://doi.org/10.3390/app14188540
APA StyleHawez, H. K., & Asim, T. (2024). Effects of Externally Applied Stress on Multiphase Flow Characteristics in Naturally Fractured Tight Reservoirs. Applied Sciences, 14(18), 8540. https://doi.org/10.3390/app14188540
