Sign in to use this feature.

Years

Between: -

Subjects

remove_circle_outline
remove_circle_outline
remove_circle_outline
remove_circle_outline
remove_circle_outline
remove_circle_outline
remove_circle_outline
remove_circle_outline
remove_circle_outline

Journals

remove_circle_outline
remove_circle_outline
remove_circle_outline
remove_circle_outline
remove_circle_outline
remove_circle_outline
remove_circle_outline
remove_circle_outline
remove_circle_outline
remove_circle_outline

Article Types

Countries / Regions

remove_circle_outline
remove_circle_outline
remove_circle_outline
remove_circle_outline
remove_circle_outline

Search Results (692)

Search Parameters:
Keywords = photo stability

Order results
Result details
Results per page
Select all
Export citation of selected articles as:
23 pages, 7244 KB  
Article
Computer Vision for Cover Crop Seed-Mix Detection and Quantification
by Karishma Kumari, Kwanghee Won and Ali M. Nafchi
Seeds 2025, 4(4), 59; https://doi.org/10.3390/seeds4040059 - 12 Nov 2025
Abstract
Cover crop mixes play an important role in enhancing soil health, nutrient turnover, and ecosystem resilience; yet, maintaining even seed dispersion and planting uniformity is difficult due to significant variances in seed physical and aerodynamic properties. These discrepancies produce non-uniform seeding and species [...] Read more.
Cover crop mixes play an important role in enhancing soil health, nutrient turnover, and ecosystem resilience; yet, maintaining even seed dispersion and planting uniformity is difficult due to significant variances in seed physical and aerodynamic properties. These discrepancies produce non-uniform seeding and species separation in drill hoppers, which has an impact on stand establishment and biomass stability. The thousand-grain weight is an important measure for determining cover crop seed quality and yield since it represents the weight of 1000 seeds in grams. Accurate seed counting is thus a key factor in calculating thousand-grain weight. Accurate mixed-seed identification is also helpful in breeding, phenotypic assessment, and the detection of moldy or damaged grains. However, in real-world conditions, the overlap and thickness of adhesion of mixed seeds make precise counting difficult, necessitating current research into powerful seed detection. This study addresses these issues by integrating deep learning-based computer vision algorithms for multi-seed detection and counting in cover crop mixes. The Canon LP-E6N R6 5D Mark IV camera was used to capture high-resolution photos of flax, hairy vetch, red clover, radish, and rye seeds. The dataset was annotated, augmented, and preprocessed on RoboFlow, split into train, validation, and test splits. Two top models, YOLOv5 and YOLOv7, were tested for multi-seed detection accuracy. The results showed that YOLOv7 outperformed YOLOv5 with 98.5% accuracy, 98.7% recall, and a mean Average Precision (mAP 0–95) of 76.0%. The results show that deep learning-based models can accurately recognize and count mixed seeds using automated methods, which has practical applications in seed drill calibration, thousand-grain weight estimation, and fair cover crop establishment. Full article
(This article belongs to the Special Issue Agrotechnics in Seed Quality: Current Progress and Challenges)
Show Figures

Figure 1

25 pages, 2447 KB  
Article
Niche Differentiation Characteristics of Phytoplankton Functional Groups in Arid Regions of Northwest China Based on Machine Learning
by Long Yun, Fangze Zi, Xuelian Qiu, Qi Liu, Jiaqi Zhang, Liting Yang, Yong Song and Shengao Chen
Biology 2025, 14(11), 1564; https://doi.org/10.3390/biology14111564 - 7 Nov 2025
Viewed by 195
Abstract
This study investigates the distribution patterns, interspecific relationships, and community stability mechanisms of phytoplankton functional groups, aiming to elucidate the ecological processes that drive phytoplankton communities in aquatic ecosystems of arid regions. We conducted seasonal sampling from 2023 to 2024 at four auxiliary [...] Read more.
This study investigates the distribution patterns, interspecific relationships, and community stability mechanisms of phytoplankton functional groups, aiming to elucidate the ecological processes that drive phytoplankton communities in aquatic ecosystems of arid regions. We conducted seasonal sampling from 2023 to 2024 at four auxiliary reservoirs in the Tarim River Basin, namely Shangyou Reservoir (SY), Shengli Reservoir (SL), Duolang Reservoir (DL), and Xinjingzi Reservoir (XJZ). In recent years, researchers have grouped phytoplankton into functional groups based on their shared morphological, physiological, and ecological characteristics—with these three types of traits serving as the core criteria for distinguishing different functional groups. A total of 18 functional groups were identified from the phytoplankton collected across four seasons, among which eight (A, D, H1, L0, M, MP, P, and S1) are dominant. Redundancy Analysis (RDA) indicated that environmental factors such as pH, electrical conductivity (COND), and dissolved oxygen (DO) are key driving factors affecting phytoplankton functional groups. Interspecific association analysis showed that the phytoplankton communities in DL, SL, and XJZ reservoirs were dominated by positive associations, reflecting stable community structures that are less prone to drastic fluctuations under stable environmental conditions. In contrast, the SY Reservoir was dominated by negative associations, indicating that it is in the early stage of succession with an unstable community. This may be related to intense human disturbance to the reservoir and its role in replenishing the Tarim River, which leads to significant water level fluctuations. The results of the Chi-square test and Pearson correlation analysis showed consistent trends but also differences: constrained by the requirement for continuous normal distribution, Pearson correlation analysis identified more pairs of negative associations, reflecting its limitations in analysing clumped-distributed species. Random forest models further indicated that functional groups M, MP, L0, and S1 are the main positive drivers of interspecific relationships. Among them, the increase in S1 can promote the growth of functional groups dominated by Navicula sp. and Chroococcus sp. by reducing resource competition. Conversely, the expansion of functional group H1 inhibits other groups, which is related to its adaptive strategy of resisting photo-oxidation in eutrophic environments. This study reveals the patterns of interspecific interactions and stability mechanisms of phytoplankton functional groups in arid-region reservoirs, providing a scientific basis for the management and conservation of aquatic ecosystems in similar extreme environments. Full article
(This article belongs to the Special Issue Wetland Ecosystems (2nd Edition))
Show Figures

Figure 1

27 pages, 8744 KB  
Review
Recent Progress in WO3-Based Photo(electro)-Catalysis Systems for Green Organic Synthesis and Wastewater Remediation: A Review
by Linghua Bu, Lingxiao Tan, Sai Zhang, Kun Xu and Chengchu Zeng
Catalysts 2025, 15(11), 1061; https://doi.org/10.3390/catal15111061 - 6 Nov 2025
Viewed by 284
Abstract
Photo(electro)-catalysis has increasingly attracted attention from researchers due to its wide applications in green chemical transformation, including organic synthesis and environmental remediation. As a promising candidate, the n-type semiconductor WO3 possesses a suitable bandgap (~2.6 eV), good visible-light response, high chemical stability, [...] Read more.
Photo(electro)-catalysis has increasingly attracted attention from researchers due to its wide applications in green chemical transformation, including organic synthesis and environmental remediation. As a promising candidate, the n-type semiconductor WO3 possesses a suitable bandgap (~2.6 eV), good visible-light response, high chemical stability, and multi-electron transfer capability, thus endowing it with enormous potential in heterogeneous photocatalysis (PC) and photoelectrocatalysis (PEC) to address environment and energy issues. In this review, the recent research progress of WO3-based photo(electro)-catalysts is examined and systematically summarized with regard to construction strategies and various application scenarios. To start with, the research background, functionalization methods and possible reaction mechanisms for WO3 are introduced in depth. Key influencing factors, including light absorption capacity, charge carrier separation, and reusability, are also analyzed. Then, diverse applications of WO3 for the elimination of organic pollutants (e.g., persistent organic pollutants and polymeric wastes) and green organic synthesis (i.e., oxidation, reduction, and other reactions) are intentionally discussed to underscore their vast potential in photo(electro)-catalytic performance. Finally, future challenges and insightful perspectives are proposed to explore effective WO3-based materials. This comprehensive review aims to offer profound insights into innovative exploration of high-performance WO3 semiconductor catalysts and guide new researchers in this field to better understand their vital roles in green organic synthesis and hazardous pollutants removal. Full article
(This article belongs to the Special Issue Advanced Photo/Electrocatalysts for Environmental Purification)
Show Figures

Graphical abstract

13 pages, 3924 KB  
Article
Electrochemical Anodic Oxidation Treatment of Pool Water Containing Cyanuric Acid
by Jaime Carbajo, Jefferson E. Silveira, Inês Gomes, Annabel Fernandes, Lurdes Ciríaco, Alicia L. García-Costa, Juan A. Zazo and Jose A. Casas
Pollutants 2025, 5(4), 39; https://doi.org/10.3390/pollutants5040039 - 3 Nov 2025
Viewed by 287
Abstract
Cyanuric acid (CYA) is widely used as a chlorine stabilizer in swimming pools, but concentrations above 75 mg L−1 cause overstabilization and loss of disinfection capacity. This study evaluated CYA removal by advanced oxidation processes, including heterogeneous photocatalysis, photo-Fenton, photo-persulfate, and anodic [...] Read more.
Cyanuric acid (CYA) is widely used as a chlorine stabilizer in swimming pools, but concentrations above 75 mg L−1 cause overstabilization and loss of disinfection capacity. This study evaluated CYA removal by advanced oxidation processes, including heterogeneous photocatalysis, photo-Fenton, photo-persulfate, and anodic oxidation (AO). AO with boron-doped diamond anodes proved most effective, achieving up to 90% total organic carbon removal in ultrapure water. When applied to real swimming pool samples (118 and 251 mg L−1 CYA), the process achieved significant CYA abatement, demonstrating its potential as a practical strategy to control overstabilization without additional chemicals. Full article
Show Figures

Graphical abstract

28 pages, 61500 KB  
Article
A Low-Cost Energy-Efficient IoT Camera Trap Network for Remote Forest Surveillance
by Piotr Lech, Beata Marciniak and Krzysztof Okarma
Electronics 2025, 14(21), 4266; https://doi.org/10.3390/electronics14214266 - 30 Oct 2025
Viewed by 274
Abstract
The proposed forest monitoring photo trap ecosystem integrates a cost-effective architecture for observation and transmission using Internet of Things (IoT) technologies and long-range digital radio systems such as LoRa (Chirp Spread Spectrum—CSS) and nRF24L01 (Gaussian Frequency Shift Keying—GFSK). To address low-bandwidth links, a [...] Read more.
The proposed forest monitoring photo trap ecosystem integrates a cost-effective architecture for observation and transmission using Internet of Things (IoT) technologies and long-range digital radio systems such as LoRa (Chirp Spread Spectrum—CSS) and nRF24L01 (Gaussian Frequency Shift Keying—GFSK). To address low-bandwidth links, a novel approach based on the Monte Carlo sampling algorithm enables progressive, bandwidth-aware image transfer and its thumbnail’s reconstruction on edge devices. The system transmits only essential data, supports remote image deletion/retrieval, and minimizes site visits, promoting environmentally friendly practices. A key innovation is the integration of no-reference image quality assessment (NR IQA) to determine when thumbnails are ready for operator review. Due to the computational limitations of the Raspberry Pi 3, the PIQE indicator was adopted as the operational metric in the quality stabilization module, whereas deep learning-based metrics (e.g., HyperIQA, ARNIQA) are retained as offline benchmarks only. Although single-pass inference may meet initial timing thresholds, the cumulative time–energy cost in an online pipeline on Raspberry Pi 3 is too high; hence these metrics remain offline. The system was validated through real-world field tests, confirming its practical applicability and robustness in remote forest environments. Full article
Show Figures

Figure 1

19 pages, 1993 KB  
Article
Insights into Photo Degradation and Stabilization Strategies of Antibody–Drug Conjugates with Camptothecin Payloads
by Shukun Luo, Joshua Bulos, Ricky Uroza, Yimeng Zhao, Xiao Pan, Yue Su, Haibo Qiu, Babatunde Olagunju, Wenhua Wang, Dingjiang Liu and Mohammed Shameem
Pharmaceutics 2025, 17(11), 1397; https://doi.org/10.3390/pharmaceutics17111397 - 28 Oct 2025
Viewed by 679
Abstract
Background: Photostability assessment is a critical component in the development of drug products, particularly for antibody–drug conjugates (ADCs) containing light-sensitive small molecules such as camptothecin (CPT) and its derivatives. ADCs conjugated with CPT derivative payloads often require extensive formulation and drug product [...] Read more.
Background: Photostability assessment is a critical component in the development of drug products, particularly for antibody–drug conjugates (ADCs) containing light-sensitive small molecules such as camptothecin (CPT) and its derivatives. ADCs conjugated with CPT derivative payloads often require extensive formulation and drug product development to ensure product stability due to their unique light-induced degradation pathways. In this study, we assessed the photostability of two ADC molecules with a CPT derivative payload (deruxtecan, DXd). Methods: Following light exposure, the stability of ADCs was assessed by examining critical quality attributes, such as aggregation and photodegradation products of the antibody, payload, and formulation excipients, using advanced liquid chromatography and mass spectrometry techniques. Results: Our results revealed key degradation pathways, including the formation of high-molecular-weight (HMW) species, payload degradation, and post-translational modifications (PTMs) on amino acid residues in the antibodies. Additionally, the DXd payload amplified the photosensitivity of the formulation solution, leading to histidine degradation in the formulation buffer and subsequent pH changes. To enhance the stability of ADCs for manufacturing and therapeutic use, we developed a robust formulation by systematic buffer screening and a targeted evaluation of selected antioxidant excipients. Further investigations into light conditions revealed that DXd ADCs are particularly sensitive to short-wavelength light. When evaluating the container closure system, it was demonstrated that using amber vials is a viable option for protecting against light-induced degradation. Conclusions: This report outlines a comprehensive strategy to address photo instability in DXd ADC drug product development, focusing on formulation optimization, controlled manufacturing light settings, and the option of using protective containers to ensure product stability. Full article
(This article belongs to the Special Issue Advancements and Innovations in Antibody Drug Conjugates)
Show Figures

Graphical abstract

26 pages, 18639 KB  
Article
Comparison of Two Miniaturized, Rectifiable Aerosol Photometers for Personal PM2.5 Monitoring in a Dusty Occupational Environment
by James D. Johnston, Scott C. Collingwood, James D. LeCheminant, Neil E. Peterson, Andrew J. South, Clifton B. Farnsworth, Ryan T. Chartier, Mary E. Thiel, Tanner P. Brown, Elisabeth S. Goss, Porter K. Jones, Seshananda Sanjel, Jayson R. Gifford and John D. Beard
Atmosphere 2025, 16(11), 1233; https://doi.org/10.3390/atmos16111233 - 25 Oct 2025
Viewed by 447
Abstract
Wearable, rectifiable aerosol photometers (WRAPs), instruments with combined nephelometer and on-board filter-based sampling capabilities, generally show strong correlations with reference instruments across a range of ambient and household PM2.5 concentrations. However, limited data exist on their performance when challenged by mixed aerosol [...] Read more.
Wearable, rectifiable aerosol photometers (WRAPs), instruments with combined nephelometer and on-board filter-based sampling capabilities, generally show strong correlations with reference instruments across a range of ambient and household PM2.5 concentrations. However, limited data exist on their performance when challenged by mixed aerosol exposures, such as those found in dusty occupational environments. Understanding how these instruments perform across a spectrum of environments is critical, as they are increasingly used in human health studies, including those in which concurrent PM2.5 and coarse dust exposures occur simultaneously. The authors collected co-located, ~24 h. breathing zone gravimetric and nephelometer PM2.5 measures using the MicroPEM v3.2A (RTI International) and the UPAS v2.1 PLUS (Access Sensor Technologies). Samples were collected from adult brick workers (n = 93) in Nepal during work and non-work activities. Median gravimetric/arithmetic mean (AM) PM2.5 concentrations for the MicroPEM and UPAS were 207.06 (interquartile range [IQR]: 216.24) and 737.74 (IQR: 1399.98) µg/m3, respectively (p < 0.0001), with a concordance correlation coefficient (CCC) of 0.26. The median stabilized inverse probability-weighted nephelometer PM2.5 concentrations, after gravimetric correction, for the MicroPEM and UPAS were 169.16 (IQR: 204.98) and 594.08 (IQR: 1001.00) µg/m3, respectively (p-value < 0.0001), with a CCC of 0.31. Digital microscope photos and electron micrographs of filters confirmed large particle breakthrough for both instruments. A possible explanation is that the miniaturized pre-separators were overwhelmed by high dust exposures. This study was unique in that it evaluated personal PM2.5 monitors in a high dust occupational environment using both gravimetric and nephelometer-based measures. Our findings suggest that WRAPs may substantially overestimate personal PM2.5 exposures in environments with concurrently high PM2.5 and coarse dust levels, likely due to large particle breakthrough. This overestimation may obscure associations between exposures and health outcomes. For personal PM2.5 monitoring in dusty environments, the authors recommend traditional pump and cyclone or impaction-based sampling methods in the interim while miniaturized pre-separators for WRAPs are designed and validated for use in high dust environments. Full article
(This article belongs to the Section Air Quality and Health)
Show Figures

Figure 1

11 pages, 737 KB  
Article
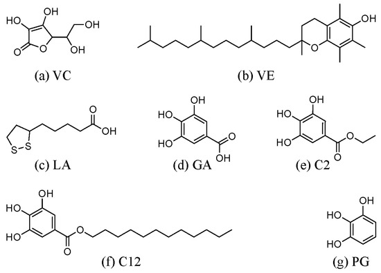
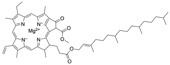
Effective Antioxidants for Stabilization of Chlorophyll Adsorbed on Silica Surface
by Yoshiumi Kohno, Rika Fukagawa, Masashi Shibata and Yasumasa Tomita
Colorants 2025, 4(4), 30; https://doi.org/10.3390/colorants4040030 - 20 Oct 2025
Viewed by 281
Abstract
This study investigates effective antioxidants to stabilize chlorophyll, a valuable and most abundant but unstable natural green pigment, adsorbed on a silica surface. Although fixing chlorophyll on silica offers some protection, significant photo-induced oxidative degradation still occurs. To enhance photostability, the prepared chlorophyll–silica [...] Read more.
This study investigates effective antioxidants to stabilize chlorophyll, a valuable and most abundant but unstable natural green pigment, adsorbed on a silica surface. Although fixing chlorophyll on silica offers some protection, significant photo-induced oxidative degradation still occurs. To enhance photostability, the prepared chlorophyll–silica composites were combined with various well-known antioxidants. The stability of these samples was evaluated by the deterioration ratio of the chlorophyll under visible light irradiation. The results showed that gallic acid provided the most significant stabilization effect. This was attributed to its moderate hydrophilicity, allowing it to be positioned near the chromophore part of the chlorophyll molecule adsorbed on the silica surface. Further tests with the derivatives of gallic acid revealed that smaller molecular size and less steric hindrance were also crucial for effectiveness as an antioxidative stabilizer. Pyrogallol and gallic acid, being the smallest molecules, performed best. It was concluded that the ability of an antioxidant to approach a chlorophyll molecule is essential for stabilization. This requires an appropriate balance of hydrophilicity and a small molecular size. Considering the nontoxicity together, gallic acid is recommended as a superior stabilizer for chlorophyll on silica surfaces. Full article
Show Figures

Graphical abstract

15 pages, 3607 KB  
Article
Photo-Responsive Brominated Hydrogen-Bonded Liquid Crystals
by Christian Anders, Tejal Nirgude, Ahmed F. Darweesh and Mohamed Alaasar
Crystals 2025, 15(10), 886; https://doi.org/10.3390/cryst15100886 - 14 Oct 2025
Viewed by 261
Abstract
This study reports on the preparation and comprehensive characterisation of new brominated hydrogen-bonded liquid crystalline (HBLC) materials. Two distinct series of supramolecular complexes were prepared by hydrogen-bond formation between 3-bromo-4-pentyloxybenzoic acid as the proton donor and non-fluorinated and fluorinated azopyridines with variable terminal [...] Read more.
This study reports on the preparation and comprehensive characterisation of new brominated hydrogen-bonded liquid crystalline (HBLC) materials. Two distinct series of supramolecular complexes were prepared by hydrogen-bond formation between 3-bromo-4-pentyloxybenzoic acid as the proton donor and non-fluorinated and fluorinated azopyridines with variable terminal chains as proton acceptors. The successful formation of a hydrogen bond was confirmed by FTIR spectroscopy. The impact of alkyl chain length and fluorination on the mesomorphic properties of the HBLCs was systematically investigated. The molecular self-assembly was thoroughly examined using polarised optical microscopy (POM) and differential scanning calorimetry (DSC), revealing the presence of smectic C (SmC), smectic A (SmA), and nematic (N) phases, with thermal stability being highly dependent on the molecular architecture. Notably, the introduction of fluorine atoms significantly influenced the phase transition temperatures and the overall mesophase range. Using bromine as a lateral substituent induces the formation of SmC phases in these HBLCs, a feature absent in their non-brominated analogues. Further structural insights were obtained through X-ray diffraction (XRD) investigations, confirming the nature of the observed LC phases. Additionally, the photo-responsive characteristics of these HBLCs were explored via UV-Vis spectroscopy, demonstrating their ability to undergo reversible photoisomerisation upon light irradiation. These findings underscore the critical role of precise molecular design in tailoring the properties of HBLCs for potential applications such as optical storage devices. Full article
(This article belongs to the Special Issue Thermotropic Liquid Crystals as Novel Functional Materials)
Show Figures

Figure 1

20 pages, 59706 KB  
Article
Learning Hierarchically Consistent Disentanglement with Multi-Channel Augmentation for Public Security-Oriented Sketch Person Re-Identification
by Yu Ye, Zhihong Sun and Jun Chen
Sensors 2025, 25(19), 6155; https://doi.org/10.3390/s25196155 - 4 Oct 2025
Viewed by 498
Abstract
Sketch re-identification (Re-ID) aims to retrieve pedestrian photographs in the gallery dataset by a query sketch image drawn by professionals, which is crucial for criminal investigations and missing person searches in the field of public security. The main challenge of this task lies [...] Read more.
Sketch re-identification (Re-ID) aims to retrieve pedestrian photographs in the gallery dataset by a query sketch image drawn by professionals, which is crucial for criminal investigations and missing person searches in the field of public security. The main challenge of this task lies in bridging the significant modality gap between sketches and photos while extracting discriminative modality-invariant features. However, information asymmetry between sketches and RGB photographs, particularly the differences in color information, severely interferes with cross-modal matching processes. To address this challenge, we propose a novel network architecture that integrates multi-channel augmentation with hierarchically consistent disentanglement learning. Specifically, a multi-channel augmentation module is developed to mitigate the interference of color bias in cross-modal matching. Furthermore, a modality-disentangled prototype(MDP) module is introduced to decompose pedestrian representations at the feature level into modality-invariant structural prototypes and modality-specific appearance prototypes. Additionally, a cross-layer decoupling consistency constraint is designed to ensure the semantic coherence of disentangled prototypes across different network layers and to improve the stability of the whole decoupling process. Extensive experimental results on two public datasets demonstrate the superiority of our proposed approach over state-of-the-art methods. Full article
(This article belongs to the Special Issue Advances in Security for Emerging Intelligent Systems)
Show Figures

Figure 1

19 pages, 3101 KB  
Article
Structural and Dynamic Properties of Chemically Crosslinked Mammalian and Fish Gelatin Hydrogels
by Vladislav Abramov, Ivan V. Lunev, Ilnaz T. Rakipov, Alena A. Nikiforova, Mariia A. Kazantseva, Olga S. Zueva and Yuriy F. Zuev
Appl. Biosci. 2025, 4(4), 45; https://doi.org/10.3390/applbiosci4040045 - 2 Oct 2025
Viewed by 606
Abstract
Gelatin is a collagen-derived biopolymer widely used in food, pharmaceutical and biomedical applications due to its biocompatibility and gelling ability. However, gelatin hydrogels suffer from unstable mechanical strength, limited thermal resistance and susceptibility to microbial contamination. The main aim of the present study [...] Read more.
Gelatin is a collagen-derived biopolymer widely used in food, pharmaceutical and biomedical applications due to its biocompatibility and gelling ability. However, gelatin hydrogels suffer from unstable mechanical strength, limited thermal resistance and susceptibility to microbial contamination. The main aim of the present study is to investigate the influence of gelatin cryostructuring followed by photo-induced menadione sodium bisulfite (MSB) chemical crosslinking on the structural and functional characteristics of mammalian and fish gelatin hydrogels. The integration of scanning electron microscopy, dielectric spectroscopy and rheological experiments provides a comprehensive view of the of molecular, morphological and mechanical properties of gelatin hydrogels under photo-induced chemical crosslinking. The SEM results revealed that crosslinked hydrogels are characterized by enlarged pores compared to non-crosslinked systems. For mammalian gelatin, multiple pores with thin partitions are formed, giving a dense and stable polymer network. For fish gelatin, large oval pores with thickened partitions are formed, preserving a less stable ordered architecture. Rheological data show strong reinforcement of the elastic and thermal stability of mammalian gelatin. The crosslinked mammalian system maintains the gel state at higher temperatures. Fish gelatin exhibits reduced elasticity retention even after crosslinking because of a different amino acid composition. Dielectric results show that crosslinking increases the portion of bound water in hydrogels considerably, but for fish gelatin, bound water is more mobile, which may explain weaker mechanical properties. Full article
Show Figures

Figure 1

34 pages, 3419 KB  
Review
Emerging Strategies for the Photoassisted Removal of PFAS from Water: From Fundamentals to Applications
by Lázaro Adrián González Fernández, Nahum Andrés Medellín Castillo, Manuel Sánchez Polo, Javier E. Vilasó-Cadre, Iván A. Reyes-Domínguez and Lorena Díaz de León-Martínez
Catalysts 2025, 15(10), 946; https://doi.org/10.3390/catal15100946 - 2 Oct 2025
Viewed by 1660
Abstract
Per- and polyfluoroalkyl substances (PFAS) are a diverse group of synthetic fluorinated compounds widely used in industrial and consumer products due to their exceptional thermal stability and hydrophobicity. However, these same properties contribute to their environmental persistence, bioaccumulation, and potential adverse health effects, [...] Read more.
Per- and polyfluoroalkyl substances (PFAS) are a diverse group of synthetic fluorinated compounds widely used in industrial and consumer products due to their exceptional thermal stability and hydrophobicity. However, these same properties contribute to their environmental persistence, bioaccumulation, and potential adverse health effects, including hepatotoxicity, immunotoxicity, endocrine disruption, and increased cancer risk. Traditional water treatment technologies, such as coagulation, sedimentation, biological degradation, and even advanced membrane processes, have demonstrated limited efficacy in removing PFAS, as they primarily separate or concentrate these compounds rather than degrade them. In response to these limitations, photoassisted processes have emerged as promising alternatives capable of degrading PFAS into less harmful products. These strategies include direct photolysis using UV or VUV irradiation, heterogeneous photocatalysis with materials such as TiO2 and novel semiconductors, light-activated persulfate oxidation generating sulfate radicals, and photo-Fenton reactions producing highly reactive hydroxyl radicals. Such approaches leverage the generation of reactive species under irradiation to cleave the strong carbon–fluorine bonds characteristic of PFAS. This review provides a comprehensive overview of emerging photoassisted technologies for PFAS removal from water, detailing their fundamental principles, degradation pathways, recent advancements in material development, and integration with hybrid treatment processes. Moreover, it discusses current challenges related to energy efficiency, catalyst deactivation, incomplete mineralization, and scalability, outlining future perspectives for their practical application in sustainable water treatment systems to mitigate PFAS pollution effectively. Full article
(This article belongs to the Section Environmental Catalysis)
Show Figures

Figure 1

33 pages, 5967 KB  
Review
Metal-Organic Frameworks and Covalent Organic Frameworks for CO2 Electrocatalytic Reduction: Research Progress and Challenges
by Yuyuan Huang, Haiyan Zhu, Yongle Wang, Guohao Yin, Shanlin Chen, Tingting Li, Chou Wu, Shaobo Jia, Jianxiao Shang, Zhequn Ren, Tianhao Ding and Yawei Li
Catalysts 2025, 15(10), 936; https://doi.org/10.3390/catal15100936 - 1 Oct 2025
Viewed by 1054
Abstract
This paper provides a systematic review of the latest advancements in metal-organic frameworks (MOFs) and covalent organic frameworks (COFs) for electrocatalytic carbon dioxide reduction. Both materials exhibit high specific surface areas, tunable pore structures, and abundant active sites. MOFs enhance CO2 conversion [...] Read more.
This paper provides a systematic review of the latest advancements in metal-organic frameworks (MOFs) and covalent organic frameworks (COFs) for electrocatalytic carbon dioxide reduction. Both materials exhibit high specific surface areas, tunable pore structures, and abundant active sites. MOFs enhance CO2 conversion efficiency through improved conductivity, optimized stability, and selective regulation—including bimetallic synergy, pulse potential strategies, and tandem catalysis. COFs achieve efficient catalysis through precise design of single or multi-metal active sites, optimization of framework conjugation, and photo/electro-synergistic systems. Both types of materials demonstrate excellent selectivity toward high-value-added products (CO, formic acid, C2+ hydrocarbons), but they still face challenges such as insufficient stability, short operational lifespan, high scaling-up costs, and poor electrolyte compatibility. Future research should integrate in situ characterization with machine learning to deepen mechanistic understanding and advance practical applications. Full article
(This article belongs to the Special Issue Heterogeneous Catalysts for Electrochemical Hydrogen Storage)
Show Figures

Figure 1

17 pages, 5980 KB  
Article
Controlled Growth of Multifilament Structures with Deep Subwavelength Features in SiC via Ultrafast Laser Processing
by Xiaoyu Sun, Haojie Zheng, Qiannan Jia, Limin Qi, Zhiqi Zhang, Lijing Zhong, Wei Yan, Jianrong Qiu and Min Qiu
Photonics 2025, 12(10), 973; https://doi.org/10.3390/photonics12100973 - 30 Sep 2025
Viewed by 455
Abstract
Silicon carbide (SiC) is a promising semiconductor material for electronics and photonics. Ultrafast laser processing of SiC enables three-dimensional nanostructuring, enriching and expanding the functionalities of SiC devices. However, challenges arise in delivering uniform, high-aspect-ratio (length-to-width) nanostructures due to difficulties in confining light [...] Read more.
Silicon carbide (SiC) is a promising semiconductor material for electronics and photonics. Ultrafast laser processing of SiC enables three-dimensional nanostructuring, enriching and expanding the functionalities of SiC devices. However, challenges arise in delivering uniform, high-aspect-ratio (length-to-width) nanostructures due to difficulties in confining light energy at the nanoscale while simultaneously regulating intense photo modifications. In this study, we report the controllable growth of long-distance, high-straightness, and high-parallelism multifilament structures in SiC using ultrafast laser processing. The mechanism is the formation of femtosecond multifilaments through the nonlinear effects of clamping equilibrium, which allow highly confined light to propagate without diffraction in parallel channels, further inducing high-aspect-ratio nanostripe-like photomodifications. By employing an elliptical Gaussian beam—rather than a circular one—and optimizing pulse durations to stabilize multifilaments with regular positional distributions, the induced multifilament structures can reach a length of approximately 90 μm with a minimum linewidth of only 28 nm, resulting in an aspect ratio of over 3200:1. Raman tests indicate that the photomodified regions consist of amorphous SiC, amorphous silicon, and amorphous carbon, and photoluminescence tests reveal that silicon vacancy color centers could be induced in areas with lower light power density. By leveraging femtosecond multifilaments for diffraction-less light confinement, this work proposes an effective method for manufacturing deep-subwavelength, high-aspect-ratio nanostructures in SiC. Full article
Show Figures

Figure 1

21 pages, 2160 KB  
Article
Highly Stable Supramolecular Donor–Acceptor Complexes Involving (Z)-, (E)-di(3-pyridyl)ethylene Derivatives as Weak Acceptors: Structure—Property Relationships
by Artem I. Vedernikov, Valeriy V. Volchkov, Mikhail N. Khimich, Mikhail Y. Mel’nikov, Fedor E. Gostev, Ivan V. Shelaev, Victor A. Nadtochenko, Lyudmila G. Kuz’mina, Judith A. K. Howard, Asya A. Efremova, Mikhail V. Rusalov and Sergey P. Gromov
Molecules 2025, 30(19), 3920; https://doi.org/10.3390/molecules30193920 - 29 Sep 2025
Viewed by 418
Abstract
The Z-isomer of N,N’-diammoniopropyl derivative of di(3-pyridyl)ethylene was synthesized. The structure and stability of complexes between this non-planar weak acceptor (A, (Z)-2) and a planar strong donor, the E-isomer of bis(18-crown-6)stilbene (D, (E [...] Read more.
The Z-isomer of N,N’-diammoniopropyl derivative of di(3-pyridyl)ethylene was synthesized. The structure and stability of complexes between this non-planar weak acceptor (A, (Z)-2) and a planar strong donor, the E-isomer of bis(18-crown-6)stilbene (D, (E)-1), were studied using X-ray diffraction, 1H NMR spectroscopy, and optical spectroscopy, including 1H NMR and spectrofluorimetric titrations. In MeCN, the components form a very stable pseudocyclic bimolecular complex (logKD·A = 8.48) due to homoditopic coordination of the ammonium groups of the acceptor to the crown moieties of the donor through numerous hydrogen bonds. Intrasupramolecular photo-driven electron transfer (ET) in the isomeric complexes of (E)-1 with (E)- and (Z)-2 was studied using steady-state absorption and fluorescence spectroscopy with time-resolved pulse absorption spectroscopy. It was found that back ET is approximately two times faster in complex (E)-(Z)-2 than in closely related (E)-(E)-2. Meanwhile, it is ~67 times slower in complex (E)-(E)-2 than in the isomeric complex based on N,N’-diammoniopropyl derivative of (E)-di(4-pyridyl)ethylene. Quantum chemical (DFT, TD-DFT) calculations suggest the actual photorelaxation pathway for the complexes under study. Full article
(This article belongs to the Section Photochemistry)
Show Figures

Graphical abstract

Back to TopTop