Next Article in Journal
Monitoring Microcracking and Leakage of a Hydrogen Tank Using Fiber Optics and the Thermal Expansion
Previous Article in Journal
Functional Nanocomposites with a Positive Temperature Coefficient of Resistance Based on Carbon Nanotubes Synthesized by Laser Ablation
Previous Article in Special Issue
High-Performance Cementitious Composites with Tensile Strain Capacity Up to 18%
error_outline You can access the new MDPI.com website here. Explore and share your feedback with us.
 
 
Font Type:
Arial Georgia Verdana
Font Size:
Aa Aa Aa
Line Spacing:
Column Width:
Background:
Article

Properties of Composite Magnetic Filaments for 3D Printing, Produced Using SmCo5/Fe Exchange-Coupled Nanocomposites

1
Faculty of Physics, Babeş-Bolyai University, 400084 Cluj-Napoca, Romania
2
Materials Science and Engineering Department, Technical University of Cluj-Napoca, 400641 Cluj-Napoca, Romania
3
National Institute for Research and Development of Isotopic and Molecular Technologies, 400293 Cluj-Napoca, Romania
*
Author to whom correspondence should be addressed.
J. Compos. Sci. 2026, 10(1), 20; https://doi.org/10.3390/jcs10010020
Submission received: 28 November 2025 / Revised: 23 December 2025 / Accepted: 27 December 2025 / Published: 5 January 2026
(This article belongs to the Special Issue Recent Progress in Hybrid Composites)

Abstract

Magnetic filaments for fused deposition modeling, 3D printing, were produced by depositing polyamide 11 (PA11), by liquid–liquid phase separation and precipitation, onto exchange-coupled nanocomposite magnetic powders, SmCo5 + 20 wt% Fe produced by mechanical milling and subsequent annealing. The produced filaments have good mechanical properties, a tensile strength of 32 MPa and a maximum elongation of slightly over 40%. The filaments also present good magnetic properties: a high coercive field of 1 T at 300 K and nearly double the saturation magnetization and remanence, compared to filaments made by depositing PA11 on commercial SmCo5 and recycled SmCo5 powders and four times the energy product. This work shows that magnetic filaments made by encapsulating exchange-coupled magnetic nanocomposite powders in PA11 may be a viable option for the production of 3D-printed isotropic bonded magnets, as the high energy product and remanence especially can lead to a reduction in both magnetic powder quantity and rare earth elements required for high performance magnetic filaments. This in turn may reduce costs and improve sustainability.

1. Introduction

In today’s world, high-performance permanent magnets (HPPMs) are of vital importance for advanced devices and technologies, which demand high energy in low volumes. However, between the excellent performance of high-performance permanent magnets and those of classic alnico or ferrite-type magnets there is quite a wide gap: from 500 kJ/m3 to below 100 kJ/m3 [1]. On the other hand, there are a large number of devices and applications that require permanent magnets whose performance is in this range. A variant to meet these demands is represented by bonded magnets, in which different organic polymers bond the HPPM magnetic powder. This method offers two important advantages: smaller quantities of expensive magnetic powders and, very importantly, very accessible technology, resulting in much cheaper magnets than HPPMs [2,3].
Exchange-coupled nanocomposites were described by Kneller and Hawing [4] over thirty years ago. In these materials, the magnetic moments of a soft magnetic phase are coupled trough exchange interaction with the magnetic moments of a hard magnetic phase (a phase with high magnetocristalline anisotropy). It was shown that if the soft magnetic inclusion is not larger than twice the magnetic domain wall width of the hard magnetic phase, then the soft phase moments can be stiffened by the adjacent material with high anisotropy. The main draw of these materials was the observation that in hard–soft exchange-coupled nanocomposites, the maximum theoretical energy product (the amount of energy stored by the magnet) could be twice that of the current generation of permanent magnets, 1 MJ [5]. Such an advance is very desirable for most applications where miniaturization is important. Take, for example, wind turbines, where magnetic materials make up a significant quantity of the suspended weight. Moreover, such an approach is also poised to be economical, as the fraction of soft magnetic phase is generally a cheap and available material such as Fe, as compared to modern high-performance magnets which contain large proportions of rare earth elements. Though significant strides have been made in this area of research, one crucial problem which needs to be overcome in order to produce commercially viable exchange-coupled nanocomposite magnets is the fact that it is very difficult to produce anisotropic materials, with some of the best results so far in thin films [6] of around 500 kJ/m3 and nanoparticles [7] of over 230 kJ/m3, quite far off from the promised value of 1 MJ/m3.
Because in recent years 3D printing has become ubiquitous, on the one hand, and due to the fact that isotropic bonded magnets still make up a large portion of the magnetic materials market [1], on the other hand, we propose to “marry” the two presented ideas into one. While commercial magnetic filaments for FDM 3D printing exist, magnetic filaments made using exchange-coupled nanocomposites could present significant advantages. The predicted higher magnetization of nanocomposites means that a lower ration of metal powder to polymer can potentially be used in fabrication, which should help with the mechanical properties of the produced parts, while on the other hand, if the ratio is maintained, the magnetic performance should be improved, while the materials cost decreases, as the nanocomposite powder has a lower rare earth ratio than conventional high-performance magnetic materials. These types of polymer/magnetic-nanocomposite filaments should be a cost-effective method for the production of magnets with complex geometries, rapid prototyping and small series production, primarily in industry. However, even individuals with a home 3D printer may reap benefits.
While the current market provides access to iron-based soft magnetic filaments and various ferrite-based composites, neither fulfills the requirements for high-performance applications. Ferrite-based filaments are advantageous due to their stability, ease of manufacture and cost-effectiveness; however, they are fundamentally limited by low saturation magnetization and remanence, resulting in insufficient magnetic flux densities. To achieve higher performance, research has pivoted toward NdFeB/polymer composites. Yet, these materials face significant sustainability and supply-chain constraints, as the extraction of rare earths involves ecologically damaging processes and remains subject to geopolitical volatility [1]. Therefore, we propose the use of exchange-coupled nanocomposites in the production of magnetic filaments, as their improved energy product and magnetization should yield good magnetic performance (high flux especially) with a lower consumption of rare earth. Moreover, the rare earth content is also reduced by the addition of cheap and available soft magnetic phases such as Fe.
To this end, we have selected polyamide 11 (PA11) as the polymer matrix, because it operates at temperatures common to most applications (up to 200 °C) and provides excellent corrosion resistance along with good mechanical properties. The corrosion resistance is very important, as it prevents the oxidation of the magnetic powders, while the temperature resistance ensures the correct operation of the materials inside hot environments, such as near an engine or near moving parts which may heat up due to mechanical friction. For the exchange-coupled nanocomposite, we have selected a SmCo5 + 20 wt% Fe system, as it can be effectively produced in sufficient quantity for this study [8]. For comparison, we have also studied the properties of commercial SmCo5 and recycled SmCo5 powders encapsulated in the PA11 matrix.
Because this study contains two types of magnetic powders which, amongst other things, are aimed at increased sustainability, the choice of nylon 11 is deliberate, as it is produced from renewable materials, which makes it a more sustainable material compared to other types of engineering polyamides such as PA6 or PA12.

2. Materials and Methods

Four filaments, for fused deposition modeling 3D printing, were produced for this study: (i) pure nylon–polyamide 11 (PA11 Sigma Aldrich, Burlington MA, USA, 3 mm pellets), (ii) commercial SmCo5 (production supply, 99% purity; MAGNETI Ljubljana d.d., Ljubljana, Slovenia, jet-milled particles <40 µm) covered with PA11 and (iii) SmCo5 recycled [9] from production magnets by hydrogen decrepitation (HD-SmCo5) covered with PA11 and SmCo5/Fe exchange-coupled nanocomposite powders covered with PA11.
The commercial SmCo5 and Fe (size < 40 μm 99.5% purity; Högnäs AB, Högnäs Sweden) powders were mixed in a 4:1 weight ratio for 30 min using a Turbula-type mixer (In-house construction). The exchange-coupled nanocomposite powders were produced by mechanically milling (MM) the powder mixture for 6 h in a Pulverisette 4 (classic line) planetary ball mill produced by FRITSCH GmbH (Idar-Oberstein, Germany). The milling media were 80 mL 440C steel vials filled with 26 steel balls, 10 mm in diameter, each. The main-disk-to-planet-disk speed ratio was set at −333 rpm/900 rpm. The MM powder was annealed at 600 °C for 30 min as described in [8]. This annealing was chosen as our previous work showed it to be a good choice for the synthesis of the composite alloy powders [8,10]. Moreover, 30 min annealing time allows for the production of larger quantities of powder required for this study. Finally, the annealed powders had their particle sizes reduced to below 50 microns, by repeated manual grinding and dry sieving through progressively smaller sieves. This was performed in order to prevent jamming during the extrusion process.
The powders were incorporated into nylon 11 by liquid–liquid phase separation and precipitation as described in previous work [11]. For consistency, the same batch of solvent was used for all samples. One sample without magnetic powder (only PA 11) was also produced, for comparison.
The polymer-coated magnetic nanocomposites were extruded using a Filastruder (Snellville, GA, USA) extruder kit (standard kit, operating at manufacturer recommended settings, upgraded with a wear-resistant hardened steel nozzle). The extrusion was carried out at 210 °C (nozzle temperature). The diameter of the composite filaments was 1.20(2) mm. Although standard filament size is 1.7 mm, attempts to produce thicker filaments resulted in jams. However, the 1.2 mm diameter filament was checked on a printer equipped with a Titan extruder and 0.4 mm volcano nozzle (E3D-Online Ltd., Oxfordshire, United Kingdom), and no issues were detected as long as the correct diameter was input in the slicing software (Cura Slicer 5.9).
The density of the produced filaments was measured by the specific gravity method, on a high-precision balance. The buoyant liquid used was isopropanol with a density of 787 kg/m3.
X-Ray Diffraction (XRD) was performed on a Bruker (Bruker AXS GmbH, Karlsruhe, Germany) D8 Advance diffractometer, equipped with a Cu Kα source.
Scanning electron microscopy (SEM) was performed using a Jeol-JSM 5600 LV (JEOL Ltd., Tokyo, Japan) microscope, equipped with an energy dispersive X-ray spectrometer (EDX)—UltimMAX65 (Oxford Instruments, High Wycombe, Buckinghamshire, United Kingdom).
Differential Scanning Calorimetry (DSC) ant Thermogravimetry (TGA) were simultaneously recorded with a TA-Instruments Q600 STA (TA Instruments, New Castle, DE, USA). Measurements were performed in air flow of 200 mL/min and at a heating rate of 10 °C/min.
Mechanical testing was carried out using a Mecmesin (Horsham, United Kingdom) OnmiTest single-column materials tester.
Magnetic measurements were performed using a vibrating sample magnetometer produced by Cryogenic (Cryogenic limited. London, UK).

3. Results and Discussions

The XRD patterns for PA11 and for the covered magnetic particles are shown in Figure 1. It can be clearly seen that the polymer exists in all samples (large intense peaks in the left side of the figure). Also, clearly visible are the peaks corresponding to SmCo5, both in the sample made using commercial SmCo5 powder and in the sample made using recycled SmCo5 powder. In the case of the SmCo5/Fe nanocomposites, since it is a nanocrystalline material, the peaks corresponding to SmCo5 and Fe are still visible but much wider than in the other cases. A consequence of this fact is that the signal-to-noise ratio for the magnetic nanocomposite powder is much smaller than for the other two patterns. Due to the noise added by the polymer, crystallite sizes could not be evaluated adequately, but they should be in concordance with previous work [8].
The SEM images for the pure PA11 particles are given in Figure 2. From Figure 2a, we can see that the particles are agglomerated, due to the drying process. On visual inspection, the polymer formed clumps, but light crushing between the fingers produced a very fine powder. Figure 2b shows that the polymer particle sizes are around 50 microns.
The SEM images of the covered (commercial) SmCo5 particles, Figure 3a, show agglomerations on the order of 100 microns. However, the EDX maps, Figure 3b, show that the large clumps contain metallic particles of approximately 50 microns in size (spectra for Sm and Co), which are covered by a thick polymer layer (N spectra). No signs of phase separation between Sm and Co were detected.
The microscopy images for the recycled SmCo5 powders covered with PA11, Figure 4a, show again agglomerations of particles. The EDX maps, Figure 4b, show again that the HD-SmCo5 particles are approximately 50 microns in size (Sm and Co spectra) and are covered with a thick layer of polymer (N spectra). It is also possible that some parts of the magnetic powders, or entire particles, are not visible under the insulating polymer layer.
SEM images for the polymer-coated nanocomposite powders, Figure 5a, show agglomerations of particles. The particle sizes within the agglomerated structures range between 30 microns and 40 microns. The EDX maps confirm that the nanocomposite particles are 20 to 30 microns in size (Sm and Co spectra). The maps also show that the particles are homogeneous. At the micrometer scale, the Fe, Co and Sm compositional maps overlap. The nitrogen distribution appears all around the metals, which show that the polymer has successfully coated the magnetic nanocomposite.
In the case of all of the magnetic/polymer composites, while we do see large agglomerations, the size of the polymer particles decreases, compared to the case of pure PA11. In the provided images (Figure 3a, Figure 4a and Figure 5a), we can make out particles of 50 microns down to only a few microns; however, most seen particles fall in the 20–30-micron range. The change in particle size, from a relatively even distribution of particles sizes (of around 50 microns) for pure PA11 (Figure 3) to a smaller and uneven distribution, when adding magnetic powder particles, is most likely due to the fact that we are introducing a large amount of particle surface area on which heterogeneous nucleation of the polymer may take place. Since heterogeneous nucleation is generally significantly more facile, it is reasonable to expect the formation of more yet smaller particles. On the other hand, this heavily implies that the polymers come out of solution on the surface of the magnetic particles and coat them during cooling.
Microscopic investigation of the extruded filaments (final diameter was 1.20(2) mm) was attempted. However, the beam in this case could not resolve the distribution of the metallic particles, and only the polymer was visible. As this data is not particularly interesting, or enlightening, it was not included.
The density after extrusion is given in Table 1. The pure PA 11 is given as reference for the measurement. The manufacturer quotes a density of 1026 kg/m3, with our obtained value of 1027 kg/m3 being within less than 0.1% of the reference. This close result also validates that the extrusion process has been set up well and that the polymer extrudes without significant voids, due to possible boiling-off of the water content. From the densities, we could confirm that the magnetic powder content within the extruded materials is 7% by volume, as can be observed comparing the density of the magnetic powders to that of the pure PA11, as in Table 1. These results are consistent with previous findings for PA12-covered particles [11].
The DSC measurements on all the extruded filaments, as seen in Figure 6a, show no significant differences in the melting temperature of the extruded polymer and polymer–particle composites, as all samples have a melting temperature of 190 °C. Due to the large magnitude of the peak associated with the ignition of PA11, which overwhelms all other data, the DSC plots end at 250 °C. The combustion of the polymers can be observed in the TGA measurements, shown in Figure 6b. For all samples, burning begins at 400 °C. In the case of the virgin PA11 samples, both un-extruded and extruded, combustion is complete at 700 °C, as the sample weight reaches zero. In the case of the powder/polymer composite filaments, 40% of the mass remains after burning off the nylon, which is consistent with the estimated 7% fill factor (by volume) and with the initial weighing of the samples which yielded 38% magnetic powder and 62% PA11 by mass.
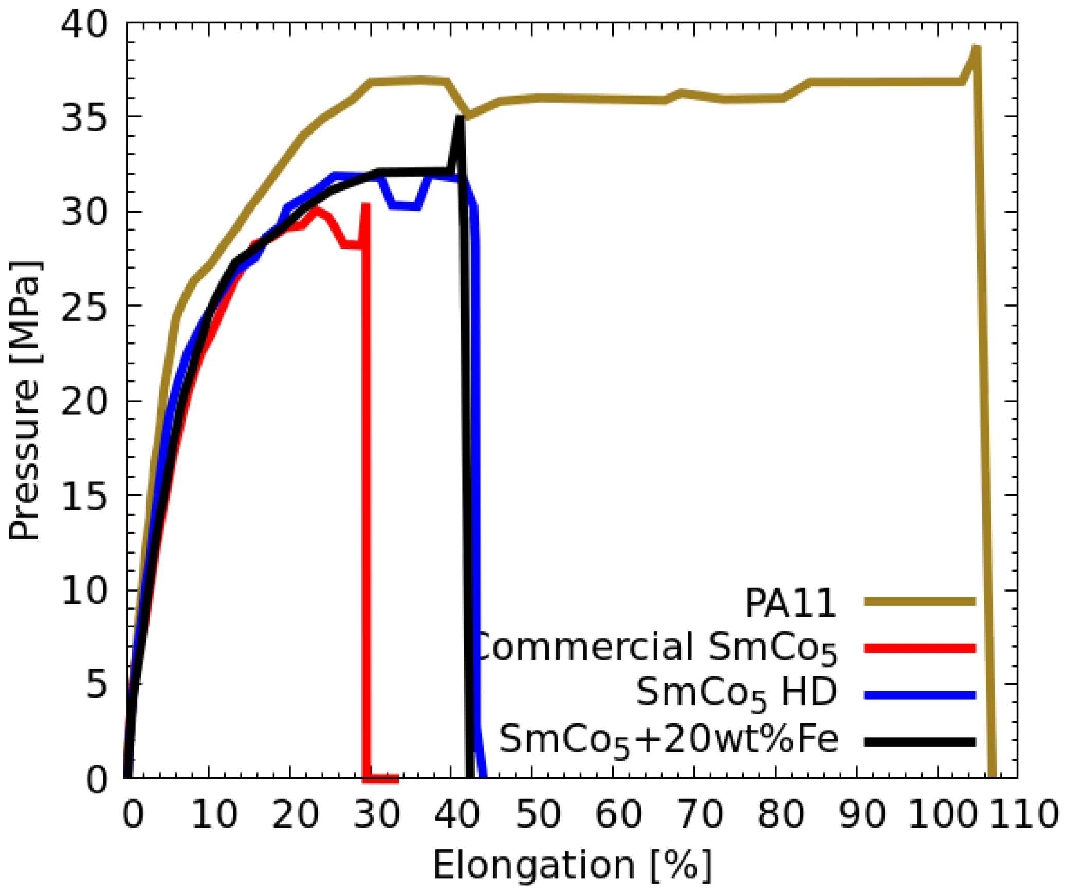
Tensile strength measurements are shown in Figure 7 for the samples after extrusion. The test was performed on nonstandard samples (just lengths of filament), which resulted in slightly noisier data. The extruded pure PA11 filament has the best performance, with a tensile strength of 37 MPa and a maximum elongation of over 100%. The filaments containing recycled SmCo5 and SmCo5/Fe exchange-coupled nanocomposites have slightly poorer performance, a tensile strength of 32 MPa and a maximum elongation of slightly over 40%. Surprisingly, the worst performing filament is the one with encapsulated commercial SmCo5 powder, with the lowest tensile strength of 30 MPA and lowest maximum elongation of only 30%. This fact may be due to the formation of large agglomerations after the coating process, as can be seen from the SEM images in Figure 3. For all samples, the reversible elongation region (linear region in the graph) is up to approximately 8% elongation.
The demagnetization curves recorded at 300 K for the extruded filaments which contain magnetic particles are shown in Figure 8. The volume magnetization, demonstrated in Figure 8a, shows the same saturation magnetization (Ms) for the commercial SmCo5 and the recycled HD-SmCo5. However, the coercive fields are vastly different, with the recycled material having a high coercive field (Hc), while the commercial version has a much lower coercivity. In stark contrast, the SmCo5/Fe exchange-coupled nanocomposite sample, made using the commercial SmCo5 powder, has much larger saturation magnetization and remanence than both other samples, with its coercivity falling only slightly short of that of the recycled material. The picture is much the same when we normalize the data to the mass of the encapsulated powder, as shown in Figure 8b. Here, we can more clearly see that the samples made with SmCo5 both have a saturation magnetization of around 80 Am2/kg, which is consistent with other results in the literature [12], while the exchange-coupled nanocomposite SmCo5/Fe sample has a saturation magnetization close to 130 Am2/kg, again consistent with previous values obtained in the literature [10]. The lower coercive field of the sample made using commercial SmCo5 powder could be explained by the different morphology of the samples, as shown in Figure 3, Figure 4 and Figure 5. Otherwise, even though all samples were made in the same manner, we can hypothesize that the SmCo5 sample (with different morphology) has oxidized a bit more than the others. This, however, is hard to prove, as the signal-to-noise ratio in the XRD is too poor to detect small amounts of oxides, and the EDX measurements, while somewhat sensitive to oxygen, cannot discern whether the oxygen comes from the polymer or the magnetic particles. It could be that the recycled particles, obtained by HD, may be more resistant to oxidation after the HD process [13,14]. On the other hand, exchange-coupled nanocomposites are known to have higher corrosion resistance [15], due to the additional iron.
The relevant values from the demagnetization curves are summarized in Table 2. It can be seen that the saturation magnetization and remanence of the filament with encapsulated SmCo5/Fe exchange-coupled nanocomposites are nearly double that of the next best performing sample, PA11 + HD-SmCo5. Moreover, the Hc of the SmCo5/Fe sample is only 20% less than the best result in the list (PA11 + HD-SmCo5). Last but not least, the energy products for the three magnetic filaments are given. The (BH)max value of the filament produced with virgin material is very low, only 11 J/m3. The recycled material performs adequately with an energy product of 160 J/m3, while the nanocomposite shows a four-fold increase over it with an energy product of 630 J/m3. We may compare our values with paper [16], which used the industry standard material, Nd-Fe-B, encapsulated within PEEK (another engineering polymer, but one which is harder to print than PA11). We see that the filament made from recycled materials is comparable to the NdFeB/PEEK filament made with 25 wt% magnetic powder, while the nanocomposite filament is comparable to the 50 wt% NdFeB filament (750 J/m3). The latter is a very good result, especially considering our weight fraction is only 38% magnetic material. Moreover, the coercive field is double that of the cited material. Lastly, the remanence of the nanocomposites exceeds the remanence of the NdFeB filament by 18%. This means that the energy product in the nanocomposites is hampered by some inefficient exchange coupling, probably due to some oxidation. On the bright side, this means that we can improve the magnetic performance of the composite filaments.
The curves showing the derivative versus field of magnetization for the three filaments are given in Figure 9. For the sample made with SmCo5, we can see that most reversal processes take place around zero field, with the peak maximum being at 0 T. Moreover, for this sample, we can see that most reversal processes take place between 1 T and −1 T. On the other hand, when using recycled SmCo5, we can see that the reversal processes are spread over a much larger field range. For the filament containing HD-SmCo5, the maximum of reversal is centered around −1.2 T, with a secondary high field peak at −1.5 T. Both high field peaks indicate good magnetic performance for the permanent magnet use case. However, the HD sample also shows a small bump in the curve, centered around 0 T. This latter feature is indicative of soft magnetic behavior and may be due to the presence of some oxygen in the recycled SmCo5 or possibly oxidation leading to the decomposition of the 1:5 phase into some Sm-oxide along with Co. The latter, Co, is comparatively, magnetically soft. Lastly, the filament produced using exchange-coupled SmCo5/Fe powder shows a very intense peak centered around an applied magnetic field value of −1 T. It should be noted that this sample also presents a bump centered around 0 T, which we again assume is due to some oxidation, which produces decoupled Fe and Co. Once more, we would like to state that the amount of oxidation is hard to quantify for the aforementioned reasons and that the oxide most likely forms during the PA11 precipitation process. Given the fact that we are dealing with micron-sized particles, which are nanostructured, it is reasonable to assume that oxidation is mostly superficial. Given that we only see the oxidation of HD-SmCo5 and nanocomposite particles, the dM/dH vs. H plots (Figure 9) reinforce the superficial oxidation idea, as if oxygen would penetrate deep into the particles we would see a more significant drop in magnetic performance, which would be clearly visible in the M(H) plots in Figure 8.
All in all, even if some oxidation/decoupled soft phase is present in the exchange-coupled nanocomposites, it presents the largest saturation magnetization and remanence of the three samples, and it presents the most intense peak in the derivative of the magnetization. Therefore, even if there are improvements which can be made to the coating and extrusion processes, the magnetic filaments made using SmCo5/Fe magnetic nanocomposite powders show great promise for applications using 3D-printed isotropic bonded magnets.

4. Conclusions

This study successfully presents a novel approach to producing high-performance magnetic filaments for 3D printing by embedding SmCo5/Fe exchange-coupled nanocomposites powders into a renewable polyamide 11 (PA11) matrix. The liquid–liquid phase separation and precipitation method proved effective for coating these nanostructured particles.
The resulting SmCo5/Fe exchange-coupled nanocomposite filaments exhibit significant magnetic advantages over those made with standard or recycled materials. They achieve nearly double the saturation magnetization and remanence compared to filaments containing commercial or recycled SmCo5 powders. These filaments maintained a high coercive field of 1 T and reached an energy product (BH)max of 630 J/m3, representing a four-fold increase over recycled SmCo5 filaments (second best result).
Despite the promising magnetic performance, several challenges were identified during the synthesis and extrusion processes, like the presence of some small amounts of decoupled soft phases (Fe and Co), probably due to superficial oxidation of the magnetic particles during the coating process. Also, while the filaments remain viable for 3D printing, the addition of magnetic powders leads to a slight decrease in mechanical properties, specifically lower tensile strength and reduced maximum elongation compared to pure PA11. SEM imaging revealed large agglomerations (up to 100 microns) in some samples, which may contribute to the observed reduction in mechanical performance
Due to the relatively large remanence and significant coercivity, isotropic 3D-printed SmCo5/Fe exchange-coupled nanocomposites (encapsulated in PA11) may be competitive with other types of isotropic bonded magnets. By using Fe as a soft magnetic phase and a bio-based polymer (PA11), these filaments reduce the overall requirement for expensive and ecologically damaging rare earth elements.
To further advance the commercial and industrial viability of these isotropic bonded magnets, future research should focus on oxidation prevention and mechanical optimization. A detailed analysis of the oxidation during the coating process could lead to potentially enhancing exchange coupling and further increasing the energy product.

Author Contributions

Conceptualization, R.H.; methodology, R.H. and R.B.; investigation, R.H., F.P., S.M. and C.L.; writing—original draft preparation, R.H., R.D. and V.P.; writing—review and editing, R.H. and R.D.; supervision, V.P. All authors have read and agreed to the published version of the manuscript.

Funding

This research was funded by the Romanian Ministry of Research, Innovation and Digitalization, grant PN-III-P2-2.1-PED-2019-4696.

Data Availability Statement

The raw data supporting the conclusions of this article will be made available by the authors on request.

Acknowledgments

We would like to thank our dear departed colleague Gabriela Souca for her help and support.

Conflicts of Interest

The authors declare no conflicts of interest.

References

  1. Coey, J.M.D. Perspective and Prospects for Rare Earth Permanent Magnets. Engineering 2020, 6, 119–131. [Google Scholar] [CrossRef]
  2. Huber, C.; Abert, C.; Bruckner, F.; Groenefeld, M.; Muthsam, O.; Schuschnigg, S.; Sirak, K.; Thanhoffer, R.; Teliban, I.; Vogler, C.; et al. 3D print of polymer bonded rare-earth magnets, and 3D magnetic field scanning with an end-user 3D printer. Appl. Phys. Lett. 2016, 109, 162401. [Google Scholar] [CrossRef]
  3. Palmero, E.M.; Rial, J.; de Vicente, J.; Camarero, J.; Skårman, B.; Vidarsson, H.; Larsson, P.O.; Bollero, A. Development of permanent magnet MnAlC/polymer composites and flexible filament for bonding and 3D-printing technologies. Sci. Technol. Adv. Mater. 2018, 19, 465–473. [Google Scholar] [CrossRef] [PubMed]
  4. Kneller, E.F.; Hawig, R. The exchange-spring magnet: A new material principle for permanent magnets. IEEE Trans. Magn. 1991, 27, 3588–3600. [Google Scholar] [CrossRef]
  5. Skomski, R.; Coey, J.M.D. Nucleation field and energy product of aligned two-phase magnets—Progress towards the ‘1 MJ/m3’ magnet. IEEE Trans. Magn. 1993, 29, 2860–2862. [Google Scholar] [CrossRef]
  6. Wei-Bin Cui, C.; Takahashi, Y.K.; Hono, K.; Cui, W.B.; Takahashi, Y.K.; Hono, K. Nd2Fe14B/FeCo Anisotropic Nanocomposite Films with a Large Maximum Energy Product. Adv. Mater. 2012, 24, 6530–6535. [Google Scholar] [CrossRef]
  7. Quan, W.; Yao, L.; Zheng, Q.; Si, P.; Bian, B.; Du, J. High-Performance Anisotropic Nanocomposites with a Novel Core/shell Microstructure. ACS Appl. Mater. Interfaces 2022, 14, 15558–15564. [Google Scholar] [CrossRef] [PubMed]
  8. Hirian, R.; Mican, S.; Isnard, O.; Pop, V. The influence of short time heat treatment on the magnetic behaviour of SmCo5/α-Fe nanocomposite obtained by mechanical milling. J. Optoelectron. Adv. Mater. 2022, 24, 594–598. Available online: https://www.webofscience.com/wos/woscc/full-record/WOS:000921594000012 (accessed on 26 November 2025).
  9. Eldosouky, A.; Škulj, I. Recycling of SmCo5 magnets by HD process. J. Magn. Magn. Mater. 2018, 454, 249–253. [Google Scholar] [CrossRef]
  10. Hirian, R.; Neamţu, B.V.; Ferenczi, A.; Isnard, O.; Chicinaş, I.; Pop, V. Effect of spark plasma sintering on the interphase exchange coupling in SmCo5+20%Fe hard/soft nanocomposites. Rom. J. Phys. 2020, 65, 603. [Google Scholar]
  11. Hirian, R.; Bortnic, R.; Popa, F.; Gutoiu, S.; Benea, D.; Souca, G.; Pop, V. 3D printed magnets with custom field geometry, produced using SmCo5/Fe exchange coupled nanocomposites. Curr. Appl. Phys. 2023, 51, 39–43. [Google Scholar] [CrossRef]
  12. Khazdozian, H.A.; Manzano, J.S.; Gandha, K.; Slowing, I.I.; Nlebedim, I.C. Recycled Sm-Co bonded magnet filaments for 3D printing of magnets. AIP Adv. 2018, 8, 056722. [Google Scholar] [CrossRef]
  13. Chakraborty, A.; Kapun, G.; Pop, V. Magnetic Properties of SmCo5+10%Fe Exchange Coupled Nanocomposites Produced from Recycled. Nanomaterials 2020, 10, 1308. [Google Scholar] [CrossRef] [PubMed]
  14. Eldosouky, A.; Ikram, A.; Mehmood, M.F.; Xu, X.; Sturm, S.; Zuzek Rozman, K.; Skulj, I. Hydrogen Decrepitation and Spark Plasma Sintering to Produce Recycled SmCo5 Magnets with High Coercivity. IEEE Magn. Lett. 2018, 9, 5503504. [Google Scholar] [CrossRef]
  15. Rada, M.; Lyubina, J.; Gebert, A.; Gutfleisch, O.; Schultz, L. Corrosion behavior of Nd-Fe-B/α-Fe nanocomposite magnets. J. Magn. Magn. Mater. 2005, 290–291, 1251–1254. [Google Scholar] [CrossRef]
  16. Pigliaru, L.; Rinaldi, M.; Ciccacci, L.; Norman, A.; Rohr, T.; Ghidini, T.; Nanni, F. 3D printing of high performance polymer-bonded PEEK-NdFeB magnetic composite materials. Funct. Compos. Mater. 2020, 1, 4. [Google Scholar] [CrossRef]
Figure 1. XRD patterns for PA11 (nylon 11) and SmCo5, HD-SmCo5 and SmCo5/Fe covered with PA11. The database patterns for SmCo5 and Fe are also given as reference. The scale between 10° and 30° is 10 times smaller than the rest of the pattern, as the peaks for PA11 are very intense.
Figure 1. XRD patterns for PA11 (nylon 11) and SmCo5, HD-SmCo5 and SmCo5/Fe covered with PA11. The database patterns for SmCo5 and Fe are also given as reference. The scale between 10° and 30° is 10 times smaller than the rest of the pattern, as the peaks for PA11 are very intense.
Jcs 10 00020 g001
Figure 2. SEM images of synthesized nylon 11 micro-particles at a scale of (a) 500 microns and (b) 100 microns.
Figure 2. SEM images of synthesized nylon 11 micro-particles at a scale of (a) 500 microns and (b) 100 microns.
Jcs 10 00020 g002
Figure 3. SEM image of SmCo5 particles, embedded in nylon 11 (a) and corresponding EDX map (b). N spectrum is used to map the polymer distribution.
Figure 3. SEM image of SmCo5 particles, embedded in nylon 11 (a) and corresponding EDX map (b). N spectrum is used to map the polymer distribution.
Jcs 10 00020 g003
Figure 4. SEM image of HD-SmCo5 particles, embedded in nylon 11 (a) and corresponding EDX map (b). N spectrum is used to map the polymer distribution.
Figure 4. SEM image of HD-SmCo5 particles, embedded in nylon 11 (a) and corresponding EDX map (b). N spectrum is used to map the polymer distribution.
Jcs 10 00020 g004
Figure 5. SEM image of SmCo5/Fe nanocomposite particles, embedded in nylon 11 (a) and corresponding EDX map (b). N spectrum is used to map the polymer distribution.
Figure 5. SEM image of SmCo5/Fe nanocomposite particles, embedded in nylon 11 (a) and corresponding EDX map (b). N spectrum is used to map the polymer distribution.
Jcs 10 00020 g005
Figure 6. DSC (a) and TGA (b) measurements on PA11, SmCo5, HD-SmCo5 and SmCo5/Fe nanocomposite filaments. One measurement on virgin (before extrusion) PA11 is also given.
Figure 6. DSC (a) and TGA (b) measurements on PA11, SmCo5, HD-SmCo5 and SmCo5/Fe nanocomposite filaments. One measurement on virgin (before extrusion) PA11 is also given.
Jcs 10 00020 g006
Figure 7. Tensile strength measurements of PA11, SmCo5, HD-SmCo5 and SmCo5/Fe filaments.
Figure 7. Tensile strength measurements of PA11, SmCo5, HD-SmCo5 and SmCo5/Fe filaments.
Jcs 10 00020 g007
Figure 8. Demagnetization curves for SmCo5, HD-SmCo5 and SmCo5/Fe filaments, normalized by total volume of the sample (a) and normalized to the powder mass in each filament (b).
Figure 8. Demagnetization curves for SmCo5, HD-SmCo5 and SmCo5/Fe filaments, normalized by total volume of the sample (a) and normalized to the powder mass in each filament (b).
Jcs 10 00020 g008
Figure 9. dM/dH vs. H curves for SmCo5, HD-SmCo5 and SmCo5/Fe filaments normalized to the powder mass in each filament.
Figure 9. dM/dH vs. H curves for SmCo5, HD-SmCo5 and SmCo5/Fe filaments normalized to the powder mass in each filament.
Jcs 10 00020 g009
Table 1. Measured density of produced filaments. Density of PA11 and magnetic powder is also given.
Table 1. Measured density of produced filaments. Density of PA11 and magnetic powder is also given.
SampleDensity
[kg/m3]
Polyamide 11 (PA11)1027
HD-SmCo5 + PA111535
Commercial SmCo5 + PA111531
SmCo5/Fe + PA111520
Magnetic Powder8056
Table 2. Summary of magnetic properties for SmCo5, HD-SmCo5 and SmCo5/Fe filaments.
Table 2. Summary of magnetic properties for SmCo5, HD-SmCo5 and SmCo5/Fe filaments.
SampleHc [T]Mr [kA/m]Ms [kA/m](BH)max [J/m3]
PA11 + Commercial SmCo50.096.525.511
PA11 + Recycled SmCo5 (HD)1.262633.7160
PA11 + SmCo5/Fe nanocomposites14665.4630
Disclaimer/Publisher’s Note: The statements, opinions and data contained in all publications are solely those of the individual author(s) and contributor(s) and not of MDPI and/or the editor(s). MDPI and/or the editor(s) disclaim responsibility for any injury to people or property resulting from any ideas, methods, instructions or products referred to in the content.

Share and Cite

MDPI and ACS Style

Hirian, R.; Dudric, R.; Bortnic, R.; Popa, F.; Macavei, S.; Leostean, C.; Pop, V. Properties of Composite Magnetic Filaments for 3D Printing, Produced Using SmCo5/Fe Exchange-Coupled Nanocomposites. J. Compos. Sci. 2026, 10, 20. https://doi.org/10.3390/jcs10010020

AMA Style

Hirian R, Dudric R, Bortnic R, Popa F, Macavei S, Leostean C, Pop V. Properties of Composite Magnetic Filaments for 3D Printing, Produced Using SmCo5/Fe Exchange-Coupled Nanocomposites. Journal of Composites Science. 2026; 10(1):20. https://doi.org/10.3390/jcs10010020

Chicago/Turabian Style

Hirian, Razvan, Roxana Dudric, Rares Bortnic, Florin Popa, Sergiu Macavei, Cristian Leostean, and Viorel Pop. 2026. "Properties of Composite Magnetic Filaments for 3D Printing, Produced Using SmCo5/Fe Exchange-Coupled Nanocomposites" Journal of Composites Science 10, no. 1: 20. https://doi.org/10.3390/jcs10010020

APA Style

Hirian, R., Dudric, R., Bortnic, R., Popa, F., Macavei, S., Leostean, C., & Pop, V. (2026). Properties of Composite Magnetic Filaments for 3D Printing, Produced Using SmCo5/Fe Exchange-Coupled Nanocomposites. Journal of Composites Science, 10(1), 20. https://doi.org/10.3390/jcs10010020

Article Metrics

Back to TopTop