Sign in to use this feature.

Years

Between: -

Subjects

remove_circle_outline
remove_circle_outline
remove_circle_outline
remove_circle_outline
remove_circle_outline
remove_circle_outline
remove_circle_outline
remove_circle_outline
remove_circle_outline

Journals

remove_circle_outline
remove_circle_outline
remove_circle_outline
remove_circle_outline
remove_circle_outline
remove_circle_outline

Article Types

Countries / Regions

remove_circle_outline
remove_circle_outline
remove_circle_outline
remove_circle_outline
remove_circle_outline
remove_circle_outline

Search Results (725)

Search Parameters:
Keywords = plant-forward

Order results
Result details
Results per page
Select all
Export citation of selected articles as:
30 pages, 4543 KB  
Article
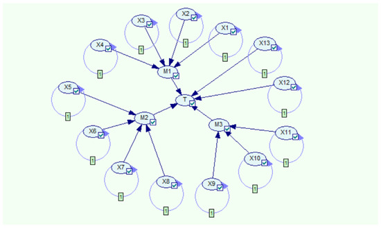
Dynamic Risk Assessment of the Coal Slurry Preparation System Based on LSTM-RNN Model
by Ziheng Zhang, Rijia Ding, Wenxin Zhang, Liping Wu and Ming Liu
Sustainability 2026, 18(2), 684; https://doi.org/10.3390/su18020684 - 9 Jan 2026
Abstract
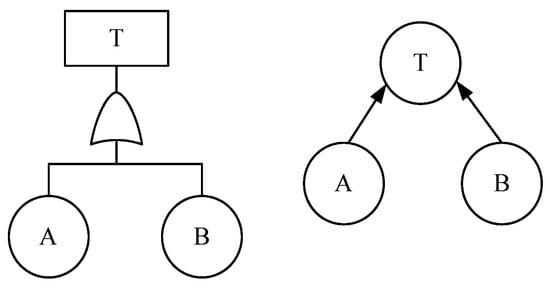
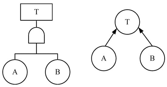
As the core technology of clean and efficient utilization of coal, coal gasification technology plays an important role in reducing environmental pollution, improving coal utilization, and achieving sustainable energy development. In order to ensure the safe, stable, and long-term operation of coal gasification [...] Read more.
As the core technology of clean and efficient utilization of coal, coal gasification technology plays an important role in reducing environmental pollution, improving coal utilization, and achieving sustainable energy development. In order to ensure the safe, stable, and long-term operation of coal gasification plant, aiming to address the strong subjectivity of dynamic Bayesian network (DBN) prior data in dynamic risk assessment, this study takes the coal slurry preparation system—the main piece of equipment in the initial stage of the coal gasification process—as the research object and uses a long short-term memory (LSTM) model combined with a back propagation (BP) neural network model to optimize DBN prior data. To further validate the superiority of the model, a gated recurrent unit (GRU) model was introduced for comparative verification. The mean absolute error (MAE), root mean square error (RMSE), and coefficient of determination are used to evaluate the generalization ability of the LSTM model. The results show that the LSTM model’s predictions are more accurate and stable. Bidirectional inference is performed on the DBN of the optimized coal slurry preparation system to achieve dynamic reliability analysis. Thanks to the forward reasoning of DBN in the coal slurry preparation system, quantitative analysis of the system’s reliability effects is conducted to clearly demonstrate the trend of system reliability over time, providing data support for stable operation and subsequent upgrades. By conducting reverse reasoning, key events and weak links before and after system optimization can be identified, and targeted improvement measures can be proposed accordingly. Full article
(This article belongs to the Special Issue Process Safety and Control Strategies for Urban Clean Energy Systems)
Show Figures

Figure 1

20 pages, 2951 KB  
Article
Vibration-Excited Combined Harvester for Dual Harvesting of Ears and Stalks: Design and Experiments
by Xinxin Wang, Yang Wang, Qian Wang, Xiang Li, Ruo Liu, Junlin Liu, Yansong Gong, Yushuai Liu and Duanyang Geng
Agriculture 2026, 16(1), 104; https://doi.org/10.3390/agriculture16010104 - 31 Dec 2025
Viewed by 195
Abstract
Aiming at the reliability of ear picking and the consistency of stalk chopping length in the process of corn ear and stalk harvesting, a new type of corn harvester with both ear and stalk harvesting based on exciting ear picking was developed. Based [...] Read more.
Aiming at the reliability of ear picking and the consistency of stalk chopping length in the process of corn ear and stalk harvesting, a new type of corn harvester with both ear and stalk harvesting based on exciting ear picking was developed. Based on the vertical cutting table, the machine realizes the excitation of the ear during the process of stalk transportation by rotating the eight-edged special-shaped pick-up roll, and the stable and orderly transportation of stalks before cutting is realized by the way of clamping and conveying with the rear rollers. By analyzing the configuration and parameter determination methods of the main working parts, the high-efficiency and low-loss harvest of the ear was realized, and the consistency of the cut length of the stalk was guaranteed. A discrete element model (DEM) of ear-bearing maize plants was established using EDEM (version 2024, Altair Engineering, Troy, MI, USA) simulation software, and a five-factor, three-level quadratic orthogonal rotation experiment was conducted based on Response Surface Methodology (RSM). The simulation results indicated that the optimal operational quality was achieved under the following parameters: a header angle of 10°, a snapping roller speed of 942 rpm, a clamping roller speed of 215 rpm, and a moving blade speed of 1450 rpm. Furthermore, multiple sets of field trials were conducted at various forward speeds to validate these findings. The mean values of seed loss rate, ear loss rate, and seed breakage rate are 0.51%, 0.55%, and 0.32%, respectively, for the harvester at operating speeds of 4 km/h, 6 km/h, 8 km/h, and 10 km/h. The σ values are 97%, 98%, 97%, and 98%. The field harvesting performance indexes meet the requirements of technical specifications for evaluating the operation quality of corn combine harvester, and meet the design requirements of low loss, high efficiency, and consistency of stem chopping length. Full article
(This article belongs to the Section Agricultural Technology)
Show Figures

Figure 1

37 pages, 2985 KB  
Review
Multiphysics Modelling and Optimization of Hydrogen-Based Shaft Furnaces: A Review
by Yue Yu, Feng Wang, Xiaodong Hao, Heping Liu, Bin Wang, Jianjun Gao and Yuanhong Qi
Processes 2026, 14(1), 138; https://doi.org/10.3390/pr14010138 - 31 Dec 2025
Viewed by 419
Abstract
Hydrogen-based direct reduction (H-DR) represents an environmentally benign and energy-efficient alternative in ironmaking that has significant industrial potential. This study reviews the current status of H-DR shaft furnaces and accompanying hydrogen-rich reforming technologies (steam and autothermal reforming), assessing the three dominant numerical frameworks [...] Read more.
Hydrogen-based direct reduction (H-DR) represents an environmentally benign and energy-efficient alternative in ironmaking that has significant industrial potential. This study reviews the current status of H-DR shaft furnaces and accompanying hydrogen-rich reforming technologies (steam and autothermal reforming), assessing the three dominant numerical frameworks used to analyze these processes: (i) porous medium continuum models, (ii) the Eulerian two-fluid model (TFMs), and (iii) coupled computational fluid dynamics (CFD)–discrete element method (DEM) models. The respective trade-offs in terms of computational cost and model accuracy are critically compared. Recent progress is evaluated from an engineering standpoint in four key areas: optimization of the pellet bed structure and gas distribution, thermal control of the reduction zone, sensitivity analysis of operating parameters, and industrial-scale model validation. Current limitations in predictive accuracy, computational efficiency, and plant-level transferability are identified, and possible mitigation strategies are discussed. Looking forward, high-fidelity multi-physics coupling, advanced mesoscale descriptions, AI-accelerated surrogate models, and rigorous uncertainty quantification can facilitate effective scalable and intelligent application of hydrogen-based shaft furnace simulations. Full article
(This article belongs to the Section Chemical Processes and Systems)
Show Figures

Figure 1

20 pages, 2158 KB  
Article
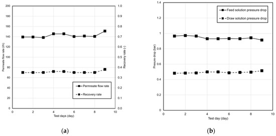
Dewatering of Sweet Whey Using Forward Osmosis on an Industrial Scale
by Bastian Greisner, Magnus Rienäcker, Frank Rögener and André Lerch
Purification 2026, 2(1), 1; https://doi.org/10.3390/purification2010001 - 26 Dec 2025
Viewed by 150
Abstract
Industrial whey dewatering via membrane processes remains challenging due to the rapid increase in viscosity, strong fouling tendencies from proteins and minerals, and the steep rise in osmotic pressure during concentration. These effects restrict operating windows and complicate energy-efficient process control. This study [...] Read more.
Industrial whey dewatering via membrane processes remains challenging due to the rapid increase in viscosity, strong fouling tendencies from proteins and minerals, and the steep rise in osmotic pressure during concentration. These effects restrict operating windows and complicate energy-efficient process control. This study addresses the application of forward osmosis (FO) technology for industrial-scale dewatering of sweet whey using an Aquaporin Inside® HFFO14 module. Various feed- and draw-side cross flow velocities (0.0397 to 0.0524 m s−1 and 0.0127 to 0.0190 m s−1, respectively) and draw solution (DS) osmotic pressures of 20 bar and 60 bar were investigated using a production-scale prototype plant. Sweet whey had an initial osmotic pressure of 7 bar and an electrical conductivity of 5.7 mS cm−1. DS pressures of 20 bar and 60 bar resulted in a total recovery of 50% and over 80%, respectively. Water flux rates initially ranged from 10.1 to 11.6 L m−2 h−1 (LMH) and ceased at 3.3 LMH. Specific energy demand ranged from 0.15 to 1.1 kWh m−3. These findings support the feasibility of industrial-scale FO technology and underscore the potential of FO as an energy-efficient, sustainable solution for the dairy industry. However, frequent rinsing and cleaning routines are crucial to maintain membrane performance. Full article
Show Figures

Figure 1

18 pages, 1365 KB  
Article
Global Research on Hemodialysis Nutrition and Patient-Centered Priorities: A Bibliometric Analysis (2006–2025)
by Chin-Huan Huang, Ming-Chi Lu and Malcolm Koo
Healthcare 2026, 14(1), 28; https://doi.org/10.3390/healthcare14010028 - 22 Dec 2025
Viewed by 339
Abstract
Background: Optimal nutritional care is essential to improving outcomes in hemodialysis, yet translation of evidence into routine practice remains uneven across settings. To inform health system planning and implementation priorities, we mapped global research on hemodialysis-related nutrition. Methods: We searched the Web of [...] Read more.
Background: Optimal nutritional care is essential to improving outcomes in hemodialysis, yet translation of evidence into routine practice remains uneven across settings. To inform health system planning and implementation priorities, we mapped global research on hemodialysis-related nutrition. Methods: We searched the Web of Science Core Collection for English-language original articles on nutrition and hemodialysis from 1 January 2006 to 13 October 2025. Publication trends, productivity by country and institution, influential journals and authors, citation impact, and conceptual structure via Keyword Plus co-occurrence, trend, and thematic evolution analyses were assessed using the bibliometrix package (version 5.0) in R. Results: A total of 332 articles from 115 journals were identified, with substantial growth and multidisciplinary authorship, though international collaboration remains limited. The United States contributed 21.4% of publications and achieved the highest citation impact, while China, Japan, Iran, and Brazil formed the next tier of contributors. The Journal of Renal Nutrition accounted for 16.6% of papers. Highly cited studies established links between dietary intake, mineral and electrolyte management, and survival, while supporting the use of intradialytic oral nutritional supplements. Thematic evolution showed a shift from biochemical markers toward patient-centered priorities, including diet quality, adherence, body composition, mental health, and quality of life. Emerging directions point to whole-diet approaches and microbiome-modulating strategies. Conclusions: Global research on diet and hemodialysis has progressed from foundational nutrient studies to multidimensional, patient-focused approaches. Our findings suggest opportunities for health systems to strengthen dietitian-led models of care, integrate patient-reported outcomes, and prioritize scalable nutrition interventions within routine dialysis services. Full article
(This article belongs to the Special Issue Management of the Patient with Kidney Disease: 2nd Edition)
Show Figures

Graphical abstract

17 pages, 5097 KB  
Article
Development and Testing of a Cumin Harvester with Mechanism Investigation for Cotton Cumin Intercropping
by Shengyou Chu, Xirui Yang, Kun Li, Yuying Tian, Yongcheng Zhang, Ruocheng Jin, Nan Zheng, Zhi Chen and Haipeng Lan
AgriEngineering 2025, 7(12), 423; https://doi.org/10.3390/agriengineering7120423 - 10 Dec 2025
Viewed by 343
Abstract
In response to the urgent need for full-process mechanization in Xinjiang’s cotton–cumin intercropping system, and to address the prominent bottlenecks of missing equipment for key harvesting steps and reliance on manual operations, we developed a cumin harvester and investigated its operating mechanisms. Guided [...] Read more.
In response to the urgent need for full-process mechanization in Xinjiang’s cotton–cumin intercropping system, and to address the prominent bottlenecks of missing equipment for key harvesting steps and reliance on manual operations, we developed a cumin harvester and investigated its operating mechanisms. Guided by the agronomic parameters of the intercropping system, we executed a system-level design centered on the header unit, performed multi-objective optimization using orthogonal experiments and regression modeling, and conducted field validation. Results show: stubble height of 32.6 mm, harvester reel speed of 28 r/min, and forward speed of 3.26 km/h. Under this parameter configuration, the harvest rate was 89.54%, and the average damage rate was 7.33%. Field trials indicated a harvest rate of 88.2% and an average damage rate of 5.6%, with deviations from model predictions of 1.34% and 1.73%. The optimal reel index (λ = 1.69), the longitudinal component of the reel tine motion, prevents repeated impacts on the plants, reducing shattering and threshing damage; the axial component provide reliable support and smooth guidance to the stalks, ensuring continuous, steady cutting; the optimized stubble height is lower than the plant’s center of mass. Full article
Show Figures

Figure 1

23 pages, 4360 KB  
Article
Design and Testing of a Vision-Based, Electrically Actuated, Row-Guided Inter-Row Cultivator
by Haonan Yang, Xueguan Zhao, Cuiling Li, Haoran Liu, Zhiwei Yu, Liyan Wu and Changyuan Zhai
Agronomy 2025, 15(12), 2825; https://doi.org/10.3390/agronomy15122825 - 9 Dec 2025
Viewed by 437
Abstract
Modern weeding technologies include chemical weeding, non-contact methods such as laser weeding, and conventional mechanical inter-row cultivation characterized by soil loosening and weed uprooting. For maize, mechanical inter-row cultivation is key to cutting herbicide use and enhancing the soil–crop environment. This study [...] Read more.
Modern weeding technologies include chemical weeding, non-contact methods such as laser weeding, and conventional mechanical inter-row cultivation characterized by soil loosening and weed uprooting. For maize, mechanical inter-row cultivation is key to cutting herbicide use and enhancing the soil–crop environment. This study developed a vision-guided intelligent inter-row cultivator with electric lateral shifting—its frame fabricated from Q235 low-carbon structural steel and assembled mainly via bolted and pinned joints—that computes real-time lateral deviation between the implement and crop rows through maize plant recognition and crop row fitting and uses delay compensation to command a servo-electric cylinder for precise ±15 cm inter-row adjustments corresponding to 30% of the 50 cm row spacing. To test the system’s dynamic response, 1–15 cm-commanded lateral displacements were evaluated at 0.31, 0.42, and 0.51 m/s to characterize the time-displacement response of the servo-electric shift mechanism; field tests were conducted at 0.51 m/s with three 30 m passes per maize growth stage to collect row-guidance error and root-injury data. Field results show that at an initial offset of 5 cm, the mean absolute error is 0.76–1.03 cm, and at 15 cm, the 95th percentile error is 7.5 cm. A root damage quantification method based on geometric overlap arc length was established, with rates rising with crop growth: 0.12% at the V2 to V3 stage, 1.46% at the V4 to V5 stage, and 9.61% at the V6 to V8 stage, making the V4 to V5 stage the optimal operating window. Compared with chemical weeding, the system requires no herbicide application, avoiding issues related to residues, drift, and resistance management. Compared with laser weeding, which requires high tool power density and has limited effective width, the tractor–implement system enables full-width weeding and shallow inter-row tillage in one pass, facilitating integration with existing mechanized operations. These results, obtained at a single forward speed of 0.51 m/s in one field and implement configuration, still require validation under higher speeds and broader field conditions; within this scope they support improving the precision of maize mechanical inter-row cultivation. Full article
(This article belongs to the Section Precision and Digital Agriculture)
Show Figures

Figure 1

27 pages, 5391 KB  
Review
Pepino Mosaic Virus in Tomato: Challenges, Control Strategies, and Future Prospects for Resistance Breeding
by Marzena Nowakowska, Julia Minicka, Marcin Nowicki, Wojciech Szczechura and Beata Hasiów-Jaroszewska
Int. J. Mol. Sci. 2025, 26(23), 11749; https://doi.org/10.3390/ijms262311749 - 4 Dec 2025
Viewed by 549
Abstract
Pepino mosaic virus (PepMV) is a highly infectious potexvirus that poses a significant threat to tomato cultivation in greenhouses worldwide. The threat posed by this virus is attributed to by its genetic complexity, characterized by the presence of multiple genotypes in circulation, mixed [...] Read more.
Pepino mosaic virus (PepMV) is a highly infectious potexvirus that poses a significant threat to tomato cultivation in greenhouses worldwide. The threat posed by this virus is attributed to by its genetic complexity, characterized by the presence of multiple genotypes in circulation, mixed infections, and ongoing genotype turnover. Surveys of wild Solanum species have identified promising sources of resistance; however, this resistance is often incomplete, manifesting as symptomless, yet virus-positive, plants. When resistance is identified, introgressing of these traits into elite backgrounds is frequently impeded by reproductive barriers and linkage drag. Consequently, there are currently no commercially available cultivars with durable resistance to PepMV. Current control measures rely on stringent hygiene practices, seed health protocols, and the use of mild isolate cross-protection, which can mitigate fruit symptoms when carefully genotype-matched and closely monitored. Looking forward, achieving durable control will likely require host-centered strategies. Loss-of-susceptibility mutations and RNA interference-based approaches have demonstrated strong potential in experimental studies. Future solutions may involve the integration of genome editing with RNA-based technologies, supported by regulatory harmonization and socioeconomic viability considerations. Full article
(This article belongs to the Section Molecular Plant Sciences)
Show Figures

Figure 1

23 pages, 1503 KB  
Review
Biostimulation in Clean-Up Biotechnologies: The Present Scenario and Future Trends
by Olga Muter
Bacteria 2025, 4(4), 62; https://doi.org/10.3390/bacteria4040062 - 2 Dec 2025
Viewed by 471
Abstract
The aim of this paper is to provide an overview of the main trends and progress in the biostimulation approach, which represents a crucial component of the broader multi-factor bioremediation process. A comprehensive search was carried out in the Scopus database. The stimulating [...] Read more.
The aim of this paper is to provide an overview of the main trends and progress in the biostimulation approach, which represents a crucial component of the broader multi-factor bioremediation process. A comprehensive search was carried out in the Scopus database. The stimulating roles of individual and complex nutrient amendments are reviewed, with particular emphasis on plant extracts, molasses, and surfactants. Methodological approaches for optimising nutrient formulations and conditions to strengthen the biostimulation effect are analysed, taking into account microbial ecology and physiology. Aspects of interspecies microbial interactions, such as cross-feeding connections, are discussed. The roles of directed evolution, starvation, and statistical optimisation in enhancing microbial activity are also highlighted. Overall, substantial theoretical knowledge on this topic has been accumulated in the scientific literature. However, data from long-term field studies remain scarce. Looking forward, modern methodological approaches may bridge these knowledge gaps by enabling the prediction of microbial activity, interactions, and cross-feeding, supported by comprehensive monitoring. In particular, artificial intelligence tools for the statistical optimisation of biostimulation conditions are expected to significantly improve process performance. This review summarises recent scientific papers alongside findings from our own long-term studies. Full article
Show Figures

Figure 1

24 pages, 3941 KB  
Review
Advances and Perspectives in Comprehensive Assessment of Medicinal–Ornamental Multifunctional Plants
by Xiaowen Feng, Lijie Wen, Yunqing Cui, Xueming Wang, Ziming Ren, Yihan Ye, Yiping Xia and Danqing Li
Horticulturae 2025, 11(12), 1454; https://doi.org/10.3390/horticulturae11121454 - 1 Dec 2025
Viewed by 534
Abstract
China is rich in medicinal–ornamental plants with multifunctional uses, making a significant contribution to global landscaping, environmental beautification, and the health industry. In the post-pandemic era, there is an increasing focus on improving living environments and enhancing immune health, leading to a growing [...] Read more.
China is rich in medicinal–ornamental plants with multifunctional uses, making a significant contribution to global landscaping, environmental beautification, and the health industry. In the post-pandemic era, there is an increasing focus on improving living environments and enhancing immune health, leading to a growing demand for the development and utilization of these plant resources. Resource evaluation is fundamental to their widespread application in landscaping, commercial production, germplasm innovation, and sustainable utilization. However, current research is limited, and there is an absence of a comprehensive evaluation system. The evaluation of these plants, particularly endangered wild species, is vital for biodiversity conservation, rational resource utilization, and breeding. This study proposes a resource evaluation model based on three key aspects: ecological adaptability, medicinal value, and ornamental value. It also reviews commonly employed research methods, such as the scoring method, analytic hierarchy process (AHP), and fuzzy mathematics. Looking forward, we highlight the importance of establishing fundamental evaluation indicators, integrating new technologies, leveraging big data, and strengthening evaluations for germplasm innovation and the protection of these multifunctional medicinal–ornamental plant resources in China. Full article
(This article belongs to the Special Issue Advances in Quality Regulation and Improvement of Ornamental Plants)
Show Figures

Figure 1

29 pages, 1378 KB  
Systematic Review
Bioactive Nutritional Components Within the Planetary Health Diet for Preventing Sarcopenic Obesity and Diabetic Sarcopenia: A Systematic Review
by Lia Elvina, Chiao-Ming Chen, Dang Hien Ngan Nguyen, Chun-Che Wei, Chien-Tien Su, Te-Chao Fang, Fandi Sutanto and Sing-Chung Li
Nutrients 2025, 17(23), 3656; https://doi.org/10.3390/nu17233656 - 22 Nov 2025
Viewed by 1305
Abstract
Background: Sarcopenic obesity (SO) and diabetic sarcopenia (DS) represent overlapping metabolic–musculoskeletal disorders characterized by the coexistence of excessive adiposity, insulin resistance, and progressive muscle wasting. The Planetary Health Diet (PHD), proposed by the EAT–Lancet Commission, emphasizes plant-forward, nutrient-dense, and environmentally sustainable food patterns [...] Read more.
Background: Sarcopenic obesity (SO) and diabetic sarcopenia (DS) represent overlapping metabolic–musculoskeletal disorders characterized by the coexistence of excessive adiposity, insulin resistance, and progressive muscle wasting. The Planetary Health Diet (PHD), proposed by the EAT–Lancet Commission, emphasizes plant-forward, nutrient-dense, and environmentally sustainable food patterns that may concurrently address metabolic and muscle health. This review aimed to systematically evaluate dietary and bioactive nutritional interventions aligned with the PHD and their effects on muscle mass, strength, metabolism, and underlying mechanisms in SO and DS. Methods: Following PRISMA guidelines, studies published between 2015 and 2025 were identified across PubMed, Scopus, and Google Scholar. Eligible studies included dietary, nutritional, or supplement-based interventions reporting muscle-related outcomes in obesity- or diabetes-associated conditions. Results: Ninety-one eligible studies were categorized into plant-derived, animal/marine-based, microorganism/fermented, synthetic/pharmaceutical, and environmental interventions. Across diverse models, bioactive compounds such as D-pinitol, umbelliferone, resveratrol, GABA, ginseng, whey peptides, probiotics, and omega-3 fatty acids consistently improved muscle mass, strength, and mitochondrial function via AMPK–SIRT1–PGC-1α and Akt–mTOR signaling. These mechanisms promoted mitochondrial biogenesis, suppressed proteolysis (MuRF1, Atrogin-1), and enhanced insulin sensitivity, antioxidant capacity, and gut–muscle communication. Conclusions: PHD-aligned foods combining plant proteins, polyphenols, and fermented products strengthen nutrient sensing, mitochondrial efficiency, and cellular resilience, representing a sustainable nutritional framework for preventing and managing SO and DS. Full article
(This article belongs to the Special Issue Nutritional Supplements and Age- or Disease-Related Muscle Wasting)
Show Figures

Figure 1

27 pages, 17561 KB  
Article
Symmetry-Inspired Design and Full-Coverage Path Planning for a Multi-Arm NDT Robot on a Reactor Pressure Vessel
by Maocheng Hong, Zhengyang Zhao, Jianxiang Jiang, Xiaoyang Zhao, Jingli Yan, Huaidong Chen and Xiaobing Zhang
Symmetry 2025, 17(11), 1995; https://doi.org/10.3390/sym17111995 - 18 Nov 2025
Viewed by 418
Abstract
Regular ultrasonic full-coverage inspection of reactor pressure vessels (RPVs) is critical to ensuring the safe operation of nuclear power plants. However, due to the extreme operating conditions and complex internal geometry of RPVs, most existing inspection technologies face significant challenges in achieving convenient [...] Read more.
Regular ultrasonic full-coverage inspection of reactor pressure vessels (RPVs) is critical to ensuring the safe operation of nuclear power plants. However, due to the extreme operating conditions and complex internal geometry of RPVs, most existing inspection technologies face significant challenges in achieving convenient and efficient full-coverage traversal detection. To address these limitations, this study proposes a novel nondestructive inspection robot equipped with four symmetrically arranged inspection arms for comprehensive RPV ultrasonic inspection. By considering the structural symmetry and motion characteristics of the inspection arms, a corresponding kinematic analysis is conducted, resulting in a precise kinematic model that enables real-time computation of both forward and inverse kinematic solutions with high accuracy. Furthermore, an adaptive full-coverage inspection method is developed by leveraging the vessel’s axisymmetric geometry and by partitioning the RPV into seven distinct detection zones, allowing the four inspection arms to independently complete inspections across the maximum number of zones, thereby significantly enhancing both detection coverage and operational efficiency. Experiments demonstrated the practical feasibility of the proposed robotic system and validated the effectiveness of the full-coverage inspection method. Full article
(This article belongs to the Section Engineering and Materials)
Show Figures

Figure 1

25 pages, 9640 KB  
Review
Advances in the Application of Electrostatics in Agriculture: A Review from Macroscale Spray Engineering to Microscale Plant Biostimulation
by Jie Cao, Zhelin Jin, Juan He, Guizhang Ju, Letian Mi, Yang Gao, Rui Lei and Guanggui Cheng
Micromachines 2025, 16(11), 1285; https://doi.org/10.3390/mi16111285 - 14 Nov 2025
Viewed by 940
Abstract
Electrostatic technology has emerged as a crucial tool for sustainable agricultural development due to its multifunctional characteristics. However, systematic and specialized investigations into its mechanism of action and application principles across diverse agricultural scenarios remain insufficient. Here, this review innovatively constructs a spatial [...] Read more.
Electrostatic technology has emerged as a crucial tool for sustainable agricultural development due to its multifunctional characteristics. However, systematic and specialized investigations into its mechanism of action and application principles across diverse agricultural scenarios remain insufficient. Here, this review innovatively constructs a spatial scale classification framework and categorizes it into macroscale spray engineering and microscale plant biostimulation. At the macroscale, electrostatic spraying leverages charged droplets’ properties (high surface charge density, strong electrostatic interaction, enhanced adsorption) to improve canopy deposition efficiency and reduce agrochemical drift losses. At the microscale, electrostatic fields induce electron/ion directional movement, providing non-contact stimulation to regulate plant physiological processes such as seed germination and nutrient uptake. We systematically summarize the latest research progress in electrostatic spraying and electrostatic biostimulation, and further compare them in terms of their fundamental mechanisms, targets, and stages of technological development. Finally, the current limitations and challenges for each technology are overviewed and the forward perspective for the efficient application of electrostatics in agriculture are outlined. This review provides theoretical references and technical guidelines for the application research of electrostatic spraying and electrostatic biostimulation, holding significant importance for promoting the standardized development of electrostatic technology in sustainable and precision agriculture. Full article
(This article belongs to the Special Issue Micro-Energy Harvesting Technologies and Self-Powered Sensing Systems)
Show Figures

Figure 1

23 pages, 4729 KB  
Article
Design and Agronomic Experiment of an Automatic Row-Following Device for Subsurface Crop Harvesters
by Xiaoxu Sun, Chunxia Jiang, Xiaolong Zhang and Zhixiong Lu
Agronomy 2025, 15(11), 2613; https://doi.org/10.3390/agronomy15112613 - 13 Nov 2025
Viewed by 478
Abstract
To address the issues of high labor intensity, high missed harvest rates, and high damage rates associated with traditional subsurface crop harvesters, this paper takes carrots as the research object and designs an automatic row-following device based on collaborative perception and intelligent control. [...] Read more.
To address the issues of high labor intensity, high missed harvest rates, and high damage rates associated with traditional subsurface crop harvesters, this paper takes carrots as the research object and designs an automatic row-following device based on collaborative perception and intelligent control. Firstly, the physical characteristic parameters and planting agronomic requirements of carrots in a harvest period were systematically measured and analyzed, and a collaborative control architecture with ‘lateral row-following and longitudinal profiling’ as the core was established. The architecture was composed of a lateral detection mechanism and a ridge surface floating detection mechanism. Building on this, this paper designed a control system with a STC12C5A60S2 single-chip microcomputer as the control core and a fusion fuzzy PID algorithm. By collaboratively driving the lateral and vertical stepper motors, the system achieved a precise control of the digging device’s position and posture, significantly improving the response speed and control stability under complex ridge conditions. Through the simulation of SolidWorks (2019) and RecurDyn (2023), the structural reliability and dynamic profiling effect of key components were validated from both static and dynamic perspectives, respectively. The parameter optimization results based on the response surface method show that the lateral motor speed and the forward speed are the dominant factors affecting the lateral accuracy and the vertical accuracy, respectively. Under the optimal parameter combination, the mean lateral deviation of the device measured in the field test was 1.118 cm, and the standard deviation was 0.257 cm. The mean vertical deviation is 0.986 cm, and the standard deviation is 0.016 cm. This study provides a feasible technical solution for the mechanized agronomic operation of carrots and other subsurface crops. Full article
(This article belongs to the Section Precision and Digital Agriculture)
Show Figures

Figure 1

36 pages, 2131 KB  
Review
Biogas Production in Agriculture: Technological, Environmental, and Socio-Economic Aspects
by Krzysztof Pilarski, Agnieszka A. Pilarska and Michał B. Pietrzak
Energies 2025, 18(21), 5844; https://doi.org/10.3390/en18215844 - 5 Nov 2025
Cited by 3 | Viewed by 1545
Abstract
This review provides a comprehensive analysis of the technological, environmental, economic, regulatory, and social dimensions shaping the development and operation of agricultural biogas plants. The paper adopts a primarily European perspective, reflecting the comparatively high share of agricultural inputs in anaerobic digestion (AD) [...] Read more.
This review provides a comprehensive analysis of the technological, environmental, economic, regulatory, and social dimensions shaping the development and operation of agricultural biogas plants. The paper adopts a primarily European perspective, reflecting the comparatively high share of agricultural inputs in anaerobic digestion (AD) across EU Member States, while drawing selective comparisons with global contexts to indicate where socio-geographical conditions may lead to different outcomes. It outlines core principles of the AD process and recent innovations—such as enzyme supplementation, microbial carriers, and multistage digestion systems—that enhance process efficiency and cost-effectiveness. The study emphasises substrate optimisation involving both crop- and livestock-derived materials, together with the critical management of water resources and digestate within a circular-economy framework to promote sustainability and minimise environmental risks. Economic viability, regulatory frameworks, and social dynamics are examined as key factors underpinning successful biogas implementation. The paper synthesises evidence on cost–benefit performance, investment drivers, regulatory challenges, and support mechanisms, alongside the importance of community engagement and participatory governance to mitigate land-use conflicts and ensure equitable rural development. Finally, it addresses persistent technical, institutional, environmental, and social barriers that constrain biogas deployment, underscoring the need for integrated solutions that combine technological advances with policy support and stakeholder cooperation. This analysis offers practical insights for advancing sustainable biogas use in agriculture, balancing energy production with environmental stewardship, food security, and rural equity. The review is based on literature identified in Scopus and Web of Science for 2007 to 2025 using predefined keyword sets and supplemented by EU policy and guidance documents and backward- and forward-citation searches. Full article
(This article belongs to the Special Issue Renewable Energy Integration into Agricultural and Food Engineering)
Show Figures

Figure 1

Back to TopTop