Sign in to use this feature.

Years

Between: -

Subjects

remove_circle_outline
remove_circle_outline
remove_circle_outline
remove_circle_outline
remove_circle_outline
remove_circle_outline
remove_circle_outline
remove_circle_outline
remove_circle_outline

Journals

remove_circle_outline
remove_circle_outline
remove_circle_outline
remove_circle_outline
remove_circle_outline
remove_circle_outline
remove_circle_outline
remove_circle_outline

Article Types

Countries / Regions

remove_circle_outline
remove_circle_outline
remove_circle_outline
remove_circle_outline
remove_circle_outline

Search Results (676)

Search Parameters:
Keywords = photon losses

Order results
Result details
Results per page
Select all
Export citation of selected articles as:
18 pages, 5590 KB  
Article
High-Efficiency, High-Power Designs for ~10 μm-Emitting Quantum Cascade Lasers
by Huilong Gao, Suraj Suri, Morgan Turville-Heitz, Jeremy D. Kirch, Luke J. Mawst, Robert A. Marsland and Dan Botez
Photonics 2025, 12(12), 1241; https://doi.org/10.3390/photonics12121241 - 18 Dec 2025
Abstract
By employing graded-interfaces modeling, ~10 μm-emitting quantum cascade lasers (QCLs) are designed with previously found conditions for record-high wall-plug efficiency (WPE) operation of mid-infrared QCLs: direct resonant-tunneling injection from a prior-stage low-energy state into the upper-laser level, photon-induced carrier transport, and carrier-leakage suppression [...] Read more.
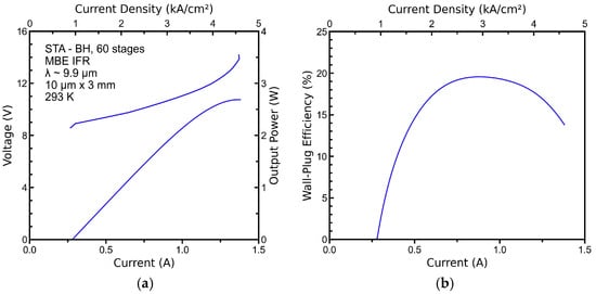
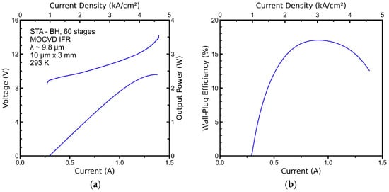
By employing graded-interfaces modeling, ~10 μm-emitting quantum cascade lasers (QCLs) are designed with previously found conditions for record-high wall-plug efficiency (WPE) operation of mid-infrared QCLs: direct resonant-tunneling injection from a prior-stage low-energy state into the upper-laser level, photon-induced carrier transport, and carrier-leakage suppression via the step-taper active-region (STA) approach. For devices with interface-roughness (IFR) parameters characteristic of optimized molecular-beam-epitaxy (MBE) growth, a maximum front-facet pulsed WPE value of 19.6% is projected for 60-stages STA-type devices. This results from several factors: 19 mV voltage defect at threshold, 72% voltage efficiency at the maximum WPE point, and ~93% injection efficiency due to strong carrier-leakage suppression. 2.7 W peak front-facet power is projected. For devices with our metal–organic chemical vapor deposition (MOCVD)-growth IFR parameters, the projected maximum pulsed WPE value is 17.1%, i.e., 1.7 times higher than the highest reported front-facet WPE value from ~10 μm-emitting MOCVD-grown QCLs. Studies regarding the WPE value variation with the stage number, while employing waveguide designs having the same empty cavity loss, reveal that the maximum WPE value remains almost the same for 50–60 stages devices. In turn, there is potential for obtaining significantly higher CW powers than from conventional ~10 μm-emitting QCLs. Full article
(This article belongs to the Section Lasers, Light Sources and Sensors)
Show Figures

Figure 1

14 pages, 1735 KB  
Article
Entanglement Negativity and Exceptional-Point Signatures in a PT-Symmetric Non-Hermitian XY Dimer: Parameter Regimes and Directional-Coupler Mapping
by Linzhi Jiang, Weicheng Miao, Wen-Yang Sun and Wenchao Ma
Photonics 2025, 12(12), 1239; https://doi.org/10.3390/photonics12121239 - 18 Dec 2025
Abstract
We investigate a non-Hermitian two-spin XY model driven by alternating real and imaginary transverse fields and derive an explicit analytic formula for the ground-state entanglement negativity. This provides a systematic analytic characterization of how ground-state entanglement behaves across PT-symmetry breaking in a non-Hermitian [...] Read more.
We investigate a non-Hermitian two-spin XY model driven by alternating real and imaginary transverse fields and derive an explicit analytic formula for the ground-state entanglement negativity. This provides a systematic analytic characterization of how ground-state entanglement behaves across PT-symmetry breaking in a non-Hermitian spin dimer. In the PT-symmetric regime, the anisotropy γ enhances entanglement, whereas the real field h0 suppresses it; in the PT-broken regime dominated by φ3, the negativity decreases monotonically with the imaginary field η0. Moreover, the first derivative of the negativity exhibits a cusp-type non-analyticity at the exceptional point (EP), consistent with the ground-state phase boundary and revealing a direct correspondence between entanglement transitions and exceptional-point physics. To facilitate implementation in integrated quantum photonics, we map h0,η0,γ onto the device parameters Δβ,g,κ of a PT-symmetric directional coupler and propose a two-qubit quantum state tomography readout based on local Pauli measurements, thereby offering a concrete entanglement-based probe of exceptional-point signatures in a realistic photonic platform. Within this model, we identify parameter regimes for observing this signature: a cusp feature is expected near Δβ0 and gκ, which remains observable under small detuning and moderate loss mismatch. These results offer a testable avenue for entanglement-based probing of PT-symmetry breaking and may inform device characterization and quantitative assessment in integrated quantum photonics. These combined advances provide both analytical insight into non-Hermitian entanglement structure and a feasible route toward experimentally diagnosing PT-symmetry breaking using entanglement. Full article
(This article belongs to the Special Issue Quantum Optics: Communication, Sensing, Computing, and Simulation)
Show Figures

Figure 1

11 pages, 4256 KB  
Communication
Comprehensive Study of Bulk Thickness and Bending Loss in All-Silicon Terahertz Valley Photonic Crystal Waveguides
by Zeyu Zhao, Hao-Zhe Wang, Hang Ren and Su Xu
Photonics 2025, 12(12), 1232; https://doi.org/10.3390/photonics12121232 - 15 Dec 2025
Viewed by 72
Abstract
The investigation of topological structures and phases in photonics has created unprecedented opportunities for developing advanced on-chip terahertz waveguide devices. Topological waveguides, which exhibit reduced backscattering and improved turning characteristics, provide a potential route toward more compact and robust on-chip photonic systems. Unlike [...] Read more.
The investigation of topological structures and phases in photonics has created unprecedented opportunities for developing advanced on-chip terahertz waveguide devices. Topological waveguides, which exhibit reduced backscattering and improved turning characteristics, provide a potential route toward more compact and robust on-chip photonic systems. Unlike conventional waveguides, the mode fields in topological waveguides are localized at the domain wall interface and decay into the bulk, making their bending loss sensitive to both the bulk thickness and the photonic band gap. However, a comprehensive analysis that simultaneously considers the bulk thickness, photonic band gap, and bending loss remains lacking. In this paper, we comprehensively studied the relationship between the bending loss in valley Hall photonic crystal waveguides and both the bulk thickness and photonic band gap width, using an all-silicon terahertz platform. The results provide guidance and a reference for the routing and design of terahertz photonic systems. Full article
(This article belongs to the Special Issue Advanced Research in Topological Photonics)
Show Figures

Figure 1

11 pages, 1712 KB  
Article
Application of a CdTe Photovoltaic Dosimeter to Therapeutic Megavoltage Photon Beams
by Sang Hee Youn, Sangsu Kim, Jong Hoon Lee and Shinhaeng Cho
Appl. Sci. 2025, 15(24), 13091; https://doi.org/10.3390/app152413091 - 12 Dec 2025
Viewed by 91
Abstract
Accurate real-time dosimetry is key in megavoltage radiotherapy; however, many detectors require external biasing or complex instrumentation. This study evaluated thin-film CdTe solar cells operating in photovoltaic (zero-bias) mode as medical dosimeters. Superstrate ITO/CdS/CdTe/Cu/Au devices were fabricated and irradiated with 6-MV photons from [...] Read more.
Accurate real-time dosimetry is key in megavoltage radiotherapy; however, many detectors require external biasing or complex instrumentation. This study evaluated thin-film CdTe solar cells operating in photovoltaic (zero-bias) mode as medical dosimeters. Superstrate ITO/CdS/CdTe/Cu/Au devices were fabricated and irradiated with 6-MV photons from a clinical linear accelerator to 20 kGy cumulative dose. Electrical and dosimetric properties were assessed based on AM 1.5 current–voltage measurements, external quantum efficiency (EQE), dose linearity, dose-rate dependence, field-size dependence, percentage depth dose (PDD), and one-month reproducibility. With increasing dose (5–20 kGy), the open-circuit voltage and fill factor decreased by ~2–3%, the short-circuit current density by ~10%, retaining ~87% initial efficiency. Series and shunt resistances were stable, while EQE decreased uniformly (~5%), indicating degradation mainly from increased nonradiative recombination. Dose–signal linearity remained intact, and post-irradiation sensitivity loss was corrected with a single calibration factor. Dose-rate dependence was minor; low reverse bias (~3–7 V) enhanced response without nonlinearity. Field-size and PDD responses agreed with ionization chamber data within ~1%, and weekly stability was within ~1%. Parallel stacking of two cells increased signal nearly linearly. CdTe solar-cell detectors thus enable zero-bias, real-time, stable, and scalable dosimetry and strongly agree with reference standards. Full article
Show Figures

Figure 1

16 pages, 5393 KB  
Article
High-Efficiency Fiber Edge Coupling for Silicon Nitride Integrated Photonics
by Sergey S. Avdeev, Aleksandr S. Baburin, Evgeniy V. Sergeev, Alexei B. Kramarenko, Arseniy V. Belyaev, Danil V. Kushnev, Kirill A. Buzaverov, Ilya A. Stepanov, Vladimir V. Echeistov, Ales S. Loginov, Sergey V. Bukatin, Ali Sh. Amiraslanov, Evgeniy S. Lotkov, Dmitriy A. Baklykov and Ilya A. Rodionov
Micromachines 2025, 16(12), 1401; https://doi.org/10.3390/mi16121401 - 12 Dec 2025
Viewed by 309
Abstract
Photonic integrated circuits play a crucial role in almost every aspect of modern life, such as data storage, telecommunications, medical diagnostics, green energy, autonomous driving, agriculture, and high-performance computing. To fully harness their benefits, an efficient coupling mechanism is required to successfully launch [...] Read more.
Photonic integrated circuits play a crucial role in almost every aspect of modern life, such as data storage, telecommunications, medical diagnostics, green energy, autonomous driving, agriculture, and high-performance computing. To fully harness their benefits, an efficient coupling mechanism is required to successfully launch light into on-chip waveguides from fibers. This study introduces low-loss coupling strategies and their implementation for silicon nitride integrated photonics. Here we present an overview of coupling technologies, optimized designs, and a fabrication technique for inverse tapers, which enable effective coupling for both transverse-magnetic and transverse-electric modes. We measured the coupling losses of 0.15 dB for UHNA-7 fiber at 1550 nm per facet for single-mode 220 × 1200 nm waveguides. We also designed, fabricated, and experimentally characterized a multi-tip taper, yielding 1.5 dB per facet at 1550 nm with broadband stability over 1500–1600 nm. We believe that our approach is universal and can be used both for individual fiber and fiber arrays coupling and for subsequent assembly of fiber with a chip, ensuring minimal losses. Full article
(This article belongs to the Section A1: Optical MEMS and Photonic Microsystems)
Show Figures

Figure 1

11 pages, 1982 KB  
Article
Improving Channel Uniformity of Multiplexer with High-Degree-of-Freedom Auxiliary Waveguides
by Qingran Liu, Chenyan Zhang, Pengju Hu, Huanjie Chen, Xiyan Xu and Chongfu Zhang
Optics 2025, 6(4), 65; https://doi.org/10.3390/opt6040065 - 11 Dec 2025
Viewed by 120
Abstract
In order to further mitigate the channel non-uniformity at the junction between the input slab and the arrayed waveguide grating in traditional AWG structures, we design a highly flexible, structurally adaptive linear auxiliary waveguide. Through systematic parameter scanning utilizing the Particle Swarm Optimization [...] Read more.
In order to further mitigate the channel non-uniformity at the junction between the input slab and the arrayed waveguide grating in traditional AWG structures, we design a highly flexible, structurally adaptive linear auxiliary waveguide. Through systematic parameter scanning utilizing the Particle Swarm Optimization (PSO) algorithm, an optimal set of geometric parameters for the auxiliary waveguide is identified. This optimization strategy achieves a significant reduction in loss non-uniformity by 0.5 dB relative to the conventional AWG configuration, culminating in a final non-uniformity of merely 0.253 dB. This improvement underscores the critical role of advanced structural tuning and algorithmic optimization in enhancing the performance of photonic integrated circuits, particularly in dense wavelength division multiplexing (DWDM) applications for next-generation communication systems such as radio-over-fiber (RoF) architecture-based 6G. The method can provide a scalable and efficient pathway toward high-uniformity, AWG designs without introducing additional fabrication complexity or incurring substantial costs. Full article
Show Figures

Figure 1

17 pages, 5239 KB  
Article
Low-Loss Multimode Waveguide Bends with Direct Laser Writing in Polymer
by Tigran Baghdasaryan, Neshteh Kourian, Mushegh Rafayelyan and Tatevik Sarukhanyan
Micromachines 2025, 16(12), 1361; https://doi.org/10.3390/mi16121361 - 29 Nov 2025
Viewed by 424
Abstract
Waveguide bends are critical components for compact routing in integrated photonic circuits, yet their design in air-clad polymer waveguides fabricated by two-photon polymerization direct laser writing (2PP-DLW) is challenging due to multimode behavior. We address this by systematically modeling Bézier-shaped 90° bends and [...] Read more.
Waveguide bends are critical components for compact routing in integrated photonic circuits, yet their design in air-clad polymer waveguides fabricated by two-photon polymerization direct laser writing (2PP-DLW) is challenging due to multimode behavior. We address this by systematically modeling Bézier-shaped 90° bends and S-bends using a variational FDTD solver, exploring bend span, curvature, and waveguide dimensions. Our results show that smaller waveguides (widths 2–4 µm) and lower Bézier parameters (B = 0–0.2) consistently yield superior performance, enabling sharper bends with minimal loss. For 90° bends, spans as small as 20–30 µm achieve near-unity transmission, while for S-bends, aspect ratios below 1 are feasible, allowing highly compact layouts. Although all configurations transmit energy to the fundamental mode, wider waveguides exhibit stronger higher-order mode excitation and greater sensitivity to fabrication imperfections. Smaller waveguides reduce these effects but approach the resolution limits of 2PP-DLW. Thus, a 2 µm wide waveguide represents an optimal compromise between fabrication feasibility and optical performance. Experimental demonstrations confirm the practicality of these design rules, illustrating trends predicted by simulations. These findings establish clear guidelines for designing low-loss, space-efficient 3D photonic circuits and highlight the critical role of simulation-driven optimization in fully exploiting 2PP-DLW technology, while providing deeper insight for future device architectures. Full article
(This article belongs to the Special Issue Laser Micro/Nano Fabrication, Second Edition)
Show Figures

Figure 1

15 pages, 2420 KB  
Article
Enhanced 311 nm (NB-UVB) Emission in Gd2O3-Doped Pb3O4-Sb2O3-B2O3-Bi2O3 Glasses: A Promising Platform for Photonic and Medical Phototherapy Applications
by Valluri Ravi Kumar, P. E. S. Bhaskar, K. Kiran Kumar, V. Sujatha, V. Nagalakshmi, V. Geetha, L. Vijayalakshmi and Jiseok Lim
Photonics 2025, 12(12), 1177; https://doi.org/10.3390/photonics12121177 - 29 Nov 2025
Viewed by 329
Abstract
A novel series of Gd2O3-doped Pb3O4–Sb2O3–B2O3–Bi2O3 glasses was synthesized via the conventional melt-quenching technique to explore their structural, thermal, and optical properties for potential [...] Read more.
A novel series of Gd2O3-doped Pb3O4–Sb2O3–B2O3–Bi2O3 glasses was synthesized via the conventional melt-quenching technique to explore their structural, thermal, and optical properties for potential photonic and medical phototherapy applications. X-ray diffraction and SEM analyses confirmed the amorphous and homogeneous nature of the samples, while their FTIR spectra revealed characteristic Pb–O, Sb–O, Bi–O, and B–O vibrational bands indicative of a stable glass network. Differential scanning calorimetry (DSC) demonstrated good thermal stability, suitable for high-temperature optical applications. Optical absorption and emission studies indicated the presence of prominent Gd3+ ion transitions, with a strong and sharp ultraviolet emission at 311 nm (6P7/28S7/2) when excited at 274 nm. The emission intensity and lifetime increased with Gd2O3 concentrations of up to 1.0 mol%, beyond which concentration quenching was observed. The optimized composition exhibited a reduced optical band gap and enhanced NB-UVB emission efficiency, suggesting efficient energy transfer with minimal non-radiative losses. These results establish the designed glass system as a promising multifunctional material for NB-UVB-based phototherapy, UV-laser generation, scintillation, and other next-generation photonic devices. Full article
(This article belongs to the Special Issue Photoluminescence: Advances and Applications)
Show Figures

Figure 1

17 pages, 3671 KB  
Review
A Review of Transverse Mode Adaptive Control Based on Photonic Lanterns
by Yao Lu, Zongfu Jiang, Zilun Chen, Zhuruixiang Sun and Tong Liu
Micromachines 2025, 16(12), 1347; https://doi.org/10.3390/mi16121347 - 28 Nov 2025
Viewed by 272
Abstract
With the widespread application of fiber laser technology in industries, communications, medical fields, and beyond, the demand for controlling the spatial modes of their output beams has been increasingly growing. Traditional mode control methods are constrained by factors such as device power thresholds, [...] Read more.
With the widespread application of fiber laser technology in industries, communications, medical fields, and beyond, the demand for controlling the spatial modes of their output beams has been increasingly growing. Traditional mode control methods are constrained by factors such as device power thresholds, system complexity, and cost, making it difficult to meet the requirements for high-power, high-purity, and rapidly switchable multimode regulation. This paper reviews adaptive mode control technology based on photonic lanterns (PLs). By integrating ideas from adaptive optics and photonics, this technology utilizes photonic lanterns to achieve efficient mode evolution from single-mode to multimode fibers. Combined with optimization algorithms, it enables real-time regulation of input phases, thereby producing stable, high-purity target modes or mode superposition fields at the multimode output end. The paper systematically introduces the structural classifications, propagation characteristics, and fabrication processes of photonic lanterns, as well as the mode evolution mechanisms in different types of photonic lanterns. It elaborates in detail on the structural design, algorithm implementation, and experimental validation of the adaptive control system based on photonic lanterns. Furthermore, it explores the application prospects of this technology in areas such as suppressing transverse mode instability, mode-division multiplexing communications, particle manipulation, and high-resolution spectral measurements. The results demonstrate that the all-fiber adaptive mode control system based on photonic lanterns offers advantages such as compact structure, low loss, fast response, and strong scalability. Full article
(This article belongs to the Special Issue Photonic and Optoelectronic Devices and Systems, Third Edition)
Show Figures

Figure 1

21 pages, 6349 KB  
Article
PLPGR-Net: Photon-Level Physically Guided Restoration Network for Underwater Laser Range-Gated Image
by Qing Tian, Longfei Hu, Zheng Zhang and Qiang Yang
J. Mar. Sci. Eng. 2025, 13(12), 2217; https://doi.org/10.3390/jmse13122217 - 21 Nov 2025
Viewed by 320
Abstract
Underwater laser range-gated imaging (ULRGI) effectively suppresses backscatter from water bodies through a time-gated photon capture mechanism, significantly extending underwater detection ranges compared to conventional imaging techniques. However, as imaging distance increases, rapid laser power attenuation causes localized pixel loss in captured images. [...] Read more.
Underwater laser range-gated imaging (ULRGI) effectively suppresses backscatter from water bodies through a time-gated photon capture mechanism, significantly extending underwater detection ranges compared to conventional imaging techniques. However, as imaging distance increases, rapid laser power attenuation causes localized pixel loss in captured images. To address ULRGI’s limitations in multi-frame stacking—particularly poor real-time performance and artifact generation—this paper proposes the Photon-Level Physically Guided Underwater Laser-Gated Image Restoration Network (PLPGR-Net). To overcome image degradation caused by water scattering and address the challenge of strong coupling between target echo signals and scattering noise, we designed a three-branch architecture driven by photon-level physical priors. This architecture comprises: scattering background suppression module, sparse photon perception module, and enhanced U-Net high-frequency information recovery module. By establishing a multidimensional physical constraint loss system, we guide image reconstruction across three dimensions—pixels, features, and physical laws—ensuring the restored results align with underwater photon distribution characteristics. This approach significantly enhances operational efficiency in critical applications such as underwater infrastructure inspection and cultural relic detection. Comparative experiments using proprietary datasets and state-of-the-art denoising and underwater image restoration algorithms validate the method’s outstanding performance in deeply integrating physical interpretability with deep learning generalization capabilities. Full article
(This article belongs to the Special Issue Advancements in Deep-Sea Equipment and Technology, 3rd Edition)
Show Figures

Figure 1

18 pages, 1232 KB  
Proceeding Paper
Design of an Octagon-Shaped THz Photonic Crystal Fiber Biosensor for Coordinated Diabetes Detection Using Dilated Causal Convolution with Botox Multi-Head Self-Attention Network
by Prasath Nithiyanandam, Sreemathy Jayaprakash and Rajesh Kumar Dhanaraj
Eng. Proc. 2025, 106(1), 15; https://doi.org/10.3390/engproc2025106015 - 20 Nov 2025
Viewed by 250
Abstract
Diabetes mellitus is a pervasive global health challenge, necessitating early and accurate diagnostic methods. Current techniques often lack the sensitivity for early-stage detection and fail to capture complex biomarker interactions. This paper proposes a novel biosensing platform integrating an octagon-shaped terahertz (THz) photonic [...] Read more.
Diabetes mellitus is a pervasive global health challenge, necessitating early and accurate diagnostic methods. Current techniques often lack the sensitivity for early-stage detection and fail to capture complex biomarker interactions. This paper proposes a novel biosensing platform integrating an octagon-shaped terahertz (THz) photonic crystal fiber (PCF) biosensor with a custom deep learning model for high-sensitivity diabetes detection. The innovative sensor geometry enhances light-matter interaction, significantly reducing signal loss. The extracted THz spectral data is processed by a Dilated Causal Convolution with Botox Multi-Head Self-Attention Network (Dil-2CBM-SAN), which optimizes feature extraction and classification. Our synergistic approach demonstrates exceptional performance, achieving a peak accuracy of 99.98% and a wavelength sensitivity of 48,000 RIU for biomarker concentrations as low as 0.1 nM, while maintaining minimal confinement loss. This work presents a groundbreaking and robust framework for early, precise diabetes diagnosis. Full article
(This article belongs to the Proceedings of The 5th International Electronic Conference on Biosensors)
Show Figures

Figure 1

22 pages, 5389 KB  
Article
Design and Analysis of a Photonic Crystal Fiber Sensor for Identifying the Terahertz Fingerprints of Water Pollutants
by Sajjad Mortazavi, Somayeh Makouei, Karim Abbasian and Sebelan Danishvar
Photonics 2025, 12(11), 1136; https://doi.org/10.3390/photonics12111136 - 18 Nov 2025
Cited by 1 | Viewed by 408
Abstract
Ensuring the purity of water sources is a paramount global challenge, necessitating the development of highly sensitive and rapid detection technologies. In this work, a novel Zeonex-based photonic crystal fiber (PCF) sensor is designed and numerically analyzed for the effective differentiation of pure [...] Read more.
Ensuring the purity of water sources is a paramount global challenge, necessitating the development of highly sensitive and rapid detection technologies. In this work, a novel Zeonex-based photonic crystal fiber (PCF) sensor is designed and numerically analyzed for the effective differentiation of pure and polluted water by identifying their unique fingerprints in the terahertz (THz) spectrum. The proposed structure features a rectangular core for analyte infiltration, surrounded by a unique hybrid cladding, meticulously engineered with four inner “mode-shaping” rectangular air holes and an outer “confinement” ring of elliptical air holes. This complex topology is strategically designed to maximize the core-power fraction while ensuring robust mode confinement, enabling the exceptional performance metrics observed. The guiding properties and sensing performance of the sensor are rigorously scrutinized using the Finite Element Method (FEM) over a broad frequency range of 0.5 to 3 THz, accommodating analytes with refractive indices from 1.33 to 1.46. This range is specifically chosen to cover the refractive index of pure water (≈1.33) and a broad spectrum of common chemical and biological pollutants. The simulation results demonstrate the exceptional performance of the sensor. For polluted water, the sensor achieves an ultra-high relative sensitivity of 99.6% with a negligible confinement loss of 1.4 × 10−11 dB/m at an operating frequency of 3 THz. In contrast, pure water exhibits a high sensitivity of 96% and a confinement loss 9.4 × 10−6 of dB/m at the same frequency, showcasing a remarkable capability to distinguish between different water qualities. The superior sensitivity, extremely low loss, and structurally feasible design make the proposed PCF sensor an up-and-coming candidate for real-time water quality monitoring within the THz domain. Full article
(This article belongs to the Special Issue Emerging Technologies and Applications in Fiber Optic Sensing)
Show Figures

Figure 1

26 pages, 6322 KB  
Article
Silicon-on-Silica Microring Resonators for High-Quality, High-Contrast, High-Speed All-Optical Logic Gates
by Amer Kotb, Antonios Hatziefremidis and Kyriakos E. Zoiros
Nanomaterials 2025, 15(22), 1736; https://doi.org/10.3390/nano15221736 - 17 Nov 2025
Viewed by 712
Abstract
With the increasing demand for ultrafast optical signal processing, silicon-on-silica (SoS) waveguides with ring resonators have emerged as a promising platform for integrated all-optical logic gates (AOLGs). In this work, we design and simulate a SoS-based waveguide structure, operating at the telecommunication wavelength [...] Read more.
With the increasing demand for ultrafast optical signal processing, silicon-on-silica (SoS) waveguides with ring resonators have emerged as a promising platform for integrated all-optical logic gates (AOLGs). In this work, we design and simulate a SoS-based waveguide structure, operating at the telecommunication wavelength of 1550 nm, consisting of a circular ring resonator coupled to straight bus waveguides using Lumerical FDTD solutions. The design achieves a high Q-factor of 11,071, indicating low optical loss and strong light confinement. The evanescent coupling between the ring and waveguides, along with optimized waveguide dimensions, enables efficient interference, realizing a complete suite of AOLGs (XOR, AND, OR, NOT, NOR, NAND, and XNOR). Numerical simulations demonstrate robust performance across all gates, with high contrast ratios between 11.40 dB and 13.72 dB and an ultra-compact footprint of 1.42 × 1.08 µm2. The results confirm the device’s capability to manipulate optical signals at data rates up to 55 Gb/s, highlighting its potential for scalable, high-speed, and energy-efficient optical computing. These findings provide a solid foundation for the future experimental implementation and integration of SoS-based photonic logic circuits in next-generation optical communication systems. Full article
Show Figures

Figure 1

25 pages, 3658 KB  
Review
A Review of High-Sensitivity SERS-Active Photonic Crystal Fiber Sensors for Chemical and Biological Detection
by Jiaying Luo, Jia Sun, Huacai Chen, Chunliu Zhao and Manping Ye
Sensors 2025, 25(22), 6982; https://doi.org/10.3390/s25226982 - 15 Nov 2025
Viewed by 731
Abstract
This review critically surveys the emerging integration of Surface-Enhanced Raman Scattering (SERS) with photonic-crystal fibers (PCFs) for chemical and biological detection, an area still scarce in the literature. SERS exploits electromagnetic and chemical enhancement to overcome the intrinsic weakness of Raman scattering, while [...] Read more.
This review critically surveys the emerging integration of Surface-Enhanced Raman Scattering (SERS) with photonic-crystal fibers (PCFs) for chemical and biological detection, an area still scarce in the literature. SERS exploits electromagnetic and chemical enhancement to overcome the intrinsic weakness of Raman scattering, while PCF offers low transmission loss and a strong evanescent field that further amplify the signal. The structural designs of PCF, encompassing solid-core and hollow-core variants, are discussed and their respective advantages in different sensing scenarios are presented. Applications in chemical detection, biomedicine, and explosive identification are detailed, demonstrating the versatility and potential of PCF-SERS sensors. Future efforts will focus on robust PCF geometries that guarantee stable and reproducible signals, AI-driven spectral algorithms, hybrid fibre architectures and scalable manufacturing. These advances are expected to translate PCF-SERS from bench-top demonstrations to routine deployment in environmental monitoring, clinical diagnostics and food-safety control. Full article
(This article belongs to the Section Chemical Sensors)
Show Figures

Figure 1

16 pages, 2903 KB  
Article
Ternary Organic Photovoltaics at a Turning Point: Mechanistic Perspectives on Their Constraints
by Hou-Chin Cha, Kang-Wei Chang, Chia-Feng Li, Sheng-Long Jeng, Yi-Han Wang, Hui-Chun Wu and Yu-Ching Huang
Nanomaterials 2025, 15(22), 1702; https://doi.org/10.3390/nano15221702 - 11 Nov 2025
Viewed by 388
Abstract
Ternary organic photovoltaics (OPVs) are considered as the next step beyond binary systems, aiming to achieve synergistic improvements in absorption, energetic alignment, and charge transport. However, despite their conceptual appeal, most ternary blends do not outperform binary counterparts, particularly under indoor illumination where [...] Read more.
Ternary organic photovoltaics (OPVs) are considered as the next step beyond binary systems, aiming to achieve synergistic improvements in absorption, energetic alignment, and charge transport. However, despite their conceptual appeal, most ternary blends do not outperform binary counterparts, particularly under indoor illumination where photon flux and carrier dynamics impose strict limitations. To comprehensively understand this discrepancy, multiple ternary systems were systematically examined to ensure that the observed behaviors are representative rather than case specific. In this study, we systematically investigate this discrepancy by comparing representative donor–donor–acceptor (D–D–A) and donor–acceptor–acceptor (D–A–A) systems under both AM 1.5G and TL84 lighting. In all cases, the broadened absorption fails to yield effective photocurrent; instead, redundant excitations, reduced driving forces for charge separation, and disrupted percolation networks collectively diminish device performance. Recombination and transient analyses reveal that the third component often introduces energetic disorder and trap-assisted recombination instead of facilitating beneficial cascade pathways. Although the film morphology remains smooth, interfacial instability under low-light conditions further intensifies performance losses. The inclusion of several systems allows the identification of consistent mechanistic trends across different ternary architectures, reinforcing the generality of the conclusions. This work establishes a mechanistic framework linking molecular miscibility, energetic alignment, and percolation continuity to device-level behavior, clarifying why ternary strategies rarely deliver consistent efficiency improvements. Ultimately, indoor OPV performance is determined not by spectral breadth but by maintaining balanced charge transport and stable energetic landscapes, which represents an essential paradigm for advancing ternary OPVs from concept to practical application. Full article
(This article belongs to the Special Issue Nanomaterials for Inorganic and Organic Solar Cells)
Show Figures

Figure 1

Back to TopTop