Sign in to use this feature.

Years

Between: -

Subjects

remove_circle_outline
remove_circle_outline
remove_circle_outline
remove_circle_outline
remove_circle_outline
remove_circle_outline
remove_circle_outline

Journals

Article Types

Countries / Regions

Search Results (18)

Search Parameters:
Keywords = phytoplankton–bacteria interactions

Order results
Result details
Results per page
Select all
Export citation of selected articles as:
13 pages, 1936 KB  
Article
The Input of Terrestrial Dissolved Organic Carbon Enhanced Bacteria Growth Efficiency on Phytoplankton-DOC and Indigenous Lake DOC: A Microcosm Study
by Zong’an Jin, Huiping Zhang, Zhengwen Liu, Erik Jeppesen, Jian Gao and Yali Tang
Microorganisms 2025, 13(9), 2081; https://doi.org/10.3390/microorganisms13092081 - 6 Sep 2025
Viewed by 831
Abstract
As a consequence of global climate change, lakes are increasingly receiving terrestrial dissolved organic carbon (DOC), which serves as a key substrate for microbial metabolism and fuels bacterial production (BP). However, bacteria in aquatic systems play a dual role in the carbon cycle [...] Read more.
As a consequence of global climate change, lakes are increasingly receiving terrestrial dissolved organic carbon (DOC), which serves as a key substrate for microbial metabolism and fuels bacterial production (BP). However, bacteria in aquatic systems play a dual role in the carbon cycle by not only incorporating DOC into their biomass but also respiring it as CO2 into the atmosphere (bacterial respiration, BR). As such, the estimation of bacterial growth efficiency (BGE), defined as BP/(BP + BR), is critical for understanding lake carbon dynamics and bacterial carbon processing. To investigate the effects of terrestrial organic carbon on bacterial carbon processing in lakes, we conducted a 13C-labeling experiment utilizing three microcosms, each filled with 0.22 μm filtered lake water inoculated with a microbial inoculum and set as follows: no extra DOC addition as a control, adding phytoplankton-derived DOC, and adding a mixture of phytoplankton-derived and terrestrial DOC. Our findings revealed that the addition of terrestrial DOC significantly enhanced both overall BGE (40.0%) and specific BGE based on phytoplankton-DOC (62.3%) and indigenous lake DOC (27.0%). Furthermore, terrestrial DOC inputs also altered bacterial carbon consumption pathways, as indicated by isotopic evidence. These results suggest that the input of terrestrial DOC may significantly affect lake DOC processing by changing the way bacteria process phytoplankton-DOC and indigenous lake DOC. This study highlights the profound influence of terrestrial DOC on lake carbon processing and suggests that terrestrial–aquatic cross-ecosystem interactions are critical for understanding lake carbon dynamics under changing climatic conditions. Full article
(This article belongs to the Section Environmental Microbiology)
Show Figures

Figure 1

27 pages, 11944 KB  
Article
Heatwave-Induced Thermal Stratification Shaping Microbial-Algal Communities Under Different Climate Scenarios as Revealed by Long-Read Sequencing and Imaging Flow Cytometry
by Ayagoz Meirkhanova, Adina Zhumakhanova, Polina Len, Christian Schoenbach, Eti Ester Levi, Erik Jeppesen, Thomas A. Davidson and Natasha S. Barteneva
Toxins 2025, 17(8), 370; https://doi.org/10.3390/toxins17080370 - 27 Jul 2025
Viewed by 1045
Abstract
The effect of periodical heatwaves and related thermal stratification in freshwater aquatic ecosystems has been a hot research issue. A large dataset of samples was generated from samples exposed to temporary thermal stratification in mesocosms mimicking shallow eutrophic freshwater lakes. Temperature regimes were [...] Read more.
The effect of periodical heatwaves and related thermal stratification in freshwater aquatic ecosystems has been a hot research issue. A large dataset of samples was generated from samples exposed to temporary thermal stratification in mesocosms mimicking shallow eutrophic freshwater lakes. Temperature regimes were based on IPCC climate warming scenarios, enabling simulation of future warming conditions. Surface oxygen levels reached 19.37 mg/L, while bottom layers dropped to 0.07 mg/L during stratification. Analysis by FlowCAM revealed dominance of Cyanobacteria under ambient conditions (up to 99.2%), while Cryptophyta (up to 98.9%) and Chlorophyta (up to 99.9%) were predominant in the A2 and A2+50% climate scenarios, respectively. We identified temperature changes and shifts in nutrient concentrations, particularly phosphate, as critical factors in microbial community composition. Furthermore, five distinct Microcystis morphospecies identified by FlowCAM-based analysis were associated with different microbial clusters. The combined use of imaging flow cytometry, which differentiates phytoplankton based on morphological parameters, and nanopore long-read sequencing analysis has shed light into the dynamics of microbial communities associated with different Microcystis morphospecies. In our observations, a peak of algicidal bacteria abundance often coincides with or is followed by a decline in the Cyanobacteria. These findings highlight the importance of species-level classification in the analysis of complex ecosystem interactions and the dynamics of algal blooms in freshwater bodies in response to anthropogenic effects and climate change. Full article
Show Figures

Figure 1

15 pages, 890 KB  
Review
Interaction of Naturally Occurring Phytoplankton with the Biogeochemical Cycling of Mercury in Aquatic Environments and Its Effects on Global Hg Pollution and Public Health
by Zivan Gojkovic, Samuel Simansky, Alain Sanabria, Ivana Márová, Inés Garbayo and Carlos Vílchez
Microorganisms 2023, 11(8), 2034; https://doi.org/10.3390/microorganisms11082034 - 8 Aug 2023
Cited by 17 | Viewed by 3980
Abstract
The biogeochemical cycling of mercury in aquatic environments is a complex process driven by various factors, such as ambient temperature, seasonal variations, methylating bacteria activity, dissolved oxygen levels, and Hg interaction with dissolved organic matter (DOM). As a consequence, part of the Hg [...] Read more.
The biogeochemical cycling of mercury in aquatic environments is a complex process driven by various factors, such as ambient temperature, seasonal variations, methylating bacteria activity, dissolved oxygen levels, and Hg interaction with dissolved organic matter (DOM). As a consequence, part of the Hg contamination from anthropogenic activity that was buried in sediments is reinserted into water columns mainly in highly toxic organic Hg forms (methylmercury, dimethylmercury, etc.). This is especially prominent in the coastal shallow waters of industrial regions worldwide. The main entrance point of these highly toxic Hg forms in the aquatic food web is the naturally occurring phytoplankton. Hg availability, intake, effect on population size, cell toxicity, eventual biotransformation, and intracellular stability in phytoplankton are of the greatest importance for human health, having in mind that such Hg incorporated inside the phytoplankton cells due to biomagnification effects eventually ends up in aquatic wildlife, fish, seafood, and in the human diet. This review summarizes recent findings on the topic of organic Hg form interaction with natural phytoplankton and offers new insight into the matter with possible directions of future research for the prevention of Hg biomagnification in the scope of climate change and global pollution increase scenarios. Full article
(This article belongs to the Special Issue Latest Review Papers in Environmental Microbiology 2023)
Show Figures

Figure 1

3 pages, 177 KB  
Editorial
Phytoplankton-Bacteria Interactions 2.0
by Katherina Petrou
Microorganisms 2023, 11(6), 1536; https://doi.org/10.3390/microorganisms11061536 - 9 Jun 2023
Cited by 1 | Viewed by 1986
Abstract
There are multiple ways in which phytoplankton and bacteria interact, starting from the fundamental symbiotic associations of direct attachment, through intimate interactions within the phytoplankton phycosphere, to random associations within the water column via the exudation and cycling of dissolved organic carbon (DOC) [...] Read more.
There are multiple ways in which phytoplankton and bacteria interact, starting from the fundamental symbiotic associations of direct attachment, through intimate interactions within the phytoplankton phycosphere, to random associations within the water column via the exudation and cycling of dissolved organic carbon (DOC) and other chemical compounds [...] Full article
(This article belongs to the Special Issue Phytoplankton-Bacteria Interactions 2.0)
3 pages, 168 KB  
Editorial
Phytoplankton–Bacteria Interactions 1.0
by Katherina Petrou
Microorganisms 2023, 11(5), 1188; https://doi.org/10.3390/microorganisms11051188 - 1 May 2023
Viewed by 1796
Abstract
Phytoplankton and bacteria regulate many essential functions in aquatic ecosystems [...] Full article
(This article belongs to the Special Issue Phytoplankton-Bacteria Interactions)
18 pages, 4589 KB  
Article
Nitrogen and Phosphorus Discriminate the Assembly Processes of Prokaryotic and Eukaryotic Algae in an Agricultural Drainage Receiving Lake
by Dongnan Huang, Han Zheng, Jing Cheng, Guanxiong Wu, Lei Zheng and En Xie
Sustainability 2023, 15(3), 2584; https://doi.org/10.3390/su15032584 - 31 Jan 2023
Cited by 4 | Viewed by 2546
Abstract
Phytoplankton and bacteria play key roles in material cycling and their consequent eco-functions in lakes, which are threatened by anthropogenic pressures, especially agricultural activities, which, in the watershed, are effective in changing the material composition and hydrodynamic conditions of the lake through material [...] Read more.
Phytoplankton and bacteria play key roles in material cycling and their consequent eco-functions in lakes, which are threatened by anthropogenic pressures, especially agricultural activities, which, in the watershed, are effective in changing the material composition and hydrodynamic conditions of the lake through material input and water withdrawal. This process theoretically changes the interaction and assembly pattern of microorganisms, which are important factors driving the structural and functional evolution of ecological communities in lakes. In this research, the community structure, interactions, and assembly of phytoplankton and bacteria were investigated during agro-irrigation seasons in a typical agricultural drainage receiving lake, Wuliangsuhai. The results showed that the seasonal variations in the community were driven by nitrogen and phosphorus. In particular, Cyanobacteria increased significantly during the seasons with the regulation of TP (λ = 0.56, p < 0.01, n = 30). The TN positively drove Chlorophyta and Bacillariophyta (λ = 0.42 and 0.65, p < 0.05, n = 30). Furthermore, MENA showed that planktonic algae and bacterial community interactions were enhanced, and interspecific competition increased at high trophic levels. The community assembly is primarily a stochastic process that is mostly related to hydrodynamic conditions. The second related factor, nitrogen and phosphorus inputs, had obvious effects on community assembly, which responded to its effects on species diversity, niche width, and interactions, and they jointly controlled community assembly. This study reveals that the assembly processes of bacteria and planktonic algae were driven by different environmental factors in specific ways, which provides a new view for understanding agriculture’s impacts on microecology and helps in developing lake protection strategies. Full article
Show Figures

Graphical abstract

15 pages, 2585 KB  
Article
Effects of Phycosphere Bacteria on Their Algal Host Are Host Species-Specific and Not Phylogenetically Conserved
by Dylan Baker, James Lauer, Anna Ortega, Sara L. Jackrel and Vincent J. Denef
Microorganisms 2023, 11(1), 62; https://doi.org/10.3390/microorganisms11010062 - 25 Dec 2022
Cited by 10 | Viewed by 4331
Abstract
Phytoplankton is fundamental to life on Earth. Their productivity is influenced by the microbial communities residing in the phycosphere surrounding algal cells. Expanding our knowledge on how algal-bacterial interactions affect algal growth to more hosts and bacteria can help elucidate general principles of [...] Read more.
Phytoplankton is fundamental to life on Earth. Their productivity is influenced by the microbial communities residing in the phycosphere surrounding algal cells. Expanding our knowledge on how algal-bacterial interactions affect algal growth to more hosts and bacteria can help elucidate general principles of algal-host interactions. Here, we isolated 368 bacterial strains from phycosphere communities, right after phycosphere recruitment from pond water and after a month of lab cultivation and examined their impacts on growth of five green algal species. We isolated both abundant and rare phycosphere members, representing 18.4% of the source communities. Positive and neutral effects predominated over negative effects on host growth. The proportion of each effect type and whether the day of isolation mattered varied by host species. Bacteria affected algal carrying capacity more than growth rate, suggesting that nutrient remineralization and toxic byproduct metabolism may be a dominant mechanism. Across-host algal fitness assays indicated host-specific growth effects of our isolates. We observed no phylogenetic conservation of the effect on host growth among bacterial isolates. Even isolates with the same ASV had divergent effects on host growth. Our results emphasize highly specific host-bacterial interactions in the phycosphere and raise questions as to which mechanisms mediate these interactions. Full article
(This article belongs to the Special Issue Phytoplankton-Bacteria Interactions 2.0)
Show Figures

Figure 1

20 pages, 2027 KB  
Article
Emiliania huxleyi—Bacteria Interactions under Increasing CO2 Concentrations
by Joana Barcelos e Ramos, Susana Chaves Ribeiro, Kai George Schulz, Francisco José Riso Da Costa Coelho, Vanessa Oliveira, Angela Cunha, Newton Carlos Marcial Gomes, Colin Brownlee, Uta Passow and Eduardo Brito de Azevedo
Microorganisms 2022, 10(12), 2461; https://doi.org/10.3390/microorganisms10122461 - 13 Dec 2022
Cited by 1 | Viewed by 3491
Abstract
The interactions established between marine microbes, namely phytoplankton–bacteria, are key to the balance of organic matter export to depth and recycling in the surface ocean. Still, their role in the response of phytoplankton to rising CO2 concentrations is poorly understood. Here, we [...] Read more.
The interactions established between marine microbes, namely phytoplankton–bacteria, are key to the balance of organic matter export to depth and recycling in the surface ocean. Still, their role in the response of phytoplankton to rising CO2 concentrations is poorly understood. Here, we show that the response of the cosmopolitan Emiliania huxleyi (E. huxleyi) to increasing CO2 is affected by the coexistence with bacteria. Specifically, decreased growth rate of E. huxleyi at enhanced CO2 concentrations was amplified in the bloom phase (potentially also related to nutrient concentrations) and with the coexistence with Idiomarina abyssalis (I. abyssalis) and Brachybacterium sp. In addition, enhanced CO2 concentrations also affected E. huxleyi’s cellular content estimates, increasing organic and decreasing inorganic carbon, in the presence of I. abyssalis, but not Brachybacterium sp. At the same time, the bacterial isolates only survived in coexistence with E. huxleyi, but exclusively I. abyssalis at present CO2 concentrations. Bacterial species or group-specific responses to the projected CO2 rise, together with the concomitant effect on E. huxleyi, might impact the balance between the microbial loop and the export of organic matter, with consequences for atmospheric carbon dioxide. Full article
Show Figures

Figure 1

22 pages, 6387 KB  
Article
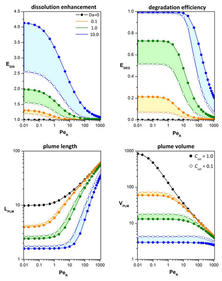
Impact of Microbial Uptake on the Nutrient Plume around Marine Organic Particles: High-Resolution Numerical Analysis
by George E. Kapellos, Hermann J. Eberl, Nicolas Kalogerakis, Patrick S. Doyle and Christakis A. Paraskeva
Microorganisms 2022, 10(10), 2020; https://doi.org/10.3390/microorganisms10102020 - 13 Oct 2022
Cited by 7 | Viewed by 3464
Abstract
The interactions between marine bacteria and particulate matter play a pivotal role in the biogeochemical cycles of carbon and associated inorganic elements in the oceans. Eutrophic plumes typically form around nutrient-releasing particles and host intense bacterial activities. However, the potential of bacteria to [...] Read more.
The interactions between marine bacteria and particulate matter play a pivotal role in the biogeochemical cycles of carbon and associated inorganic elements in the oceans. Eutrophic plumes typically form around nutrient-releasing particles and host intense bacterial activities. However, the potential of bacteria to reshape the nutrient plumes remains largely unexplored. We present a high-resolution numerical analysis for the impacts of nutrient uptake by free-living bacteria on the pattern of dissolution around slow-moving particles. At the single-particle level, the nutrient field is parameterized by the Péclet and Damköhler numbers (0 < Pe < 1000, 0 < Da < 10) that quantify the relative contribution of advection, diffusion and uptake to nutrient transport. In spite of reducing the extent of the nutrient plume in the wake of the particle, bacterial uptake enhances the rates of particle dissolution and nutrient depletion. These effects are amplified when the uptake timescale is shorter than the plume lifetime (Pe/Da < 100, Da > 0.0001), while otherwise they are suppressed by advection or diffusion. Our analysis suggests that the quenching of eutrophic plumes is significant for individual phytoplankton cells, as well as marine aggregates with sizes ranging from 0.1 mm to 10 mm and sinking velocities up to 40 m per day. This microscale process has a large potential impact on microbial growth dynamics and nutrient cycling in marine ecosystems. Full article
(This article belongs to the Section Environmental Microbiology)
Show Figures

Figure 1

20 pages, 2403 KB  
Article
Phytoplankton Responses to Bacterially Regenerated Iron in a Southern Ocean Eddy
by Marion Fourquez, Robert F. Strzepek, Michael J. Ellwood, Christel Hassler, Damien Cabanes, Sam Eggins, Imojen Pearce, Stacy Deppeler, Thomas W. Trull, Philip W. Boyd and Matthieu Bressac
Microorganisms 2022, 10(8), 1655; https://doi.org/10.3390/microorganisms10081655 - 16 Aug 2022
Cited by 8 | Viewed by 4047
Abstract
In the Subantarctic sector of the Southern Ocean, vertical entrainment of iron (Fe) triggers the seasonal productivity cycle but diminishing physical supply during the spring to summer transition forces microbial assemblages to rapidly acclimate. Here, we tested how phytoplankton and bacteria within an [...] Read more.
In the Subantarctic sector of the Southern Ocean, vertical entrainment of iron (Fe) triggers the seasonal productivity cycle but diminishing physical supply during the spring to summer transition forces microbial assemblages to rapidly acclimate. Here, we tested how phytoplankton and bacteria within an isolated eddy respond to different dissolved Fe (DFe)/ligand inputs. We used three treatments: one that mimicked the entrainment of new DFe (Fe-NEW), another in which DFe was supplied from bacterial regeneration of particles (Fe-REG), and a control with no addition of DFe (Fe-NO). After 6 days, 3.5 (Fe-NO, Fe-NEW) to 5-fold (Fe-REG) increases in Chlorophyll a were observed. These responses of the phytoplankton community were best explained by the differences between the treatments in the amount of DFe recycled during the incubation (Fe-REG, 15% recycled c.f. 40% Fe-NEW, 60% Fe-NO). This additional recycling was more likely mediated by bacteria. By day 6, bacterial production was comparable between Fe-NO and Fe-NEW but was approximately two-fold higher in Fe-REG. A preferential response of phytoplankton (haptophyte-dominated) relative to high nucleic acid (HNA) bacteria was also found in the Fe-REG treatment while the relative proportion of diatoms increased faster in the Fe-NEW and Fe-NO treatments. Comparisons between light and dark incubations further confirmed the competition between picophytoplankton and HNA for DFe. Overall, our results demonstrate great versatility by microorganisms to use different Fe sources that results in highly efficient Fe recycling within surface waters. This study also encourages future research to further investigate the interactions between functional groups of microbes (e.g. HNA and cyanobacteria) to better constraint modeling in Fe and carbon biogeochemical cycles. Full article
(This article belongs to the Special Issue Phytoplankton-Bacteria Interactions 2.0)
Show Figures

Figure 1

13 pages, 2111 KB  
Article
Dissipation of a Polykrikos geminatum Bloom after Wind Events in Pearl River Estuary
by Yupei Guo, Senjie Lin, Liangmin Huang, Yongqiang Chen, Simin Hu, Sheng Liu, Yehui Tan, Xiaoping Huang and Dajun Qiu
Water 2022, 14(15), 2313; https://doi.org/10.3390/w14152313 - 25 Jul 2022
Cited by 4 | Viewed by 2676
Abstract
Dinoflagellates is one dominant group in coastal marine phytoplankton communities and, on occasion, form blooms in estuaries and coastal ecosystems. While relationships between dinoflagellate bloom dynamics and nutrients are well-studied, information regarding bloom dissipation in estuaries is limited. We studied the dissipation of [...] Read more.
Dinoflagellates is one dominant group in coastal marine phytoplankton communities and, on occasion, form blooms in estuaries and coastal ecosystems. While relationships between dinoflagellate bloom dynamics and nutrients are well-studied, information regarding bloom dissipation in estuaries is limited. We studied the dissipation of dinoflagellate Polykrikos geminatum blooms in the Pearl River Estuary, South China Sea, during August of 2011 using ecological, molecular, and satellite remote sensing data. We found that the dinoflagellate bloom was associated with water temperatures of 29.2–31 °C, salinities ranging 16.4–20, and ambient water nutrient concentrations that were not limited. The abundance of the ciliate Euplotes rariseta, which feeds on P. geminatum cell debris and bacteria, functions as an indicator species of P. geminatum bloom dissipation. In situ and satellite data indicate that bloom water masses were transferred from the central to inner estuary near Shenzhen Bay, driven by continuous, strong southerly winds; at which point in time, P. geminatum blooms dissipated to a high-salinity area near the estuary mouth driven by northerly winds and freshwater discharge, whereupon the blooms rapidly vanished. A low tolerance to low or high salinities resulted in P. geminatum bloom demise in the Pearl River Estuary. We propose that interactions among salinity, wind, and freshwater incursion result in P. geminatum bloom dissipation in the Pearl River Estuary. Full article
Show Figures

Figure 1

17 pages, 4950 KB  
Article
Assessment of Microbial Community Composition Changes in the Presence of Phytoplankton-Derived Exudates in Two Contrasting Areas from Chilean Patagonia
by Valentina Valdés-Castro, Humberto E. González, Ricardo Giesecke, Camila Fernández and Verónica Molina
Diversity 2022, 14(3), 195; https://doi.org/10.3390/d14030195 - 7 Mar 2022
Cited by 6 | Viewed by 3602
Abstract
Patagonian fjords and channels in southern Chile are heterogeneous ecosystems characterized by the interaction of estuarine and marine waters influencing physical-chemical conditions and biological assemblages. Besides salinity, microbial communities from estuarine and marine origin are naturally subjected to changing organic matter quality and [...] Read more.
Patagonian fjords and channels in southern Chile are heterogeneous ecosystems characterized by the interaction of estuarine and marine waters influencing physical-chemical conditions and biological assemblages. Besides salinity, microbial communities from estuarine and marine origin are naturally subjected to changing organic matter quality and variable nutrient concentrations. In this study, we tackle the response of the bacterial community from estuarine and marine origins associated with two size classes (<0.7 µm and <1.6 µm) to the addition of sterile phytoplankton-derived exudates (PDE) compared to control conditions (no addition). Picoplanktonic cell abundance, active bacterial composition analyzed through 16S rRNA sequencing, changes in dissolved organic carbon (DOC) and δ13C were determined over 5 and 15 days after PDE addition. Our results showed that the active marine bacteria were richer and more diverse than their estuarine counterparts, and were dominated by Alphaproteobacteria and Gammaproteobacteria, respectively. PDE addition in both the fractions and the sample origin resulted in an enrichment throughout the incubation of Rhodobacteracea and Cryimorphaceae families, whereas Epsilonproteobacteria (Arcobacteraceae) were mainly favored in the estuarine experiments. Picoplankton abundance increased with time, but higher cell numbers were found in PDE treatments in both size classes (>2 × 105 cell mL−1). In all the experiments, DOC concentration decreased after eight days of incubation, but shifts in δ13C organic matter composition were greater in the estuarine experiments. Overall, our results indicate that despite their different origins (estuarine versus marine), microbial communities inhabiting the fjord responded to PDE with a faster effect on marine active bacteria. Full article
(This article belongs to the Special Issue Microbial Ecology of Aquatic Habitats)
Show Figures

Figure 1

21 pages, 4170 KB  
Article
How Microbial Food Web Interactions Shape the Arctic Ocean Bacterial Community Revealed by Size Fractionation Experiments
by Oliver Müller, Lena Seuthe, Bernadette Pree, Gunnar Bratbak, Aud Larsen and Maria Lund Paulsen
Microorganisms 2021, 9(11), 2378; https://doi.org/10.3390/microorganisms9112378 - 17 Nov 2021
Cited by 5 | Viewed by 4131
Abstract
In the Arctic, seasonal changes are substantial, and as a result, the marine bacterial community composition and functions differ greatly between the dark winter and light-intensive summer. While light availability is, overall, the external driver of the seasonal changes, several internal biological interactions [...] Read more.
In the Arctic, seasonal changes are substantial, and as a result, the marine bacterial community composition and functions differ greatly between the dark winter and light-intensive summer. While light availability is, overall, the external driver of the seasonal changes, several internal biological interactions structure the bacterial community during shorter timescales. These include specific phytoplankton–bacteria associations, viral infections and other top-down controls. Here, we uncover these microbial interactions and their effects on the bacterial community composition during a full annual cycle by manipulating the microbial food web using size fractionation. The most profound community changes were detected during the spring, with ‘mutualistic phytoplankton’—Gammaproteobacteria interactions dominating in the pre-bloom phase and ‘substrate-dependent phytoplankton’—Flavobacteria interactions during blooming conditions. Bacterivores had an overall limited effect on the bacterial community composition most of the year. However, in the late summer, grazing was the main factor shaping the community composition and transferring carbon to higher trophic levels. Identifying these small-scale interactions improves our understanding of the Arctic marine microbial food web and its dynamics. Full article
(This article belongs to the Special Issue Polar Microbes)
Show Figures

Graphical abstract

19 pages, 3324 KB  
Article
The Relationship between the Community Structure and Function of Bacterioplankton and the Environmental Response in Qingcaosha Reservoir
by Shumin Liu, Fengbin Zhao and Xin Fang
Water 2021, 13(22), 3155; https://doi.org/10.3390/w13223155 - 9 Nov 2021
Cited by 2 | Viewed by 2870
Abstract
Phytoplankton and bacterioplankton play a vital role in the structure and function of aquatic ecosystems, and their activity is closely linked to water eutrophication. However, few researchers have considered the temporal and spatial succession of phytoplankton and bacterioplankton, and their responses to environmental [...] Read more.
Phytoplankton and bacterioplankton play a vital role in the structure and function of aquatic ecosystems, and their activity is closely linked to water eutrophication. However, few researchers have considered the temporal and spatial succession of phytoplankton and bacterioplankton, and their responses to environmental factors. The temporal and spatial succession of bacterioplankton and their ecological interaction with phytoplankton and water quality were analyzed using 16S rDNA high-throughput sequencing for their identification, and the functions of bacterioplankton were predicted. The results showed that the dominant classes of bacterioplankton in the Qingcaosha Reservoir were Gammaproteobacteria, Alphaproteobacteria, Actinomycetes, Acidimicrobiia, and Cyanobacteria. In addition, the Shannon diversity indexes were compared, and the results showed significant temporal differences based on monthly averaged value, although no significant spatial difference. The community structure was found to be mainly influenced by phytoplankton density and biomass, dissolved oxygen, and electrical conductivity. The presence of Pseudomonas and Legionella was positively correlated with that of Pseudanabaena sp., and Sphingomonas and Paragonimus with Melosira granulata. On the contrary, the presence of Planctomycetes was negatively correlated with Melosira granulata, as was Deinococcus-Thermus with Cyclotella sp. The relative abundance of denitrifying bacteria decreased from April to December, while the abundance of nitrogen-fixing bacteria increased. This study provides a scientific basis for understanding the ecological interactions between bacteria, algae, and water quality in reservoir ecosystems. Full article
Show Figures

Figure 1

19 pages, 1711 KB  
Article
Features of the Opportunistic Behaviour of the Marine Bacterium Marinobacter algicola in the Microalga Ostreococcus tauri Phycosphere
by Jordan Pinto, Raphaël Lami, Marc Krasovec, Régis Grimaud, Laurent Urios, Josselin Lupette, Marie-Line Escande, Frédéric Sanchez, Laurent Intertaglia, Nigel Grimsley, Gwenaël Piganeau and Sophie Sanchez-Brosseau
Microorganisms 2021, 9(8), 1777; https://doi.org/10.3390/microorganisms9081777 - 20 Aug 2021
Cited by 12 | Viewed by 3915
Abstract
Although interactions between microalgae and bacteria are observed in both natural environment and the laboratory, the modalities of coexistence of bacteria inside microalgae phycospheres in laboratory cultures are mostly unknown. Here, we focused on well-controlled cultures of the model green picoalga Ostreococcus tauri [...] Read more.
Although interactions between microalgae and bacteria are observed in both natural environment and the laboratory, the modalities of coexistence of bacteria inside microalgae phycospheres in laboratory cultures are mostly unknown. Here, we focused on well-controlled cultures of the model green picoalga Ostreococcus tauri and the most abundant member of its phycosphere, Marinobacter algicola. The prevalence of M. algicola in O. tauri cultures raises questions about how this bacterium maintains itself under laboratory conditions in the microalga culture. The results showed that M. algicola did not promote O. tauri growth in the absence of vitamin B12 while M. algicola depended on O. tauri to grow in synthetic medium, most likely to obtain organic carbon sources provided by the microalgae. M. algicola grew on a range of lipids, including triacylglycerols that are known to be produced by O. tauri in culture during abiotic stress. Genomic screening revealed the absence of genes of two particular modes of quorum-sensing in Marinobacter genomes which refutes the idea that these bacterial communication systems operate in this genus. To date, the ‘opportunistic’ behaviour of M. algicola in the laboratory is limited to several phytoplanktonic species including Chlorophyta such as O. tauri. This would indicate a preferential occurrence of M. algicola in association with these specific microalgae under optimum laboratory conditions. Full article
(This article belongs to the Special Issue Phytoplankton-Bacteria Interactions)
Show Figures

Figure 1

Back to TopTop