Assessment of Microbial Community Composition Changes in the Presence of Phytoplankton-Derived Exudates in Two Contrasting Areas from Chilean Patagonia
Abstract
1. Introduction
2. Materials and Methods
2.1. Environmental Conditions
2.2. Experimental Design
2.3. Active Bacteria, Nucleic Acid Extraction, and Sequencing Procedure
2.4. 16S rRNA Gene Sequence Analyses and Microbial Community Characterization
2.5. Statistical Analysis
3. Results
3.1. Hydrographic and Biogeochemical Conditions
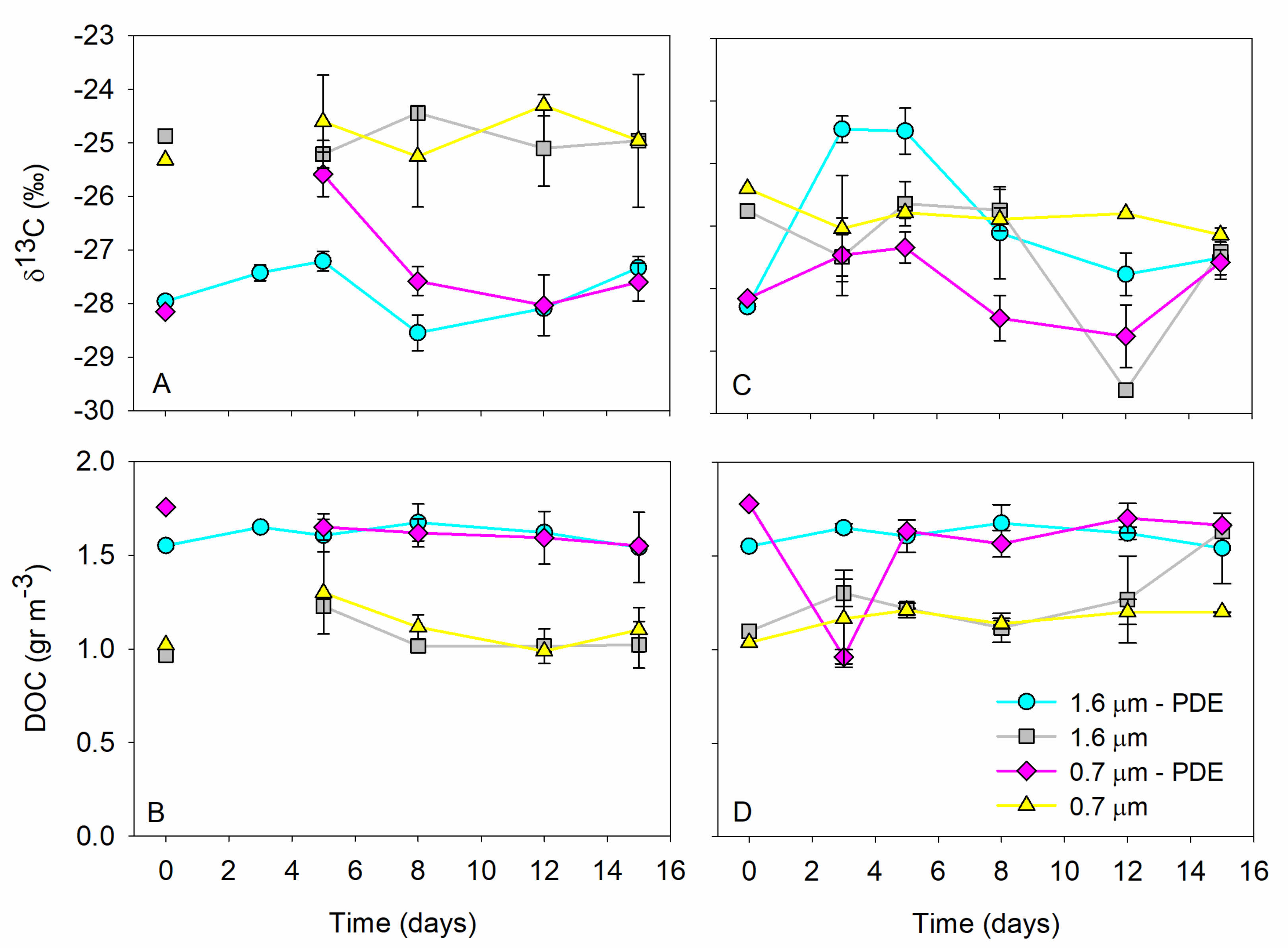
3.2. Changes in Biogeochemical Conditions after PDE Addition to the Different Picoplanktonic Fractions
3.3. Changes in Picoplankton Abundance during the Incubations
3.4. Active Bacterial Community Structure and Composition Response to PDE Addition
4. Discussion
4.1. Potential Organic Matter Degradation by Different Small Microbial Size Fractions
4.2. Active Bacterial Community Structure and Composition Responses during Surface Marine and Estuarine Water Incubations
Supplementary Materials
Author Contributions
Funding
Institutional Review Board Statement
Informed Consent Statement
Data Availability Statement
Acknowledgments
Conflicts of Interest
References
- González, H.; Calderón, M.; Castro, L.; Clement, A.; Cuevas, L.; Daneri, G.; Iriarte, J.; Lizárraga, L.; Martínez, R.; Menschel, E.; et al. Primary production and plankton dynamics in the Reloncaví Fjord and the Interior Sea of Chiloé, Northern Patagonia, Chile. Mar. Ecol. Prog. Ser. 2010, 402, 13–30. [Google Scholar] [CrossRef]
- González, H.; Castro, L.; Daneri, G.; Iriarte, J.; Silva, N.; Tapia, F.; Teca, E.; Vargas, C. Land–ocean gradient in haline stratification and its effects on plankton dynamics and trophic carbon fluxes in Chilean Patagonian fjords (47–50° S). Prog. Oceanogr. 2013, 119, 32–47. [Google Scholar] [CrossRef]
- González, H.; Castro, L.; Daneri, G.; Iriarte, J.; Silva, N.; Vargas, C.; Giesecke, R.; Sánchez, N. Seasonal plankton variability in Chilean Patagonia fjords: Carbon flow through the pelagic food web of Aysen Fjord and plankton dynamics in the Moraleda Channel basin. Cont. Shelf Res. 2011, 31, 225–243. [Google Scholar] [CrossRef]
- Montero, P.M.; Tapia, F.; Iriarte, J.L.; Crawford, D.; Daneri, G. Diatom blooms and primary production in a channel ecosystem of central Patagonia. Lat. Am. J. Aquat. Res. 2017, 45, 999–1016. [Google Scholar] [CrossRef]
- Dávila, P.M.; Figueroa, D.; Müller, E. Freshwater input into the coastal ocean and its relation with the salinity distribution off austral Chile (35–55° S). Cont. Shelf Res. 2002, 22, 521–534. [Google Scholar] [CrossRef]
- Sievers, H.A.; Silva, N. 4.1 Masas de agua y circulación en los canales y fiordos australes. In Avances en el Conocimiento Oceanográfico de las Aguas Interiores Chilenas, Puerto Montt a cabo de Hornos; Comité Oceanográfico Nacional–Pontificia Universidad Católica de Valparaíso: Valparaíso, Chile, 2006; pp. 53–58. [Google Scholar]
- Silva, N.; Vargas, C.A.; Prego, R. Land–ocean distribution of allochthonous organic matter in surface sediments of the Chiloé and Aysén interior seas (Chilean Northern Patagonia). Cont. Shelf Res. 2011, 31, 330–339. [Google Scholar] [CrossRef]
- Vargas, C.A.; Martinez, R.A.; Martin, V.S.; Aguayo, M.; Silva, N.; Torres, R. Allochthonous subsidies of organic matter across a lake–river–fjord landscape in the Chilean Patagonia: Implications for marine zooplankton in inner fjord areas. Cont. Shelf Res. 2011, 31, 187–201. [Google Scholar] [CrossRef]
- Iriarte, J.; León-Muñoz, J.; Marcé, R.; Clément, A.; Lara, C. Influence of seasonal freshwater streamflow regimes on phytoplankton blooms in a Patagonian fjord. New Zealand J. Mar. Freshw. Res. 2016, 51, 304–315. [Google Scholar] [CrossRef]
- Montero, P.; Daneri, G.; González, H.E.; Iriarte, J.L.; Tapia, F.J.; Lizárraga, L.; Sanchez, N.; Pizarro, O. Seasonal variability of primary production in a fjord ecosystem of the Chilean Patagonia: Implications for the transfer of carbon within pelagic food webs. Cont. Shelf Res. 2011, 31, 202–215. [Google Scholar] [CrossRef]
- Piquet, A.M.-T.; Scheepens, J.F.; Bolhuis, H.; Wiencke, C.; Buma, A.G.J. Variability of protistan and bacterial communities in two Arctic fjords (Spitsbergen). Polar Biol. 2010, 33, 1521–1536. [Google Scholar] [CrossRef][Green Version]
- Zeng, Y.-X.; Zhang, F.; He, J.-F.; Lee, S.H.; Qiao, Z.-Y.; Yu, Y.; Li, H.-R. Bacterioplankton community structure in the Arctic waters as revealed by pyrosequencing of 16S rRNA genes. Antonie Leeuwenhoek 2013, 103, 1309–1319. [Google Scholar] [CrossRef] [PubMed]
- Gutiérrez, M.H.; Galand, P.E.; Moffat, C.; Pantoja, S. Melting glacier impacts community structure of Bacteria, Archaea and Fungi in a Chilean Patagonia fjord. Environ. Microbiol. 2015, 17, 3882–3897. [Google Scholar] [CrossRef]
- Storesund, J.E.; Erga, S.R.; Ray, J.L.; Thingstad, T.F.; Sandaa, R.-A. Top-down and bottom-up control on bacterial diversity in a western Norwegian deep-silled fjord. FEMS Microbiol. Ecol. 2015, 91, fiv076. [Google Scholar] [CrossRef] [PubMed]
- Gutiérrez, M.H.; Narváez, D.; Daneri, G.; Montero, P.; Pérez-Santos, I.; Pantoja, S. Linking Seasonal Reduction of Microbial Diversity to Increase in Winter Temperature of Waters of a Chilean Patagonia Fjord. Front. Mar. Sci. 2018, 5. [Google Scholar] [CrossRef]
- Vargas, C.A.; Martínez, R.A.; Cuevas, L.A.; Pavez, M.A.; Cartes, C.; González, H.E.; Escribano, R.; Daneri, G. The relative importance of microbial and classical food webs in a highly productive coastal upwelling area. Limnol. Oceanogr. 2007, 52, 1495–1510. [Google Scholar] [CrossRef]
- Blanchet, M. Metabolic and Composition Changes in Marine Bacterial Community Exposed to Variable Natural Organic Matter Bioreactivity. Ph.D. Thesis, Université Pierre et Marie Curie, Paris, France, 2015. [Google Scholar]
- Jenkinson, D.S.; Fox, R.H.; Rayner, J.H. Interactions between fertilizer nitrogen and soil nitrogen-the so-called ‘priming’ effect. Eur. J. Soil Sci. 1985, 36, 425–444. [Google Scholar] [CrossRef]
- McCarren, J.; Becker, J.W.; Repeta, D.J.; Shi, Y.; Young, C.R.; Malmstrom, R.; Chisholm, S.; DeLong, E.F. Microbial community transcriptomes reveal microbes and metabolic pathways associated with dissolved organic matter turnover in the sea. Proc. Natl. Acad. Sci. USA 2010, 107, 16420–16427. [Google Scholar] [CrossRef]
- Sarmento, H.; Gasol, J.M. Use of phytoplankton-derived dissolved organic carbon by different types of bacterioplankton. Environ. Microbiol. 2012, 14, 2348–2360. [Google Scholar] [CrossRef] [PubMed]
- Steen, A.D.; Quigley, L.N.M.; Buchan, A. Evidence for the Priming Effect in a Planktonic Estuarine Microbial Community. Front. Mar. Sci. 2016, 3, 6. [Google Scholar] [CrossRef]
- Landa, M.; Cottrell, M.; Kirchman, D.; Blain, S.; Obernosterer, I. Changes in bacterial diversity in response to dissolved organic matter supply in a continuous culture experiment. Aquat. Microb. Ecol. 2013, 69, 157–168. [Google Scholar] [CrossRef]
- Kieft, B.; Li, Z.; Bryson, S.; Hettich, R.L.; Pan, C.; Mayali, X.; Mueller, R.S. Phytoplankton exudates and lysates support distinct microbial consortia with specialized metabolic and ecophysiological traits. Proc. Natl. Acad. Sci. USA 2021, 118, e2101178118. [Google Scholar] [CrossRef] [PubMed]
- Blanchet, M.; Pringault, O.; Panagiotopoulos, C.; Lefèvre, D.; Charrière, B.; Ghiglione, J.-F.; Fernandez, C.; Aparicio, F.L.; Marrasé, C.; Catala, P.; et al. When riverine dissolved organic matter (DOM) meets labile DOM in coastal waters: Changes in bacterial community activity and composition. Aquat. Sci. 2016, 79, 27–43. [Google Scholar] [CrossRef]
- Carlson, C.A.; Hansell, D.A. DOM Sources, Sinks, Reactivity, and Budgets. In Biogeochemistry of Marine Dissolved Organic Matter; Elsevier: Amsterdam, The Netherlands, 2015; pp. 65–126. [Google Scholar] [CrossRef]
- Grasshoff, K.; Ehrhardt, M.; Kremling, K.; Anderson, L.G. (Eds.) Methods of Seawater Analysis, 3rd ed.; completely rev. and extended ed.; Wiley-VCH: Weinheim, Germany; New York, NY, USA, 1999. [Google Scholar]
- Parson, T.; Maita, Y.; Lalli, C. A Manual of Chemical and Biological Methods for Seawater Samples Analysis; Pergamon Press: Oxford, UK, 1984; p. 173. [Google Scholar]
- Cauwet, G. HTCO method for dissolved organic carbon analysis in seawater: Influence of catalyst on blank estimation. Mar. Chem. 1994, 47, 55–64. [Google Scholar] [CrossRef]
- Marie, D.; Partensky, F.; Jacquet, S.; Vaulot, D. Enumeration and Cell Cycle Analysis of Natural Populations of Marine Picoplankton by Flow Cytometry Using the Nucleic Acid Stain SYBR Green I. Appl. Environ. Microbiol. 1997, 63, 186–193. [Google Scholar] [CrossRef]
- Villafañe, V.; Reid, F. Métodos de Microscopía para la Cunatificación de Fitoplankton. In Manual de Métodos Ecológicos; Alveal, K., Ferrario, M., Oliviera, E., Sar, E., Eds.; Concepción: Editorial Aníbal Pinto; Universidad de Concepción: Concepción, Chile, 1995; pp. 169–185. [Google Scholar]
- Valdés, V.P.; Fernandez, C.; Molina, V.; Escribano, R.; Joux, F. Dissolved Compounds Excreted by Copepods Reshape the Active Marine Bacterioplankton Community Composition. Front. Mar. Sci. 2017, 4, 343. [Google Scholar] [CrossRef]
- Schloss, P.D.; Westcott, S.L.; Ryabin, T.; Hall, J.R.; Hartmann, M.; Hollister, E.B.; Lesniewski, R.A.; Oakley, B.B.; Parks, D.H.; Robinson, C.J.; et al. Introducing mothur: Open-Source, Platform-Independent, Community-Supported Software for Describing and Comparing Microbial Communities. Appl. Environ. Microbiol. 2009, 75, 7537–7541. [Google Scholar] [CrossRef]
- Edgar, R.C.; Haas, B.J.; Clemente, J.C.; Quince, C.; Knight, R. UCHIME improves sensitivity and speed of chimera detection. Bioinformatics 2011, 27, 2194–2200. [Google Scholar] [CrossRef]
- Quast, C.; Pruesse, E.; Yilmaz, P.; Gerken, J.; Schweer, T.; Yarza, P.; Peplies, J.; Glöckner, F.O. The SILVA ribosomal RNA gene database project: Improved data processing and web-based tools. Nucleic Acids Res. 2013, 41, D590–D596. [Google Scholar] [CrossRef]
- Vargas, C.A.; Cuevas, L.A.; Silva, N.; González, H.E.; De Pol-Holz, R.; Narváez, D.A. Influence of Glacier Melting and River Discharges on the Nutrient Distribution and DIC Recycling in the Southern Chilean Patagonia. J. Geophys. Res. Biogeosci. 2018, 123, 256–270. [Google Scholar] [CrossRef]
- Tamayo-Leiva, J.; Cifuentes-Anticevic, J.; Aparicio-Rizzo, P.; Arroyo, J.I.; Masotti, I.; Díez, B. Influence of Estuarine Water on the Microbial Community Structure of Patagonian Fjords. Front. Mar. Sci. 2021, 8, 948. [Google Scholar] [CrossRef]
- Piquet, A.M.-T.; Maat, D.S.; Confuriusguns, V.; Sintes, E.; Herndl, G.J.; Van De Poll, W.H.; Wiencke, C.; Buma, A.G.J.; Bolhuis, H. Springtime dynamics, productivity and activity of prokaryotes in two Arctic fjords. Polar Biol. 2015, 39, 1749–1763. [Google Scholar] [CrossRef]
- Stewart, F.J.; Dalsgaard, T.; Young, C.R.; Thamdrup, B.; Revsbech, N.P.; Ulloa, O.; Canfield, D.; Delong, E.F. Experimental Incubations Elicit Profound Changes in Community Transcription in OMZ Bacterioplankton. PLoS ONE 2012, 7, e37118. [Google Scholar] [CrossRef] [PubMed]
- Fernandez, C.; Rain-Franco, A.; Rojas, C.; Molina, V. Ammonium release via dissolution and biological mineralization of food pellets used in salmon farming. Aquac. Res. 2019, 51, 779–793. [Google Scholar] [CrossRef]
- Dinasquet, J.; Kragh, T.; Schrøter, M.-L.; Søndergaard, M.; Riemann, L. Functional and compositional succession of bacterioplankton in response to a gradient in bioavailable dissolved organic carbon. Environ. Microbiol. 2013, 15, 2616–2628. [Google Scholar] [CrossRef] [PubMed]
- Massana, R.; Pedrόs-Aliό, C.; Casamayor, E.O.; Gasol, J.M. Changes in marine bacterioplankton phylogenetic composition during incubations designed to measure biogeochemically significant parameters. Limnol. Oceanogr. 2001, 46, 1181–1188. [Google Scholar] [CrossRef]
- Valdés, V.; Fernandez, C.; Molina, V.; Escribano, R. Nitrogen excretion by copepods and its effect on ammonia-oxidizing communities from a coastal upwelling zone. Limnol. Oceanogr. 2017, 63, 278–294. [Google Scholar] [CrossRef]
- Tada, Y.; Taniguchi, A.; Nagao, I.; Miki, T.; Uematsu, M.; Tsuda, A.; Hamasaki, K. Differing Growth Responses of Major Phylogenetic Groups of Marine Bacteria to Natural Phytoplankton Blooms in the Western North Pacific Ocean. Appl. Environ. Microbiol. 2011, 77, 4055–4065. [Google Scholar] [CrossRef]
- Teeling, H.; Fuchs, B.M.; Becher, D.; Klockow, C.; Gardebrecht, A.; Bennke, C.M.; Kassabgy, M.; Huang, S.; Mann, A.J.; Waldmann, J.; et al. Substrate-Controlled Succession of Marine Bacterioplankton Populations Induced by a Phytoplankton Bloom. Science 2012, 336, 608–611. [Google Scholar] [CrossRef]
- Alcaman, M.E.; Farias, L.; Verdugo, J.; Alarcón-Schumacher; Díez, B. Microbial Activity during a Coastal Phytoplankton Bloom on the Western Antarctic Peninsula in Late Summer. FEMS Microbiol. Lett. 2018, 365, fny090. [Google Scholar] [CrossRef]
- Fuentes, S.; Arroyo, J.I.; Rodríguez-Marconi, S.; Masotti, I.; Alarcon-Schumacher, T.; Polz, M.F.; Trefault, N.; De La Iglesia, R.; Díez, B. Summer phyto- and bacterioplankton communities during low and high productivity scenarios in the Western Antarctic Peninsula. Polar Biol. 2018, 42, 159–169. [Google Scholar] [CrossRef]
- Buchan, A.; LeCleir, G.R.; Gulvik, C.A.; Gonzalez, J.M. Master recyclers: Features and functions of bacteria associated with phytoplankton blooms. Nat. Rev. Microbiol. 2014, 12, 686–698. [Google Scholar] [CrossRef] [PubMed]
- Alonso-Sáez, L.; Gasol, J.M. Seasonal Variations in the Contributions of Different Bacterial Groups to the Uptake of Low-Molecular-Weight Compounds in Northwestern Mediterranean Coastal Waters. Appl. Environ. Microbiol. 2007, 73, 3528–3535. [Google Scholar] [CrossRef] [PubMed][Green Version]
- Pinhassi, J.; Azam, F.; Hemphälä, J.; Long, R.A.; Martinez, J.; Zweifel, U.L.; Hagström, A.A. Coupling between Bacterioplankton Species Composition, Population Dynamics, and Organic Matter Degradation. Aquat. Microb. 1999, 17, 13. [Google Scholar] [CrossRef][Green Version]








| Station | Depth (m) | Chlorophyll-a (mg m−3) | |||
|---|---|---|---|---|---|
| Total | <2 μm | 2–20 μm | >20 μm | ||
| 5 | 0 | 8.38 ± 9.34 | 0.74 ± 0.00 | 1.64 ± 0.00 | 5.99 ± 9.34 |
| 5 | 4.26 ± 0.91 | 0.93 ± 0.01 | 2.57 ± 1.26 | 0.76 ± 2.18 | |
| 10 | 3.06 ± 0.17 | 0.28 ± 0.03 | 0.74 ± 0.03 | 2.03 ± 0.16 | |
| 25 | 0.98 ± 0.03 | 0.08 ± 0.01 | 0.30 ± 0.11 | 0.60 ± 0.15 | |
| 50 | 0.10 ± 0.02 | 0.24 ± 0.00 | 1.38 ± 0.00 | 0.00 ± 0.00 | |
| 14 | 0 | 1.40 | 0.18 | 1.02 | 0.20 |
| 5 | 10.77 | 0.61 | 1.83 | 8.33 | |
| 10 | 2.61 | 0.37 | 2.39 | 0 | |
| 25 | 0.11 | 0.12 | 1.11 | 0 | |
| 50 | 0.19 | 0.06 | 0.62 | 0 | |
Publisher’s Note: MDPI stays neutral with regard to jurisdictional claims in published maps and institutional affiliations. |
© 2022 by the authors. Licensee MDPI, Basel, Switzerland. This article is an open access article distributed under the terms and conditions of the Creative Commons Attribution (CC BY) license (https://creativecommons.org/licenses/by/4.0/).
Share and Cite
Valdés-Castro, V.; González, H.E.; Giesecke, R.; Fernández, C.; Molina, V. Assessment of Microbial Community Composition Changes in the Presence of Phytoplankton-Derived Exudates in Two Contrasting Areas from Chilean Patagonia. Diversity 2022, 14, 195. https://doi.org/10.3390/d14030195
Valdés-Castro V, González HE, Giesecke R, Fernández C, Molina V. Assessment of Microbial Community Composition Changes in the Presence of Phytoplankton-Derived Exudates in Two Contrasting Areas from Chilean Patagonia. Diversity. 2022; 14(3):195. https://doi.org/10.3390/d14030195
Chicago/Turabian StyleValdés-Castro, Valentina, Humberto E. González, Ricardo Giesecke, Camila Fernández, and Verónica Molina. 2022. "Assessment of Microbial Community Composition Changes in the Presence of Phytoplankton-Derived Exudates in Two Contrasting Areas from Chilean Patagonia" Diversity 14, no. 3: 195. https://doi.org/10.3390/d14030195
APA StyleValdés-Castro, V., González, H. E., Giesecke, R., Fernández, C., & Molina, V. (2022). Assessment of Microbial Community Composition Changes in the Presence of Phytoplankton-Derived Exudates in Two Contrasting Areas from Chilean Patagonia. Diversity, 14(3), 195. https://doi.org/10.3390/d14030195

