Phytoplankton Responses to Bacterially Regenerated Iron in a Southern Ocean Eddy
Abstract
1. Introduction
2. Material and Methods
2.1. Oceanographic Settings
2.2. Experimental Set-Up
2.3. Collection and Preparation of DFe Sources
2.4. Incubation of Surface Microbial Communities
2.5. Biological Metrics
2.5.1. Cell Abundances
2.5.2. Pigments Composition
2.5.3. Photochemical Efficiency
2.5.4. Bacterial Production
2.6. Chemical Analyses
2.7. Statistical Analyses
3. Results
3.1. Bacterial Remineralization of Fe from Subsurface Particles
3.2. Biological Responses to Fe Sources
3.2.1. Responses of Phototrophs
3.2.2. Responses of Heterotrophs
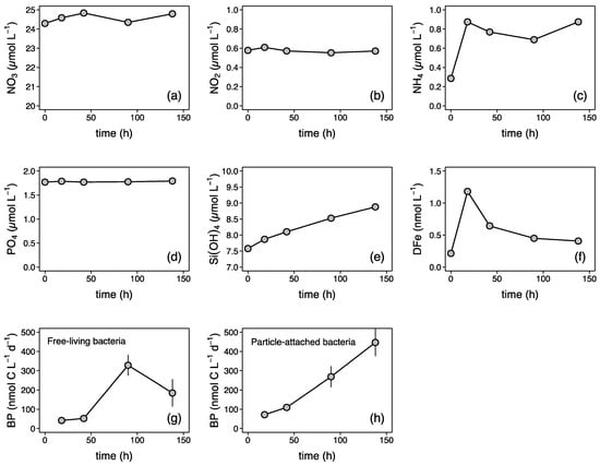
3.3. Macronutrients, DFe and Fe-Binding Ligands
4. Discussion
4.1. In-Eddy Microbial Residents Survive to Severe Fe-Limitation via Intense Recycling
4.2. What Phytoplankton Taxa Are Favored by Fe Regenerated from Particles?
4.3. Bioavailability of Fe from Remineralization of Particles
4.4. Competition between Phytoplankton and Bacteria for Fe: A Misunderstood Story?
4.5. High Resilience of Microbial Residents Makes the Ferrous Wheel Spins Fast
5. Conclusions
Supplementary Materials
Author Contributions
Funding
Institutional Review Board Statement
Informed Consent Statement
Data Availability Statement
Acknowledgments
Conflicts of Interest
References
- Moore, J.; Doney, S.; Glover, D.; Fung, I. Iron Cycling and Nutrient-Limitation Patterns in Surface Waters of the World Ocean. Deep Sea Res. Part II 2001, 49, 463–507. [Google Scholar] [CrossRef]
- Thomalla, S.J.; Fauchereau, N.; Swart, S.; Monteiro, P.M.S. Regional Scale Characteristics of the Seasonal Cycle of Chlorophyll in the Southern Ocean. Biogeosciences 2011, 8, 2849–2866. [Google Scholar] [CrossRef]
- Tagliabue, A.; Sallée, J.B.; Bowie, A.R.; Lévy, M.; Swart, S.; Boyd, P.W. Surface-Water Iron Supplies in the Southern Ocean Sustained by Deep Winter Mixing. Nat. Geosci. 2014, 7, 314–320. [Google Scholar] [CrossRef]
- Nicholson, S.A.; Lévy, M.; Jouanno, J.; Capet, X.; Swart, S.; Monteiro, P.M.S. Iron Supply Pathways Between the Surface and Subsurface Waters of the Southern Ocean: From Winter Entrainment to Summer Storms. Geophys. Res. Lett. 2019, 46, 14567–14575. [Google Scholar] [CrossRef]
- Boyd, P.W.; Law, C.S.; Hutchins, D.A.; Abraham, E.R.; Croot, P.L.; Ellwood, M.; Frew, R.D.; Hadfield, M.; Hall, J.; Handy, S.; et al. FeCycle: Attempting an Iron Biogeochemical Budget from a Mesoscale SF 6 Tracer Experiment in Unperturbed Low Iron Waters. Glob. Biogeochem. Cycles 2005, 19, 1–13. [Google Scholar] [CrossRef]
- Boyd, P.W.; Ellwood, M.J.; Tagliabue, A.; Twining, B.S. Biotic and Abiotic Retention, Recycling and Remineralization of Metals in the Ocean. Nat. Geosci. 2017, 10, 167–173. [Google Scholar] [CrossRef]
- Arteaga, L.A.; Boss, E.; Behrenfeld, M.J.; Westberry, T.K.; Sarmiento, J.L. Seasonal Modulation of Phytoplankton Biomass in the Southern Ocean. Nat. Commun. 2020, 11, 5364. [Google Scholar] [CrossRef]
- Rembauville, M.; Briggs, N.; Ardyna, M.; Uitz, J.; Catala, P.; Penkerc’h, C.; Poteau, A.; Claustre, H.; Blain, S. Plankton Assemblage Estimated with BGC-Argo Floats in the Southern Ocean: Implications for Seasonal Successions and Particle Export. J. Geophys. Res. Ocean. 2017, 122, 8278–8292. [Google Scholar] [CrossRef]
- Boyd, P.W. Environmental Factors Controlling Phytoplankton Processes in the Southern Ocean. J. Phycol. 2002, 861, 844–861. [Google Scholar] [CrossRef]
- Ryan-Keogh, T.J.; Thomalla, S.J.; Little, H.; Melanson, J.R. Seasonal Regulation of the Coupling between Photosynthetic Electron Transport and Carbon Fixation in the Southern Ocean. Limnol. Oceanogr. 2018, 63, 1856–1876. [Google Scholar] [CrossRef]
- Mtshali, T.N.; van Horsten, N.R.; Thomalla, S.J.; Ryan-Keogh, T.J.; Nicholson, S.A.; Roychoudhury, A.N.; Bucciarelli, E.; Sarthou, G.; Tagliabue, A.; Monteiro, P.M.S. Seasonal Depletion of the Dissolved Iron Reservoirs in the Sub-Antarctic Zone of the Southern Atlantic Ocean. Geophys. Res. Lett. 2019, 46, 4386–4395. [Google Scholar] [CrossRef]
- Fauchereau, N.; Tagliabue, A.; Bopp, L.; Monteiro, P.M.S. The Response of Phytoplankton Biomass to Transient Mixing Events in the Southern Ocean. Geophys. Res. Lett. 2011, 38, L17601. [Google Scholar] [CrossRef]
- Boyd, P.W.; Abraham, E.R. Iron-Mediated Changes in Phytoplankton Photosynthetic Competence during SOIREE. Deep Sea Res. Part II 2001, 48, 2529–2550. [Google Scholar] [CrossRef]
- Behrenfeld, M.J. Abandoning Sverdrup’s Critical Depth Hypothesis on Phytoplankton Blooms. Ecology 2010, 91, 977–989. [Google Scholar] [CrossRef] [PubMed]
- Hudson, R.J.M.; Morel, F.M.M. Iron Transport in Marine Phytoplankton: Kinetics of Cellular and Medium Coordination Reactions. Limnol. Oceanogr. 1990, 35, 1002–1020. [Google Scholar] [CrossRef]
- Strzepek, R.F.; Maldonado, M.T.; Hunter, K.A.; Frew, R.D.; Boyd, P.W. Adaptive Strategies by Southern Ocean Phytoplankton to Lessen Iron Limitation: Uptake of Organically Complexed Iron and Reduced Cellular Iron Requirements. Limnol. Oceanogr. 2011, 56, 1983–2002. [Google Scholar] [CrossRef]
- Toulza, E.; Tagliabue, A.; Blain, S.; Piganeau, G. Analysis of the Global Ocean Sampling (GOS) Project for Trends in Iron Uptake by Surface Ocean Microbes. PLoS ONE 2012, 7, e30931. [Google Scholar] [CrossRef]
- Strzepek, R.F.; Harrison, P.J. Photosynthetic Architecture Differs in Coastal and Oceanic Diatoms. Nature 2004, 403, 689–692. [Google Scholar] [CrossRef]
- Saito, M.A.; Bertrand, E.M.; Dutkiewicz, S.; Bulygin, V.V.; Moran, D.M.; Monteiro, F.M.; Follows, M.J.; Valois, F.W.; Waterbury, J.B. Iron Conservation by Reduction of Metalloenzyme Inventories in the Marine Diazotroph Crocosphaera Watsonii. Proc. Natl. Acad. Sci. USA 2011, 108, 2184–2189. [Google Scholar] [CrossRef]
- Nunn, B.L.; Faux, J.F.; Hippmann, A.A.; Maldonado, M.T.; Harvey, H.R.; Goodlett, D.R.; Boyd, P.W.; Strzepek, R.F. Diatom Proteomics Reveals Unique Acclimation Strategies to Mitigate Fe Limitation. PLoS ONE 2013, 8, e75653. [Google Scholar] [CrossRef]
- Poorvin, L.; Rinta-Kanto, J.M.; Hutchins, D.A.; Wilhelm, S.W. Viral Release of Iron and Its Bioavailability to Marine Plankton. Limnol. Oceanogr. 2004, 49, 1734–1741. [Google Scholar] [CrossRef]
- Strzepek, R.F.; Maldonado, M.T.; Higgins, J.L.; Hall, J.; Safi, K.; Wilhelm, S.W.; Boyd, P.W. Spinning the “Ferrous Wheel”: The Importance of the Microbial Community in an Iron Budget during the FeCycle Experiment. Glob. Biogeochem. Cycles 2005, 19. [Google Scholar] [CrossRef]
- Sarthou, G.; Vincent, D.; Christaki, U.; Obernosterer, I.; Timmermans, K.R.; Brussaard, C.P.D. The Fate of Biogenic Iron during a Phytoplankton Bloom Induced by Natural Fertilisation: Impact of Copepod Grazing. Deep Sea Res. Part II 2008, 55, 734–751. [Google Scholar] [CrossRef]
- Boyd, P.W.; Arrigo, K.R.; Strzepek, R.; Van Dijken, G.L. Mapping Phytoplankton Iron Utilization: Insights into Southern Ocean Supply Mechanisms. J. Geophys. Res. Ocean. 2012, 117, C06009. [Google Scholar] [CrossRef]
- Blain, S.; Tagliabue, A. Iron Cycle in Oceans; John Wiley & Sons, Incorporated: Hoboken, NJ, USA, 2016; ISBN 9781848218147. [Google Scholar]
- Bressac, M.; Guieu, C.; Ellwood, M.J.; Tagliabue, A.; Wagener, T.; Laurenceau-Cornec, E.C.; Whitby, H.; Sarthou, G.; Boyd, P.W. Resupply of Mesopelagic Dissolved Iron Controlled by Particulate Iron Composition. Nat. Geosci. 2019, 12, 995–1000. [Google Scholar] [CrossRef]
- Kirchman, D.L. Microbial Ferrous Wheel. Nature 1996, 383, 303–304. [Google Scholar] [CrossRef]
- Boyd, P.W.; Ibisanmi, E.; Sander, S.G.; Hunter, K.A.; Jackson, G.A. Remineralization of Upper Ocean Particles: Implications for Iron Biogeochemistry. Limnol. Oceanogr. 2010, 55, 1271–1288. [Google Scholar] [CrossRef]
- Hassler, C.; Van den Berg, C.M.G.; Boyd, P.W. Toward a Regional Classification to Provide a More Inclusive Examination of the Ocean Biogeochemistry of Iron-Binding Ligands. Front. Mar. Sci. 2017, 4. [Google Scholar] [CrossRef]
- Hunter, K.A.; Boyd, P.W. Iron-Binding Ligands and Their Role in the Ocean Biogeochemistry of Iron. Environ. Chem. 2007, 4, 221. [Google Scholar] [CrossRef]
- Fourquez, M.; Obernosterer, I.; Davies, D.M.; Trull, T.W.; Blain, S. Microbial Iron Uptake in the Naturally Fertilized Waters in the Vicinity of Kerguelen Islands: Phytoplankton–Bacteria Interactions. Biogeosci. Discuss. 2015, 11, 15053–15086. [Google Scholar] [CrossRef]
- Twining, B.S.; Baines, S.B. The Trace Metal Composition of Marine Phytoplankton. Ann. Rev. Mar. Sci. 2013, 5, 191–215. [Google Scholar] [CrossRef] [PubMed]
- Frenger, I.; Münnich, M.; Gruber, N.; Knutti, R. Southern Ocean Eddy Phenomenology. J. Geophys. Res. Ocean. 2015, 120, 7413–7449. [Google Scholar] [CrossRef]
- McGillicuddy, D.J. Mechanisms of Physical-Biological-Biogeochemical Interaction at the Oceanic Mesoscale. Ann. Rev. Mar. Sci. 2016, 8, 125–159. [Google Scholar] [CrossRef] [PubMed]
- Patel, R.S.; Phillips, H.E.; Strutton, P.G.; Lenton, A.; Llort, J. Meridional Heat and Salt Transport Across the Subantarctic Front by Cold-Core Eddies. J. Geophys. Res. Ocean. 2019, 124, 981–1004. [Google Scholar] [CrossRef]
- Ellwood, M.J.; Strzepek, R.F.; Strutton, P.G.; Trull, T.W.; Fourquez, M.; Boyd, P.W. Distinct Iron Cycling in a Southern Ocean Eddy. Nat. Commun. 2020, 11, 825. [Google Scholar] [CrossRef]
- Moreau, S.; Penna, A.D.; Llort, J.; Patel, R.; Langlais, C.; Boyd, P.W.; Matear, R.J.; Phillips, H.E.; Trull, T.W.; Tilbrook, B.; et al. Eddy-Induced Carbon Transport across the Antarctic Circumpolar Current. Glob. Biogeochem. Cycles 2017, 31, 1368–1386. [Google Scholar] [CrossRef]
- Cutter, G.; Casciotti, K.; Croot, P.; Geibert, W.; Heimbürger, L.-E.; Lohan, M.; Planquette, H.; van de Flierdt, T. Sampling and Sample-Handling Protocols for GEOTRACES Cruises; GEOTRACES International Project Office: Toulouse, France, 2017. [Google Scholar]
- Fourquez, M.; Devez, A.; Schaumann, A.; Guéneuguès, A.; Jouenne, T.; Obernosterer, I.; Blain, S. Effects of Iron Limitation on Growth and Carbon Metabolism in Oceanic and Coastal Heterotrophic Bacteria. Limnol. Oceanogr. 2014, 59, 349–360. [Google Scholar] [CrossRef]
- Fourquez, M.; Bressac, M.; Deppeler, S.L.; Ellwood, M.; Obernosterer, I.; Trull, T.W.; Boyd, P.W. Microbial Competition in the Subpolar Southern Ocean: An Fe–C Co-Limitation Experiment. Front. Mar. Sci. 2020, 6, 776. [Google Scholar] [CrossRef]
- Wright, S.W.; van den Enden, R.L.; Pearce, I.; Davidson, A.T.; Scott, F.J.; Westwood, K.J. Phytoplankton Community Structure and Stocks in the Southern Ocean (30–80° E) Determined by CHEMTAX Analysis of HPLC Pigment Signatures. Deep Sea Res. Part II Top. Stud. Oceanogr. 2010, 57, 758–778. [Google Scholar] [CrossRef]
- Hooker, S.B.; Van Heukelem, L.; Thomas, C.S.; Claustre, H.; Ras, J.; Barlow, R.; Sessions, H.; Schlüter, L.; Perl, J.; Trees, C.; et al. The Second SeaWiFS HPLC Analysis Round-Robin Experiment (SeaHARRE-2). Natl. Aeronaut. Sp. Adm. Goddard Sp. Flight Center. 2005, 212785, 112. [Google Scholar]
- Vidussi, F.; Claustre, H.; Manca, B.B.; Luchetta, A.; Marty, J.C. Phytoplankton Pigment Distribution in Relation to Upper Thermocline Circulation in the Eastern Mediterranean Sea during Winter. J. Geophys. Res. Ocean. 2001, 106, 19939–19956. [Google Scholar] [CrossRef]
- Chase, A.P.; Kramer, S.J.; Haëntjens, N.; Boss, E.S.; Karp-Boss, L.; Edmondson, M.; Graff, J.R. Evaluation of Diagnostic Pigments to Estimate Phytoplankton Size Classes. Limnol. Oceanogr. Methods 2020, 18, 570–584. [Google Scholar] [CrossRef] [PubMed]
- Kramer, S.J.; Siegel, D.A. How Can Phytoplankton Pigments Be Best Used to Characterize Surface Ocean Phytoplankton Groups for Ocean Color Remote Sensing Algorithms? J. Geophys. Res. Ocean. 2019, 124, 7557–7574. [Google Scholar] [CrossRef] [PubMed]
- Kirchman, D.L.; K’nees, E.; Hodson, R. Leucine Incorporation and Its Potential as a Measure of Protein Synthesis by Bacteria in Natural Aquatic Systems. Appl. Environ. Microbiol. 1985, 49, 599–607. [Google Scholar] [CrossRef]
- Smith, D.C.; Azam, F. A Simple, Economical Method for Measuring Bacterial Protein Synthesis Rates in Seawater Using 3H-Leucine. Mar. Microb. Food Webs 1992, 6, 107–114. [Google Scholar]
- Rees, C.; Pender, L.; Sherrin, K.; Schwanger, C.; Hughes, P.; Tibben, S.; Marouchos, A.; Rayner, M. Methods for Reproducible Shipboard SFA Nutrient Measurement Using RMNS and Automated Data Processing. Limnol. Oceanogr. Methods 2019, 17, 25–41. [Google Scholar] [CrossRef]
- Obata, H.; Karatani, H.; Nakayama, E. Automated Determination of Iron in Seawater by Chelating Resin Concentration and Chemiluminescence Detection. Anal. Chem. 1993, 65, 1524–1528. [Google Scholar] [CrossRef]
- Abualhaija, M.M.; van den Berg, C.M.G. Chemical Speciation of Iron in Seawater Using Catalytic Cathodic Stripping Voltammetry with Ligand Competition against Salicylaldoxime. Mar. Chem. 2014, 164, 60–74. [Google Scholar] [CrossRef]
- R Core Team. R: A Language and Environment for Statistical Computing; R Foundation for Statistical Computing: Vienna, Austria, 2022. [Google Scholar]
- Bronk, D.A.; See, J.H.; Bradley, P.; Killberg, L. DON as a Source of Bioavailable Nitrogen for Phytoplankton. Biogeosciences 2007, 4, 283–296. [Google Scholar] [CrossRef]
- Church, M.J.; Hutchins, D.A.; Ducklow, H.W. Limitation of Bacterial Growth by Dissolved Organic Matter and Iron in the Southern Ocean. Appl. Environ. Microbiol. 2000, 66, 455–466. [Google Scholar] [CrossRef]
- Obernosterer, I.; Fourquez, M.; Blain, S. Fe and C Co-Limitation of Heterotrophic Bacteria in the Naturally Fertilized Region off the Kerguelen Islands. Biogeosciences 2015, 12, 1983–1992. [Google Scholar] [CrossRef]
- Fourquez, M.; Obernosterer, I.; Blain, S. A Method for the Use of the Radiotracer 55Fe for Microautoradiography and CARD-FISH of Natural Bacterial Communities. FEMS Microbiol. Lett. 2012, 337, 132–139. [Google Scholar] [CrossRef] [PubMed]
- Fourquez, M.; Beier, S.; Jongmans, E.; Hunter, R.; Obernosterer, I. Uptake of Leucine, Chitin, and Iron by Prokaryotic Groups during Spring Phytoplankton Blooms Induced by Natural Iron Fertilization off Kerguelen Island (Southern Ocean). Front. Mar. Sci. 2016, 3, 256. [Google Scholar] [CrossRef]
- Bowie, A.R.; Lannuzel, D.; Remenyi, T.A.; Wagener, T.; Lam, P.J.; Boyd, P.W.; Guieu, C.; Townsend, A.T.; Trull, T.W. Biogeochemical Iron Budgets of the Southern Ocean South of Australia: Decoupling of Iron and Nutrient Cycles in the Subantarctic Zone by the Summertime Supply. Glob. Biogeochem. Cycles 2009, 23, 1–14. [Google Scholar] [CrossRef]
- Eriksen, R.; Trull, T.W.; Davies, D.; Jansen, P.; Davidson, A.T.; Westwood, K.; Van Den Enden, R. Seasonal Succession of Phytoplankton Community Structure from Autonomous Sampling at the Australian Southern Ocean Time Series (SOTS) Observatory. Mar. Ecol. Prog. Ser. 2018, 589, 13–21. [Google Scholar] [CrossRef]
- Lis, H.; Shaked, Y.; Kranzler, C.; Keren, N.; Morel, F.M.M. Iron Bioavailability to Phytoplankton: An Empirical Approach. ISME J. 2015, 9, 1003–1013. [Google Scholar] [CrossRef] [PubMed]
- Poorvin, L.; Sander, S.G.; Velasquez, I.; Ibisanmi, E.; LeCleir, G.R.; Wilhelm, S.W. A Comparison of Fe Bioavailability and Binding of a Catecholate Siderophore with Virus-Mediated Lysates from the Marine Bacterium Vibrio Alginolyticus PWH3a. J. Exp. Mar. Biol. Ecol. 2011, 399, 43–47. [Google Scholar] [CrossRef]
- Bonnain, C.; Breitbart, M.; Buck, K.N. The Ferrojan Horse Hypothesis: Iron-Virus Interactions in the Ocean. Front. Mar. Sci. 2016, 3, 82. [Google Scholar] [CrossRef]
- Lebaron, P.; Servais, P.; Agogué, H.; Courties, C.; Joux, F. Does the High Nucleic Acid Content of Individual Bacterial Cells Allow Us to Discriminate between Active Cells and Inactive Cells in Aquatic Systems? Appl. Environ. Microbiol. 2001, 67, 1775–1782. [Google Scholar] [CrossRef]
- Zubkov, M.V.; Fuchs, B.M.; Burkill, P.H.; Amann, R. Comparison of Cellular and Biomass Specific Activities of Dominant Bacterioplankton Groups in Stratified Waters of the Celtic Sea. Appl. Environ. Microbiol. 2001, 67, 5210–5218. [Google Scholar] [CrossRef]
- Hu, C.; Chen, X.; Yu, L.; Xu, D.; Jiao, N. Elevated Contribution of Low Nucleic Acid Prokaryotes and Viral Lysis to the Prokaryotic Community Along the Nutrient Gradient From an Estuary to Open Ocean Transect. Front. Microbiol. 2020, 11, 612053. [Google Scholar] [CrossRef] [PubMed]
- Kim, H.H.; Bowman, J.; Luo, Y.-W.; Ducklow, H.; Schofield, O.; Steinberg, D.; Doney, S. Microbial Diversity-Informed Modelling of Polar Marine Ecosystem Functions. Biogeosci. Discuss. 2020, 30, 1–32. [Google Scholar]
- Nissen, C.; Vogt, M. Factors Controlling the Competition between Phaeocystis and Diatoms in the Southern Ocean and Implications for Carbon Export Fluxes. Biogeosciences 2021, 18, 251–283. [Google Scholar] [CrossRef]
- Endo, H.; Ogata, H.; Suzuki, K. Contrasting Biogeography and Diversity Patterns between Diatoms and Haptophytes in the Central Pacific Ocean. Sci. Rep. 2018, 8, 10916. [Google Scholar] [CrossRef]
- Alexander, H.; Rouco, M.; Haley, S.T.; Wilson, S.T.; Karl, D.M.; Dyhrman, S.T. Functional Group-Specific Traits Drive Phytoplankton Dynamics in the Oligotrophic Ocean. Proc. Natl. Acad. Sci. USA 2015, 112, E5972–E5979. [Google Scholar] [CrossRef]
- Boyd, P.W.; Strzepek, R.; Chiswell, S.; Chang, H.; DeBruyn, J.M.; Ellwood, M.; Keenan, S.; King, A.L.; Maas, E.W.; Nodder, S.; et al. Microbial Control of Diatom Bloom Dynamics in the Open Ocean. Geophys. Res. Lett. 2012, 39, 1–6. [Google Scholar] [CrossRef]
- Strzepek, R.F.; Boyd, P.W.; Sunda, W.G. Photosynthetic Adaptation to Low Iron, Light, and Temperature in Southern Ocean Phytoplankton. Proc. Natl. Acad. Sci. USA 2019, 116, 4388–4393. [Google Scholar] [CrossRef]
- Hoffmann, L.J.; Peeken, I.; Lochte, K.; Assmy, P.; Veldhuis, M. Different Reactions of Southern Ocean Phytoplankton Size Classes to Iron Fertilization. Limnol. Oceanogr. 2006, 51, 1217–1229. [Google Scholar] [CrossRef]
- Boyd, P.W.; Ellwood, M.J. The Biogeochemical Cycle of Iron in the Ocean. Nat. Geosci. 2010, 3, 675–682. [Google Scholar] [CrossRef]
- Bundy, R.M.; Jiang, M.; Carter, M.; Barbeau, K.A. Iron-Binding Ligands in the Southern California Current System: Mechanistic Studies. Front. Mar. Sci. 2016, 3, 27. [Google Scholar] [CrossRef]
- Velasquez, I.B.; Ibisanmi, E.; Maas, E.W.; Boyd, P.W.; Nodder, S.; Sander, S.G. Ferrioxamine Siderophores Detected amongst Iron Binding Ligands Produced during the Remineralization of Marine Particles. Front. Mar. Sci. 2016, 3, 172. [Google Scholar] [CrossRef]
- Bundy, R.M.; Boiteau, R.M.; McLean, C.; Turk-Kubo, K.A.; Mclvin, M.R.; Saito, M.A.; Van Mooy, B.A.S.; Repeta, D.J. Distinct Siderophores Contribute to Iron Cycling in the Mesopelagic at Station ALOHA. Front. Mar. Sci. 2018, 5, 61. [Google Scholar] [CrossRef]
- Bowie, A.R.; Maldonado, M.T.; Frew, R.D.; Croot, P.L.; Achterberg, E.P.; Mantoura, R.F.C.; Worsfold, P.J.; Law, C.S.; Boyd, P.W. The Fate of Added Iron during a Mesoscale Fertilisation Experiment in the Southern Ocean. Deep Sea Res. Part II Top. Stud. Oceanogr. 2001, 48, 2703–2743. [Google Scholar] [CrossRef]
- Evans, C.; Brussaard, C.P.D. Viral Lysis and Microzooplankton Grazing of Phytoplankton throughout the Southern Ocean. Limnol. Oceanogr. 2012, 57, 1826–1837. [Google Scholar] [CrossRef]
- Cram, J.A.; Parada, A.E.; Fuhrman, J.A. Dilution Reveals How Viral Lysis and Grazing Shape Microbial Communities. Limnol. Oceanogr. 2016, 61, 889–905. [Google Scholar] [CrossRef]
- Vraspir, J.M.; Butler, A. Chemistry of Marine Ligands and Siderophores. Ann. Rev. Mar. Sci. 2009, 1, 43–63. [Google Scholar] [CrossRef]
- Barbeau, K.; Rue, E.L.; Bruland, K.W.; Butler, A. Photochemical Cycling of Iron in the Surface Ocean Mediated by Microbial Iron (III)-Binding Ligands. Nature 2001, 413, 409–413. [Google Scholar] [CrossRef]
- Rue, E.L.; Bruland, K.W. Complexation of Iron(III) by Natural Organic Ligands in the Central North Pacific as Determined by a New Competitive Ligand Equilibration/Adsorptive Cathodic Stripping Voltammetric Method. Mar. Chem. 1995, 50, 117–138. [Google Scholar] [CrossRef]
- Hassler, C.; Schoemann, V.; Boye, M.; Tagliabue, A.; Rozmarynowycz, M.; Mckay, R.M.L. Iron Bioavailability in the Southern Ocean. In Oceanography and Marine Biology; CRC Press: Boca Raton, FL, USA, 2012; pp. 10–73. ISBN 9781439890004. [Google Scholar]
- Morel, F.M.M.; Kustka, A.B.; Shaked, Y. The Role of Unchelated Fe in the Iron Nutrition of Phytoplankton. Limnol. Oceanogr. 2008, 53, 400–404. [Google Scholar] [CrossRef]
- Landry, M.R.; Hassett, R.P. Estimating the Grazing Impact of Marine Micro-Zooplankton. Mar. Biol. 1982, 67, 283–288. [Google Scholar] [CrossRef]
- Kirchman, D.L. Limitation of Bacterial Growth by Dissolved Organic Matter in the Subarctic Pacific. Mar. Ecol. Prog. Ser. 1990, 62, 47–54. [Google Scholar] [CrossRef]
- Morán, X.A.G.; Ducklow, H.W.; Erickson, M. Single-Cell Physiological Structure and Growth Rates of Heterotrophic Bacteria in a Temperate Estuary (Waquoit Bay, Massachusetts). Limnol. Oceanogr. 2011, 56, 37–48. [Google Scholar] [CrossRef]
- Morán, X.A.G.; Bode, A.; Suárez, L.Á.; Nogueira, E. Assessing the Relevance of Nucleic Acid Content as an Indicator of Marine Bacterial Activity. Aquat. Microb. Ecol. 2007, 46, 141–152. [Google Scholar] [CrossRef]
- Bowman, J.S.; Amaral-Zettler, L.A.; Rich, J.J.; Luria, C.M.; Ducklow, H.W. Bacterial Community Segmentation Facilitates the Prediction of Ecosystem Function along the Coast of the Western Antarctic Peninsula. ISME J. 2017, 11, 1460–1471. [Google Scholar] [CrossRef]
- Ratnarajah, L.; Blain, S.; Boyd, P.W.; Fourquez, M.; Obernosterer, I.; Tagliabue, A. Resource Colimitation Drives Competition Between Phytoplankton and Bacteria in the Southern Ocean. Geophys. Res. Lett. 2021, 48, e2020GL088369. [Google Scholar] [CrossRef]
- Pham, A.L.D.; Aumont, O.; Ratnarajah, L.; Tagliabue, A. Examining the Interaction Between Free-Living Bacteria and Iron in the Global Ocean. Global Biogeochem. Cycles 2022, 36, e2021GB007194. [Google Scholar] [CrossRef]
- Sexton, D.J.; Schuster, M. Nutrient Limitation Determines the Fitness of Cheaters in Bacterial Siderophore Cooperation. Nat. Commun. 2017, 8, 230. [Google Scholar] [CrossRef]
- Twining, B.; Baines, S.; Fisher, N.; Landry, M. Cellular Iron Contents of Plankton during the Southern Ocean Iron Experiment (SOFeX). Deep Sea Res. Part I Oceanogr. Res. Pap. 2004, 51, 1827–1850. [Google Scholar] [CrossRef]
- Wilhelm, S.W.; King, A.L.; Twining, B.S.; LeCleir, G.R.; DeBruyn, J.M.; Strzepek, R.F.; Breene, C.L.; Pickmere, S.; Ellwood, M.J.; Boyd, P.W.; et al. Elemental Quotas and Physiology of a Southwestern Pacific Ocean Plankton Community as a Function of Iron Availability. Aquat. Microb. Ecol. 2013, 68, 185–194. [Google Scholar] [CrossRef][Green Version]







| DFe (nM) | LT (nM) | Log K’Fe’L | Fe’ (pM) * | |||||
|---|---|---|---|---|---|---|---|---|
| Treatment | Initial | Final | Initial | Final | Initial | Final | Initial | Final |
| Fe-NO | 0.11 (0.01) | 0.11 (0.01) | 1.36 (0.13) | ND | 11.0 (0.3) | ND | 0.80 (0.1) | ND |
| Fe-NEW | 0.16 (0.04) | 0.09 (0.01) | 1.69 (0.21) | ND | 10.8 (0.3) | ND | 1.49 (0.4) | ND |
| Fe-REG | 0.26 (0.02) | 0.10 (0.01) | 2.04 (0.11) | ND | 10.7 (0.2) | ND | 2.52 (0.1) | ND |
Publisher’s Note: MDPI stays neutral with regard to jurisdictional claims in published maps and institutional affiliations. |
© 2022 by the authors. Licensee MDPI, Basel, Switzerland. This article is an open access article distributed under the terms and conditions of the Creative Commons Attribution (CC BY) license (https://creativecommons.org/licenses/by/4.0/).
Share and Cite
Fourquez, M.; Strzepek, R.F.; Ellwood, M.J.; Hassler, C.; Cabanes, D.; Eggins, S.; Pearce, I.; Deppeler, S.; Trull, T.W.; Boyd, P.W.; et al. Phytoplankton Responses to Bacterially Regenerated Iron in a Southern Ocean Eddy. Microorganisms 2022, 10, 1655. https://doi.org/10.3390/microorganisms10081655
Fourquez M, Strzepek RF, Ellwood MJ, Hassler C, Cabanes D, Eggins S, Pearce I, Deppeler S, Trull TW, Boyd PW, et al. Phytoplankton Responses to Bacterially Regenerated Iron in a Southern Ocean Eddy. Microorganisms. 2022; 10(8):1655. https://doi.org/10.3390/microorganisms10081655
Chicago/Turabian StyleFourquez, Marion, Robert F. Strzepek, Michael J. Ellwood, Christel Hassler, Damien Cabanes, Sam Eggins, Imojen Pearce, Stacy Deppeler, Thomas W. Trull, Philip W. Boyd, and et al. 2022. "Phytoplankton Responses to Bacterially Regenerated Iron in a Southern Ocean Eddy" Microorganisms 10, no. 8: 1655. https://doi.org/10.3390/microorganisms10081655
APA StyleFourquez, M., Strzepek, R. F., Ellwood, M. J., Hassler, C., Cabanes, D., Eggins, S., Pearce, I., Deppeler, S., Trull, T. W., Boyd, P. W., & Bressac, M. (2022). Phytoplankton Responses to Bacterially Regenerated Iron in a Southern Ocean Eddy. Microorganisms, 10(8), 1655. https://doi.org/10.3390/microorganisms10081655

