Effective Antioxidants for Stabilization of Chlorophyll Adsorbed on Silica Surface
Abstract
1. Introduction
2. Materials and Methods
2.1. Materials
2.2. Sample Preparation
2.3. Measurements
3. Results and Discussion
3.1. The Impact of the Addition of Antioxidants on the Color of Chl
3.2. Stabilization of the Adsorbed Chl by Various Antioxidative Agents
3.3. Effectiveness of Various Gallic Acid Derivatives as an Antioxidant
4. Conclusions
Author Contributions
Funding
Institutional Review Board Statement
Informed Consent Statement
Data Availability Statement
Acknowledgments
Conflicts of Interest
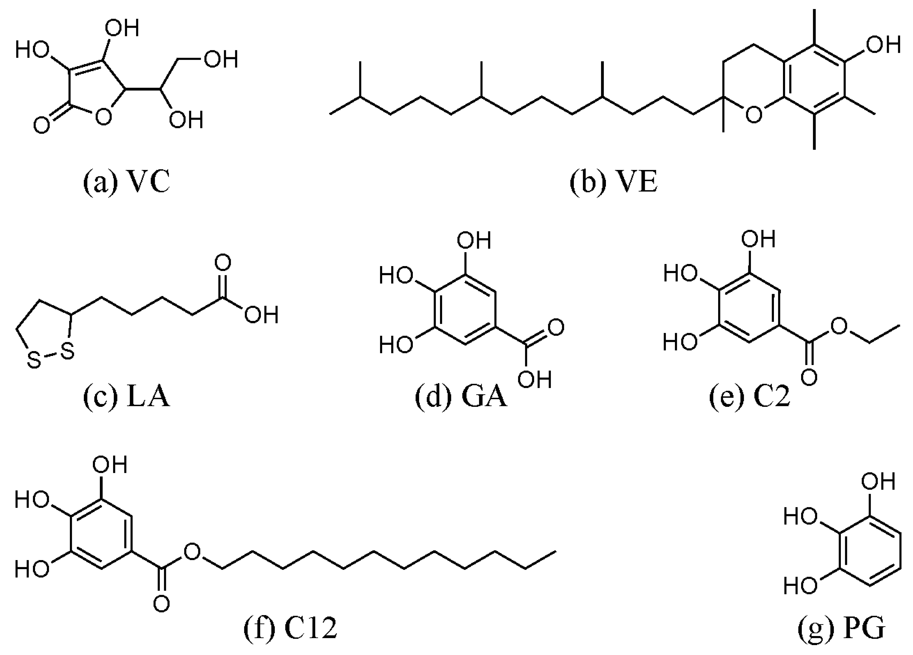
Abbreviations
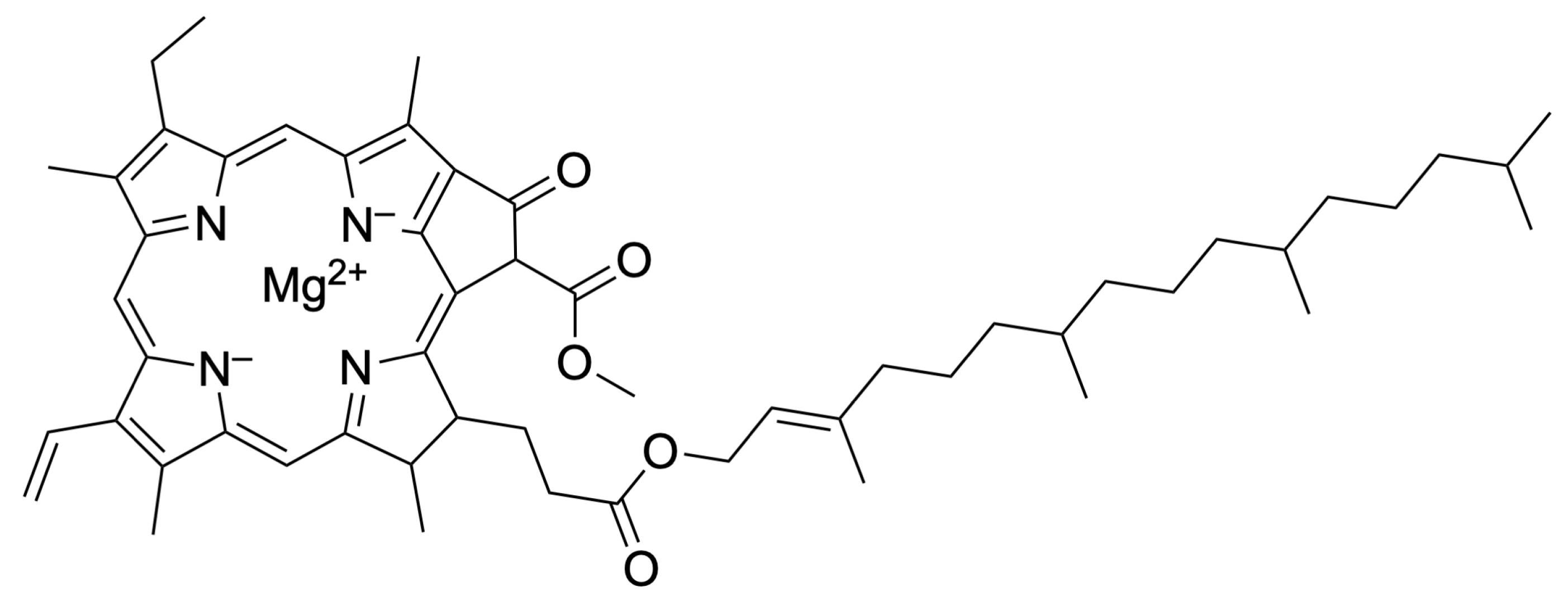
| Chl | Chlorophyll, purified by the method described in the main text |
| VC | Ascorbic acid (vitamin C) |
| VE | Tocopherol (vitamin E) |
| LA | α-lipoic acid |
| GA | Gallic acid |
| C2 | Ethyl gallate |
| C12 | Dodecyl gallate |
| PG | Pyrogallol |
| S | Silica (CARiACT Q-10, supplied by Fuji Silicia Co.) |
References
- Vernon, L.P.; Seely, G.R. (Eds.) Chlorophylls; Academic Press Inc.: London, UK, 1966. [Google Scholar]
- Kräutler, B. Phyllobilins—The abundant bilin-type tetrapyrrolic catabolites of the green plant pigment chlorophyll. Chem. Soc. Rev. 2014, 43, 6227–6238. [Google Scholar] [CrossRef]
- Chen, B.H.; Huang, J.H. Degradation and isomerization of chlorophyll a and β-carotene as affected by various heating and illumination treatments. Food Chem. 1998, 62, 299–307. [Google Scholar] [CrossRef]
- Gallardo-Guerrero, L.; Gandul-Rojas, B.; Mínguez-Mosquera, M.I. Physicochemical conditions modulating the pigment profile in fresh fruit (Olea europaea var. Gordal) and favoring interaction between oxidized chlorophylls and endogenous Cu. J. Agric. Food Chem. 2007, 55, 1823–1831. [Google Scholar] [CrossRef]
- Fiedor, L.; Kania, A.; Myśliwa-Kurdziel, B.; Orzeł, Ł.; Stochel, G. Understanding chlorophylls: Central magnesium ion and phytyl as structural determinants. Biochim. Biophys. Acta 2008, 1777, 1491–1500. [Google Scholar] [CrossRef]
- Schoefs, B.t. Chlorophyll and carotenoid analysis in food products. Properties of the pigments and methods of analysis. Trends Food Sci. Technol. 2002, 13, 361–371. [Google Scholar] [CrossRef]
- Viera, I.; Pérez-Gálvez, A.; Roca, M. Green natural colorants. Molecules 2019, 24, 154. [Google Scholar] [CrossRef]
- Hosikian, A.; Lim, S.; Halim, R.; Danquah, M.K. Chlorophyll extraction from microalgae: A review on the process engineering aspects. Int. J. Chem. Eng. 2010, 2010, 391632. [Google Scholar] [CrossRef]
- Ferreira, A.S.; Pereira, L.; Canfora, F.; Silva, T.H.; Coimbra, M.A.; Nunes, C. Stabilization of natural pigments in ethanolic solutions for food applications: The case study of chlorella vulgaris. Molecules 2023, 28, 408. [Google Scholar] [CrossRef] [PubMed]
- Ueda, A.; Kohno, Y.; Shibata, M.; Tomita, Y.; Watanabe, R.; Fukuhara, C. Cu-chlorophyllin/organo-modified clay composites with high stability and color vividness. J. Jpn. Soc. Colour Mater. 2024, 97, 267–275. [Google Scholar] [CrossRef]
- Shan, Z.; Yi, Z.; Fang, J.; Fang, L.; Lu, C.; Xu, Z. Advancing chlorophyll photostability: Dual physicochemical protection via Ce-doped hydrotalcite organic–inorganic hybrid pigments. ACS Appl. Mater. Interfaces 2024, 16, 52766–52779. [Google Scholar] [CrossRef] [PubMed]
- Jin, M.; Sun, K.; Guo, S.; Wang, Y.; Jin, J.; Qi, H. Novel stabilization of chlorophyll by sea cucumber (Apostichopus japonicas) protein: Multi-spectral and molecular dynamics analysis. Food Biosci. 2024, 61, 104861. [Google Scholar] [CrossRef]
- Yi, Z.; Fang, L.; Yu, X.; Cheng, X.; Lu, C.; Xu, Z. Development of lychee-like core-shell chlorophyll/epoxy@SiO2 microspheres via pickering emulsion polymerization for enhanced photostability. Prog. Org. Coat. 2025, 204, 109273. [Google Scholar] [CrossRef]
- Heaton, J.W.; Yada, R.Y.; Marangoni, A.G. Discoloration of coleslaw is caused by chlorophyll degradation. J. Agric. Food Chem. 1996, 44, 395–398. [Google Scholar] [CrossRef]
- Hirose, M.; Harada, J.; Maeda, H.; Tamiaki, H. Physicochemical and biochemical properties of synthetic zinc 131-(un)substituted chlorophyll-a derivatives. Tetrahedron 2021, 88, 132151. [Google Scholar] [CrossRef]
- Ngo, T.; Zhao, Y. Retaining green pigments on thermally processed peels-on green pears. J. Food Sci. 2005, 70, C568–C574. [Google Scholar] [CrossRef]
- Yin, Y.; Han, Y.; Liu, J. A novel protecting method for visual green color in spinach puree treated by high intensity pulsed electric fields. J. Food Eng. 2007, 79, 1256–1260. [Google Scholar] [CrossRef]
- Hsiao, C.-J.; Lin, J.-F.; Wen, H.-Y.; Lin, Y.-M.; Yang, C.-H.; Huang, K.-S.; Shaw, J.-F. Enhancement of the stability of chlorophyll using chlorophyll-encapsulated polycaprolactone microparticles based on droplet microfluidics. Food Chem. 2020, 306, 125300. [Google Scholar] [CrossRef]
- Kang, Y.-R.; Lee, Y.-K.; Kim, Y.J.; Chang, Y.H. Characterization and storage stability of chlorophylls microencapsulated in different combination of gum arabic and maltodextrin. Food Chem. 2019, 272, 337–346. [Google Scholar] [CrossRef]
- Bhandari, M.; Sharma, R.; Sharma, S.; Bobade, H.; Singh, B. Recent advances in nanoencapsulation of natural pigments: Emerging technologies, stability, therapeutic properties and potential food applications. Pigm. Resin Technol. 2024, 53, 53–61. [Google Scholar] [CrossRef]
- Albuquerque, B.R.; Oliveira, M.B.P.P.; Barros, L.; Ferreira, I.C.F.R. Could fruits be a reliable source of food colorants? Pros and cons of these natural additives. Crit. Rev. Food Sci. Nutr. 2021, 61, 805–835. [Google Scholar] [CrossRef] [PubMed]
- Katsura, N.; Shibata, M.; Kohno, Y.; Tomita, Y.; Watanabe, R.; Fukuhara, C. Stabilization of Cu-chlorophyllin by incorporation into hydrotalcite interlayer. J. Jpn. Soc. Colour Mater. 2020, 93, 280–287. [Google Scholar] [CrossRef]
- Murata, S.; Furukawa, H.; Kuroda, K. Effective inclusion of chlorophyllous pigments into mesoporous silica modified with α,ω-diols. Chem. Mater. 2001, 13, 2722–2729. [Google Scholar] [CrossRef]
- Noji, T.; Kamidaki, C.; Kawakami, K.; Shen, J.-R.; Kajino, T.; Fukushima, Y.; Sekitoh, T.; Itoh, S. Photosynthetic oxygen evolution in mesoporous silica material: Adsorption of photosystem ii reaction center complex into 23 nm nanopores in SBA. Langmuir 2011, 27, 705–713. [Google Scholar] [CrossRef]
- Ahn, Y.; Kwak, S.-Y. Functional mesoporous silica with controlled pore size for selective adsorption of free fatty acid and chlorophyll. Microporous Mesoporous Mater. 2020, 306, 110410. [Google Scholar] [CrossRef]
- García-Sánchez, M.A.; Serratos, I.N.; Sosa, R.; Tapia-Esquivel, T.; González-García, F.; Rojas-González, F.; Tello-Solís, S.R.; Palacios-Enriquez, A.Y.; Esparza Schulz, J.M.; Arrieta, A. Chlorophyll a covalently bonded to organo-modified translucent silica xerogels: Optimizing fluorescence and maximum loading. Molecules 2016, 21, 961. [Google Scholar] [CrossRef] [PubMed]
- Serratos, I.N.; Rojas-González, F.; Sosa-Fonseca, R.; Esparza-Schulz, J.M.; Campos-Peña, V.; Tello-Solís, S.R.; García-Sánchez, M.A. Fluorescence optimization of chlorophyll covalently bonded to mesoporous silica synthesized by the sol–gel method. J. Photochem. Photobiol. A 2013, 272, 28–40. [Google Scholar] [CrossRef]
- Itoh, T.; Yano, K.; Inada, Y.; Fukushima, Y. Photostabilized chlorophyll a in mesoporous silica: Adsorption properties and photoreduction activity of chlorophyll a. J. Am. Chem. Soc. 2002, 124, 13437–13441. [Google Scholar] [CrossRef]
- Itoh, T.; Yano, K.; Inada, Y.; Fukushima, Y. Stabilization of chlorophyll a in mesoporous silica and its pore size dependence. J. Mater. Chem. 2002, 12, 3275–3277. [Google Scholar] [CrossRef]
- Gray, J.I. Measurement of lipid oxidation: A review. J. Am. Oil Chem. Soc. 1978, 55, 539–546. [Google Scholar] [CrossRef]
- Kim, J.-H.; Jang, H.-J.; Cho, W.-Y.; Yeon, S.-J.; Lee, C.-H. In vitro antioxidant actions of sulfur-containing amino acids. Arab. J. Chem. 2017, 13, 1678–1684. [Google Scholar] [CrossRef]
- He, S.; Zhang, N.; Jing, P. Insights into interaction of chlorophylls with sodium caseinate in aqueous nanometre-scale dispersion: Color stability, spectroscopic, electrostatic, and morphological properties. RSC Adv. 2019, 9, 4530–4538. [Google Scholar] [CrossRef] [PubMed]
- Sharma, R.B.; Kumari, C.; Kapila, A.; Bora, K.; Sharma, A. Formulation and in-vitro evaluation of emulsion loaded topical gel for the enhancement of diffusion through the skin for the treatment of skin irritation. J. Res. Pharm. 2022, 26, 1112–1124. [Google Scholar] [CrossRef]
- Jovičić-Bata, J.; Todorović, N.; Krstonošić, V.; Ristić, I.; Kovačević, Z.; Vuković, M.; Lalić-Popović, M. Liquid- and semisolid-filled hard gelatin capsules containing alpha-lipoic acid as a suitable dosage form for compounding medicines and dietary supplements. Pharmaceutics 2024, 16, 892. [Google Scholar] [CrossRef] [PubMed]
- Lu, Z.; Nie, G.; Belton, P.S.; Tang, H.; Zhao, B. Structure–activity relationship analysis of antioxidant ability and neuroprotective effect of gallic acid derivatives. Neurochem. Int. 2006, 48, 263–274. [Google Scholar] [CrossRef] [PubMed]






Disclaimer/Publisher’s Note: The statements, opinions and data contained in all publications are solely those of the individual author(s) and contributor(s) and not of MDPI and/or the editor(s). MDPI and/or the editor(s) disclaim responsibility for any injury to people or property resulting from any ideas, methods, instructions or products referred to in the content. |
© 2025 by the authors. Licensee MDPI, Basel, Switzerland. This article is an open access article distributed under the terms and conditions of the Creative Commons Attribution (CC BY) license (https://creativecommons.org/licenses/by/4.0/).
Share and Cite
Kohno, Y.; Fukagawa, R.; Shibata, M.; Tomita, Y. Effective Antioxidants for Stabilization of Chlorophyll Adsorbed on Silica Surface. Colorants 2025, 4, 30. https://doi.org/10.3390/colorants4040030
Kohno Y, Fukagawa R, Shibata M, Tomita Y. Effective Antioxidants for Stabilization of Chlorophyll Adsorbed on Silica Surface. Colorants. 2025; 4(4):30. https://doi.org/10.3390/colorants4040030
Chicago/Turabian StyleKohno, Yoshiumi, Rika Fukagawa, Masashi Shibata, and Yasumasa Tomita. 2025. "Effective Antioxidants for Stabilization of Chlorophyll Adsorbed on Silica Surface" Colorants 4, no. 4: 30. https://doi.org/10.3390/colorants4040030
APA StyleKohno, Y., Fukagawa, R., Shibata, M., & Tomita, Y. (2025). Effective Antioxidants for Stabilization of Chlorophyll Adsorbed on Silica Surface. Colorants, 4(4), 30. https://doi.org/10.3390/colorants4040030

