Sign in to use this feature.

Years

Between: -

Subjects

remove_circle_outline
remove_circle_outline
remove_circle_outline
remove_circle_outline
remove_circle_outline
remove_circle_outline
remove_circle_outline
remove_circle_outline
remove_circle_outline

Journals

Article Types

Countries / Regions

Search Results (227)

Search Parameters:
Keywords = polyamide 6 (PA6)

Order results
Result details
Results per page
Select all
Export citation of selected articles as:
17 pages, 3184 KB  
Article
Numerical Simulation for Lightweight Design of a Liquid Hydrogen Weighing Tank for Flow Standard
by Xiang Li, Menghui Wu, Xianlei Chen, Yu Meng, Xiaobin Zhang, Weijie Chen, Shanyi Xu, Naifeng Nie, Yongcheng Zhu, Jianan Zhou, Yanbo Peng, Yalei Zhao, Chengxu Tu and Fubing Bao
Appl. Sci. 2026, 16(2), 1111; https://doi.org/10.3390/app16021111 - 21 Jan 2026
Viewed by 55
Abstract
To improve the accuracy of gravimetric liquid hydrogen flow standard devices, the self-weight of the weighing tank must be minimized, because the total mass of the liquid hydrogen contained in the tank is far smaller than the structural mass of the tank itself, [...] Read more.
To improve the accuracy of gravimetric liquid hydrogen flow standard devices, the self-weight of the weighing tank must be minimized, because the total mass of the liquid hydrogen contained in the tank is far smaller than the structural mass of the tank itself, which severely compromises the sensitivity of gravimetric measurement. In this study, a three-dimensional finite element model of a vacuum-insulated liquid-hydrogen weighing tank was developed in ABAQUS. The inner and outer shells were modeled with 06Cr19Ni10 (304) and 06Cr17Ni12Mo2 (316) austenitic stainless steels, and Polyamide 6 (PA6) was used for the internal support. Three operating stages were considered: evacuation of the annulus (interlayer pressure reduced from 0.1 MPa to 0 MPa), pre-cooling to −253 °C, and pressurization of the inner tank (internal pressure increased from 0.1 MPa to 1 MPa). The equivalent stress and deformation were compared for different materials and wall thicknesses to evaluate structural safety and weight-reduction potential. The proposed configuration (inner shell 1.6 mm and outer shell 1.0 mm) achieves a mass reduction of more than 50% relative to the 3 mm minimum wall thickness commonly adopted for cryogenic vessels, while keeping stresses below the allowable limits. This reduction enables the use of higher-resolution load cells and thereby lowering the measurement uncertainty of the liquid hydrogen flow standard device and providing technical support for lightweight and cost-effective design, with potential applicability to other cryogenic tank systems. Full article
Show Figures

Figure 1

11 pages, 3065 KB  
Article
Study on Hydrolytic Degradation of Polyester and Polyamide in Basic Solutions at High Temperatures
by Haotian Fan, Haibo Wang, Zhiyuan Tian, Jiaxin Shi, Wei He, Duo Qi, Baohua Guo and Jun Xu
Polymers 2025, 17(23), 3090; https://doi.org/10.3390/polym17233090 - 21 Nov 2025
Viewed by 944
Abstract
Plugging materials play a crucial role in oil production. Current development of temporary plugging agents still faces challenges such as insufficient sealing strength, poor temperature resistance, and complex manufacturing processes. To enable barrier materials for higher-temperature applications, we extensively studied the hydrolysis processes [...] Read more.
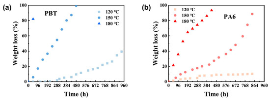
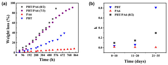
Plugging materials play a crucial role in oil production. Current development of temporary plugging agents still faces challenges such as insufficient sealing strength, poor temperature resistance, and complex manufacturing processes. To enable barrier materials for higher-temperature applications, we extensively studied the hydrolysis processes of aliphatic polyesters, polyamides, and thermosetting resins at different temperatures, analyzing the hydrolysis mechanisms of representative poly (butylene terephthalate) (PBT) and polyamide 6 (PA6). Inspired by the etching effect inspired by wood decay under humid environments, PBT was selected as the continuous phase to design and prepare a PBT/PA6 blend exhibiting physicochemical synergistic effects. The results indicate that PBT/PA6 blends exhibit significantly faster hydrolysis characteristics at 120 °C compared to pure thermoplastic polyesters. We found this to be the result of a synergistic effect where the terminal amine groups released during PA6 hydrolysis catalyze PBT hydrolysis, while the etching effect of the PBT continuous phase during hydrolysis accelerates PA6 hydrolysis. This study innovatively integrates physical–chemical synergistic effects, proposing a material design strategy that significantly enhances degradation rates. Full article
(This article belongs to the Section Polymer Analysis and Characterization)
Show Figures

Graphical abstract

42 pages, 35755 KB  
Article
A Guide for Industrial Needleless Electrospinning of Synthetic and Hybrid Nanofibers
by Baturalp Yalcinkaya and Matej Buzgo
Polymers 2025, 17(22), 3019; https://doi.org/10.3390/polym17223019 - 13 Nov 2025
Cited by 2 | Viewed by 1202
Abstract
This study presents a comprehensive investigation into the large-scale production of synthetic and hybrid (nanoparticle-loaded) nanofibers using needleless electrospinning. A diverse range of polymers, including polyamide 6 (PA6) and its other polymer combinations, recycled PA6, polyamide 11 (PA11), polyamide 12 (PA12), polyvinyl butyral [...] Read more.
This study presents a comprehensive investigation into the large-scale production of synthetic and hybrid (nanoparticle-loaded) nanofibers using needleless electrospinning. A diverse range of polymers, including polyamide 6 (PA6) and its other polymer combinations, recycled PA6, polyamide 11 (PA11), polyamide 12 (PA12), polyvinyl butyral (PVB), polycaprolactone (PCL), polyacrylonitrile (PAN), polyvinylidene fluoride (PVDF), polyurethane (PU), polyvinyl alcohol (PVA), and cellulose acetate (CA), were utilized to fabricate nanofibers with tailored properties such as polymer solution concentrations and various solvent systems. Furthermore, an extensive variety of nano- and micro-particles, including TiO2, ZnO, MgO, CuO, Ag, graphene oxide, CeO2, Er2O3, WO3, MnO2, and hyperbranched polymers, were incorporated into the polymeric systems to engineer multifunctional nanofibers with enhanced structural characteristics. The study examines the impact of polymer–nano/micro-particle interactions, fiber morphology, and the feasibility of large-scale production via needleless electrospinning. The resulting nanofibers exhibited diameters starting from 80 nm, depending on the polymer and processing conditions. The incorporation of TiO2, CeO2, WO3, Ag, and ZnO nanoparticles into 15% PA6 solutions yielded well-dispersed hybrid nanofibers. By providing insights into polymer selection, nano- and micro-particle integration, and large-scale production techniques, this work establishes a versatile platform for scalable hybrid nanofiber fabrication, paving the way for innovative applications in nanotechnology and materials science. Full article
(This article belongs to the Special Issue Fiber Spinning Technologies and Functional Polymer Fiber Development)
Show Figures

Figure 1

16 pages, 1306 KB  
Review
Microplastic Polymer Mass Fractions in Marine Bivalves: From Isolation to Hazard Risk
by Tanja Bogdanović, Irena Listeš, Jennifer Gjerde, Sandra Petričević, Zvonimir Jažo, Eddy Listeš, Jelka Pleadin, Darja Sokolić, Ivona Jadrešin and Federica di Giacinto
J. Xenobiot. 2025, 15(6), 186; https://doi.org/10.3390/jox15060186 - 6 Nov 2025
Cited by 1 | Viewed by 1017
Abstract
Microplastics (MPs) are a ubiquitous marine pollutant, and their presence in bivalves is receiving increasing attention due to the associated risks to human health. The steps of pretreatment, detection, and quantification in the analysis of MPs depend on the type of polymer. Research [...] Read more.
Microplastics (MPs) are a ubiquitous marine pollutant, and their presence in bivalves is receiving increasing attention due to the associated risks to human health. The steps of pretreatment, detection, and quantification in the analysis of MPs depend on the type of polymer. Research on MPs is challenging because of the varying characteristics of these materials, such as the size, shape, and polymer type. Consequently, there are no standardized methods for their collection, separation, identification, or quantification. This review specifically examines the available bivalve digestion steps, focusing on efficient and time-reducing methods, such as the microwave-assisted (MAW) procedure and its advantages. Recent achievements in the application of pyrolysis gas chromatography–mass spectrometry (Pyr-GC-MS) are presented for the profiling of polymer mass-related microplastics data in marine bivalves. Here, we provide an overview of the abundance, properties, and polymer types of MPs in bivalve species, highlighting the polymer mass fractions. To date, the available mass-based concentrations have revealed nine types of MPs—polyethylene (PE), polypropylene (PP), polyvinyl chloride (PVC), polyethylene terephthalate (PET), polystyrene (PS), polymethyl methacrylate (PMMA), polyamide 66 (PA66), polycarbonate (PC), and polyamide 6 (PA6)—with PE, PP, and PVC being the most common. The total MP levels in bivalves were at ppm levels, ranging from 0.26 µg/g to 36.4 µg/g wet weight. The risk of human ingestion of MPs was assessed through the consumption of bivalves as seafood. The overall potential human health risk value (H) for marine bivalves was classified within the moderate to high hazard category. Full article
Show Figures

Graphical abstract

27 pages, 4754 KB  
Article
Microwave-Assisted Acid Hydrolysis of PA6 Wastes in PA6 Process: Kinetics, Activation Energies, and Monomer Recovery
by Mega Pristiani, Damayanti Damayanti and Ho-Shing Wu
Processes 2025, 13(10), 3175; https://doi.org/10.3390/pr13103175 - 6 Oct 2025
Cited by 1 | Viewed by 1113
Abstract
Efficient recycling of polyamide 6 (PA6) requires selective depolymerization routes that recover monomers under moderate conditions. This study investigates microwave-assisted acid hydrolysis of four PA6 waste streams, two oligomer-rich residues (WS-13, WS-24), an industrial fiber (C-fiber), and a commercial resin (C-resin) to elucidate [...] Read more.
Efficient recycling of polyamide 6 (PA6) requires selective depolymerization routes that recover monomers under moderate conditions. This study investigates microwave-assisted acid hydrolysis of four PA6 waste streams, two oligomer-rich residues (WS-13, WS-24), an industrial fiber (C-fiber), and a commercial resin (C-resin) to elucidate degradation kinetics, activation energies, and product yields. Thermogravimetric analysis revealed multi-step solid-state decomposition, while microwave hydrolysis (125–200 °C, 15–60 min, 400 W) demonstrated strong dependence on acid type. HCl achieved complete conversion, whereas phosphoric and formic acids exceeded 95%. Kinetic analysis under H3PO4 followed pseudo-first-order behavior, with rate constants (0.015–0.141 min−1 at 200 °C) and activation energies reflecting feedstock structure: 53.1 kJ mol−1 (WS-13), 56.5 kJ mol−1 (WS-24), 87.1 kJ mol−1 (C-resin), and 99.9 kJ mol−1 (C-fiber). Monomer yields varied by substrate: WS-13 achieved 62.4% at 200 °C and 45 min (ACA 46%, CPL 16%), WS-24 yielded 62.0% (primarily ACA), C-fiber reached 69.7% (ACA-dominant), and C-resin produced 53.8%. These results show that oligomer-rich wastes are kinetically favored for rapid hydrolysis at lower energy cost, while C-fiber maximizes aminocaproic acid recovery. Overall, microwave-assisted hydrolysis provides a selective, energy-efficient pathway for PA6 circularity, offering design parameters for reactor operation and process optimization. Full article
(This article belongs to the Special Issue 1st SUSTENS Meeting: Advances in Sustainable Engineering Systems)
Show Figures

Figure 1

12 pages, 5822 KB  
Article
Torsional Characteristics of Injection-Molded Hinges from Plastics and Glass Fiber-Reinforced Plastics
by Tran Minh The Uyen, Van-Thuc Nguyen, Xuan-Tien Vo, Pham Son Minh and Hai Nguyen Le Dang
Polymers 2025, 17(19), 2682; https://doi.org/10.3390/polym17192682 - 3 Oct 2025
Viewed by 823
Abstract
This study investigates the torsion characteristics of injection-molded flexural hinges manufactured from common polymers and plastic-based composites. The compliant mechanism provides a nearly constant torque over a specific rotational period. The flexural hinges are created via the injection molding technique, which has the [...] Read more.
This study investigates the torsion characteristics of injection-molded flexural hinges manufactured from common polymers and plastic-based composites. The compliant mechanism provides a nearly constant torque over a specific rotational period. The flexural hinges are created via the injection molding technique, which has the advantage of mass production and low price. The injection plastics are pure polypropylene (PP), acrylonitrile butadiene styrene (ABS), and polyamide 6 (PA6), and the injection composites are PA6 combined with glass fibers. The torsional moment of the ABS flexural hinge ranges from −0.2 to 0.94 N∙m. The torsional moment of the PP polymer typically ranges from −0.6 to 0.8 N∙m. The torsional moment of the PA6 polymer ranges from −0.2 to 1.0 N∙m. Interestingly, the torsional moment diagram for this polymer is comparable to that of ABS, with a stable pattern in both positive and negative ranges. Furthermore, in other words, the PP flexural range is greater than the ABS range. Both ABS and PA6 flexural hinges have a higher level of stability compared to the PP one due to the higher elastic modulus and higher strength of these polymers than the PP polymer. The PP flexural hinge has the lowest negative torsional moment (−0.6 N∙m) compared to ABS and PA hinges. PA6 flexural hinges also have the most stable torsional moment compared to pure polymer varieties. Adding 5% to 10% fiberglass (FG) significantly improves the torsional moment of composite flexural hinges. More flexural hinges from different polymer types should be investigated. Further research should conduct some statistical analysis to clarify the variations between the torques for the various materials. The findings improve our understanding of plastic flexure hinges and expand their applicability. Full article
(This article belongs to the Section Polymer Composites and Nanocomposites)
Show Figures

Figure 1

21 pages, 5507 KB  
Article
Exploring the Effect of the Porogenic Agent on Flat Membranes Based on Polyamide 6 (PA6)/Carbon Nanotubes (MWCNT) Nanocomposites
by Clara Maria Marinho Serafim, Renê Anísio da Paz, Rafael Agra Dias, Vanessa da Nóbrega Medeiros, Pamela Thainara Vieira da Silva, Carlos Bruno Barreto Luna, Renate Maria Ramos Wellen and Edcleide Maria Araújo
Processes 2025, 13(10), 3155; https://doi.org/10.3390/pr13103155 - 2 Oct 2025
Viewed by 707
Abstract
Polymeric membranes are a highly viable technology for wastewater treatment, water purification, and other filtration operations. Accordingly, flat membranes were developed from extruded nanocomposites of polyamide 6 (PA6) and carbon nanotubes (MWCNT), varying the filler content to 1, 3, and 5 parts per [...] Read more.
Polymeric membranes are a highly viable technology for wastewater treatment, water purification, and other filtration operations. Accordingly, flat membranes were developed from extruded nanocomposites of polyamide 6 (PA6) and carbon nanotubes (MWCNT), varying the filler content to 1, 3, and 5 parts per hundred resin (phr). The membranes were produced using the phase inversion process through the immersion–precipitation technique. In total, eight membrane compositions were developed with solvent/polymer ratios of 80/20 (weight %). Calcium chloride (CaCl2) was used as a pore-forming agent at a content of 10 phr. Thus, the characterizations performed were: solution viscosity, FTIR, contact angle measurement, SEM, AFM, water permeability test, and water vapor permeation test. The results showed that the high viscosity of membranes, excessive gelation time, and higher MWCNT contents contributed to a decrease and/or absence of flow. Through SEM images and water flow measurements, the significant influence of CaCl2 was observed in modifying the membrane morphology (more interconnected porous structures), ensuring the presence of flow. The AFM images also confirm this phenomenon through the increase in roughness. Water vapor transmission increased with higher MWCNT content. These results demonstrate that PA6 and MWCNT membranes were effective for water filtration, only in those where CaCl2 was used, and for water vapor initially. Full article
(This article belongs to the Special Issue Processing and Applications of Polymer Composite Materials)
Show Figures

Graphical abstract

30 pages, 6288 KB  
Article
Finite Element Analysis of 3D-Printed Gears: Evaluating Mechanical Behaviour Through Numerical Modelling
by Costin Nicolae Ilincă, Ibrahim Naim Ramadan, Adrian Neacșa, Marius Gabriel Petrescu and Eugen Victor Laudacescu
Materials 2025, 18(19), 4530; https://doi.org/10.3390/ma18194530 - 29 Sep 2025
Cited by 1 | Viewed by 1386
Abstract
In the course of the 3D printing process, the occurrence of imperfect structures is attributable to the rapid cooling of molten polymer. In this study, gears were manufactured from PA6 using a dedicated 3D printer, and their performance was analyzed using finite element [...] Read more.
In the course of the 3D printing process, the occurrence of imperfect structures is attributable to the rapid cooling of molten polymer. In this study, gears were manufactured from PA6 using a dedicated 3D printer, and their performance was analyzed using finite element analysis (FEA), validated by wear tests. A subset of the gears was subjected to annealing heat treatments to investigate their influence on the behavior of the material. The novelty of this study lies in the correlation of the effects induced by heat treatment with the stress distribution, wear, and service life of 3D-printed gears. This provides useful information for optimizing polymer gears for engineering applications. This study’s novelty lies in highlighting the influence of heat treatments on wear behaviour and mechanical stress factors, offering new insights into the optimisation of 3D-printed polymer gears. Full article
Show Figures

Graphical abstract

20 pages, 4956 KB  
Article
Recycling Continuous Glass Fibre-Reinforced Polyamide 6 Laminates via Compression Moulding
by Aditya Prakash Shembekar, Jason Yu, Mingfu Zhang, Chris Griffin and Dipa Ray
Polymers 2025, 17(15), 2160; https://doi.org/10.3390/polym17152160 - 7 Aug 2025
Cited by 2 | Viewed by 1592
Abstract
End-of-life (EoL) continuous glass fibre-reinforced polyamide 6 composites (cGF/PA6) are commonly recycled by shredding and milling, followed by injection moulding, often resulting in lower mechanical properties of second-generation products, primarily due to fibre length reduction. This study investigates the thermomechanical reprocessing of cGF/PA6 [...] Read more.
End-of-life (EoL) continuous glass fibre-reinforced polyamide 6 composites (cGF/PA6) are commonly recycled by shredding and milling, followed by injection moulding, often resulting in lower mechanical properties of second-generation products, primarily due to fibre length reduction. This study investigates the thermomechanical reprocessing of cGF/PA6 laminates via compression moulding, aiming to retain maximum mechanical performance by preserving the fibre length. Two types of 2/2 twill glass fibre-reinforced anionically polymerised polyamide 6 laminates (cGF/APA6), with either a reactive sizing agent (RS) or a non-reactive sizing agent (nRS), were reprocessed at two different temperatures, i.e., at 180 °C (between the glass transition temperature (Tg) and the melting temperature (Tm) of PA6) and 230 °C (above the melting temperature (Tm) of PA6). The influence of reprocessing on matrix crystallinity, thermomechanical properties, microstructure, and flexural performance was investigated. The results revealed that reprocessing at both temperatures led to an improvement in matrix crystallinity, retention of the desirable α-crystalline phases, and an elevated Tg (glass transition temperature) in both reprocessed laminates. Additionally, reprocessing at 180 °C maintained the flexural performance in both, whereas reprocessing at 230 °C led to nearly 20% improvement in flexural strength for the RS laminate. The microstructural analysis of the failed flexural specimens showed matrix-coated fibre surfaces, highlighting retained fibre–matrix adhesion. Overall, the results offer insights into the potential of compression moulding as a viable alternative for recycling cGF/APA6 laminates. Full article
(This article belongs to the Section Circular and Green Sustainable Polymer Science)
Show Figures

Figure 1

26 pages, 1613 KB  
Article
Olive Oil-Based Lipid Coating as a Precursor Organogel for Postharvest Preservation of Lychee: Efficacy Combined with Polyamide/Polyethylene Packaging Under Passive Atmosphere
by Alessandra Culmone, Roberta Passafiume, Pasquale Roppolo, Ilenia Tinebra, Vincenzo Naselli, Alfonso Collura, Antonino Pirrone, Luigi Botta, Alessandra Carrubba, Nicola Francesca, Raimondo Gaglio and Vittorio Farina
Gels 2025, 11(8), 608; https://doi.org/10.3390/gels11080608 - 2 Aug 2025
Viewed by 3370
Abstract
Lychee (Lychee chinensis Sonn.) is a tropical fruit highly appreciated for its vivid red color, sweet flavor, and nutritional properties. However, it is highly perishable, with postharvest losses often due to oxidative browning and dehydration. This study evaluated the organic olive oil [...] Read more.
Lychee (Lychee chinensis Sonn.) is a tropical fruit highly appreciated for its vivid red color, sweet flavor, and nutritional properties. However, it is highly perishable, with postharvest losses often due to oxidative browning and dehydration. This study evaluated the organic olive oil coating (OC), a natural lipidic system with the potential to act as a precursor for organogel development, combined with polyamide/polyethylene (PA/PE) packaging under passive modified atmosphere. Fruits were harvested at commercial maturity and divided into two groups: OC-treated and untreated control (CTR). Both groups were stored at 5 ± 1 °C and 90 ± 5% relative humidity and analyzed on days 0, 3, 6, and 9. The OC-treated fruits showed significantly better retention of physical, chemical, microbiological, and sensory qualities. The coating reduced oxidative stress and enzymatic browning, preserving color and firmness. The PA/PE packaging regulated gas exchange, lowering oxygen levels and delaying respiration and ripening. As a result, OC fruits had lower weight loss, a slower increase in browning index and maturity index, and better visual and sensory scores than the CTR group. This dual strategy proved effective in extending shelf life while maintaining the fruit’s appearance, flavor, and nutritional value. It represents a sustainable and natural approach to enhancing the postharvest stability of lychee. Full article
(This article belongs to the Special Issue Edible Coatings and Film: Gel-Based Innovations)
Show Figures

Figure 1

19 pages, 2104 KB  
Article
Presence of Micro- and Nanoplastics Affects Degradation of Chlorinated Solvents
by Fadime Kara Murdoch, Yanchen Sun, Mark E. Fuller, Larry Mullins, Amy Hill, Jacob Lilly, John Wilson, Frank E. Löffler and Katarzyna H. Kucharzyk
Toxics 2025, 13(8), 656; https://doi.org/10.3390/toxics13080656 - 31 Jul 2025
Cited by 1 | Viewed by 887
Abstract
Microplastics (MPs) and nanoplastics (NPs) can affect microbial abundance and activity, likely by damaging cell membrane components. While their effects on anaerobic digestion are known, less is understood about their impact on microbes involved in contaminant bioremediation. Chlorinated volatile organic contaminants (CVOCs) such [...] Read more.
Microplastics (MPs) and nanoplastics (NPs) can affect microbial abundance and activity, likely by damaging cell membrane components. While their effects on anaerobic digestion are known, less is understood about their impact on microbes involved in contaminant bioremediation. Chlorinated volatile organic contaminants (CVOCs) such as tetrachloroethene (PCE) and explosives like hexahydro-1,3,5-trinitro-1,3,5-triazine (RDX) are common in the environment, and their bioremediation is a promising cleanup strategy. This study examined how polystyrene (PS) and polyamide 6 (PA6) MPs and NPs influence CVOC and RDX biodegradation. PS particles did not inhibit the CVOC-degrading community SDC-9, but PA6 MPs impaired the reductive dechlorination of trichloroethene (TCE) to cis-1,2-dichloroethene (cis-DCE), causing a “cis-DCE stall” with no further conversion to vinyl chloride (VC) or ethene. Only 45% of TCE was dechlorinated to cis-DCE, and Dehalococcoides mccartyi abundance dropped 1000-fold in 35 days with PA6 MPs. In contrast, neither PA6 nor PS MPs and NPs affected RDX biotransformation. These results highlight the significant impact of PA6 MPs on CVOC biodegradation and the need to consider plastic pollution in environmental management. Full article
(This article belongs to the Special Issue Novel Technologies for Degradation of Organic Pollutants)
Show Figures

Graphical abstract

12 pages, 6639 KB  
Article
Study of Space Micro Solid Thruster Using 3D-Printed Short Glass Fiber Reinforced Polyamide
by Haibo Yang, Zhongcan Chen, Xudong Yang, Chang Xu and Hanyu Deng
Aerospace 2025, 12(8), 663; https://doi.org/10.3390/aerospace12080663 - 26 Jul 2025
Viewed by 653
Abstract
To meet the rapid maneuverability and lightweight demands of micro-nano satellites, a space micro solid thruster using 3D-printed short glass fiber reinforced polyamide 6 (PA6GF) composites was developed. Thruster shells with wall thicknesses of 4, 3, and 2.5 mm were designed, and ground [...] Read more.
To meet the rapid maneuverability and lightweight demands of micro-nano satellites, a space micro solid thruster using 3D-printed short glass fiber reinforced polyamide 6 (PA6GF) composites was developed. Thruster shells with wall thicknesses of 4, 3, and 2.5 mm were designed, and ground ignition tests were conducted to monitor chamber pressure and shell temperature. Compared with conventional metallic thrusters, PA6GF composites have exhibited excellent thermal insulation and sufficient mechanical strength. Under 8 MPa and 2773 K ignition conditions, the shell thickness was reduced to 2.5 mm and could withstand pressures up to 10.37 MPa. These results indicate that PA6GF composites are well-suited for space micro solid thrusters with inner diameters of 15–70 mm, offering new possibilities for lightweight space propulsion system design. Full article
Show Figures

Figure 1

22 pages, 6500 KB  
Article
The Effect of Bio-Based Polyamide 10.10 and Treated Fly Ash on Glass-Fiber-Reinforced Polyamide 6 Properties
by George-Mihail Teodorescu, Zina Vuluga, Toma Fistoș, Sofia Slămnoiu-Teodorescu, Jenica Paceagiu, Cristian-Andi Nicolae, Augusta Raluca Gabor, Marius Ghiurea, Cătălina Gîfu and Rodica Mariana Ion
Polymers 2025, 17(14), 1950; https://doi.org/10.3390/polym17141950 - 16 Jul 2025
Viewed by 1025
Abstract
Increased concern for human health and the environment has pushed various industries to adopt new approaches towards satisfying modern regulations. Strategies to achieve these approaches include utilizing lightweight materials, repurposing waste materials, and substituting synthetic polymers with bio-based counterparts. This study investigates the [...] Read more.
Increased concern for human health and the environment has pushed various industries to adopt new approaches towards satisfying modern regulations. Strategies to achieve these approaches include utilizing lightweight materials, repurposing waste materials, and substituting synthetic polymers with bio-based counterparts. This study investigates the effects of treated fly ash (C) and bio-based polyamide 10.10 (PA10) on the thermal, morphological, and mechanical properties of glass fiber (GF)-reinforced polyamide 6 (PA6). Our main objective was to develop a composite that would allow for the partial replacement of glass fiber in reinforced polyamide 6 composites (PA6-30G) while maintaining a favorable balance of mechanical properties. Composites processed via melt processing demonstrated enhanced mechanical properties compared to PA6-30G. Notably, significant improvements were observed in impact strength and tensile strain at break. The addition of PA10 resulted in increases of 18% in impact strength and 35% in tensile strain relative to PA6-30G. Complementary, structural and morphological analyses confirmed strong interfacial interactions within the composite matrix. These findings indicate that a PA6/PA10 hybrid composite may represent a viable alternative material for potential automotive applications. Full article
Show Figures

Figure 1

16 pages, 4299 KB  
Article
Gas Barrier Properties of Organoclay-Reinforced Polyamide 6 Nanocomposite Liners for Type IV Hydrogen Storage Vessels
by Dávid István Kis, Pál Hansághy, Attila Bata, Nándor Nemestóthy, Péter Gerse, Ferenc Tajti and Eszter Kókai
Nanomaterials 2025, 15(14), 1101; https://doi.org/10.3390/nano15141101 - 16 Jul 2025
Cited by 4 | Viewed by 993
Abstract
This study investigates the hydrogen permeability of injection-molded polyamide 6 (PA6) nanocomposites reinforced with organo-modified montmorillonite (OMMT) at varying concentrations (1, 2.5, 5, and 10 wt. %) for potential use as Type IV composite-overwrapped pressure vessel (COPV) liners. While previous work examined their [...] Read more.
This study investigates the hydrogen permeability of injection-molded polyamide 6 (PA6) nanocomposites reinforced with organo-modified montmorillonite (OMMT) at varying concentrations (1, 2.5, 5, and 10 wt. %) for potential use as Type IV composite-overwrapped pressure vessel (COPV) liners. While previous work examined their mechanical properties, this study focuses on their crystallinity, morphology, and gas barrier performance. The precise inorganic content was determined using thermal gravimetry analysis (TGA), while differential scanning calorimetry (DSC), wide-angle X-ray diffraction (WAXD), and scanning electron microscopy (SEM) were used to characterize the structural and morphological changes induced by varying filler content. The results showed that generally higher OMMT concentrations promoted γ-phase formation but also led to increased agglomeration and reduced crystallinity. The PA6/OMMT-1 wt. % sample stood out with higher crystallinity, well-dispersed clay, and low hydrogen permeability. In contrast, the PA6/OMMT-2.5 and -5 wt. % samples showed increased permeability, which corresponded to WAXD and SEM evidence of agglomeration and DSC results indicating a lower degree of crystallinity. PA6/OMMT-10 wt. % showed the most-reduced hydrogen permeability compared to all other samples. This improvement, however, is attributed to a tortuous path effect created by the high filler loading rather than optimal crystallinity or dispersion. SEM images revealed significant OMMT agglomeration, and DSC analysis confirmed reduced crystallinity, indicating that despite the excellent barrier performance, the compromised microstructure may negatively impact mechanical reliability, showing PA6/OMMT-1 wt. % to be the most balanced candidate combining both mechanical integrity and hydrogen impermeability for Type IV COPV liners. Full article
(This article belongs to the Section Nanocomposite Materials)
Show Figures

Figure 1

17 pages, 3907 KB  
Review
Polyamide 6 as a Liner Material for Type IV Hydrogen Storage Cylinders: Performance Challenges and Modification Strategies
by Wenyan Wang, Guanxi Zhao, Xiao Ma, Dengxun Ren, Min Nie and Rui Han
Polymers 2025, 17(13), 1848; https://doi.org/10.3390/polym17131848 - 1 Jul 2025
Cited by 4 | Viewed by 1736
Abstract
Type IV hydrogen storage cylinders are pivotal for high-pressure hydrogen storage and transportation, offering advantages such as lightweight design, high hydrogen storage density, and cost efficiency. Polyamide 6 (PA6) has emerged as a promising liner material due to its excellent mechanical strength, chemical [...] Read more.
Type IV hydrogen storage cylinders are pivotal for high-pressure hydrogen storage and transportation, offering advantages such as lightweight design, high hydrogen storage density, and cost efficiency. Polyamide 6 (PA6) has emerged as a promising liner material due to its excellent mechanical strength, chemical resistance, and gas barrier properties. However, challenges remain, including high hydrogen permeability and insufficient mechanical performance under extreme temperature and pressure conditions. This review systematically summarizes recent advances in modification strategies to enhance PA6’s suitability for Type IV hydrogen storage cylinders. Incorporating nanofillers (e.g., graphene, montmorillonite, and carbon nanotubes) significantly reduces hydrogen permeability. In situ polymerization and polymer blending techniques improve toughness and interfacial adhesion (e.g., ternary blends achieve a special increase in impact strength). Multiscale structural design (e.g., biaxial stretching) and process optimization further enhance PA6’s overall performance. Future research should focus on interdisciplinary innovation, standardized testing protocols, and industry–academia collaboration to accelerate the commercialization of PA6-based composites for hydrogen storage applications. This review provides theoretical insights and engineering guidelines for developing high-performance liner materials. Full article
Show Figures

Figure 1

Back to TopTop