Sign in to use this feature.

Years

Between: -

Subjects

remove_circle_outline
remove_circle_outline
remove_circle_outline
remove_circle_outline
remove_circle_outline

Journals

Article Types

Countries / Regions

Search Results (14)

Search Parameters:
Keywords = phenol-furfural resin

Order results
Result details
Results per page
Select all
Export citation of selected articles as:
18 pages, 1319 KB  
Article
Extraction of Rare Earth Elements from Organic Acid Leachate Using Formo-Phenolic-like Resins
by Evan Lelong, Julien Couturier, Clément Levard, Stéphane Pellet-Rostaing and Guilhem Arrachart
Recycling 2025, 10(4), 165; https://doi.org/10.3390/recycling10040165 - 17 Aug 2025
Cited by 1 | Viewed by 1888
Abstract
Formo-phenolic-like resins were synthesized by replacing phenol with phloroglucinol, a biobased and biocompatible compound, and using different aldehydes, such as biomass-derived furaldehyde and glyoxal. Studies on the adsorption of rare earth elements from an aqueous organic acid solution indicate that these resins follow [...] Read more.
Formo-phenolic-like resins were synthesized by replacing phenol with phloroglucinol, a biobased and biocompatible compound, and using different aldehydes, such as biomass-derived furaldehyde and glyoxal. Studies on the adsorption of rare earth elements from an aqueous organic acid solution indicate that these resins follow the Langmuir isotherm model, with maximum adsorption capacities ranging from 0.38 to 0.75 mmol/g. Adsorption was temperature-independent but strongly influenced by pH, with an up to fourfold increase between pH 2 and 5. Extraction kinetics were rapid, reaching equilibrium within two hours. Complete metal recovery was achieved within ten minutes using a 1 mol/L HCl desorption solution. Selectivity also varied with pH; glyoxal- and furfural-based resins showed superior separation performance at pH 2–3 and 3–4, respectively. The application of this method to real-world samples, including permanent magnet and red mud organic acid leachates, demonstrated effective extraction of rare earth elements and promising selectivity over iron (Fe), cobalt (Co), and nickel (Ni). Full article
Show Figures

Figure 1

26 pages, 8699 KB  
Article
Environmentally Friendly o–Cresol–Furfural–Formaldehyde Resin as an Alternative to Traditional Phenol–Formaldehyde Resins for Paint Industry
by Marta Depta, Sławomir Napiórkowski, Katarzyna Zielińska, Katarzyna Gębura, Daria Niewolik and Katarzyna Jaszcz
Materials 2024, 17(13), 3072; https://doi.org/10.3390/ma17133072 - 22 Jun 2024
Cited by 4 | Viewed by 1842
Abstract
This paper describes studies on the preparation of an o–cresol–furfural–formaldehyde resin in the presence of an alkaline catalyst and its modification with n-butanol or 2-ethylhexanol. The novelty of this research is to obtain a furfural-based resin of the resole type and its etherification. [...] Read more.
This paper describes studies on the preparation of an o–cresol–furfural–formaldehyde resin in the presence of an alkaline catalyst and its modification with n-butanol or 2-ethylhexanol. The novelty of this research is to obtain a furfural-based resin of the resole type and its etherification. Such resins are not described in the literature and also are not available on the market. The obtained resin based on furfural, which can be obtained from agricultural waste, had a low minimum content of free o–cresol < 1 wt.%, furfural < 0.1 wt.%, and formaldehyde < 0.1 wt.%. The resin structure was characterized by mass spectrometry (ESI-MS), FT-IR, and NMR spectroscopy, which showed the presence of hydroxymethylene groups in the resin before modification and alkyl groups derived from n-butanol and 2-ethylhexanol after modification. The etherified resins had a lower viscosity and were more flexible (DSC) than the resin before modification and they can be used as an environmentally friendly, safe, and sustainable alternative to traditional phenol–formaldehyde resins in the paint industry. They demonstrate the ability to create a protective coating with good adherence to metal substrates and an excellent balance of flexibility and hardness. Full article
(This article belongs to the Special Issue Advances in Biomass-Based Materials and Their Applications)
Show Figures

Figure 1

14 pages, 2354 KB  
Article
Xylitol Production by Debaryomyces hansenii in Extracted Olive Pomace Dilute-Acid Hydrolysate
by Ana Rita C. Morais, Luís C. Duarte, Pedro Lourenço, Ivone Torrado, Teresa Brás, Luísa A. Neves and Florbela Carvalheiro
Fermentation 2023, 9(12), 1020; https://doi.org/10.3390/fermentation9121020 - 14 Dec 2023
Cited by 3 | Viewed by 2925
Abstract
The extracted olive pomace (EOP) is an industrial lignocellulosic by-product of olive pomace oil extraction, currently mainly used for energy production through combustion. In this work, the hemicellulosic fraction of EOP was selectively hydrolyzed by diluted acid hydrolysis to obtain pentose-rich hydrolysates that [...] Read more.
The extracted olive pomace (EOP) is an industrial lignocellulosic by-product of olive pomace oil extraction, currently mainly used for energy production through combustion. In this work, the hemicellulosic fraction of EOP was selectively hydrolyzed by diluted acid hydrolysis to obtain pentose-rich hydrolysates that can potentially be upgraded by Debaryomyces hansenii, targeting xylitol production. The monosaccharides and degradation by-products released along the pre-treatment were quantified and several detoxification methods for the removal of potentially toxic compounds were evaluated, including pH adjustment to 5.5, the use of anion-exchange resins, adsorption into activated charcoal, concentration by evaporation, and membrane techniques, i.e., nanofiltration. The latter approach was shown to be the best method allowing the full removal of furfural, 41% of 5-hydroxymethylfurfural, 54% of acetic acid, and 67% of the phenolic compounds present in the hydrolysate. The effects of the supplementation of both non-detoxified and detoxified hydrolysates were also assessed. The non-detoxified hydrolysate, under aerobic conditions, supported the yeast growth and xylitol production at low levels. Supplementation with the low-cost corn steep liquor of the nanofiltration detoxified hydrolysate showed a higher xylitol yield (0.57 g/g) compared to the non-detoxified hydrolysate. The highest xylitol productivity was found in hydrolysate detoxified with anionic resins (0.30 g/L·h), which was 80% higher than in the non-detoxified culture medium. Overall, the results showed that EOP dilute acid hydrolysates can efficiently be used for xylitol production by D. hansenii if detoxification, and supplementation, even with low-cost supplements, are performed. Full article
(This article belongs to the Special Issue Microbial Biorefineries)
Show Figures

Figure 1

19 pages, 4712 KB  
Article
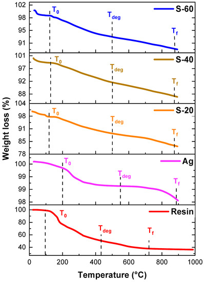
Phenol–Furfural Resin/Graphite/Ag-Based Electrically Conductive Adhesive Composites from Waste Bagasse with Enhanced Thermo-Electric Properties
by Syeda Mahnoor Zehra, Maryam Bibi, Azhar Mahmood, Abraiz Khattak, Muhammad Zeeshan Asad and Syeda Hijab Zehra
Polymers 2023, 15(15), 3283; https://doi.org/10.3390/polym15153283 - 3 Aug 2023
Cited by 5 | Viewed by 2622
Abstract
This study describes the preparation and evaluation of phenol–furfural resin (PFR) from bagasse and its nanocomposites for electrically conductive adhesive (ECA) application. PFR was prepared with furfural extracted from bagasse using a modified acid digestion method. Three different formulations of PFR nanocomposites with [...] Read more.
This study describes the preparation and evaluation of phenol–furfural resin (PFR) from bagasse and its nanocomposites for electrically conductive adhesive (ECA) application. PFR was prepared with furfural extracted from bagasse using a modified acid digestion method. Three different formulations of PFR nanocomposites with conductive nanoparticles, i.e., PFR-silver, PFR-graphite, and PFR-silver + graphite, were prepared using 20, 40, and 60 w/w% of fillers via the impregnation method. The resultant products were characterized using FT-IR, SEM, EDS, and XRD spectroscopy. Electrical conductivity was measured using a four-probe technique, while band gap was calculated via Tauc plots. The results exhibited a significant rise in electrical conductivity of insulating virgin PFR from 2.6 × 10−4 Scm−1 to 8.2 × 10−1 Scm−1 with a 40 and 20 w/w% blend of Ag and graphite in PFR. This synergism was exhibited because graphite and Ag NPs supply excellent junctions for building networks. Both tend to coalesce due to van der Waals forces and high surface energies. Therefore, conductive pathway numbers can be increased, and the contact area can be effectively enlarged. This ternary composite exhibited the lowest bandgap energy value, i.e., 3.1 eV. Thermogravimetric temperature values T0 and Tdeg were increased up to 120 °C and 484 °C, respectively, showing a significant increase in thermal stability. Therefore, the resultant nanocomposite material has good potential to be employed as an ECA in the electronic industry. Full article
(This article belongs to the Section Polymer Composites and Nanocomposites)
Show Figures

Graphical abstract

16 pages, 1284 KB  
Review
Formaldehyde-Free Resins for the Wood-Based Panel Industry: Alternatives to Formaldehyde and Novel Hardeners
by Justyna Chrobak, Jolanta Iłowska and Anna Chrobok
Molecules 2022, 27(15), 4862; https://doi.org/10.3390/molecules27154862 - 29 Jul 2022
Cited by 63 | Viewed by 7945
Abstract
Due to its carcinogenic properties, the presence of formaldehyde in resins and other industrial products has been a subject of great concern in recent years. The presented review focuses on modern alternatives for the production of wood-based panels; i.e., substitutes for formaldehyde in [...] Read more.
Due to its carcinogenic properties, the presence of formaldehyde in resins and other industrial products has been a subject of great concern in recent years. The presented review focuses on modern alternatives for the production of wood-based panels; i.e., substitutes for formaldehyde in the production of amino and phenolic resins, as well as novel hardeners for formaldehyde-free wood adhesives. Solutions in which formaldehyde in completely replaced are presented in this review. Recent advances indicate that it is possible to develop new formaldehyde-free systems of resins with compatible hardeners. The formaldehyde substitutes that have primarily been tested are glyoxal, glutaraldehyde, furfural, 5-hydroxymethylfurfural, and dimethoxyethanal. The use of such substitutes eliminates the problem of free formaldehyde emission originating from the resin used in the production of wood-based panels. However, these alternatives are mostly characterized by worse reactivity, and, as a result, the use of formaldehyde-free resins may affect the mechanical and strength properties of wood-based panels. Nonetheless, there are still many substantial challenges for the complete replacement of formaldehyde and further research is needed, especially in the field of transferring the technology to industrial practice. Full article
(This article belongs to the Section Organic Chemistry)
Show Figures

Figure 1

11 pages, 2531 KB  
Article
Development of Quebracho (Schinopsis balansae) Tannin-Based Thermoset Resins
by Emanuele Cesprini, Primož Šket, Valerio Causin, Michela Zanetti and Gianluca Tondi
Polymers 2021, 13(24), 4412; https://doi.org/10.3390/polym13244412 - 16 Dec 2021
Cited by 11 | Viewed by 4526
Abstract
One of the major challenges currently in the field of material science is finding natural alternatives to the high-performing plastics developed in the last century. Consumers trust synthetic products for their excellent properties, but they are becoming aware of their impact on the [...] Read more.
One of the major challenges currently in the field of material science is finding natural alternatives to the high-performing plastics developed in the last century. Consumers trust synthetic products for their excellent properties, but they are becoming aware of their impact on the planet. One of the most attractive precursors for natural polymers is tannin extracts and in particular condensed tannins. Quebracho (Schinopsis balansae) extract is one of the few industrially available flavonoids and can be exploited as a building block for thermoset resins due to its phenol-like reactivity. The aim of this study was to systematically investigate different hardeners and evaluate the water resistance, thermal behavior, and chemical structure of the quebracho tannin-based polymers in order to understand their suitability as adhesives. It was observed that around 80% of the extract is resistant to leaching when 5% of formaldehyde or hexamine or 10% of glyoxal or furfural are added. Additionally, furfuryl alcohol guarantees high leaching resistance, but only at higher proportions (20%). The quebracho-based formulations showed specific thermal behavior during hardening and higher degradation resistance than the extract. Finally, these polymers undergo similar chemistry to those of mimosa, with exclusive reactivity of the A-ring of the flavonoid. Full article
(This article belongs to the Special Issue Biopolymers and Bioplastics)
Show Figures

Graphical abstract

18 pages, 9278 KB  
Article
Preparation of Molded Fiber Products from Hydroxylated Lignin Compounded with Lewis Acid-Modified Fibers Its Analysis
by Tianhao Liu, Ying Wang, Jin Zhou, Mengyang Li and Jinquan Yue
Polymers 2021, 13(9), 1349; https://doi.org/10.3390/polym13091349 - 21 Apr 2021
Cited by 6 | Viewed by 2930
Abstract
In this study, molded fiber products (MFPs) were prepared from lignin compounded with Lewis acid-modified fibers using enzymatic hydrolysis lignin (EHL) as a bio-phenol. The fibers were modified and compounded entirely through hot-pressing. To improve the reactivity of enzymatic lignin, hydroxylated enzymatic hydrolysis [...] Read more.
In this study, molded fiber products (MFPs) were prepared from lignin compounded with Lewis acid-modified fibers using enzymatic hydrolysis lignin (EHL) as a bio-phenol. The fibers were modified and compounded entirely through hot-pressing. To improve the reactivity of enzymatic lignin, hydroxylated enzymatic hydrolysis lignin (HEHL) was prepared by hydroxylation modification of purified EHL with hydrogen peroxide (H2O2) and ferrous hydroxide (Fe(OH)3). HEHL was mixed uniformly with Lewis acid-modified fibers on a pressure machine and modified during the molding process. The purpose of Lewis acid degradation of hemicellulose-converted furfural with HEHL was to generate a resin structure to improve the mechanical properties of a MFPs. The microstructure of the MFP was shown to be generated by resin structure, and it was demonstrated that HEHL was compounded on Lewis acid-modified fibers during the molding process. The thermal stability of the MFP with composite HEHL did not change significantly owing to the addition of lignin and had higher tensile strength (46.28 MPa) and flexural strength (65.26 MPa) compared to uncompounded and modified MFP. The results of this study are expected to promote the application of high lignin content fibers in molded fibers. Full article
(This article belongs to the Section Polymer Applications)
Show Figures

Graphical abstract

14 pages, 3609 KB  
Article
Synthesis of High-Water-Resistance Lignin-Phenol Resin Adhesive with Furfural as a Crosslinking Agent
by Yufei Zhang, Ning Li, Zhikang Chen, Chen Ding, Qi Zheng, Jindi Xu and Qiulu Meng
Polymers 2020, 12(12), 2805; https://doi.org/10.3390/polym12122805 - 27 Nov 2020
Cited by 53 | Viewed by 6844
Abstract
In this study, furfural was used as a crosslinking agent to enhance the water resistance of lignin-phenol-formaldehyde (LPF) resin. The effect of the furfural content on the physicochemical properties of the adhesives was explored, and the possible synthesis mechanism of the furfural-modified lignin-phenol-formaldehyde [...] Read more.
In this study, furfural was used as a crosslinking agent to enhance the water resistance of lignin-phenol-formaldehyde (LPF) resin. The effect of the furfural content on the physicochemical properties of the adhesives was explored, and the possible synthesis mechanism of the furfural-modified lignin-phenol-formaldehyde (LPFF) resin adhesives was investigated. Compared with the LPF adhesive, the LPFF adhesive with 15% furfural content and 50% lignin substituent exhibited outstanding properties in all considered aspects; it had a high wet shear strength (1.30 MPa), moderate solid content (54.51%), and low viscosity (128 mPa∙s), which were 38.0% higher, 3.6% higher, and 37.5% lower than those of the LPF adhesive. Analyses via nuclear magnetic resonance and Fourier transform infrared (FTIR) spectroscopy confirmed that the furfural content improved water resistance of the lignin-based adhesive; this improvement was due to the formation of new chemical bonds between furfural and lignin to construct a dense crosslinked network structure. In addition, the decrease in viscosity and the increase in solid content enabled the adhesive to better penetrate into the wood porous structure, showing stronger adhesion. Therefore, the LPFF adhesive has superior water resistance, high strength, and good thermal stability; thus, it has a great potential for industrial applications. Full article
(This article belongs to the Special Issue Adhesive Polymers as Efficient Binders for Additive Manufacturing)
Show Figures

Graphical abstract

9 pages, 2125 KB  
Article
Water Extraction of Tannins from Aleppo Pine Bark and Sumac Root for the Production of Green Wood Adhesives
by Issam Dababi, Olinda Gimello, Elimame Elaloui and Nicolas Brosse
Molecules 2020, 25(21), 5041; https://doi.org/10.3390/molecules25215041 - 30 Oct 2020
Cited by 12 | Viewed by 3418
Abstract
The extraction of condensed tannins from Aleppo pine bark and sumac roots (Brown Rhus tripartitum) was examined in near industrial conditions, using a water medium in the presence of 2% NaHCO3 and 0.5% NaHSO3 at two different temperatures (70 [...] Read more.
The extraction of condensed tannins from Aleppo pine bark and sumac roots (Brown Rhus tripartitum) was examined in near industrial conditions, using a water medium in the presence of 2% NaHCO3 and 0.5% NaHSO3 at two different temperatures (70 °C and at 100 °C). The tannins extracts were recovered in high yields (~25% of Aleppo pine and ~30% for sumac) with high phenolic contents (>75%). The tannins were characterized by 13C-NMR and MALDI TOF and showed characteristics of procyanidin/prodelphinidin units. The tannins extracted at 100 °C were composed of smaller flavonoid oligomers (DP < 8) compared to those extracted at a lower temperature (DP > 10). Adhesive resin formulations were prepared using Aleppo or sumac tannins and four different cross linkers (hexamine, glutaraldehyde, furfural, and glyoxal). The resins were studied by TMA in bending and tannins-based formaldehyde-free wood particleboards were produced. The panels displayed internal bond strengths > 0.35 MPa with the four hardeners and all of them passed relevant international standard specifications for interior grade panels. The best results were observed with the tannins extracted at 70 °C with furfural as hardener (IB = 0.81 MPa for Aleppo pine and IB = 0.76 MPa for sumac). Full article
(This article belongs to the Special Issue Tannin Analysis, Chemistry, and Functions)
Show Figures

Figure 1

24 pages, 2476 KB  
Review
Bio-Based Alternatives to Phenol and Formaldehyde for the Production of Resins
by P. R. Sarika, Paul Nancarrow, Abdulrahman Khansaheb and Taleb Ibrahim
Polymers 2020, 12(10), 2237; https://doi.org/10.3390/polym12102237 - 28 Sep 2020
Cited by 188 | Viewed by 27162
Abstract
Phenol–formaldehyde (PF) resin continues to dominate the resin industry more than 100 years after its first synthesis. Its versatile properties such as thermal stability, chemical resistance, fire resistance, and dimensional stability make it a suitable material for a wide range of applications. PF [...] Read more.
Phenol–formaldehyde (PF) resin continues to dominate the resin industry more than 100 years after its first synthesis. Its versatile properties such as thermal stability, chemical resistance, fire resistance, and dimensional stability make it a suitable material for a wide range of applications. PF resins have been used in the wood industry as adhesives, in paints and coatings, and in the aerospace, construction, and building industries as composites and foams. Currently, petroleum is the key source of raw materials used in manufacturing PF resin. However, increasing environmental pollution and fossil fuel depletion have driven industries to seek sustainable alternatives to petroleum based raw materials. Over the past decade, researchers have replaced phenol and formaldehyde with sustainable materials such as lignin, tannin, cardanol, hydroxymethylfurfural, and glyoxal to produce bio-based PF resin. Several synthesis modifications are currently under investigation towards improving the properties of bio-based phenolic resin. This review discusses recent developments in the synthesis of PF resins, particularly those created from sustainable raw material substitutes, and modifications applied to the synthetic route in order to improve the mechanical properties. Full article
(This article belongs to the Special Issue Sustainable Bio-Based Polymers: Towards a Circular Bioeconomy)
Show Figures

Graphical abstract

16 pages, 3705 KB  
Article
Preparation and Performance of Porous Carbon Nanocomposite from Renewable Phenolic Resin and Halloysite Nanotube
by Xiaomeng Yang, Xiaorui Zeng, Guihong Han, Dong Sui, Xiangyu Song and Yongsheng Zhang
Nanomaterials 2020, 10(9), 1703; https://doi.org/10.3390/nano10091703 - 29 Aug 2020
Cited by 17 | Viewed by 3372
Abstract
The growing demand for high performance from supercapacitors has inspired the development of porous nanocomposites using renewable and naturally available materials. In this work, a formaldehyde-free phenolic resin using monosaccharide-based furfural was synthesized to act as the carbon precursor. One dimensional halloysite nanotube [...] Read more.
The growing demand for high performance from supercapacitors has inspired the development of porous nanocomposites using renewable and naturally available materials. In this work, a formaldehyde-free phenolic resin using monosaccharide-based furfural was synthesized to act as the carbon precursor. One dimensional halloysite nanotube (HNT) with high porosity and excellent cation/anion exchange capacity was mixed with the phenol-furfural resin to fabricate carbonaceous nanocomposite HNT/C. Their structure and porosity were characterized. The effects of the halloysite nanotube amount and carbonization temperature on the electrochemical properties of HNT/C were explored. HNT/C exhibited rich porosity, involving a large specific surface area 253 m2·g−1 with a total pore volume of 0.27 cm3·g−1. The electrochemical performance of HNT/C was characterized in the three-electrode system and showed enhanced specific capacitance of 146 F·g−1 at 0.2 A g−1 (68 F·g−1 for pristine carbon) in electrolyte (6 mol·L−1 KOH) and a good rate capability of 62% at 3 A g−1. It also displayed excellent cycle performance with capacitance retention of 98.5% after 500 cycles. The symmetric supercapacitors with HNT/C-1:1.5-800 electrodes were fabricated, exhibiting a high energy density of 20.28 Wh·Kg−1 at a power density of 100 W·Kg−1 in 1 M Na2SO4 electrolyte. The present work provides a feasible method for preparing composite electrode materials with a porous structure from renewable phenol-furfural resin and HNT. The excellent supercapacitance highlights the potential applications of HNT/C in energy storage. Full article
(This article belongs to the Special Issue Investigation and Development of Graphene Oxide-Based Materials)
Show Figures

Figure 1

14 pages, 4850 KB  
Article
Phenol-Furfural Resin/Montmorillonite Based High-Pressure Green Composite from Renewable Feedstock (Saccharum munja) with Improved Thermo-Mechanical Properties
by Muhammad Zeeshan Asad, Azhar Mahmood and Syed Tasweer Hussain Shah
Polymers 2020, 12(7), 1562; https://doi.org/10.3390/polym12071562 - 14 Jul 2020
Cited by 13 | Viewed by 5514
Abstract
This research endeavour aimed to explore the potential of a native, nonedible and low market value plant feedstock, i.e., Saccharum munja for green synthesis of woodware materials and improve its features by incorporating an economical blending material. A significant amount of furfural, i.e., [...] Read more.
This research endeavour aimed to explore the potential of a native, nonedible and low market value plant feedstock, i.e., Saccharum munja for green synthesis of woodware materials and improve its features by incorporating an economical blending material. A significant amount of furfural, i.e., 58%, was extracted from Saccharum munja through the modified acid digestion method. Extracted furfural was reacted with phenol to prepare phenol-furfural resin, an alternative to phenol-formaldehyde resin but with no harmful effects for humans. The synthesized resin was also blended with montmorillonite clay after modification via Dimethyl Sulfoxide (DMSO) treatment for improved thermo-mechanical properties. These resins and composites were characterized by XRD, SEM, and FTIR spectroscopy. Resultant resins and composites were further employed as a binding agent to make high-pressure composite from leftover plant residue by hot-press method. The resultant product was subjected to TGA analysis and furnished high value of degradation temperature (Tdeg), i.e., 607 °C. Prepared high-pressure composite samples were mechanically tested through compression tests by Tinius Olsen Testing Machine and hardness tests by Rockwell Hardness Tester. Its tensile strength value was 58.3 MPa while hardness value was found to be 64 RHB which was greater than mild copper with hardness value 48.9 RHB. Thus, green high-pressure composite material was successfully developed by employing Saccharum munja and montmorillonite clay while no toxic resin was used, nor was any residue left over. Full article
(This article belongs to the Section Biobased and Biodegradable Polymers)
Show Figures

Graphical abstract

18 pages, 1388 KB  
Article
Detoxification of a Lignocellulosic Waste from a Pulp Mill to Enhance Its Fermentation Prospects
by Tamara Llano, Natalia Quijorna and Alberto Coz
Energies 2017, 10(3), 348; https://doi.org/10.3390/en10030348 - 11 Mar 2017
Cited by 30 | Viewed by 5563
Abstract
Detoxification is required for sugar bioconversion and hydrolyzate valorization within the biorefining concept for biofuel or bio-product production. In this work, the spent sulfite liquor, which is the main residue provided from a pulp mill, has been detoxified. Evaporation, overliming, ionic exchange resins, [...] Read more.
Detoxification is required for sugar bioconversion and hydrolyzate valorization within the biorefining concept for biofuel or bio-product production. In this work, the spent sulfite liquor, which is the main residue provided from a pulp mill, has been detoxified. Evaporation, overliming, ionic exchange resins, and adsorption with activated carbon or black carbon were considered to separate the sugars from the inhibitors in the lignocellulosic residue. Effectiveness in terms of total and individual inhibitor removals, sugar losses and sugar-to-inhibitor removal ratio was determined. The best results were found using the cation exchange Dowex 50WX2 resin in series with the anion exchange Amberlite IRA-96 resin, which resulted in sugar losses of 24.2% with inhibitor removal of 71.3% of lignosulfonates, 84.8% of phenolics, 82.2% acetic acid, and 100% of furfurals. Apart from exchange resins, the results of evaporation, overliming, adsorption with activated carbon and adsorption with black carbon led to total inhibitor removals of 8.6%, 44.9%, 33.6% and 47.6%, respectively. Finally, some fermentation scenarios were proposed in order to evaluate the most suitable technique or combination of techniques that should be implemented in every case. Full article
(This article belongs to the Special Issue Thermo-Chemical Conversion of Waste Biomass)
Show Figures

Figure 1

18 pages, 873 KB  
Article
Lignin-Furfural Based Adhesives
by Prajakta Dongre, Mark Driscoll, Thomas Amidon and Biljana Bujanovic
Energies 2015, 8(8), 7897-7914; https://doi.org/10.3390/en8087897 - 30 Jul 2015
Cited by 111 | Viewed by 13314
Abstract
Lignin recovered from the hot-water extract of sugar maple (Acer saccharum) is used in this study to synthesize adhesive blends to replace phenol-formaldehyde (PF) resin. Untreated lignin is characterized by lignin content and nuclear magnetic resonance (NMR) analysis. The molecular weight [...] Read more.
Lignin recovered from the hot-water extract of sugar maple (Acer saccharum) is used in this study to synthesize adhesive blends to replace phenol-formaldehyde (PF) resin. Untreated lignin is characterized by lignin content and nuclear magnetic resonance (NMR) analysis. The molecular weight distribution of the lignin and the blends are characterized by size exclusion chromatography (SEC). The effect of pH (0.3, 0.65 and 1), ex situ furfural, and curing conditions on the tensile properties of adhesive reinforced glass fibers is determined and compared to the reinforcement level of commercially available PF resin. The adhesive blend prepared at pH = 0.65 with no added furfural exhibits the highest tensile properties and meets 90% of the PF tensile strength. Full article
(This article belongs to the Special Issue Bioenergy and Biorefining)
Show Figures

Graphical abstract

Back to TopTop