Sign in to use this feature.

Years

Between: -

Subjects

remove_circle_outline
remove_circle_outline
remove_circle_outline
remove_circle_outline
remove_circle_outline
remove_circle_outline
remove_circle_outline
remove_circle_outline
remove_circle_outline

Journals

remove_circle_outline
remove_circle_outline
remove_circle_outline
remove_circle_outline
remove_circle_outline
remove_circle_outline
remove_circle_outline
remove_circle_outline
remove_circle_outline
remove_circle_outline
remove_circle_outline
remove_circle_outline
remove_circle_outline
remove_circle_outline
remove_circle_outline
remove_circle_outline

Article Types

Countries / Regions

remove_circle_outline
remove_circle_outline
remove_circle_outline
remove_circle_outline
remove_circle_outline
remove_circle_outline
remove_circle_outline

Search Results (1,634)

Search Parameters:
Keywords = policy options

Order results
Result details
Results per page
Select all
Export citation of selected articles as:
24 pages, 971 KB  
Article
“I Just Have to Go and Heal”: A Qualitative Study on the Acceptability of the Belgian Sexual Assault Care Centres for Victims of Recent Sexual Assault
by Saar Baert, Mariska Meersschaut, Kristien Roelens, Sara Van Belle, Paul Gemmel, Iva Bicanic and Ines Keygnaert
Healthcare 2026, 14(9), 1133; https://doi.org/10.3390/healthcare14091133 - 23 Apr 2026
Viewed by 124
Abstract
Background: Sexual Assault Care Centres (SACCs) in Belgium provide integrated medical and psychological care, a forensic examination and the option to report to the police to victims of sexual assault (SA). Understanding victims’ acceptability of these services is essential for improving SACC’s effectiveness [...] Read more.
Background: Sexual Assault Care Centres (SACCs) in Belgium provide integrated medical and psychological care, a forensic examination and the option to report to the police to victims of sexual assault (SA). Understanding victims’ acceptability of these services is essential for improving SACC’s effectiveness and informing policy. Methods: In-depth interviews were conducted with 19 victims and 14 support persons to explore victims’ experiences with SACCs. The victims represented diverse characteristics (gender, age, SACC site and police reporting status). Data were analysed using thematic framework analysis, guided by Sekhon’s “Theoretical Framework of Acceptability”. Results: Participants viewed SACCs as a highly acceptable integrated model of specialised care for victims of recent SA. They expressed strong appreciation for the care provided at the SACC and its set-up (affective attitude), and they identified key professional qualities of SACC professionals (ethicality). Participants demonstrated good understanding of the functioning of the SACCs (intervention coherence). The model was perceived as effective in providing medical care, mental health support, and facilitating police reporting, though gaps were noted in linking victims with other actors in the criminal justice system (perceived effectiveness). Organisational strengths included the holistic, long-term, proactive, affordable and accessible nature of the care offered (perceived effectiveness, burden and opportunity cost). Victims faced challenges in linking to, engaging with and remaining in care due to distress post-SA, with support persons playing a crucial role in helping them navigate these challenges (self-efficacy). Conclusions: The study highlights the acceptability of an integrated, multidisciplinary approach to specialised SA care. Key elements include embedded psychological support, the option for forensic examination without mandatory reporting, and the possibility of police reporting at the SACC. These findings may inform the development of specialised SA services in other settings. Full article
Show Figures

Figure 1

37 pages, 915 KB  
Article
Biogas in The Netherlands: Hesitant Adoption on Many Levels
by Gideon A. H. Laugs and Henny J. van der Windt
Energies 2026, 19(9), 2037; https://doi.org/10.3390/en19092037 - 23 Apr 2026
Viewed by 97
Abstract
Energy transition includes the substitution of centralized energy systems with decentralized variable renewable energy sources (vRES), the growth of which brings drawbacks such as grid congestion and intermittency. These issues are increasingly troublesome in many local energy systems, including in The Netherlands. Biogas [...] Read more.
Energy transition includes the substitution of centralized energy systems with decentralized variable renewable energy sources (vRES), the growth of which brings drawbacks such as grid congestion and intermittency. These issues are increasingly troublesome in many local energy systems, including in The Netherlands. Biogas may provide options to provide backup renewable energy in times of energy supply uncertainty. In The Netherlands, the consideration of biogas in such functions is limited. Meanwhile, local energy initiatives (LEIs) are spearheading the adoption of vRES. Because of concern over local grid balancing, LEIs may want or need to innovate and diversify their activities. Such innovation could include bioenergy in general, and biogas specifically. However, only a small number of LEIs consider bioenergy, and Dutch LEIs seem hesitant to venture into biogas specifically. In this paper we explore the question of what hinders adoption of biogas in The Netherlands in general, and by LEIs specifically, deploying an approach based on the technological innovation systems (TIS) concept. In that approach, we take insights from current and expected policy in The Netherlands juxtaposed with insights from similar countries surrounding The Netherlands. We conclude that historic developments in biogas already created a moderately supportive platform for large-scale biogas development, but some essential factors remain inadequately developed. Key barriers to biogas innovation, especially for LEIs, are insufficient mobilization of financial and knowledge resources, and insufficient attention to alleviating preconceptions. Dependable support and attention for socio-economic factors in policymaking would improve conditions associated with resources, preconceptions and resistance, and the situation for LEIs to explore the potential of biogas. However, it remains uncertain whether such measures would be sufficient to improve the potential of local biogas utilization in The Netherlands in a way that opens a role for biogas in solving energy transition challenges such as energy system balancing. Full article
(This article belongs to the Special Issue Renewable Fuels: A Key Step Towards Global Sustainability)
23 pages, 1275 KB  
Review
Improving Sustainability in the Use of Medical Textiles in Healthcare
by Richard Murray and Holly Morris
Green Health 2026, 2(2), 11; https://doi.org/10.3390/greenhealth2020011 - 23 Apr 2026
Viewed by 87
Abstract
Attention has been drawn internationally to the carbon footprint of the healthcare sector, its impact upon climate change and promises that have been made to reduce carbon emissions. Even so, there are, as yet, not many reports about steps that have been taken [...] Read more.
Attention has been drawn internationally to the carbon footprint of the healthcare sector, its impact upon climate change and promises that have been made to reduce carbon emissions. Even so, there are, as yet, not many reports about steps that have been taken in the practical setting to bring about the promised reductions. This review is intended to provide some guidance on actions that could prove beneficial. It includes examples of steps that have been undertaken and shown to be viable options in the practical setting and that now need to be implemented more widely. Certain types of medical textiles contribute more substantially to the carbon footprint of healthcare than others. To achieve significant reductions, attention needs to be focused on reducing the environmental impact of hospital and care centre linen, textile filter components of HVAC systems and PPE, such as gowns, drapes and facemasks, rather than on implantable items and specialist medical devices. Policy makers, those officials responsible for procurement and healthcare practitioners all need to become more involved in ensuring that the correct guidance and resulting actions are implemented in a coordinated fashion. Full article
Show Figures

Figure 1

20 pages, 1109 KB  
Article
Economic Rationality and Management of Denetworking in Infrastructure Maintenance
by Chihiro Konasugawa and Akira Nagamatsu
Businesses 2026, 6(2), 20; https://doi.org/10.3390/businesses6020020 - 21 Apr 2026
Viewed by 136
Abstract
Shrinking and aging societies undermine the economic viability of network-based infrastructure once supported by economies of scale and network externalities. This paper develops a conceptual framing of “Denetworking” as a possible reconfiguration strategy in the contraction phase: reducing dependence on highly asset-specific dedicated [...] Read more.
Shrinking and aging societies undermine the economic viability of network-based infrastructure once supported by economies of scale and network externalities. This paper develops a conceptual framing of “Denetworking” as a possible reconfiguration strategy in the contraction phase: reducing dependence on highly asset-specific dedicated networks (e.g., pipes and rail tracks) and shifting service functions to distributed systems or generic shared networks (e.g., roads) while maintaining minimum service standards. Rather than presenting a calibrated optimization model or full life-cycle cost (LCC) estimation, the paper proposes a heuristic decision condition for comparing a “keep” scenario (renew and maintain the dedicated network) with a “shift” scenario (Denetworking) and uses quantitative anchors from public sources to illustrate the associated fiscal and institutional trade-offs. Two Japanese cases are used as contrasting illustrations: physical Denetworking, referring to the reduction in or substitution of dedicated physical network assets, in wastewater services (centralized sewerage to decentralized treatment); and functional Denetworking, referring to the transfer of service functions from dedicated networks to more generic shared networks, in regional mobility (local rail to bus/BRT on the road network). The cross-case discussion suggests that Denetworking may become a rational policy option under certain conditions, particularly when demand density declines near renewal-investment peaks and asset specificity increases lock-in. The paper contributes a conceptual vocabulary and comparative policy framing for discussing infrastructure reconfiguration in shrinking societies and highlights practical issues of timing, cost sharing, phased implementation, and stakeholder engagement. Full article
Show Figures

Figure 1

38 pages, 4167 KB  
Article
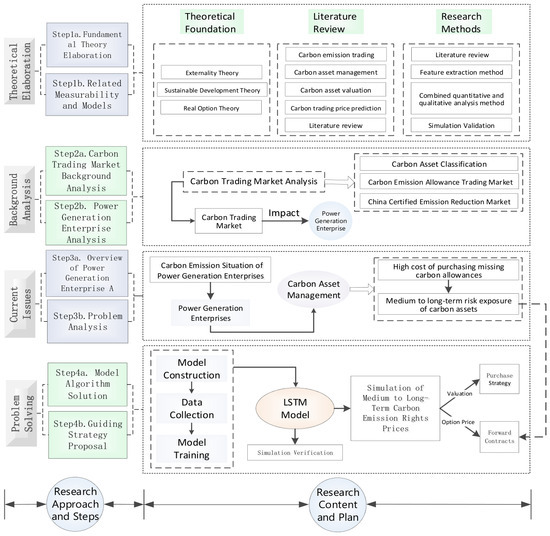
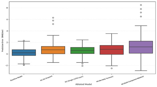
Sustainable Operational Decision-Making for Thermal Power Enterprises’ Carbon Assets Oriented Toward Medium- and Long-Term Risk Exposure
by Ying Kuai, Yue Liu, Wu Wan, Boyan Zou and Yao Qin
Sustainability 2026, 18(8), 4094; https://doi.org/10.3390/su18084094 - 20 Apr 2026
Viewed by 153
Abstract
Against the background of deepening “dual carbon” goals and the continuously tightening policies of the national carbon market, the carbon asset risks faced by thermal power enterprises have shifted from short-term compliance cost fluctuations to medium- and long-term systemic risks. Managing these risks [...] Read more.
Against the background of deepening “dual carbon” goals and the continuously tightening policies of the national carbon market, the carbon asset risks faced by thermal power enterprises have shifted from short-term compliance cost fluctuations to medium- and long-term systemic risks. Managing these risks effectively is essential for ensuring the financial viability of thermal power operations during the low-carbon transition, thereby supporting the long-term sustainability of the energy sector. This study constructs a risk management framework for carbon assets in thermal power enterprises based on the LSTM model and option portfolios. First, the multi-dimensional characteristics of medium- and long-term carbon asset risks are systematically identified at the policy, market, and enterprise levels. Second, a dual-layer LSTM model with Dropout regularization is employed to simulate medium- and long-term carbon prices. The prediction results indicate a moderate upward trend in future carbon prices, with the fluctuation range gradually narrowing. On this basis, a combined hedging strategy of “core call options + auxiliary put options” is designed, capping the maximum procurement cost at 72.63 CNY/ton and covering over 90% of the risk of carbon price increases. Monte Carlo simulations and rolling window backtesting, conducted using operational data from a thermal power enterprise to validate the framework, verify the effectiveness and robustness of the strategy. The study shows that, through the integration of accurate LSTM predictions and proactive option hedging, thermal power enterprises can transform their carbon asset management from passive compliance to active value creation, thereby enhancing their operational sustainability and resilience during the energy transition. Full article
28 pages, 899 KB  
Review
The Hydrogen Economy: Progress and Challenges to Future Growth
by Ifeanyi Oramulu and Vincent P. Paglioni
Hydrogen 2026, 7(2), 51; https://doi.org/10.3390/hydrogen7020051 - 19 Apr 2026
Viewed by 187
Abstract
The rally to mitigate growing carbon emissions and climate change necessitates decarbonization strategies, with hydrogen emerging as a key candidate option across multiple sectors. This review examines the current state of the hydrogen economy, including production, implementation, and associated risks. Hydrogen’s versatility in [...] Read more.
The rally to mitigate growing carbon emissions and climate change necessitates decarbonization strategies, with hydrogen emerging as a key candidate option across multiple sectors. This review examines the current state of the hydrogen economy, including production, implementation, and associated risks. Hydrogen’s versatility in industry, transportation, and energy storage is highlighted, alongside the challenges of transitioning from fossil fuel-based production. It explores the current state of hydrogen technologies, differentiating between green, blue, and gray hydrogen production methods, and highlights advancements in production techniques like thermochemical water splitting. Key findings show that while green hydrogen offers the cleanest pathway, high production costs and infrastructure limitations remain significant barriers to widespread adoption. This study also addresses safety concerns and public perception, emphasizing the need for robust risk assessment methodologies and management approaches. Furthermore, this paper underscores the importance of technological innovations, such as high-temperature electrolysis and synergies with renewable energy sources, to enhance efficiency and sustainability. Policy recommendations include financial incentives, regulatory frameworks, and international cooperation to accelerate hydrogen adoption and balance its development with other low-carbon solutions. Full article
23 pages, 2967 KB  
Article
SPARK_AI: A Prompt-Orchestrated Architecture for Stateful, Process-Oriented Reasoning with Large Language Models
by Marija Kaplar, Sebastijan Kaplar, Miloš Vučić, Lidija Ivanović, Aleksandra Stevanović, Aleksandar Milenković and Nemanja Vučićević
Informatics 2026, 13(4), 63; https://doi.org/10.3390/informatics13040063 - 17 Apr 2026
Viewed by 423
Abstract
This paper presents SPARK_AI, a prompt-orchestrated system architecture for governing how large language models (LLMs) conduct structured and adaptive reasoning in human–AI interaction. The framework mitigates ad hoc LLM use by replacing direct answer generation with a process-oriented, step-by-step reasoning workflow. We focus [...] Read more.
This paper presents SPARK_AI, a prompt-orchestrated system architecture for governing how large language models (LLMs) conduct structured and adaptive reasoning in human–AI interaction. The framework mitigates ad hoc LLM use by replacing direct answer generation with a process-oriented, step-by-step reasoning workflow. We focus on SPARK_AI_MATH, a domain module that supports learners in solving non-routine problem-solving tasks by operationalizing well-established problem-solving phases and guided questioning dialog strategies (Socratic-style prompts), with an optional tool-mediated visualization layer (e.g., GeoGebra). The module implements a five-phase conversational protocol consisting of problem interpretation, analysis of givens, planning, execution, and reflection, together with a controlled hint policy. This design is realized through a stateful system architecture in which each problem instance is maintained as an independent interaction track with a persistent reasoning state. User acceptance was evaluated by first-year mechanical engineering students (N = 108) using an expanded Technology Acceptance Model instrument, and the results were analyzed via PLS-SEM. The findings indicate overall favorable perceptions, with perceived usefulness and learning support emerging as key predictors of intention for continued use. Beyond this specific domain, the SPARK_AI framework enables efficient domain adaptation through localized prompt strategies while preserving a shared cognitive control layer for reasoning-centered human–LLM interaction. Full article
Show Figures

Figure 1

22 pages, 415 KB  
Article
Development of a Multi-Dimensional Framework for Interpreting the Sustainability of Textile Materials
by Eui Kyung Roh
Sustainability 2026, 18(8), 3982; https://doi.org/10.3390/su18083982 - 16 Apr 2026
Viewed by 411
Abstract
Sustainability assessment of textile materials has traditionally relied on origin-based classifications and indicator-driven life cycle assessment (LCA), often treating sustainability as an inherent or material-intrinsic property. However, materials sharing similar biological origins or “bio-based” labels frequently exhibit substantially different sustainability outcomes when processing [...] Read more.
Sustainability assessment of textile materials has traditionally relied on origin-based classifications and indicator-driven life cycle assessment (LCA), often treating sustainability as an inherent or material-intrinsic property. However, materials sharing similar biological origins or “bio-based” labels frequently exhibit substantially different sustainability outcomes when processing pathways, composite structures, and end-of-life (EoL) compatibility are taken into account. To address this limitation, this study develops a qualitative, multidimensional analytical framework that conceptualizes textile material sustainability as a pathway-dependent and system-mediated outcome rather than an inherent material attribute. The framework integrates four interrelated dimensions—renewability, process sustainability, EoL options, and material source—derived from a structured review of academic, policy, and technical literature. To demonstrate the analytical scope and internal logic of the framework, a selected set of 65 innovative textile materials was systematically analyzed using a three-tier qualitative coding scheme (favorable, conditional, and unfavorable) under conservative data validation criteria. The analysis shows that sustainability performance is primarily shaped by pathway configurations—particularly processing intensity, binder chemistry, and EoL compatibility—rather than material origin alone and that similar bio-based materials can exhibit fundamentally different sustainability profiles depending on these factors. By reframing sustainability from a material-centered perspective to a pathway-oriented and system-based perspective, the proposed framework provides a structured basis for integrating material innovation, process design, and end-of-life planning in sustainability-oriented textile research and development and establishes a conceptual foundation for future empirical and quantitative extensions. Full article
Show Figures

Figure 1

24 pages, 1856 KB  
Article
Toward Sustainable Impact of Farm Input Subsidies in Malawi: Is Integration with Climate-Smart Agriculture a Practical Solution?
by Samson Pilanazo Katengeza, Kumbukani Rashid, Sarah Tione, Stein Terje Holden and Mesfin Tilahun
Sustainability 2026, 18(8), 3929; https://doi.org/10.3390/su18083929 - 15 Apr 2026
Viewed by 384
Abstract
Decades of traditional fertilizer subsidies have yielded modest maize productivity gains for Malawian farmers, mainly due to the twin challenges of soil degradation and intermittent weather patterns. Increasing nitrogen intake through subsidies without addressing these structural constraints has failed to close the country’s [...] Read more.
Decades of traditional fertilizer subsidies have yielded modest maize productivity gains for Malawian farmers, mainly due to the twin challenges of soil degradation and intermittent weather patterns. Increasing nitrogen intake through subsidies without addressing these structural constraints has failed to close the country’s yield gap. Although climate-smart agriculture (CSA) technologies offer options for sustainable productivity growth, low and inconsistent adoption among farmers has led to insufficient evidence. Most existing studies that have examined the complementarity between CSA and inorganic fertilizers rely on experimental plot data, with limited evidence from actual farmer-managed fields. We use farm-level data collected in 2022 from 307 smallholder farmers across central and southern Malawi to investigate whether integrating CSA technologies with subsidized inorganic fertilizers enhances maize productivity. We apply the Inverse Probability Weighted Regression Adjustment (IPWRA) model to estimate the effects of CSA adoption and its integration with subsidized fertilizer. Results indicate that CSA adoption increased maize yields by 30%, confirming significant productivity gains from technologies such as mulching, agroforestry, and organic manure. However, integrating these technologies with subsidized fertilizers produced no additional yield advantage, suggesting that farmers often substitute CSA with inorganic inputs rather than combining them effectively. These findings imply that the potential synergies between CSA and subsidy programs remain unrealized under current practices. Policy reforms under Malawi’s current farm input subsidy program (FISP) should therefore emphasize extension and incentive mechanisms that promote complementary—not substitutive—use of CSA technologies and fertilizers at recommended application rates. Full article
Show Figures

Figure 1

21 pages, 761 KB  
Article
Economic and Social Determinants of Biogas Production Processes in Europe
by Waldemar Izdebski, Katarzyna Kosiorek, Karol Mirowski, Grzegorz Pietrek and Tadeusz A. Grzeszczyk
Energies 2026, 19(8), 1897; https://doi.org/10.3390/en19081897 - 14 Apr 2026
Viewed by 338
Abstract
The European Union aims to achieve climate neutrality by 2050, with biogas and biomethane expected to play an increasingly important role in the decarbonisation of the energy system. This study investigates the economic and social determinants shaping the development of biogas production in [...] Read more.
The European Union aims to achieve climate neutrality by 2050, with biogas and biomethane expected to play an increasingly important role in the decarbonisation of the energy system. This study investigates the economic and social determinants shaping the development of biogas production in European countries and identifies an optimal investment strategy for new biogas plants under varying environmental conditions. An expert–mathematical method was applied to assess and hierarchise twenty economic and social factors influencing biogas production, based on evaluations provided by 71 experts from eleven European countries. Subsequently, individual choice criteria derived from game theory were used to determine the optimal strategy for biogas plant construction under conditions of uncertainty. The results indicate that six determinants—EU-level production support mechanisms, investment costs, national support instruments, process efficiency improvements, community involvement, and agricultural raw material prices—account for 52.9% of the total impact on biogas development potential. Among the analysed investment options, large-scale biogas plants with an installed capacity of 3 MW were identified as the optimal strategy, offering the lowest unit production costs and the lowest risk of cost overruns across diverse economic and social environments. These findings provide policy-relevant insights for supporting efficient and socially acceptable biogas deployment in Europe. Full article
(This article belongs to the Special Issue Thermochemical Conversion of Biomass and Organic Solid Wastes)
Show Figures

Figure 1

17 pages, 531 KB  
Review
Hydrogen Types and Sustainable Exploitation Pathways in Sub-Saharan Africa: Opportunities and Challenges
by Kunle Babaremu and Tien-Chien Jen
Sustainability 2026, 18(7), 3647; https://doi.org/10.3390/su18073647 - 7 Apr 2026
Viewed by 407
Abstract
Hydrogen is increasingly recognized as a key vector for sustainable energy transitions, deep decarbonization, and enhanced energy security. This review evaluates major hydrogen types, grey, blue, and green, through a comparative assessment of production pathways, cost structures, technological maturity, and market readiness, with [...] Read more.
Hydrogen is increasingly recognized as a key vector for sustainable energy transitions, deep decarbonization, and enhanced energy security. This review evaluates major hydrogen types, grey, blue, and green, through a comparative assessment of production pathways, cost structures, technological maturity, and market readiness, with a focus on Sub-Saharan Africa (SSA). Grey hydrogen, while currently dominant due to established fossil-based infrastructure and low costs, is associated with high carbon emissions and climate-related risks. Blue hydrogen offers a transitional pathway via carbon capture and storage but faces constraints in SSA from high capital requirements, limited CCS infrastructure, and methane leakage. Green hydrogen, produced through renewable-powered electrolysis, represents the most sustainable long-term option, aligned with global net-zero goals and SSA’s abundant solar and wind resources, despite higher upfront costs. Synthesizing recent techno-economic, policy, and regional studies, the review highlights that prioritizing green hydrogen deployment supported by enabling policy frameworks, targeted investments, and capacity building is critical for unlocking SSA’s hydrogen potential, promoting low-carbon development, and advancing sustainable energy transitions across the region. Full article
Show Figures

Figure 1

16 pages, 3505 KB  
Article
Delivering Walkable Neighbourhoods? A Critical Examination of Five New Urban Extensions/Emerging New Towns in England
by Angela Lee, Graeme D. Larsen and Megi Zala
Sustainability 2026, 18(7), 3608; https://doi.org/10.3390/su18073608 - 7 Apr 2026
Viewed by 405
Abstract
Walkability has reemerged as a central interest within planning, public health, and built environment research, yet evidence demonstrates that new urban extensions or emerging New Towns across England continue to reproduce conditions of car dependency and limited active travel options. This paper examines [...] Read more.
Walkability has reemerged as a central interest within planning, public health, and built environment research, yet evidence demonstrates that new urban extensions or emerging New Towns across England continue to reproduce conditions of car dependency and limited active travel options. This paper examines the structural, spatial, and sociocultural factors shaping walkability through an in-depth analysis of five residential case studies. It draws on spatial analysis and assessment of resident behaviour using sociodemographic data. Findings indicate significant disparities in walkability outcomes, with some developments characterised by fragmented layouts, weak public transport integration, and environments that make walking impractical or undesirable. The paper argues that walkability must be understood as a multidimensional, relational property of place, rather than a static design feature. The current dominant planning practices continue to prioritise vehicular access and associated infrastructure, undermining national goals for decarbonisation, health equity, and sustainable mobility. Thus, this study identifies the spatial, governance, and policy conditions necessary to deliver genuinely walkable neighbourhoods and highlights the systemic barriers that continue to constrain progress. The findings offer critical insights for planners, policymakers, and developers seeking to create environments that support healthier, more equitable, and less car dependent futures. Full article
Show Figures

Figure 1

26 pages, 3673 KB  
Article
Integrating Multi-Source Stakeholder Data in a Participatory Multi-Criteria Decision Analysis Framework for Sustainable Sewage Sludge Management in Eastern Macedonia and Thrace (Greece)
by Aikaterini Eleftheriadou, Athanasios P. Vavatsikos, Christos S. Akratos and Maria Evridiki Gratziou
Waste 2026, 4(2), 11; https://doi.org/10.3390/waste4020011 - 7 Apr 2026
Viewed by 227
Abstract
Sewage sludge management remains a critical challenge in Greece, where increasing regulatory pressure, environmental constraints, and limited stakeholder participation complicate regional decision-making. In particular, the revision of regional Waste Management Plans requires decision-support approaches that are both technically robust and socially legitimate. This [...] Read more.
Sewage sludge management remains a critical challenge in Greece, where increasing regulatory pressure, environmental constraints, and limited stakeholder participation complicate regional decision-making. In particular, the revision of regional Waste Management Plans requires decision-support approaches that are both technically robust and socially legitimate. This study develops and applies a participatory, data-driven multi-criteria decision analysis framework to evaluate sustainable sewage sludge management strategies in the Region of Eastern Macedonia and Thrace. The framework combines structured stakeholder participation with quantitative performance assessment, enabling transparent, reproducible, and systematic comparison of alternative sewage sludge management options. Four realistic sludge management alternatives—composting fr agriculture, forestry use, land restoration, and thermal drying with energy recovery were assessed against fifteen economic, environmental, and social sub-criteria. Data were collected through structured questionnaires administered to forty-four representatives from five stakeholder groups: utilities (water and sewerage service providers), local authorities, scientists/experts, end-users, and citizens. Group preferences were aggregated using equal group weighting to ensure balanced representation. The results show that environmental and economic criteria outweigh social aspects. The highest mean weights were assigned to compliance with environmental requirements for products derived from the disposal method (0.105) and compliance with stricter national environmental legislation (0.104), followed by energy intensity (0.097), installation cost (0.065), and operation and maintenance (O&M) cost (0.061). Overall rankings identified composting and thermal drying as the most preferred options, followed by land restoration and forestry use; sensitivity analysis (±10% variation in sub-criterion weights) confirmed ranking stability. The proposed framework enhances decision transparency by embedding measurable criteria and stakeholder inputs within a structured analytical process. From a policy perspective, it addresses participation gaps in Greek waste planning and offers a transferable decision-support tool for future regional planning. Further extensions may include integration with life cycle assessment and cost–benefit analysis to support adaptive updates under circular economy objectives. Full article
(This article belongs to the Topic Converting and Recycling of Waste Materials)
Show Figures

Graphical abstract

10 pages, 517 KB  
Article
Prevalence of Nutrition Standards Use by Municipalities in Government-Owned or Operated Properties, United States, 2021
by Reena Oza-Frank, Amy Lowry Warnock and Diane M. Harris
Nutrients 2026, 18(7), 1165; https://doi.org/10.3390/nu18071165 - 7 Apr 2026
Viewed by 349
Abstract
Background/Objectives: Adopting written nutrition standards for food sold or served by local governments is a strategy for increasing access to healthier options among employees and residents. Methods: We used data from a 2021 national survey of 1982 municipal governments serving populations of 1000 [...] Read more.
Background/Objectives: Adopting written nutrition standards for food sold or served by local governments is a strategy for increasing access to healthier options among employees and residents. Methods: We used data from a 2021 national survey of 1982 municipal governments serving populations of 1000 or more. Among municipalities that sell or serve food or beverages, we examined the prevalence and 95% confidence intervals (CI) of those with written nutrition standards. Logistic regression models were used to obtain odds ratios and 95% CIs of written nutrition standards by municipality characteristics. Finally, we examined the prevalence including nutrition standards in food purchasing agreements or food service contracts among municipalities that sell or serve food and have written nutrition standards. Results: Among U.S. municipalities in 2021, 32% reported selling and 21% reported serving food or beverages. Among U.S. municipalities that sell or serve food or beverages, the prevalence of municipalities with written nutrition standards was 19%, and of these, 78% reported including their written nutrition standards in city food purchasing agreements or food service contracts. In adjusted analyses, the region (West vs. Midwest adjusted odds ratio [aOR]: 2.9 [95% CI: 1.7, 4.9]) and presence of a food policy council remained significantly associated with having written nutrition standards (aOR: 1.7 [1.1, 2.5]). Conclusions: Although only 1 in 5 municipalities that sell or serve food or beverages have written nutrition standards, of those that do, almost 80% reported including the standards in contracts, highlighting an important implementation lever and a public health opportunity for communities to adopt standards that offer healthy food and beverage options in public spaces. Full article
(This article belongs to the Section Nutrition and Public Health)
Show Figures

Figure 1

21 pages, 1911 KB  
Article
Synthetic Fuels in the Sustainable Management of Energy Transition: Expert Perspectives
by Stephan Peter Filser and Andreia Gabriela Andrei
Sustainability 2026, 18(7), 3558; https://doi.org/10.3390/su18073558 - 4 Apr 2026
Viewed by 432
Abstract
Man-made climate change is empirically proven and places ethical and strategic responsibility on the current generation to mitigate risks for future generations. Within this context, the selection of future energy carriers is a central determinant of sustainable development. While electrification is widely promoted, [...] Read more.
Man-made climate change is empirically proven and places ethical and strategic responsibility on the current generation to mitigate risks for future generations. Within this context, the selection of future energy carriers is a central determinant of sustainable development. While electrification is widely promoted, particularly in the transport sector, it is associated with complex production chains, critical raw material dependencies, unresolved recycling challenges, and potential resource scarcity. Synthetic fuels therefore re-emerge as a potential complementary option, especially for applications that are difficult to electrify directly. However, their role remains controversial due to efficiency losses and cost challenges. This paper uses qualitative research based on expert interviews to investigate the role of synthetic fuels in the sustainable management of energy transition and responsible practices. A total of 11 experts, representing the energy sector, research institutions, engineering fields, environmental organizations, and political–regulatory contexts participated. The analysis focused on four dimensions—efficiency, awareness, knowledge, and acceptance. The findings have shown that synthetic fuels are not a universal substitute for fossil fuels but a highly conditional option for hard-to-electrify applications. Efficiency losses, limited renewable electricity availability, knowledge gaps, conceptual ambiguity, and acceptance challenges significantly constrain their systemic role. The paper concludes that synthetic fuels can only make a meaningful contribution under strict conditions, with clear prioritization, realistic expectations, and coherent long-term policy frameworks aligned with intergenerational responsibility and genuine sustainability. The findings should be interpreted primarily within the German and European policy and innovation context, as the expert sample is largely embedded in institutions operating in this environment. Nevertheless, the insights provide relevant indications for broader international debates on the role of synthetic fuels in energy transition. Full article
Show Figures

Figure 1

Back to TopTop