Sign in to use this feature.

Years

Between: -

Subjects

remove_circle_outline
remove_circle_outline
remove_circle_outline
remove_circle_outline
remove_circle_outline
remove_circle_outline
remove_circle_outline
remove_circle_outline
remove_circle_outline

Journals

Article Types

Countries / Regions

Search Results (72)

Search Parameters:
Keywords = poorly soluble APIs

Order results
Result details
Results per page
Select all
Export citation of selected articles as:
13 pages, 268 KB  
Article
Hard Gelatin Capsules Compounded and Dispersed in Water in Pediatrics: Real Versus Theoretical Dose Administered
by Romain Paoli-Lombardo, Nicolas Primas, Clémence Tabélé, Ikram Zaddam, Eya Iben Slimene, Pascal Rathelot, Patrice Vanelle, Caroline Castera-Ducros and Christophe Curti
Pharmaceuticals 2026, 19(4), 534; https://doi.org/10.3390/ph19040534 - 25 Mar 2026
Viewed by 352
Abstract
Background: In pediatric practice, dose individualization often requires the manipulation of solid oral dosage forms, such as dispersing capsules in water and administering only part of the volume. Despite its frequent use, this practice is poorly documented and may lead to inaccurate [...] Read more.
Background: In pediatric practice, dose individualization often requires the manipulation of solid oral dosage forms, such as dispersing capsules in water and administering only part of the volume. Despite its frequent use, this practice is poorly documented and may lead to inaccurate dosing. Objectives: This study aimed to assess the actual dose administered when compounded hard gelatin capsules are dispersed in water and partially withdrawn, and to evaluate the influence of different manipulation protocols on dose recovery. Methods: Ten active pharmaceutical ingredients (APIs) routinely compounded as pediatric hard gelatin capsules were studied. Content uniformity was first verified according to European Pharmacopoeia (EP) requirements. One capsule was dispersed in 2 mL of water, and 1 mL was withdrawn using three protocols: (1) no mixing, (2) gentle manual mixing with immediate sampling, and (3) gentle manual mixing followed by a 10 s resting period before sampling. Drug content in the withdrawn volume was quantified using validated HPLC-UV methods. Results are expressed as the mean percentage of the theoretical dose ± standard deviation. Results: All capsules complied with EP content uniformity criteria. However, partial volume administration resulted in marked and protocol-dependent deviations from the theoretical dose. Without mixing, recovered doses ranged from 17% to 58% of the target dose, with high variability. Gentle mixing improved dose recovery, particularly for APIs forming solutions, such as captopril, thiamine hydrochloride, and clonidine hydrochloride, which achieved values close to 90%. In contrast, APIs forming suspensions consistently resulted in underdosing, even after mixing, with further reductions observed after a short resting period, indicating rapid sedimentation. Conclusions: Fractional administration of dispersed hard gelatin capsules leads to unpredictable and often clinically relevant underdosing, especially for poorly soluble APIs. Whenever possible, capsules should be compounded at the prescribed dose, and liquid formulations should be preferred when dose fractionation is required. Full article
(This article belongs to the Section Pharmaceutical Technology)
Show Figures

Graphical abstract

33 pages, 3094 KB  
Article
Evaluation of Process Parameters in the Development of Ternary Ketoprofen Amorphous Solid Dispersions via Hot Melt Extrusion
by Ana Stjepanović, Nemanja Todorović, Mihalj Poša, Ivana Marinković, Ivan Ristić, Zita Farkaš Agatić and Mladena Lalić-Popović
Pharmaceutics 2026, 18(2), 241; https://doi.org/10.3390/pharmaceutics18020241 - 14 Feb 2026
Viewed by 701
Abstract
Background/Objectives: Poor aqueous solubility of active pharmaceutical ingredients (APIs) remains a critical barrier to effective oral formulation. This study investigated the production of ketoprofen amorphous solid dispersions (ASDs) via hot melt extrusion (HME) using hydrophilic carriers and surfactants to enhance solubility and [...] Read more.
Background/Objectives: Poor aqueous solubility of active pharmaceutical ingredients (APIs) remains a critical barrier to effective oral formulation. This study investigated the production of ketoprofen amorphous solid dispersions (ASDs) via hot melt extrusion (HME) using hydrophilic carriers and surfactants to enhance solubility and dissolution. Methods: ASDs were prepared by the fusion method employing mannitol or polyethylene glycol (PEG) 4000 hydrophilic carriers and further modified by addition of poloxamer 188 or poloxamer 407 as surfactants. Solubility was evaluated, and the best performing formulations were selected for HME to assess the effect of extrusion parameters (temperature, screw speed and re-extrusion) on API solubility and dissolution. Selected ASD extrudates were formulated into tablets and capsules and further tested. Results: Ternary ASDs exhibited higher solubility than their binary counterparts. The combinations of high-concentration hydrophilic carrier (mannitol or PEG 4000) and poloxamer 407 proved the most effective. The HME-produced ASDs showed superior solubility compared to the simple fusion method, with temperature being the most critical processing parameter, while screw speed and re-extrusion were carrier dependent, enhancing solubility for mannitol-based ASDs but not for PEG 4000; re-extrusion also led to mild color changes and technological issues preventing further processing. The selected ASD extrudates were successfully formulated into tablets and capsules with good physical characteristics and dissolution profiles. Conclusions: These findings demonstrate the need to further investigate the potential of re-extrusion strategies and surfactant-enhanced ASD systems for improving the oral delivery of poorly soluble drugs. Full article
(This article belongs to the Special Issue Advances in Hot Melt Extrusion Technology)
Show Figures

Figure 1

18 pages, 4195 KB  
Article
Silymarin PlantCrystals for Improved Dermal Drug Delivery
by Tehseen Sehra, Muzn Alkhaldi and Cornelia M. Keck
Bioengineering 2025, 12(12), 1331; https://doi.org/10.3390/bioengineering12121331 - 5 Dec 2025
Viewed by 652
Abstract
Background/Objectives: PlantCrystals (PCs) are submicron particles derived from plants or parts of plants that can be produced by bead milling and/or high-pressure homogenization. Previous studies suggested improved dermal drug delivery of lipophilic active ingredients (API), which was explained by the formation of extracellular [...] Read more.
Background/Objectives: PlantCrystals (PCs) are submicron particles derived from plants or parts of plants that can be produced by bead milling and/or high-pressure homogenization. Previous studies suggested improved dermal drug delivery of lipophilic active ingredients (API), which was explained by the formation of extracellular vesicles (EVs) during the production of PCs. The aim of this study was to investigate the suitability of PCs for enhancing the dermal penetration efficacy of different types of APIs. Methods: For this purpose, hydrophilic, lipophilic, and poorly water-soluble API-surrogates were loaded into PCs, and the dermal penetration efficacy, as well as the skin hydrating properties, were determined with an ex vivo porcine ear model. The penetration efficacy of the API surrogates from the PCs was compared to other formulation principles, e.g., simple API solutions, API loaded into classical EVs, and API added to the PCs after preparation. Silymarin-PCs—unloaded and loaded with API—were obtained by milling milk thistle seeds using small-scale bead milling. The PCs were characterized by size, size distribution, and zeta potential. Results: Milling of milk thistle seeds resulted in the formation of submicron particles with sizes of about 300 nm. Loaded PCs had a slightly larger size. Loading API into PCs resulted in improved dermal penetration when compared to the other formulation principles. The effect was most pronounced for the lipophilic API-surrogate (+90%, p < 0.001) and least pronounced for the hydrophilic API-surrogate (+2%, p > 0.05). The improved penetration of API from PCs can be explained by the formation of EVs during the production of the PCs in which the API is encapsulated. The encapsulation seemed to be highly efficient for the lipophilic API-surrogate, moderate for the poorly soluble API-surrogate, and very limited for the hydrophilic API-surrogate. All formulations increased the skin hydration significantly by about 30–40%. Conclusions: Milk thistle seeds are suitable for the production of PCs. These PCs improve skin hydration and enhance the dermal penetration of poorly water soluble and lipophilic APIs. However, they have limited effects on the dermal penetration efficacy of hydrophilic APIs. Full article
(This article belongs to the Special Issue Advances in Drug Delivery in Cancer Treatment)
Show Figures

Graphical abstract

37 pages, 5459 KB  
Article
Influence of Drug Properties, Formulation Composition, and Processing Parameters on the Stability and Dissolution Performance of Amorphous Solid Dispersions-Based Tablets
by Ioannis Pantazos, Maria Poimenidou, Dimitrios Kouskouridas, Evangelos Tzaferas, Vasiliki Karava, Christos Cholevas, Afroditi Kapourani and Panagiotis Barmpalexis
Polymers 2025, 17(18), 2484; https://doi.org/10.3390/polym17182484 - 14 Sep 2025
Cited by 2 | Viewed by 4147
Abstract
Polymeric-based amorphous solid dispersions (ASDs) represent a widely employed strategy for enhancing the oral bioavailability of poorly water-soluble drugs, but their successful implementation in solid dosage forms requires careful optimization of both formulation composition and compaction parameters. In this study, the performance of [...] Read more.
Polymeric-based amorphous solid dispersions (ASDs) represent a widely employed strategy for enhancing the oral bioavailability of poorly water-soluble drugs, but their successful implementation in solid dosage forms requires careful optimization of both formulation composition and compaction parameters. In this study, the performance of polymeric-based ASD tablets were investigated using two model active pharmaceutical ingredients (APIs) with distinct glass-forming abilities (GFAs) and physicochemical characteristics: (1) indomethacin (IND, a good glass former) and (2) carbamazepine (CBZ, a poor glass former). ASDs were prepared at various API-to-polyvinylpyrrolidone (PVP) ratios (10:90, 20:80 and 40:60 w/w) and incorporated into round-shaped tablets at different ASD loadings (20% and 50% w/w). The impact of compaction pressure and dwell time on the mechanical properties, disintegration, and supersaturation performance was assessed, both immediately after preparation and following three months of storage at 25 °C and 60% relative humidity. Solid-state analysis confirmed the amorphous state of the APIs and revealed the development of API–polymer molecular interactions. Supersaturation studies under non-sink conditions demonstrated that dissolution behavior was strongly influenced by drug loading, polymer content, and compaction conditions, with CBZ formulations exhibiting faster release but greater susceptibility to performance loss during storage. The comparative evaluation of IND and CBZ highlights the critical role of API properties in determining the physical stability and dissolution performance of ASD tablets, underscoring the need for API-specific design strategies in ASD-based formulation development. Full article
(This article belongs to the Special Issue Polymers and Their Role in Drug Delivery, 2nd Edition)
Show Figures

Figure 1

12 pages, 1252 KB  
Article
Microparticle Production of Mefenamic Acid Using the Continuous Antisolvent Sonocrystallization Process
by Salal Hasan Khudaida, Chia-Yi Lee and Chie-Shaan Su
Processes 2025, 13(9), 2813; https://doi.org/10.3390/pr13092813 - 2 Sep 2025
Viewed by 1446
Abstract
Continuous crystallizations have promising potential for effectively controlling and modifying the crystal properties of active pharmaceutical ingredients (APIs). In this study, a continuous antisolvent sonocrystallization process was developed to recrystallize a poorly water-soluble API, mefenamic acid, for microparticle production. This method offers advantages [...] Read more.
Continuous crystallizations have promising potential for effectively controlling and modifying the crystal properties of active pharmaceutical ingredients (APIs). In this study, a continuous antisolvent sonocrystallization process was developed to recrystallize a poorly water-soluble API, mefenamic acid, for microparticle production. This method offers advantages such as efficient sonication, enhanced heat removal, and potential for scalability. The effects of operating parameters, such as sonication intensity, crystallization temperature, antisolvent flow rate, and solution flow rate, were investigated and compared. Using continuous antisolvent sonocrystallization, the particle size of mefenamic acid was controlled within the range of 2.6–3.5 μm, achieving a narrower particle size distribution compared to the unprocessed sample. In addition, scanning electron microscopy (SEM) analysis confirmed that the sonocrystallized mefenamic acid exhibited an improved crystal shape. Analytical results from powder X-ray diffraction (PXRD), Fourier transform infrared spectroscopy (FTIR), and differential scanning calorimetry (DSC) showed that the crystal structure, spectroscopic characteristics, and thermal behavior of mefenamic acid remained unchanged after the sonocrystallization process. Full article
Show Figures

Figure 1

5 pages, 163 KB  
Editorial
Editorial on Special Issue: “Advances in Nanotechnology-Based Drug Delivery Systems”
by Carla Serri
Pharmaceutics 2025, 17(8), 1038; https://doi.org/10.3390/pharmaceutics17081038 - 10 Aug 2025
Cited by 1 | Viewed by 1998
Abstract
Nanotechnology enables the design and application of nanostructures to improve drug delivery by modulating release, enhancing solubility, and increasing bioavailability of poorly soluble APIs, while reducing side effects. This Special Issue includes original research articles and reviews on innovative nanocarriers, such as liposomes, [...] Read more.
Nanotechnology enables the design and application of nanostructures to improve drug delivery by modulating release, enhancing solubility, and increasing bioavailability of poorly soluble APIs, while reducing side effects. This Special Issue includes original research articles and reviews on innovative nanocarriers, such as liposomes, metal and carbon nanoparticles, nanocrystals, and polymeric systems, utilizing sustainable and environmentally friendly synthesis methods. Special emphasis is placed on formulation strategies for encapsulating biological macromolecules, advancing the development of efficient, eco-friendly delivery platforms. Full article
(This article belongs to the Special Issue Advances in Nanotechnology-Based Drug Delivery Systems)
33 pages, 2684 KB  
Review
Biocompatible Natural Polymer-Based Amorphous Solid Dispersion System Improving Drug Physicochemical Properties, Stability, and Efficacy
by Arif Budiman, Helen Ivana, Kelly Angeline Huang, Stella Aurelia Huang, Mazaya Salwa Nadhira, Agus Rusdin and Diah Lia Aulifa
Polymers 2025, 17(15), 2059; https://doi.org/10.3390/polym17152059 - 28 Jul 2025
Cited by 13 | Viewed by 3674
Abstract
Poor aqueous solubility still disqualifies many promising drug candidates at late stages of development. Amorphous solid dispersion (ASD) technology solves this limitation by trapping the active pharmaceutical ingredient (API) in a high-energy, non-crystalline form, yet most marketed ASDs rely on synthetic carriers such [...] Read more.
Poor aqueous solubility still disqualifies many promising drug candidates at late stages of development. Amorphous solid dispersion (ASD) technology solves this limitation by trapping the active pharmaceutical ingredient (API) in a high-energy, non-crystalline form, yet most marketed ASDs rely on synthetic carriers such as polyvinylpyrrolidone (PVP) and hydroxypropyl methylcellulose (HPMC), which raise concerns about long-term biocompatibility, residual solvent load, and sustainability. This study summarizes the emergence of natural polymer-based ASDs (NP-ASDs), along with the bond mechanism reactions through which these natural polymers enhance drug performance. As a result, NP-ASDs exhibit improved physical stability and significantly enhance the dissolution rate of poorly soluble drugs. The structural features of natural polymers play a critical role in stabilizing the amorphous state and modulating drug release profiles. These findings support the growing potential of NP-ASDs as sustainable and biocompatible alternatives to synthetic carriers in pharmaceutical development. Full article
(This article belongs to the Section Biobased and Biodegradable Polymers)
Show Figures

Figure 1

18 pages, 4456 KB  
Article
Study on the Filling and Plugging Mechanism of Oil-Soluble Resin Particles on Channeling Cracks Based on Rapid Filtration Mechanism
by Bangyan Xiao, Jianxin Liu, Feng Xu, Liqin Fu, Xuehao Li, Xianhao Yi, Chunyu Gao and Kefan Qian
Processes 2025, 13(8), 2383; https://doi.org/10.3390/pr13082383 - 27 Jul 2025
Viewed by 1016
Abstract
Channeling in cementing causes interlayer interference, severely restricting oilfield recovery. Existing channeling plugging agents, such as cement and gels, often lead to reservoir damage or insufficient strength. Oil-soluble resin (OSR) particles show great potential in selective plugging of channeling fractures due to their [...] Read more.
Channeling in cementing causes interlayer interference, severely restricting oilfield recovery. Existing channeling plugging agents, such as cement and gels, often lead to reservoir damage or insufficient strength. Oil-soluble resin (OSR) particles show great potential in selective plugging of channeling fractures due to their excellent oil solubility, temperature/salt resistance, and high strength. However, their application is limited by the efficient filling and retention in deep fractures. This study innovatively combines the OSR particle plugging system with the mature rapid filtration loss plugging mechanism in drilling, systematically exploring the influence of particle size and sorting on their filtration, packing behavior, and plugging performance in channeling fractures. Through API filtration tests, visual fracture models, and high-temperature/high-pressure (100 °C, salinity 3.0 × 105 mg/L) core flow experiments, it was found that well-sorted large particles preferentially bridge in fractures to form a high-porosity filter cake, enabling rapid water filtration from the resin plugging agent. This promotes efficient accumulation of OSR particles to form a long filter cake slug with a water content <20% while minimizing the invasion of fine particles into matrix pores. The slug thermally coalesces and solidifies into an integral body at reservoir temperature, achieving a plugging strength of 5–6 MPa for fractures. In contrast, poorly sorted particles or undersized particles form filter cakes with low porosity, resulting in slow water filtration, high water content (>50%) in the filter cake, insufficient fracture filling, and significantly reduced plugging strength (<1 MPa). Finally, a double-slug strategy is adopted: small-sized OSR for temporary plugging of the oil layer injection face combined with well-sorted large-sized OSR for main plugging of channeling fractures. This strategy achieves fluid diversion under low injection pressure (0.9 MPa), effectively protects reservoir permeability (recovery rate > 95% after backflow), and establishes high-strength selective plugging. This study clarifies the core role of particle size and sorting in regulating the OSR plugging effect based on rapid filtration loss, providing key insights for developing low-damage, high-performance channeling plugging agents and scientific gradation of particle-based plugging agents. Full article
(This article belongs to the Section Chemical Processes and Systems)
Show Figures

Figure 1

10 pages, 2328 KB  
Article
Vertical Hot-Melt Extrusion: The Next Challenge in Innovation
by Maël Gallas, Ghouti Medjahdi, Pascal Boulet and Victoire de Margerie
Pharmaceutics 2025, 17(7), 939; https://doi.org/10.3390/pharmaceutics17070939 - 21 Jul 2025
Viewed by 1413
Abstract
Background/Objectives: Hot-melt extrusion (HME) has become a key technology in pharmaceutical formulation, particularly for enhancing the solubility of poorly soluble Active Pharmaceutical Ingredients (APIs). While horizontal HME is widely adopted, vertical HME remains underexplored despite its potential benefits in footprint reduction, feeding efficiency, [...] Read more.
Background/Objectives: Hot-melt extrusion (HME) has become a key technology in pharmaceutical formulation, particularly for enhancing the solubility of poorly soluble Active Pharmaceutical Ingredients (APIs). While horizontal HME is widely adopted, vertical HME remains underexplored despite its potential benefits in footprint reduction, feeding efficiency, temperature control, and integration into continuous manufacturing. This study investigates vertical HME as an innovative approach in order to optimize drug polymer interactions and generate stable amorphous dispersions with controlled release behavior. Methods: Extrusion trials were conducted using a vertical hot-melt extruder developed by Rondol Industrie (Nancy, France). Acetylsalicylic acid (ASA) supplied by Seqens (Écully, France) was used as a model API and processed with Soluplus® and Kollidon® 12 PF (BASF, Ludwigshafen, Germany). Various process parameters (temperature, screw speed, screw profile) were explored. The extrudates were characterized by powder X-ray diffraction (PXRD) and small-angle X-ray scattering (SAXS) to evaluate crystallinity and microstructure. In vitro dissolution tests were performed under sink conditions using USP Apparatus II to assess drug release profiles. Results: Vertical HME enabled the formation of homogeneous amorphous solid dispersions. PXRD confirmed the absence of residual crystallinity, and SAXS revealed nanostructural changes in the polymer matrix influenced by drug loading and thermal input. In vitro dissolution demonstrated enhanced drug release rates compared to crystalline ASA, with good reproducibility. Conclusions: Vertical HME provides a compact, cleanable, and modular platform that supports the development of stable amorphous dispersions with controlled release. It represents a robust and versatile solution for pharmaceutical innovation, with strong potential for cost-efficient continuous manufacturing and industrial-scale adoption. Full article
(This article belongs to the Special Issue Advances in Hot Melt Extrusion Technology)
Show Figures

Figure 1

23 pages, 4426 KB  
Article
Laser Microinterferometry for API Solubility and Phase Equilibria: Darunavir as a Case Example
by Veronika Makarova, Mark Mandrik and Sergey Antonov
Pharmaceutics 2025, 17(7), 875; https://doi.org/10.3390/pharmaceutics17070875 - 3 Jul 2025
Cited by 1 | Viewed by 1188
Abstract
Background: The solubility and phase behavior of APIs are crucial for the development of medicines and ensuring their stability. However, conventional experimental approaches often do not allow for the precise determination of phase transitions and solubility limits, especially for poorly soluble compounds. Purpose: [...] Read more.
Background: The solubility and phase behavior of APIs are crucial for the development of medicines and ensuring their stability. However, conventional experimental approaches often do not allow for the precise determination of phase transitions and solubility limits, especially for poorly soluble compounds. Purpose: The aim of this study was to demonstrate the possibility of using the laser microinterferometry method, traditionally used to define the phase equilibria of polymer systems, to determine the thermodynamic solubility of the APIs. Methods: Using laser microinterferometry, the thermodynamic solubility and phase behavior of amorphous darunavir were determined in various pharmaceutical solvents, including vaseline and olive oils, water, glycerol, alcohols (methanol, ethanol, isopropanol), glycols (propylene glycol, polyethylene glycol 400, polypropylene glycol 425, polyethylene glycol 4000), and ethoxylated polyethylene glycol ether obtained from castor oil in the temperature range of 25–130 °C. Dissolution kinetics was estimated at 25 °C. Hansen solubility parameter calculations were also performed for comparison. Results: Darunavir is practically insoluble in olive and vaseline oils. In water and glycerol, an amorphous equilibrium with an upper critical solution temperature was observed, and phase diagrams were constructed for the first time. In alcohols, glycols, and ethoxylated polyethylene glycol ether obtained from castor oil, darunavir showed high solubility, accompanied by the formation of crystalline solvates. Kinetic evaluation showed that the dissolution rate of darunavir in methanol is four times faster than in ethanol and thirty times faster than in isopropanol. Comparison of the obtained data with previously published and calculated values of solubility parameters demonstrates a good correlation. Conclusions: Laser microinterferometry has been demonstrated as a potential tool for determining the thermodynamic solubility of APIs. This method allows for directly observing the dissolution process, determining the solubility limits, and detecting phase transitions. These studies are necessary for selecting appropriate excipients, preventing the formation of undesirable solvates and predicting formulation stability, which are all critical factors in early-stage drug development and pharmaceutical formulation design. Full article
(This article belongs to the Section Physical Pharmacy and Formulation)
Show Figures

Figure 1

19 pages, 8298 KB  
Article
Screening for Polymorphism, Cyclodextrin Complexation, and Co-Crystallization of the Non-Steroidal Anti-Inflammatory Drug Fenbufen: Isolation and Characterization of a Co-Crystal and an Ionic Co-Crystal of the API with a Common Coformer
by Hannah M. Frösler, Neo Refiloe Mancapa, Laura Catenacci, Milena Sorrenti, Maria Cristina Bonferoni and Mino R. Caira
Pharmaceutics 2025, 17(7), 842; https://doi.org/10.3390/pharmaceutics17070842 - 27 Jun 2025
Viewed by 1379
Abstract
Background/Objectives: Increasing the solid-state landscape of an active pharmaceutical ingredient (API) by generating new crystalline forms (e.g., polymorphs, cyclodextrin (CD) inclusion complexes, co-crystals, and salts) can yield products with significantly enhanced biopharmaceutical properties (especially increased water solubility), thereby improving API delivery and [...] Read more.
Background/Objectives: Increasing the solid-state landscape of an active pharmaceutical ingredient (API) by generating new crystalline forms (e.g., polymorphs, cyclodextrin (CD) inclusion complexes, co-crystals, and salts) can yield products with significantly enhanced biopharmaceutical properties (especially increased water solubility), thereby improving API delivery and extending its lifetime. The aim of this study was the isolation of new solid forms of the poorly water-soluble non-steroidal anti-inflammatory drug fenbufen (FBF), for which relatively few solid phases have been reported to date. Further motivation for the study is the recent finding that it has potential for repurposing to treat acute pancreatitis. Methods: Interventions for generating new solid forms of FBF included (a) polymorph screening with a variety of solvent media, (b) attempts to form solid inclusion complexes with the native cyclodextrins α-, β-, and γ-CD using various preparative methods, and (c) co-crystallization with a series of coformers to produce co-crystals and/or molecular salts. Results: No new polymorphic forms of FBF were identified, but screening with CDs resulted in isolation and characterization of a new solid inclusion complex with γ-CD. However, co-crystallization of FBF with the water-soluble coformer isonicotinamide yielded two new products, namely a 1:1 co-crystal and an unusual multi-component ionic co-crystal, whose aqueous solubility indicated significant enhancement of FBF solubility. Conclusions: Due to its extremely low water solubility, FBF presented challenges during the study aimed at modifying its crystalline form. However, two new supramolecular forms, a co-crystal and an ionic co-crystal, were isolated, the latter phase having potential for further formulation owing to its significantly enhanced solubility. Full article
Show Figures

Graphical abstract

14 pages, 2777 KB  
Article
Metastable Racemic Ibuprofen Supercooled Liquid
by Tuanjia Li, Wangchuan Xiao, Shizhao Ren, Rongrong Xue and Fenghua Chen
Crystals 2024, 14(12), 1037; https://doi.org/10.3390/cryst14121037 - 28 Nov 2024
Cited by 2 | Viewed by 2340
Abstract
Amorphous solid dispersions are good candidates for improving solubility in water and the oral bioavailability of poorly water-soluble active pharmaceutical ingredients (APIs). Amorphous solids become supercooled liquids when the temperature reaches the glass transition temperature (Tg). For APIs with low melting [...] Read more.
Amorphous solid dispersions are good candidates for improving solubility in water and the oral bioavailability of poorly water-soluble active pharmaceutical ingredients (APIs). Amorphous solids become supercooled liquids when the temperature reaches the glass transition temperature (Tg). For APIs with low melting points, Tg can be below room temperature, which makes it difficult to prepare long-term stable amorphous solids. Studies on the physicochemical properties of supercooled liquids shed light on the design of ASDs for APIs with low melting points. Racemic ibuprofen (IBU) supercooled liquid has been detected using differential scanning calorimetry and powder X-ray diffraction during the melt-quenching of IBU at a low temperature (0 °C). In this work, gram-scaled IBU supercooled liquid was prepared using the melt-quenching method, maintaining a liquid state for minutes at room temperature and for hours at 10 °C, as confirmed by visual observation. The Raman spectra, IR spectra, and UV-vis spectra results indicate that the structure of the IBU supercooled liquid is similar to that of an IBU solution instead of IBU Form I. The rate of recrystallization into Form I can be adjusted by controlling the temperature and additives, as confirmed by visual observation. Moreover, long-term stable IBU dispersions, with improved aqueous solubility, were inspired by the IBU supercooled liquid. The IBU supercooled liquid model can guide the preparation of ASDs for low melting point drugs. Full article
(This article belongs to the Section Crystal Engineering)
Show Figures

Figure 1

18 pages, 5839 KB  
Article
Electrospun Amorphous Solid Dispersions with Lopinavir and Ritonavir for Improved Solubility and Dissolution Rate
by Ewelina Łyszczarz, Oskar Sosna, Justyna Srebro, Aleksandra Rezka, Dorota Majda and Aleksander Mendyk
Nanomaterials 2024, 14(19), 1569; https://doi.org/10.3390/nano14191569 - 28 Sep 2024
Cited by 8 | Viewed by 2810
Abstract
Lopinavir (LPV) and ritonavir (RTV) are two of the essential antiretroviral active pharmaceutical ingredients (APIs) characterized by poor solubility. Hence, attempts have been made to improve both their solubility and dissolution rate. One of the most effective approaches used for this purpose is [...] Read more.
Lopinavir (LPV) and ritonavir (RTV) are two of the essential antiretroviral active pharmaceutical ingredients (APIs) characterized by poor solubility. Hence, attempts have been made to improve both their solubility and dissolution rate. One of the most effective approaches used for this purpose is to prepare amorphous solid dispersions (ASDs). To our best knowledge, this is the first attempt aimed at developing ASDs via the electrospinning technique in the form of fibers containing LPV and RTV. In particular, the impact of the various polymeric carriers, i.e., Kollidon K30 (PVP), Kollidon VA64 (KVA), and Eudragit® E100 (E100), as well as the drug content as a result of the LPV and RTV amorphization were investigated. The characterization of the electrospun fibers included microscopic, DSC, and XRD analyses, the assessment of their wettability, and equilibrium solubility and dissolution studies. The application of the electrospinning process led to the full amorphization of both the APIs, regardless of the drug content and the type of polymer matrix used. The utilization of E100 as a polymeric carrier for LPV and KVA for RTV, despite the beads-on-string morphology, had a favorable impact on the equilibrium solubility and dissolution rate. The results showed that the electrospinning method can be successfully used to manufacture ASDs with poorly soluble APIs. Full article
Show Figures

Graphical abstract

15 pages, 4178 KB  
Article
Improving the Solubility, Stability, and Bioavailability of Albendazole through Synthetic Salts
by Haiying Yan, Xueping Zhong and Yao Liu
Molecules 2024, 29(15), 3571; https://doi.org/10.3390/molecules29153571 - 29 Jul 2024
Cited by 13 | Viewed by 7441
Abstract
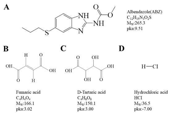
Albendazole (ABZ) is a highly effective yet poorly water-soluble antiparasitic drug known to form salts (ABZ-FMA, ABZ-DTA, and ABZ-HCl) with fumaric acid (FMA), D-tartaric acid (DTA), and hydrochloric acid (HCl). This research utilized a range of analytical techniques, including Fourier transform infrared spectroscopy [...] Read more.
Albendazole (ABZ) is a highly effective yet poorly water-soluble antiparasitic drug known to form salts (ABZ-FMA, ABZ-DTA, and ABZ-HCl) with fumaric acid (FMA), D-tartaric acid (DTA), and hydrochloric acid (HCl). This research utilized a range of analytical techniques, including Fourier transform infrared spectroscopy (FT-IR), nuclear magnetic resonance hydrogen spectroscopy (1H NMR), powder X-ray diffraction (PXRD), dynamic vapor sorption (DVS), thermogravimetric analysis (TGA), differential scanning calorimetry (DSC), and scanning electron microscopy (SEM), to validate and characterize the solid-state properties of these drug salts. This study also assessed the solubility and intrinsic dissolution rate (IDR) of these salts under different pH conditions compared to the active pharmaceutical ingredient (API) and conducted stability studies. Moreover, the in vivo pharmacokinetic performance of ABZ salt was evaluated. The results of this study reveal that the new solid form of ABZ is primarily associated with amino acid esters and benzimidazole groups, forming intermolecular interactions. All three ABZ salts significantly improved the solubility and dissolution rate of ABZ, with ABZ-HCl demonstrating the optimal performance. Importantly, the drug salt exhibited robust physical stability when exposed to adverse conditions, including strong light irradiation (4500 ± 500 lux), high humidity (92.5 ± 5% relative humidity), elevated temperatures (50 ± 2 °C), and accelerated test conditions (40 °C/75 ± 5% relative humidity). Lastly, the in vivo pharmacokinetic analysis demonstrated that ABZ salt led to a substantial increase in AUC(0–24) and Cmax compared to ABZ. This elevation in solubility in aqueous solvents signifies that ABZ salt exhibits characteristics that can enhance oral bioavailability and pharmacokinetics. These findings provide potential solutions for the development of more effective and innovative drug formulations. Full article
Show Figures

Graphical abstract

18 pages, 4768 KB  
Article
Evaluation of Printability of PVA-Based Tablets from Powder and Assessment of Critical Rheological Parameters
by Jonas Lenhart, Florian Pöstges, Karl G. Wagner and Dominique J. Lunter
Pharmaceutics 2024, 16(4), 553; https://doi.org/10.3390/pharmaceutics16040553 - 19 Apr 2024
Cited by 5 | Viewed by 2654
Abstract
Fused deposition modeling (FDM) is a rather new technology in the production of personalized dosage forms. The melting and printing of polymer–active pharmaceutical ingredient (API)—mixtures can be used to produce oral dosage forms with different dosage as well as release behavior. This process [...] Read more.
Fused deposition modeling (FDM) is a rather new technology in the production of personalized dosage forms. The melting and printing of polymer–active pharmaceutical ingredient (API)—mixtures can be used to produce oral dosage forms with different dosage as well as release behavior. This process is utilized to increase the bioavailability of pharmaceutically relevant active ingredients that are poorly soluble in physiological medium by transforming them into solid amorphous dispersions (ASD). The release from such ASDs is expected to be faster and higher compared to the raw materials and thus enhance bioavailability. Printing directly from powder while forming ASDs from loperamide in Polyvinylalcohol was realized. Different techniques such as a change in infill and the incorporation of sorbitol as a plastisizer to change release patterns as well as a non-destructive way for the determination of API distribution were shown. By measuring the melt viscosities of the mixtures printed, a rheological model for the printer used is proposed. Full article
(This article belongs to the Special Issue Pharmaceutical Applications of 3D Printing)
Show Figures

Figure 1

Back to TopTop