Sign in to use this feature.

Years

Between: -

Subjects

remove_circle_outline
remove_circle_outline
remove_circle_outline
remove_circle_outline
remove_circle_outline
remove_circle_outline
remove_circle_outline
remove_circle_outline
remove_circle_outline

Journals

remove_circle_outline
remove_circle_outline
remove_circle_outline
remove_circle_outline
remove_circle_outline
remove_circle_outline
remove_circle_outline
remove_circle_outline
remove_circle_outline
remove_circle_outline
remove_circle_outline
remove_circle_outline
remove_circle_outline
remove_circle_outline

Article Types

Countries / Regions

remove_circle_outline
remove_circle_outline
remove_circle_outline
remove_circle_outline
remove_circle_outline
remove_circle_outline
remove_circle_outline

Search Results (1,802)

Search Parameters:
Keywords = polyamides

Order results
Result details
Results per page
Select all
Export citation of selected articles as:
18 pages, 5526 KB  
Article
Dry-Sliding Behavior and Surface Evolution of SLS-Manufactured Glass Bead-Filled Polyamide 12 Bearings
by Ivan Simonović, Dragan Milković, Žarko Mišković and Aleksandar Marinković
Lubricants 2026, 14(1), 31; https://doi.org/10.3390/lubricants14010031 - 9 Jan 2026
Abstract
This study investigates the tribological behavior of selective laser-sintered (SLS) sliding bearings under dry-sliding operating conditions. These polyamide-12 bearings reinforced with glass beads (PA 3200 GF) were tested against a stainless-steel sleeve in three different pressure–velocity (PV) regimes that represent real operating conditions. [...] Read more.
This study investigates the tribological behavior of selective laser-sintered (SLS) sliding bearings under dry-sliding operating conditions. These polyamide-12 bearings reinforced with glass beads (PA 3200 GF) were tested against a stainless-steel sleeve in three different pressure–velocity (PV) regimes that represent real operating conditions. The coefficient of friction (COF) and contact temperatures were monitored throughout the experiment, while the specific wear rate was quantified based on mass loss measurements. The evolution of surface topography was analyzed using roughness parameters of the Abbott-Firestone family. Scanning electron microscopy (SEM) analysis was performed to identify the dominant wear mechanism. The results show a pronounced running-in phase, after which a stable thermomechanical equilibrium occurs in all regimes. Heavy-loaded regimes increase temperature but accelerate surface adaptation and lower stable coefficients of friction. Lower load regimes have the lowest thermal load but higher friction due to lower real contact. The medium PV regime has a low COF and moderate temperature rise, while peak and core roughness metrics increase more significantly. These results provide an experimentally based insight into the influence of the load regime on the tribological behavior and topography of the SLS-made polymer sliding bearings, thus contributing to a deeper understanding of their operation in real dry-sliding conditions. Full article
(This article belongs to the Special Issue Machine Design and Tribology)
Show Figures

Figure 1

32 pages, 3837 KB  
Article
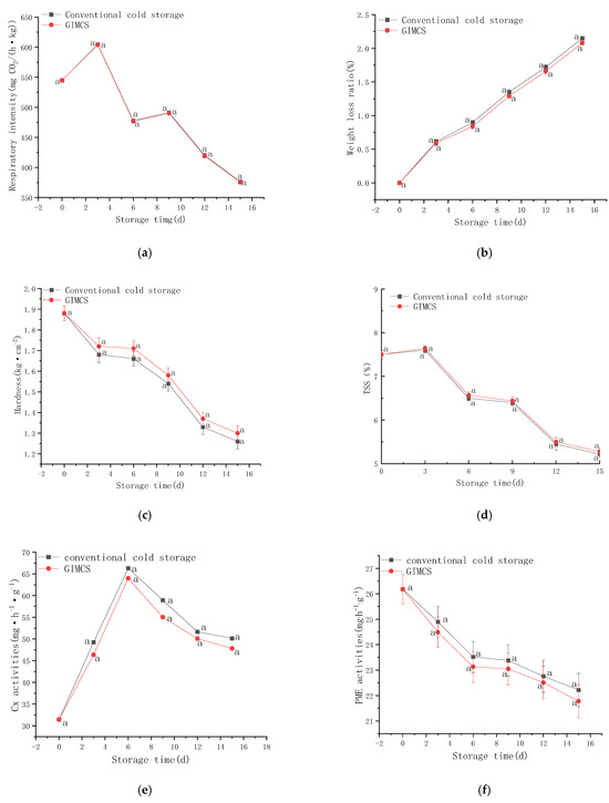
The Development and Testing of a Temporary Small Cold Storage System: Gas-Inflated Membrane Cold Storage
by Lihua Duan, Xiaoyan Zhuo, Jiajia Su, Xiaokun Qiu, Limei Li, Wenhan Li, Yaowen Liu and Xihong Li
Foods 2026, 15(2), 231; https://doi.org/10.3390/foods15020231 - 8 Jan 2026
Abstract
At present, conventional cold storage facilities in China are poorly suited to on-farm storage demands for agricultural produce, mainly due to their large spatial requirements, complex and labor-intensive installation procedures, limited portability, and insufficient coverage in rural areas. These limitations significantly contribute to [...] Read more.
At present, conventional cold storage facilities in China are poorly suited to on-farm storage demands for agricultural produce, mainly due to their large spatial requirements, complex and labor-intensive installation procedures, limited portability, and insufficient coverage in rural areas. These limitations significantly contribute to post-harvest losses of perishable crops such as cherry tomatoes. To address this challenge, the present study proposes a compact and temporary cold storage system—gas-inflated membrane cold storage (GIMCS)—which exploits the inherent safety, cost-effectiveness, ease of deployment, and adaptability of inflatable membrane structures. A series of mechanical performance tests, including tensile strength, pressure resistance, and burst tests, were conducted on PA/PE (Polyamide/Polyethylene) composite membranes. The optimal configuration was identified as a membrane thickness of 70 μm, a gas column width of 2 cm, and a PA/PE composition ratio of 35%/65%. Thermal performance evaluations further revealed that filling the inflatable structure with 100% CO2 yielded the most effective insulation. Through structural optimization, a cotton-filled gas-inflated membrane cold storage system (CF-GIMCS) incorporating a dual insulation strategy—combining intra-membrane and extra-membrane insulation—was developed. This multilayer configuration significantly reduced conductive and convective heat transfer, resulting in enhanced thermal performance. A comparative evaluation between GIMCS and a conventional cold storage system of equivalent capacity was conducted over a 15-day storage period, considering construction cost, temperature uniformity, and fruit preservation quality. The results showed that the construction cost of GIMCS was only 38% of that of conventional cold storage. The internal temperature distribution of GIMCS was highly uniform, with a maximum horizontal temperature difference of 1.4 °C, demonstrating thermal stability comparable to conventional systems. No statistically significant differences were observed between the two systems in key post-harvest quality indicators, including weight loss and respiration rate. Notably, GIMCS exhibited superior performance in maintaining fruit firmness, with a hardness of 1.30 kg·cm−2 compared to 1.26 kg·cm−2 in conventional storage, indicating a potential advantage in shelf-life extension. Overall, these findings demonstrate that GIMCS represents an affordable, technically robust, and portable cold storage solution capable of delivering preservation performance comparable to—or exceeding—that of conventional cold storage. Its modularity, mobility, and ease of relocation make it particularly well suited to the operational and economic constraints of smallholder farming systems, offering a practical and scalable pathway for improving on-farm cold chain infrastructure. Full article
Show Figures

Figure 1

24 pages, 4416 KB  
Article
A Gas Production Classification Method for Cable Insulation Materials Based on Deep Convolutional Neural Networks
by Zihao Wang, Yinan Chai, Jingwen Gong, Wenbin Xie, Yidong Chen and Wei Gong
Polymers 2026, 18(2), 155; https://doi.org/10.3390/polym18020155 - 7 Jan 2026
Viewed by 67
Abstract
As a non-invasive diagnostic technique, evolved gas analysis (EGA) holds significant value in assessing the insulation conditions of critical equipment such as power cables. Current analytical methods face two major challenges: insulation materials may undergo multiple aging mechanisms simultaneously, leading to interfering characteristic [...] Read more.
As a non-invasive diagnostic technique, evolved gas analysis (EGA) holds significant value in assessing the insulation conditions of critical equipment such as power cables. Current analytical methods face two major challenges: insulation materials may undergo multiple aging mechanisms simultaneously, leading to interfering characteristic gases; and traditional approaches lack the multi-label recognition capability to address concurrent fault patterns when processing mixed-gas data. These limitations hinder the accuracy and comprehensiveness of insulation condition assessment, underscoring the urgent need for intelligent analytical methods. This study proposes a deep convolutional neural network (DCNN)-based multi-label classification framework to accurately identify the gas generation characteristics of five typical power cable insulation materials—ethylene propylene diene monomer (EPDM), ethylene-vinyl acetate copolymer (EVA), silicone rubber (SR), polyamide (PA), and cross-linked polyethylene (XLPE)—under fault conditions. The method leverages concentration data of six characteristic gases (CO2, C2H4, C2H6, CH4, CO, and H2), integrating modern data analysis and deep learning techniques, including logarithmic transformation, Z-score normalization, multi-scale convolution, residual connections, channel attention mechanisms, and weighted binary cross-entropy loss functions, to enable simultaneous prediction of multiple degradation states or concurrent fault pattern combinations. By constructing a gas dataset covering diverse materials and operating conditions and conducting comparative experiments to validate the proposed DCNN model’s performance, the results demonstrate that the model can effectively learn material-specific gas generation patterns and accurately identify complex label co-occurrence scenarios. This approach provides technical support for improving the accuracy of insulation condition assessment in power cable equipment. Full article
(This article belongs to the Section Artificial Intelligence in Polymer Science)
Show Figures

Figure 1

12 pages, 3954 KB  
Article
Properties of Composite Magnetic Filaments for 3D Printing, Produced Using SmCo5/Fe Exchange-Coupled Nanocomposites
by Razvan Hirian, Roxana Dudric, Rares Bortnic, Florin Popa, Sergiu Macavei, Cristian Leostean and Viorel Pop
J. Compos. Sci. 2026, 10(1), 20; https://doi.org/10.3390/jcs10010020 - 5 Jan 2026
Viewed by 189
Abstract
Magnetic filaments for fused deposition modeling, 3D printing, were produced by depositing polyamide 11 (PA11), by liquid–liquid phase separation and precipitation, onto exchange-coupled nanocomposite magnetic powders, SmCo5 + 20 wt% Fe produced by mechanical milling and subsequent annealing. The produced filaments have [...] Read more.
Magnetic filaments for fused deposition modeling, 3D printing, were produced by depositing polyamide 11 (PA11), by liquid–liquid phase separation and precipitation, onto exchange-coupled nanocomposite magnetic powders, SmCo5 + 20 wt% Fe produced by mechanical milling and subsequent annealing. The produced filaments have good mechanical properties, a tensile strength of 32 MPa and a maximum elongation of slightly over 40%. The filaments also present good magnetic properties: a high coercive field of 1 T at 300 K and nearly double the saturation magnetization and remanence, compared to filaments made by depositing PA11 on commercial SmCo5 and recycled SmCo5 powders and four times the energy product. This work shows that magnetic filaments made by encapsulating exchange-coupled magnetic nanocomposite powders in PA11 may be a viable option for the production of 3D-printed isotropic bonded magnets, as the high energy product and remanence especially can lead to a reduction in both magnetic powder quantity and rare earth elements required for high performance magnetic filaments. This in turn may reduce costs and improve sustainability. Full article
(This article belongs to the Special Issue Recent Progress in Hybrid Composites)
Show Figures

Figure 1

14 pages, 1612 KB  
Article
Nanotube Alignment and Surface Chemistry in Altering Water and Salt Permeabilities for Imogolite-Polyamide Membranes
by Savannah Bachmann and Jonathan Brant
Membranes 2026, 16(1), 20; https://doi.org/10.3390/membranes16010020 - 1 Jan 2026
Viewed by 160
Abstract
Reducing the specific energy consumption of reverse osmosis (RO) processes motivates the development of new membrane materials that have enhanced water permeability while maintaining low salt permeability (high rejection). Nanocomposite membranes have shown great promise in achieving these goals, particularly those using nanotubes [...] Read more.
Reducing the specific energy consumption of reverse osmosis (RO) processes motivates the development of new membrane materials that have enhanced water permeability while maintaining low salt permeability (high rejection). Nanocomposite membranes have shown great promise in achieving these goals, particularly those using nanotubes as fillers. Here, we report on the relationships between the orientations and surface functionalities of imogolite nanotubes (INTs) with water and salt permeabilities for polyamide nanocomposite membranes. An external electric field was used to manipulate the INT orientation within the polyamide active layer. The INT interior and exterior chemistries, respectively, were made hydrophobic using methyl triethoxysilane as a precursor during INT synthesis and post-synthesis modification with alkali-phosphate groups. Irrespective of nanotube orientation or surface chemistry, membrane permeance increased from 0.3 to ≥1.0 L m−2 h−1 bar−1. A salt permeability comparable to the conventional polyamide membrane was maintained by making the INT pore throat hydrophobic. These findings indicated that salt rejection could be tailored by manipulating the INT interior surface chemistry without sacrificing water permeability. Full article
(This article belongs to the Section Membrane Fabrication and Characterization)
Show Figures

Figure 1

14 pages, 7573 KB  
Article
Continuous Filament Fabrication Technology and Its Mechanical Properties for Thin-Walled Component
by Tomasz Kozior, Jerzy Bochnia, Jiri Hajnys and Jakub Mesicek
Materials 2026, 19(1), 144; https://doi.org/10.3390/ma19010144 - 31 Dec 2025
Viewed by 314
Abstract
The aim of the presented research is to assess the possibility of manufacturing thin-walled models using innovative 3D printing technology and to determine limitations. This article presents the results of tensile tests of the Continuous Filament Fabrication (CFF) technology for thin-walled sample models. [...] Read more.
The aim of the presented research is to assess the possibility of manufacturing thin-walled models using innovative 3D printing technology and to determine limitations. This article presents the results of tensile tests of the Continuous Filament Fabrication (CFF) technology for thin-walled sample models. Two types of materials were tested. The first material is pure ONYX based on polyamide, and the second is ONYX with an additional core made of carbon fiber. The paper presents the limitations of using the core in thin-walled structures, and for pure ONYX material, samples were made with different orientations on the 3D printer platform, which allowed determining the effect of the printing direction on the mechanical properties of the samples. In addition, microscopic photographs of the fracture of the broken samples were taken in the paper, based on which the defects of the technological process were identified. It was shown that the strength of thin-walled samples (1 mm, 1.4 mm, and 1.8 mm thick) printed in the Y direction is significantly greater than that of samples printed in the X and Z directions. For example, for 1 mm thick samples printed in the Y direction, the strength is 49.02 MPa, while for samples printed in the X and Z directions, it is 27.71 MPa and 21.28 MPa, respectively. The strength of samples (4 mm thick) reinforced with ONYX + OCF carbon fiber printed in the X direction is 191.36% greater than that of samples made of pure ONYX. Full article
(This article belongs to the Special Issue 3D & 4D Printing—Metrological Problems)
Show Figures

Figure 1

17 pages, 2049 KB  
Article
Dewatering Hypersaline Na2SO4 and NaCl via Commercial Forward Osmosis Module
by Noel Devaere and Vladimiros G. Papangelakis
Membranes 2026, 16(1), 14; https://doi.org/10.3390/membranes16010014 - 31 Dec 2025
Viewed by 241
Abstract
Efficient water recycling in the hydrometallurgical industry requires the dewatering of hypersaline Na2SO4 or similar brines via non-evaporative methods. Unfortunately, many non-evaporative methods require the use of specific solutes and are not compatible with complex hydrometallurgical effluents. Forward Osmosis (FO) [...] Read more.
Efficient water recycling in the hydrometallurgical industry requires the dewatering of hypersaline Na2SO4 or similar brines via non-evaporative methods. Unfortunately, many non-evaporative methods require the use of specific solutes and are not compatible with complex hydrometallurgical effluents. Forward Osmosis (FO) uses a draw solution to link known non-evaporative water recycling methods with feed solutions that are otherwise incompatible. There is minimal experimental data on the dewatering performance of today’s available commercial FO membranes, especially with hypersaline concentrations (>70,000 mg/L total dissolved solids). This study tests the commercially available Aquaporin HFFO2 hollow fibre FO membrane module with hypersaline Na2SO4 or NaCl feed solutions versus a MgCl2 draw solution. It identifies a key requirement to maintain water flux above a certain threshold to prevent a decrease in Na Rejection or an increase in Mg reverse flux. It also defines a minimum osmotic differential that can be used to parameterize water flux, similar to the temperature of approach in heat exchangers, but to determine the extent of water removal in FO. We demonstrate that even under mildly acidic conditions, existing FO membranes can concentrate Na2SO4 to saturation, paving the way for their use in the hydrometallurgical industry. Full article
(This article belongs to the Special Issue Polymeric Membranes Engineered for Different Separation Processes)
Show Figures

Figure 1

21 pages, 10889 KB  
Article
Direct Solid-State Polymerization of Highly Aliphatic PA 1212 Salt: Critical Parameters and Reaction Mechanism Investigation Under Different Reactor Designs
by Angeliki D. Mytara, Athanasios D. Porfyris and Constantine D. Papaspyrides
Polymers 2026, 18(1), 101; https://doi.org/10.3390/polym18010101 - 29 Dec 2025
Viewed by 286
Abstract
The present work aims to synthesize polyamide 1212 (PA 1212) via direct solid-state polymerization (DSSP), starting from its solid salt precursor. The DSSP of aliphatic polyamide salts has been found to proceed through melt intermediates, in harmony with the well-documented solid-melt transition (SMT) [...] Read more.
The present work aims to synthesize polyamide 1212 (PA 1212) via direct solid-state polymerization (DSSP), starting from its solid salt precursor. The DSSP of aliphatic polyamide salts has been found to proceed through melt intermediates, in harmony with the well-documented solid-melt transition (SMT) mechanism. However, PA 1212 salt is anticipated to deviate from this model due to its strongly hydrophobic nature. The reaction was initially investigated at the microscale in a thermo-gravimetric analysis (TGA) chamber and then scaled up to the laboratory scale. The influence of reactor design, reaction temperature, and residence time was examined. DSSP products were characterized in terms of molecular size and morphological properties. At the same time, a novel protocol was developed for qualitatively monitoring the progress of polymerization via Fourier Transform Infrared Spectroscopy-Attenuated Total Refraction (FTIR-ATR) analysis. Emphasis was given on the resulting morphology examined via Scanning Electron Microscopy (SEM imaging). Although DSSP has been found to proceed through a quasi-SMT, significant differences are observed compared to the classical mechanism established in the literature. This paper reveals that the limited surface softening or agglomeration phenomena encountered are mostly associated with the hydrophobic structure of the PA 1212 salt. Full article
(This article belongs to the Section Polymer Chemistry)
Show Figures

Graphical abstract

24 pages, 7551 KB  
Article
Scalable Fabrication of Non-Toxic Polyamide 6 Hybrid Nanofiber Membranes Using CuO for Antimicrobial and Aerosol Filtration Protection
by Radmila Žižková, Baturalp Yalcinkaya, Eva Filová, Fatma Yalcinkaya and Matej Buzgo
Textiles 2026, 6(1), 2; https://doi.org/10.3390/textiles6010002 - 29 Dec 2025
Viewed by 181
Abstract
Electrospinning has advanced from a lab technique to an industrial method, enabling modern filters that are high-performing, sustainable, recyclable, and non-toxic. This study produced recycled PA6 nanofibers using green solvents and incorporated non-toxic CuO nanoparticles via industrial free-surface electrospinning. Polymer solutions with concentrations [...] Read more.
Electrospinning has advanced from a lab technique to an industrial method, enabling modern filters that are high-performing, sustainable, recyclable, and non-toxic. This study produced recycled PA6 nanofibers using green solvents and incorporated non-toxic CuO nanoparticles via industrial free-surface electrospinning. Polymer solutions with concentrations of 12.5, 15.0 and 17.5 (w/v)% were electrospun directly onto recyclable polypropylene spunbond/meltblown nonwoven substrates to produce nanofibers with average fiber sizes of 80–250 nm. Electrospinning parameter optimization revealed that the 12.5 wt.% PA6 solution and the 2–3 mm·s−1 winding speed had the optimal performance, attaining 98.06% filtering efficiency and a 142 Pa pressure drop. The addition of 5 wt.% CuO nanoparticles increased the membrane density and reduced the pressure drop to 162 Pa, thereby improving the filtration efficiency to 98.23%. Bacterial and viral filtration studies have demonstrated pathogen retention above 99%. Moreover, antibacterial and antiviral testing has demonstrated that membranes trap and inactivate microorganisms, resulting in a 2.0 log (≈approximately 99%) reduction in viral titer. This study shows that recycled PA6 can be converted into high-performance membranes using green, industrial electrospinning, introducing innovations such as non-toxic CuO functionalization and ultra-fine fibers on recyclable substrates, yielding sustainable filters with strong antimicrobial and filtration performance, which are suitable for personal protective equipment and medical filtration. Full article
(This article belongs to the Special Issue Advances in Technical Textiles)
Show Figures

Graphical abstract

25 pages, 9154 KB  
Article
Optimization of Silicon Nitride Nanopowder Content in Polyamide 12 (PA12) in Extrusion-Based Additive Manufacturing
by Markos Petousis, Apostolos Korlos, Nikolaos Michailidis, Vassilis M. Papadakis, Apostolos Argyros, Nikolaos Mountakis, Maria Spyridaki, Athena Maniadi, Amalia Moutsopoulou and Nectarios Vidakis
Nanomaterials 2026, 16(1), 47; https://doi.org/10.3390/nano16010047 - 29 Dec 2025
Viewed by 356
Abstract
The use of polyamide-12 (PA12) thermoplastics in additive manufacturing (AM) is promising owing to their mechanical properties and printability. However, in load-bearing applications, improvements in mechanical strength and stiffness are sought after. Herein, the reinforcement efficiency of silicon nitride (Si3N4 [...] Read more.
The use of polyamide-12 (PA12) thermoplastics in additive manufacturing (AM) is promising owing to their mechanical properties and printability. However, in load-bearing applications, improvements in mechanical strength and stiffness are sought after. Herein, the reinforcement efficiency of silicon nitride (Si3N4) nanoparticles in the PA12 matrix was explored. The filler loading varied between 2.0 wt. % and 10.0 wt. %. The nanocomposites were extruded into filament using melt compounding for subsequent material extrusion (MEX) 3D printing. PA12/Si3N4 nanocomposites were examined for their thermal, rheological, morphological, and structural characteristics. For mechanical characterization, flexural, tensile, microhardness, and Charpy impact data were obtained. For structural examination, porosity and dimensional deviation were assessed. Scanning electron microscopy (SEM) was used to investigate morphology and chemical composition. The results indicate that Si3N4 nanopowder significantly improved all mechanical properties, with a greater than 20% increase in tensile strength and elastic modulus when compared to neat PA12. The structural characteristics were also improved. These findings indicate that Si3N4 nanoparticles provide a viable reinforcement filler for PA12 for use in lightweight, robust structural components fabricated using MEX AM. Furthermore, it can be stated that ceramic–polymer nanocomposites further improve the applicability of PA12, where high mechanical performance is required. Full article
(This article belongs to the Section Nanofabrication and Nanomanufacturing)
Show Figures

Graphical abstract

19 pages, 4999 KB  
Article
Enhanced Energy Absorption and Flexural Performance of 3D Printed Sandwich Panels Using Slicer-Generated Interlocking Interfaces
by Amged Elhassan, Hour Alhefeiti, Mdimouna Al Karbi, Fatima Alseiari, Rawan Alshehhi, Waleed Ahmed, Al H. Al-Marzouqi and Noura Al-Mazrouei
Polymers 2026, 18(1), 94; https://doi.org/10.3390/polym18010094 - 29 Dec 2025
Viewed by 335
Abstract
This study assessed the effect of slicer-made interlocking joints on 3D printed sandwich panels manufactured through fused filament fabrication (FFF) in terms of flexural properties and energy absorption. Composites were prepared with thermoplastic polyurethane (TPU) as the core material and polyamide (PA), polylactic [...] Read more.
This study assessed the effect of slicer-made interlocking joints on 3D printed sandwich panels manufactured through fused filament fabrication (FFF) in terms of flexural properties and energy absorption. Composites were prepared with thermoplastic polyurethane (TPU) as the core material and polyamide (PA), polylactic acid (PLA), polyethylene terephthalate (PET) as skin materials for each of the three composites, respectively. In order to assess the implications of internal geometry, 3D printing was done on five infill topologies (Cross-3D, Grid, Gyroid, Line and Honeycomb) at 20% density. All samples had 20% core density and underwent three point bending testing for flexural testing. It was noted that the Grid and Gyroid cores had the best performance in terms of maximum load capacity based on stretch-dominated behavior while Cross-3D and Honeycomb had lower strengths but stable moments during the bending process. Since Cross-3D topology offered the lowest deflection, it was selected for further experiments with slicer added interlocks at the face–core interface. This study revealed the most notable improvements as gains of up to 15% in peak load, 48% in maximum deflection, and 51% in energy absorption compared with the non-interlocked designs. The PET/TPU interlocked demonstrated the best performance in terms of the energy absorption (2.45 J/mm3) and peak load (272.6 N). In contrast, the PA/TPU interlocked exhibited the best flexibility and ductility with a mid-span deformation of 21.34 mm. These results confirm that slicer-generated interlocking interfaces lead to better load capacity and energy dissipation, providing a lightweight, damage-tolerant design approach for additively manufactured sandwich beams. Full article
(This article belongs to the Section Polymer Processing and Engineering)
Show Figures

Figure 1

14 pages, 4360 KB  
Article
Anisotropic Thermal Conductivity in Pellet-Based 3D-Printed Polymer Structures for Advanced Heat Management in Electrical Devices
by Michal Rzepecki and Andrzej Rybak
Polymers 2026, 18(1), 93; https://doi.org/10.3390/polym18010093 - 29 Dec 2025
Viewed by 226
Abstract
Efficient thermal management is critical for modern electrical and electronic devices, where increasing power densities and miniaturization demand advanced heat dissipation solutions. This study investigates anisotropic thermal conductivity in polymer structures fabricated via pellet-based fused granulate fabrication using polyamide 6 composite filled with [...] Read more.
Efficient thermal management is critical for modern electrical and electronic devices, where increasing power densities and miniaturization demand advanced heat dissipation solutions. This study investigates anisotropic thermal conductivity in polymer structures fabricated via pellet-based fused granulate fabrication using polyamide 6 composite filled with thermally conductive, electrically insulative mineral fillers. Three sample orientations were manufactured by controlling the printing path direction to manipulate filler alignment relative to heat flow. The microscopic analysis confirmed a flake-shaped filler orientation dependent on extrusion direction. Thermal conductivity measurements using a guarded heat flow meter revealed significant anisotropy: samples with fillers aligned parallel to heat flow exhibited thermal conductivity of 4.09 W/m·K, while perpendicular alignment yielded 1.21 W/m·K, representing a 238% enhancement and an anisotropy ratio of 3.4. The dielectric measurements showed modest electrical anisotropy with maintained low dielectric loss below 0.05 at 1 kHz, confirming the suitability of the investigated materials for electrical insulation applications. The presented results demonstrate that pellet-based fused granular fabrication uniquely enables in situ control of platelet filler orientation during printing, achieving unprecedented thermal anisotropy, high through-plane thermal conductivity, and excellent electrical insulation in directly 3D-printed polymer structures, offering a breakthrough approach for advanced thermal management in electrical devices. Full article
(This article belongs to the Section Polymer Processing and Engineering)
Show Figures

Figure 1

21 pages, 10303 KB  
Article
Effect of Flax Fiber Content on the Properties of Bio-Based Filaments for Sustainable 3D Printing of Automotive Components
by Florence Isnard, Mélissa Poloni, Marta Redrado, Raquel Navarro-Miguel and Skander Mani
Sustainability 2026, 18(1), 199; https://doi.org/10.3390/su18010199 - 24 Dec 2025
Viewed by 199
Abstract
The growing interest in sustainable additive manufacturing has driven research into customized biocomposite filaments reinforced with natural fibers. This study evaluates the influence of flax fiber content (5–15 wt%) on the thermal, rheological, morphological, and mechanical properties of fully bio-based polyamide PA10.10 filaments [...] Read more.
The growing interest in sustainable additive manufacturing has driven research into customized biocomposite filaments reinforced with natural fibers. This study evaluates the influence of flax fiber content (5–15 wt%) on the thermal, rheological, morphological, and mechanical properties of fully bio-based polyamide PA10.10 filaments intended for fused deposition modeling (FDM). Filaments containing up to 15 wt% flax fibers were produced using both conventional single-screw extrusion and the METEOR® elongational mixer to compare shear- and elongation-dominated dispersive mechanisms. Increasing flax loading enhanced stiffness (up to +84% tensile modulus at 15 wt%) but also significantly increased porosity, particularly in METEOR-processed materials, leading to reduced strength and intrinsic viscosity. Microscopy confirmed fiber shortening during compounding and revealed porosity arising from moisture release and insufficient fiber wetting. Rheological analysis showed the onset of a pseudo-percolated fiber network from 10 wt%, while excessive porosity at higher loadings impeded melt flow and printability. Based on the combined evaluation of the mechanical performance, dimensional stability, and processability, a 5 wt% flax formulation was identified as the optimal compromise for FDM. A functional automotive demonstrator (Fiat 500 dashboard fascia) was successfully printed using optimized FDM parameters (nozzle 240 °C, bed 75 °C, speed 20 mm s−1, 0.6 mm nozzle, 0.20 mm layer height, and 100% infill). The part exhibited controlled shrinkage and limited warpage (maximum 1.8 mm across a 165 × 180 × 45 mm geometry with a 3 mm wall thickness). Dimensional accuracy remained within ±0.7 mm relative to the CAD geometry. These results confirm the suitability of PA10.10/flax biocomposites for sustainable, lightweight automotive components and provide key structure–processing–property relationships supporting the development of next-generation bio-based FDM feedstocks. Full article
Show Figures

Graphical abstract

17 pages, 3451 KB  
Article
Mechanical Recycling of a Short Carbon Fiber Reinforced Polyamide 6 in 3D Printing: Effects on Mechanical Properties
by Marco Zanelli, Giulia Ronconi, Nicola Pritoni, Andrea D’Iorio, Monica Bertoldo, Francesco Mollica and Valentina Mazzanti
Polymers 2026, 18(1), 27; https://doi.org/10.3390/polym18010027 - 22 Dec 2025
Viewed by 286
Abstract
Mechanical recycling of Fused Deposition Modeling 3D printing materials is very attractive for the circular economy. In this paper, the tensile properties of a virgin and a one-time-recycled short carbon fiber reinforced polyamide, coming from 3D printing scrap and failed parts, were evaluated. [...] Read more.
Mechanical recycling of Fused Deposition Modeling 3D printing materials is very attractive for the circular economy. In this paper, the tensile properties of a virgin and a one-time-recycled short carbon fiber reinforced polyamide, coming from 3D printing scrap and failed parts, were evaluated. Anisotropy was taken into account properly by using characterization methods that are typical of composites. Rheological properties were obtained with a parallel plate rheometer in oscillatory mode, and thermal properties were investigated based on thermogravimetric analysis and differential scanning calorimetry. A decrease in the average molecular weight of the recycled material, indicated by the rheological measurements, induced brittleness. Nevertheless, the stiffness and yield strength of the 3D printed parts made with the recycled material were higher than those made with the virgin one. Since this behavior could not be explained based on an increase in crystallinity or a relevant decrease in the void content, a feasible explanation is proposed with an increase of the interlayer and intralayer adhesion quality. In any case, the recycled polyamide filament can be successfully reused in Fused Deposition Modeling 3D printing, even when significant mechanical properties are required, but attention must be paid to a certain decrease in ductility. Full article
(This article belongs to the Section Polymer Processing and Engineering)
Show Figures

Figure 1

17 pages, 3425 KB  
Article
Utilization of Polyamide Waste to Remove Endocrine Disruptors in Water Treatment
by Anja Knecht, Anna Malyshenko, Lukas Macheiner, Uwe Rinner and Martin Brandl
Water 2026, 18(1), 20; https://doi.org/10.3390/w18010020 - 20 Dec 2025
Viewed by 416
Abstract
Circular economy emphasizes sustainability and resource efficiency by extending product life cycles and minimizing waste. This study explores the reuse of polyamide press felts from the paper industry for removing endocrine disruptors (EDCs) from water, aligning with circular economy principles. EDCs, as defined [...] Read more.
Circular economy emphasizes sustainability and resource efficiency by extending product life cycles and minimizing waste. This study explores the reuse of polyamide press felts from the paper industry for removing endocrine disruptors (EDCs) from water, aligning with circular economy principles. EDCs, as defined by the WHO, are external substances that disrupt endocrine functions and can cause adverse health effects even at very low concentrations. Common EDCs include industrial chemicals, pesticides, pharmaceuticals, and natural hormones, with bisphenol A (BPA) and 17β-estradiol (E2) being particularly problematic in water due to their health risks. Polyamide, valued for its strength and durability, is widely used in press felts but becomes waste after its industrial use. Reusing these felts is both environmentally and economically beneficial, as the production of polyamide involves high costs and significant impacts. This study investigates the adsorption capacity of polyamide felts for BPA and E2, a process favored for its simplicity, cost-effectiveness, and efficiency in water treatment. Results show that polyamide felts achieve a 75% initial deposition efficiency, adsorbing up to 135 μg BPA and 130 μg E2 per gram of felt. Thus, reusing polyamide felts effectively reduces EDCs in water, supporting water security and advancing the circular economy. Full article
Show Figures

Figure 1

Back to TopTop