Sign in to use this feature.

Years

Between: -

Subjects

remove_circle_outline
remove_circle_outline
remove_circle_outline
remove_circle_outline
remove_circle_outline
remove_circle_outline
remove_circle_outline
remove_circle_outline
remove_circle_outline

Journals

remove_circle_outline
remove_circle_outline
remove_circle_outline
remove_circle_outline
remove_circle_outline
remove_circle_outline
remove_circle_outline
remove_circle_outline
remove_circle_outline
remove_circle_outline
remove_circle_outline
remove_circle_outline
remove_circle_outline
remove_circle_outline

Article Types

Countries / Regions

remove_circle_outline
remove_circle_outline
remove_circle_outline
remove_circle_outline
remove_circle_outline
remove_circle_outline
remove_circle_outline
remove_circle_outline

Search Results (3,951)

Search Parameters:
Keywords = phenol and polyphenols

Order results
Result details
Results per page
Select all
Export citation of selected articles as:
20 pages, 1746 KB  
Article
Antimycobacterial Mechanisms and Anti-Virulence Activities of Polyphenolic-Rich South African Medicinal Plants Against Mycobacterium smegmatis
by Matsilane L. Mashilo, Mashilo M. Matotoka and Peter Masoko
Microorganisms 2026, 14(1), 239; https://doi.org/10.3390/microorganisms14010239 - 20 Jan 2026
Abstract
The rise of multidrug-resistant tuberculosis (TB) necessitates alternative therapeutic sources. This study investigated the polyphenolic content and the antioxidant, antimycobacterial, and anti-virulence activities of selected medicinal plants traditionally used to treat TB and related symptoms. Total phenolics, tannins, and flavonoids were quantified using [...] Read more.
The rise of multidrug-resistant tuberculosis (TB) necessitates alternative therapeutic sources. This study investigated the polyphenolic content and the antioxidant, antimycobacterial, and anti-virulence activities of selected medicinal plants traditionally used to treat TB and related symptoms. Total phenolics, tannins, and flavonoids were quantified using colorimetric assays. Antioxidant capacity was assessed via DPPH and ferric-reducing power assays. Antimycobacterial activity against Mycobacterium smegmatis was evaluated using broth microdilution, growth kinetics, cell constituent leakage, and respiratory chain dehydrogenase inhibition assays. Anti-virulence effects were examined using crystal violet biofilm and swarming motility assays. Tarchonanthus camphoratus showed the highest polyphenolic levels and, together with Combretum hereroense, strong antioxidant activity. Extracts of Senecio macroglossus, Nerium oleander, and Tetradenia riparia displayed potent antimycobacterial activity (MIC = 0.16 mg/mL), characterized by delayed exponential growth, membrane damage, and metabolic inhibition. Tabernaemontana elegans exhibited the weakest activity (MIC > 2.5 mg/mL). Most extracts also significantly impaired motility (12–100%) and early-stage biofilm formation. Polyphenolic-rich plant extracts demonstrated promising antimycobacterial and anti-virulence properties against M. smegmatis, highlighting their potential as leads for developing novel anti-TB agents. Full article
(This article belongs to the Section Antimicrobial Agents and Resistance)
Show Figures

Figure 1

65 pages, 861 KB  
Review
Fermented Plant-Based Foods and Postbiotics for Glycemic Control—Microbial Biotransformation of Phytochemicals
by Emilia Cevallos-Fernández, Elena Beltrán-Sinchiguano, Belén Jácome, Tatiana Quintana and Nadya Rivera
Molecules 2026, 31(2), 360; https://doi.org/10.3390/molecules31020360 - 20 Jan 2026
Abstract
Plant-based fermented foods are increasingly promoted for glycemic control, yet their mechanisms and clinical impact remain incompletely defined. This narrative review synthesizes mechanistic, preclinical, and human data for key matrices—kimchi and other fermented vegetables, tempeh/miso/natto, and related legume ferments, kombucha and fermented teas, [...] Read more.
Plant-based fermented foods are increasingly promoted for glycemic control, yet their mechanisms and clinical impact remain incompletely defined. This narrative review synthesizes mechanistic, preclinical, and human data for key matrices—kimchi and other fermented vegetables, tempeh/miso/natto, and related legume ferments, kombucha and fermented teas, plant-based kefir, and cereal/pulse sourdoughs. Across these systems, microbial β-glucosidases, esterases, tannases, and phenolic-acid decarboxylases remodel polyphenols toward more bioaccessible aglycones and phenolic acids, while lactic and acetic fermentations generate organic acids, exopolysaccharides, bacterial cellulose, γ-polyglutamic acid, γ-aminobutyric acid, and bioactive peptides. We map these postbiotic signatures onto proximal mechanisms—α-amylase/α-glucosidase inhibition, viscosity-driven slowing of starch digestion, gastric emptying and incretin signaling, intestinal-barrier reinforcement, and microbiota-dependent short-chain–fatty-acid and bile-acid pathways—and their downstream effects on AMPK/Nrf2 signaling and the gut–liver axis. Animal models consistently show improved glucose tolerance, insulin sensitivity, and hepatic steatosis under fermented vs. non-fermented diets. In humans, however, glycemic effects are modest and highly context-dependent: The most robust signal is early postprandial attenuation with γ-PGA-rich natto, strongly acidified or low-glycemic sourdough breads, and selected kombucha formulations, particularly in individuals with impaired glucose regulation. We identify major sources of heterogeneity (starters, process parameters, substrates, background diet) and safety considerations (sodium, ethanol, gastrointestinal symptoms) and propose minimum reporting standards and trial designs integrating metabolomics, microbiome, and host-omics. Overall, plant-based ferments appear best positioned as adjuncts within cardiometabolic dietary patterns and as candidates for “purpose-built” postbiotic products targeting early glycemic excursions and broader metabolic risk. Full article
(This article belongs to the Special Issue Phytochemistry, Antioxidants, and Anti-Diabetes)
Show Figures

Figure 1

19 pages, 1980 KB  
Article
The Addition of Extra-Virgin Olive Oil Enhances the Antioxidant Capacity, Nutritional Quality, and Sensory Attributes of Vegetable Patties Prepared Using Different Cooking Methods
by Andrés Bustamante, Consuelo Valle, Francisca Echeverría, Elva Gonzales, Mónica Cabrales, Camila Farias, Yasna Muñoz, Beatriz Reyes, Lorena Mercado-López and Rodrigo Valenzuela
Foods 2026, 15(2), 366; https://doi.org/10.3390/foods15020366 - 20 Jan 2026
Abstract
The growing demand for healthier and more sustainable foods has driven interest in plant-based formulations with improved nutritional and sensory quality. In this context, this study evaluated the effect of extra-virgin olive oil (EVOO) addition and different cooking methods (baking, air-frying, and deep-frying) [...] Read more.
The growing demand for healthier and more sustainable foods has driven interest in plant-based formulations with improved nutritional and sensory quality. In this context, this study evaluated the effect of extra-virgin olive oil (EVOO) addition and different cooking methods (baking, air-frying, and deep-frying) on the nutritional composition, fatty acid profile, total polyphenol content (TPC), antioxidant capacity (ORAC, FRAP, and DPPH), and sensory acceptability of vegetable patties. Patties were prepared with or without EVOO and cooked using the three methods. Deep-frying markedly increased fat content (45–75%), whereas baking and air-frying effectively limited oil absorption (0–10%). EVOO addition increased monounsaturated fatty acids, particularly oleic acid (37.2 g/100 g DW), and enhanced the transfer of phenolic compounds to the patties. Deep-fried, EVOO-enriched samples showed the highest TPC (3.93–5.22 mg GAE/100 g DW), while raw patties exhibited the highest ORAC values (5.17–6.02 µmol TE/100 g DW). Sensory evaluation indicated that EVOO-enriched patties achieved the highest overall preference when air-fried or baked (77–89%). Overall, enriching EVOO with less oil-intensive cooking methods improved the lipid profile, antioxidant capacity, and sensory quality of vegetable patties. These findings should be interpreted within the context of a single frying cycle representative of domestic cooking practices and a sensory evaluation conducted with an untrained panel mainly composed of young adults. Full article
Show Figures

Graphical abstract

27 pages, 2278 KB  
Article
Germination as a Sustainable Green Pre-Treatment for the Recovery and Enhancement of High-Value Compounds in Broccoli and Kale
by Christine (Neagu) Dragomir, Corina Dana Misca, Sylvestre Dossa, Daniela Stoin, Ariana Velciov, Călin Jianu, Isidora Radulov, Mariana Suba, Catalin Ianasi and Ersilia Alexa
Molecules 2026, 31(2), 350; https://doi.org/10.3390/molecules31020350 - 19 Jan 2026
Abstract
Germination is widely recognized as an effective strategy to enhance the nutritional quality and reduce anti-nutritional factors in plant foods. This study evaluated the impact of germination on Cruciferous vegetables (family Cruciferae or Brassicaceae) broccoli and kale by assessing changes in proximate [...] Read more.
Germination is widely recognized as an effective strategy to enhance the nutritional quality and reduce anti-nutritional factors in plant foods. This study evaluated the impact of germination on Cruciferous vegetables (family Cruciferae or Brassicaceae) broccoli and kale by assessing changes in proximate composition, macro- and microelement profiles, total and individual polyphenols, phytic acid content, antimicrobial activity, and structural characteristics using Fourier Transform Infrared Spectroscopy (FTIR) and Small- and Wide-Angle X-ray Scattering (SAXS/WAXS) analyses. Germination significantly increased protein content (30.33% in broccoli sprouts and 30.21% in kale sprouts), total phenolic content (424.40 mg/100 g in broccoli sprouts and 497.94 mg/100 g in kale sprouts), and essential minerals, while reducing phytic acid levels in both species (up to 82.20%). Antimicrobial effects were matrix-dependent, being detected in broccoli and kale seed powders, while no inhibitory activity was observed for the corresponding sprout powders under the tested conditions. FTIR spectra indicated notable modifications in functional groups related to carbohydrates, proteins, and phenolic compounds, while SAXS analysis revealed structural reorganizations at the nanoscale. Overall, germination improved the nutritional and phytochemical quality of broccoli and kale while decreasing anti-nutritional compounds, highlighting its potential to enhance the health-promoting value of Brassica sprouts. Full article
Show Figures

Figure 1

16 pages, 530 KB  
Article
Applications of Spectroscopy in the Study of Bioactive Compounds from Cornus mas L.
by Carmen Mihaela Topală, Loredana Elena Vijan, Oana Hera and Monica Sturzeanu
Appl. Sci. 2026, 16(2), 1007; https://doi.org/10.3390/app16021007 - 19 Jan 2026
Abstract
Five Cornus mas L. genotypes were analysed based on their attractive colour and high productivity. The ‘Bordo’ cultivar stood out, demonstrating the highest berry weight (3.07 g) and yield per plant (8.24 kg). Close behind was the MH-7-17 selection, with an average yield [...] Read more.
Five Cornus mas L. genotypes were analysed based on their attractive colour and high productivity. The ‘Bordo’ cultivar stood out, demonstrating the highest berry weight (3.07 g) and yield per plant (8.24 kg). Close behind was the MH-7-17 selection, with an average yield of 7.37 kg per plant. Both the ‘Bordo’ cultivar and the MH-7-17 selection exhibited excellent agronomic potential, making them ideal candidates for large-scale cultivation. UV-Vis absorption spectroscopy was used to quantify the fruits’ levels of sugars, polyphenols, flavonoids, tannins, anthocyanins and carotenoids (lycopene and β-carotene) and to evaluate their antioxidant capacity. The ‘Bordo’ cultivar had the highest carotenoid content (0.88 mg lycopene and 2.47 mg β-carotene per 100 g), while the TG-J-9-17 and TG-J-20-17 selections had the highest total content of sugars, polyphenols, flavonoids, tannins and anthocyanins and the highest antioxidant capacity. According to the correlations analysis, bigger fruit (which correlated to higher yield) had higher carotenoid content, although lower-level tannin (TTC), flavonoid (TFC), anthocyanin (TAC), and sugar (TSC). Also, total phenolic content (TPC) was positively correlated to TTC, TFC, and radical scavenging activity (RSA), while TFC was positively correlated to TTC, TAC, RSA, but also to TSC. Other positive correlations were those found between TTC and RSA and between lycopene and β-carotene. FTIR spectroscopy was used to identify the characteristic vibrations of the biochemical constituents. Processing the FTIR data using chemometric techniques (principal component analysis and hierarchical clustering analysis) revealed consistent clustering patterns between samples with similar characteristics. Full article
Show Figures

Figure 1

20 pages, 323 KB  
Article
Phenolic Compounds, Antioxidant and Antimicrobial Activities of Punica granatum L. Fruit Extracts
by Mijat Božović, Vanja Tadić, Alessandra Oliva, Milan Mladenović, Roberta Astolfi and Rino Ragno
Molecules 2026, 31(2), 334; https://doi.org/10.3390/molecules31020334 - 19 Jan 2026
Abstract
Pomegranate is valued for its abundant polyphenolic content and its capacity to promote health. In this study, pomegranate juice or pericarp extracts from two Mediterranean regions (Montenegro and Italy) were systematically and comparatively evaluated for the first time with respect to their polyphenolic [...] Read more.
Pomegranate is valued for its abundant polyphenolic content and its capacity to promote health. In this study, pomegranate juice or pericarp extracts from two Mediterranean regions (Montenegro and Italy) were systematically and comparatively evaluated for the first time with respect to their polyphenolic composition, antioxidant capacity, and antimicrobial activity. The extraction of juice extracts was accomplished by means of the Kutscher–Steudel liquid–liquid extraction technique, which was employed to selectively recover phenolics. In contrast, the extraction of pericarp extracts from the solid matrix was achieved via Soxhlet extraction. A thorough high-performance liquid chromatography (HPLC) analysis was conducted to identify and quantify the major phenolic compounds present in the sample. This analysis revealed the presence of ellagitannin punicalagin isomers, with concentrations reaching up to 254.75 mg/g of the sample, as well as ellagic acid and gallic acid. The antioxidant potential of the samples was assessed using the antioxidant activity index (AAI) from the 2,2-diphenyl-1-picrylhydrazyl (DPPH) test and by a ferric reducing antioxidant power (FRAP) assay. Juice extracts demonstrated a range of activity levels, with AAI values ranging from 0.17 to 2.12 and FRAP values ranging from 2.49 to 19.41 mmol Fe2+/g. In contrast, pericarp extracts exhibited notably higher activity, with AAI values ranging from 0.18 to 27.57 and FRAP values ranging from 2.99 to 372.17 mmol Fe2+/g. This study demonstrates the markedly higher functional potential of pericarp extracts compared to juice extracts by linking detailed phenolic profiles with bioactivity data. Antimicrobial testing, inclusive of the determination of minimum bactericidal concentration (MBC), demonstrated that certain pericarp extracts manifested bactericidal properties at low concentrations against selected clinically pertinent strains, including methicillin-resistant Staphylococcus aureus (0.109% p/v), methicillin-sensitive S. aureus (0.109% p/v), carbapenem-resistant Acinetobacter baumannii (0.109% p/v), and Escherichia coli (0.563% p/v). Candida albicans and Klebsiella pneumoniae strains exhibited minimal sensitivity to these extracts. The findings indicate that pomegranate pericarp is a valuable by-product, and they demonstrate the potential of both juice and pericarp extracts as functional ingredients. Full article
(This article belongs to the Special Issue Analyses and Applications of Phenolic Compounds in Food—3rd Edition)
20 pages, 1683 KB  
Article
Effects of Rosmarinic Acid and Sinapic Acid on the Skeletal System in Ovariectomized Rats
by Maria Zych, Radosław Wolan, Agnieszka Włodarczyk, Piotr Londzin, Weronika Borymska, Ilona Kaczmarczyk-Żebrowska and Joanna Folwarczna
Nutrients 2026, 18(2), 301; https://doi.org/10.3390/nu18020301 - 18 Jan 2026
Viewed by 66
Abstract
Background/Objectives: It is believed that some polyphenols, including phenolic acids, may counteract estrogen deficiency-induced bone loss, decreasing oxidative stress. Moreover, some phenolic acids—among others, rosmarinic acid and sinapic acid—have been reported to increase the serum estradiol concentration in rats. The study aimed [...] Read more.
Background/Objectives: It is believed that some polyphenols, including phenolic acids, may counteract estrogen deficiency-induced bone loss, decreasing oxidative stress. Moreover, some phenolic acids—among others, rosmarinic acid and sinapic acid—have been reported to increase the serum estradiol concentration in rats. The study aimed to investigate the impact of rosmarinic acid and sinapic acid on the skeletal system of rats with estrogen deficiency induced by bilateral ovariectomy. Methods: The study was carried out on mature female rats, divided into sham-operated control rats, ovariectomized (OVX) control rats, and OVX rats treated with estradiol (0.2 mg/kg; positive control), rosmarinic acid (10 and 50 mg/kg), or sinapic acid (5 and 25 mg/kg). The compounds were administered orally for 4 weeks. Serum bone turnover markers, bone mass, mineral and calcium content, macrometric and histomorphometric parameters, as well as mechanical properties were examined. Results: Estrogen deficiency induced osteoporotic changes in ovariectomized control rats, which were slightly counteracted by the administration of estradiol. The phenolic acids slightly counteracted some changes caused by estrogen deficiency, but their administration at higher doses led to further worsening of cancellous bone quality. Conclusions: The results demonstrated that administration of high doses of rosmarinic acid or sinapic acid slightly unfavorably affected the rats’ skeletal system under conditions of estrogen deficiency. Full article
Show Figures

Figure 1

23 pages, 1473 KB  
Article
Natural Dyes and Antioxidant Compounds from Safflower (Carthamus tinctorius L.) Florets: The Effects of Genotype and Sowing Time
by Clarissa Clemente, Silvia Tavarini, Shaula Antoni, Silvia Zublena, Luciana G. Angelini and Ilaria Degano
Plants 2026, 15(2), 282; https://doi.org/10.3390/plants15020282 - 17 Jan 2026
Viewed by 162
Abstract
Safflower (Carthamus tinctorius L.) is increasingly attracting the attention of Mediterranean farmers due to its broad environmental adaptability and low input requirements. Although still relatively underexplored, this species holds remarkable potential as a source of natural dyes and bioactive phytochemicals with recognized [...] Read more.
Safflower (Carthamus tinctorius L.) is increasingly attracting the attention of Mediterranean farmers due to its broad environmental adaptability and low input requirements. Although still relatively underexplored, this species holds remarkable potential as a source of natural dyes and bioactive phytochemicals with recognized health-promoting and phytotherapeutic properties. In this study, the effects of genotype and sowing time on safflower’s productive and qualitative traits were investigated by testing six genotypes and two sowing times (autumn and spring) in an open-field trial conducted in central Tuscany. The Pieve genotype achieved the highest floret dry yield per head, number of heads per plant, and total floret yield per plant, whereas the Montola 2000 genotype was distinguished by its elevated polyphenol concentration and pronounced antioxidant activity. Autumn sowing resulted in higher yields of bioactive pigments, including carthamin and yellow quinochalcones, alongside greater total phenolic content and antioxidant capacity. Conversely, spring sowing appeared to limit pigment biosynthesis, likely due to environmental stressors such as elevated temperature and excessive light exposure. Overall, these findings highlight the strong influence of genotype and sowing time on the accumulation of health-beneficial compounds in safflower. By optimizing these factors, safflower can be strategically valorized as a multipurpose crop in the Mediterranean region, combining economic and environmental sustainability with the production of natural compounds of high nutraceutical and phytotherapeutic value. Full article
(This article belongs to the Section Phytochemistry)
Show Figures

Figure 1

14 pages, 2317 KB  
Article
Shrimp-Derived Chitosan for the Formulation of Active Films with Mexican Propolis: Physicochemical and Functional Evaluation of the Biomaterial
by Alejandra Delgado-Lozano, Pedro Alberto Ledesma-Prado, César Leyva-Porras, Lydia Paulina Loya-Hernández, César Iván Romo-Sáenz, Carlos Arzate-Quintana, Manuel Román-Aguirre, María Alejandra Favila-Pérez, Alva Rocío Castillo-González and Celia María Quiñonez-Flores
Coatings 2026, 16(1), 124; https://doi.org/10.3390/coatings16010124 - 17 Jan 2026
Viewed by 100
Abstract
The development of functional biomaterials based on natural polymers has gained increasing relevance due to the growing demand for sustainable and bioactive alternatives for biomedical and technological applications. In this study, chitosan was obtained from shrimp exoskeletons and used to formulate active films [...] Read more.
The development of functional biomaterials based on natural polymers has gained increasing relevance due to the growing demand for sustainable and bioactive alternatives for biomedical and technological applications. In this study, chitosan was obtained from shrimp exoskeletons and used to formulate active films enriched with Mexican propolis, aiming to evaluate the influence of the extract on the physicochemical and functional properties of the resulting biomaterial. Propolis was incorporated into the chitosan film-forming solution at a final concentration of 1.0% (v/v). The propolis employed met the requirements of the Mexican Official Standard NOM-003-SAG/GAN-2017 regarding flavonoid content, total phenolic compounds, and antimicrobial activity; additionally, it was evaluated through antioxidant activity, hemolysis, and acute toxicity (LD50) assays to provide a broader biological and safety assessment. The extracted chitosan exhibited a degree of deacetylation of 74% and characteristic FTIR spectral features comparable to those of commercial chitosan, confirming the quality of the obtained polymer. Chitosan–propolis films exhibited antimicrobial activity against Staphylococcus aureus, Escherichia coli, and Candida albicans, whereas pure chitosan films showed no inhibitory effect. Thermal analyses (TGA/DSC) revealed a slight reduction in thermal stability due to the incorporation of thermolabile polyphenolic compounds, along with increased thermal complexity of the system. SEM observations demonstrated reduced microbial adhesion and marked morphological damage in microorganisms exposed to the functionalized films. Overall, the incorporation of Mexican propolis enabled the development of a hybrid biomaterial with enhanced antimicrobial performance and potential application in wound dressings and bioactive coatings. Full article
(This article belongs to the Special Issue Coatings with Natural Products)
Show Figures

Graphical abstract

8 pages, 775 KB  
Proceeding Paper
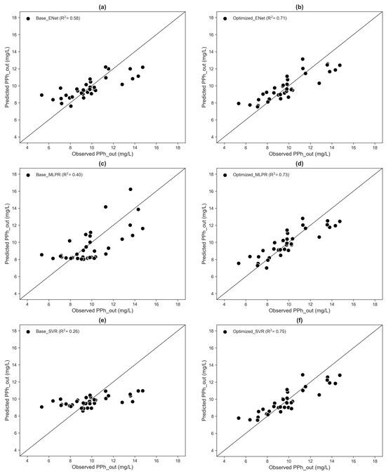
Predictive Modeling of Polyphenol Concentration After Sequencing Batch Reactor Winery Wastewater Treatment
by Sérgio A. Silva, António Pirra, José A. Peres and Marco S. Lucas
Eng. Proc. 2025, 117(1), 25; https://doi.org/10.3390/engproc2025117025 - 15 Jan 2026
Viewed by 109
Abstract
Winery wastewater contains recalcitrant pollutants, such as phenolic compounds, which can hinder biological treatment processes. While monitoring these systems is essential to prevent treatment failure, quantifying recalcitrant compounds through conventional methods can be time-consuming and costly due to complex analytical procedures and chemical [...] Read more.
Winery wastewater contains recalcitrant pollutants, such as phenolic compounds, which can hinder biological treatment processes. While monitoring these systems is essential to prevent treatment failure, quantifying recalcitrant compounds through conventional methods can be time-consuming and costly due to complex analytical procedures and chemical disposal. In this study, machine learning (ML) was used to predict polyphenol concentration after the biological treatment of winery wastewater using a sequencing batch reactor (SBR). ML models, including ElasticNet (ENet), Multi-Layer Perceptron Regressor (MLPR), and Support Vector Regressor (SVR), were developed and tested using a small, high-dimensional dataset and leave-one-out cross-validation (LOOCV). Feature selection and hyperparameter tuning were applied to improve model performance. After optimization, the SVR model achieved the best performance, with MAE, MAPE, and R2 of 0.88 mg/L, 9.3%, and 0.75, respectively. Full article
Show Figures

Figure 1

21 pages, 1329 KB  
Review
Valorization of Chestnut By-Products: Extraction, Bioactivity, and Applications of Shells, Spiny Burs, and Leaves
by Stefania Lamponi, Roberta Barletta and Annalisa Santucci
Life 2026, 16(1), 140; https://doi.org/10.3390/life16010140 - 15 Jan 2026
Viewed by 163
Abstract
The European chestnut (Castanea sativa Mill.) industry generates substantial amounts of underutilized biomass, including shells, leaves, and spiny burs. Distinguishing itself from existing literature, this review presents a novel, integrated life-science analysis that redefines these by-products as a complementary ‘bioactive triad’, ranging [...] Read more.
The European chestnut (Castanea sativa Mill.) industry generates substantial amounts of underutilized biomass, including shells, leaves, and spiny burs. Distinguishing itself from existing literature, this review presents a novel, integrated life-science analysis that redefines these by-products as a complementary ‘bioactive triad’, ranging from metabolic regulators to anti-virulence agents, rather than interchangeable sources of polyphenols. Although traditionally discarded, these by-products are rich sources of polyphenols, ellagitannins, and flavonoids, with promising potential for nutraceutical, cosmetic, and pharmaceutical applications. This review examines recent advances in the valorization of chestnut by-products, focusing on extraction strategies, chemical profiles, and biological activities. Shell valorization has increasingly shifted toward green extraction technologies, such as subcritical water extraction and deep eutectic solvents, which strongly influence bioactive recovery and composition. Chestnut leaves emerge as a sustainable resource enriched in hydrolysable tannins with anti-inflammatory and quorum sensing-inhibitory properties, particularly relevant for dermatological applications. Spiny burs, often the most phenolic-rich fraction, display marked antioxidant activity and the ability to potentiate conventional antibiotics against pathogens such as Helicobacter pylori. Despite these promising features, major challenges remain, including cultivar-dependent chemical variability, the predominance of in vitro evidence, and safety concerns related to the accumulation of potentially toxic elements. Overall, while chestnut by-products represent valuable resources within circular bioeconomy frameworks, their successful industrial and practical translation will require standardized extraction protocols, robust bioavailability assessments, and well-designed in vivo and clinical studies to ensure safety and efficacy. Full article
(This article belongs to the Section Plant Science)
Show Figures

Figure 1

17 pages, 1112 KB  
Article
Small but Mighty: Low Bio-Accessibility Preserves Polyphenols from Mini Purple Carrots for Direct Action Against Colon Cancer Cells
by Amel Hamdi, Emel Hasan Yusuf, Rocío Rodríguez-Arcos, Ana Jiménez-Araujo, Paulina Nowicka, Rafael Guillén-Bejarano and Sara Jaramillo-Carmona
Antioxidants 2026, 15(1), 113; https://doi.org/10.3390/antiox15010113 - 15 Jan 2026
Viewed by 260
Abstract
Carrots are exceptional sources of bioactive compounds with potential health benefits. This study investigated the relationship between the biodiversity of carrot cultivars (colour and size) and their potential chemopreventive properties. Four distinct carrot cultivars (orange, white, yellow, and purple) of normal and miniature [...] Read more.
Carrots are exceptional sources of bioactive compounds with potential health benefits. This study investigated the relationship between the biodiversity of carrot cultivars (colour and size) and their potential chemopreventive properties. Four distinct carrot cultivars (orange, white, yellow, and purple) of normal and miniature sizes were comprehensively analysed for polyphenolic composition, bio-accessibility through in vitro simulated digestion, and in vitro antiproliferative activity against the HCT-116 colon cancer cell line. Our findings revealed that vegetable size influenced phytochemical composition more than vegetable colour, with mini purple carrots exhibiting exceptionally high polyphenolic concentrations and superior antiproliferative activity compared to orange, yellow, or white varieties. Notably, the bioaccessibility of bioactive compounds remained remarkably low across all samples, suggesting that these phytochemicals reach the colon in intact form, potentially enabling direct interaction with cancer cells. Interestingly, we found no direct correlation between total phenolic content and antiproliferative activity. In vitro cell cycle analysis revealed that mini purple carrot extracts induced S-phase arrest similar to the chemotherapeutic agent 5-FU, whereas other extracts caused G0/G1-phase arrest. The specific polyphenolic composition appears to be fundamentally important for bioactivity, with chlorogenic acid and diferulic acid-derivative isomer 2 potentially acting synergistically. These findings highlight the importance of carrot biodiversity in delivering functional foods with enhanced health-promoting properties, particularly for colorectal cancer prevention. Full article
Show Figures

Graphical abstract

14 pages, 2301 KB  
Article
Antimicrobial Properties of Analogs of Dimeric A-Type Proanthocyanidins in Food Matrices
by Antonio Cobo, Alfonso Alejo-Armijo, Daniel Cruz, Cristina Cuadrado and Elena Ortega-Morente
Int. J. Mol. Sci. 2026, 27(2), 853; https://doi.org/10.3390/ijms27020853 - 15 Jan 2026
Viewed by 101
Abstract
Polyphenols with antimicrobial and antibiofilm properties are gaining popularity due to their natural origins and relatively safe nature, and they have met the interest of the food industry because of their possible applicability as food preservatives. We have investigated the effect of different [...] Read more.
Polyphenols with antimicrobial and antibiofilm properties are gaining popularity due to their natural origins and relatively safe nature, and they have met the interest of the food industry because of their possible applicability as food preservatives. We have investigated the effect of different analogs of dimeric A-type proanthocyanidins (PACs) on four food matrix models, including unprocessed meat, fish, vegetables and dairy products previously contaminated with susceptible food pathogens. The best effects were achieved when cherry tomato was used as the food matrix for all the target bacteria (Staphylococcus aureus CECT 828, Listeria innocua CECT 910 and Bacillus cereus UJA27q) and for both temperatures tested (6 and 25 °C). Moreover, several combinations of these analogs also showed synergistic effects, mainly on S. aureus CECT 828, which may allow these antimicrobials to be used at lower levels in food matrices, which would promote their sensory acceptability. However, further studies should be conducted next to understand the mechanisms of these synergistic activities between the phenolic compounds against foodborne pathogens, as well as to ensure the absence of toxic effects when used as food preservatives. Full article
(This article belongs to the Special Issue Biological Study of Plant Bioactive Compounds)
Show Figures

Graphical abstract

20 pages, 3139 KB  
Article
Yeast as a By-Product from Wine and Beer Production: Comparative Evaluation of Physico-Chemical Composition
by Ionuț Avrămia, Adriana Dabija, Mircea Oroian, Larisa Caisin, Vitalii Agapii, Aurelian Rotaru and Ancuta Chetrariu
Molecules 2026, 31(2), 280; https://doi.org/10.3390/molecules31020280 - 13 Jan 2026
Viewed by 127
Abstract
The trend toward sustainable protein substitutes is driven by growing concerns about food security, sustainability, and human health. Spent brewer’s yeast and wine lees are two by-products of the beer and wine industry with high potential, owing to their complex composition, which remains [...] Read more.
The trend toward sustainable protein substitutes is driven by growing concerns about food security, sustainability, and human health. Spent brewer’s yeast and wine lees are two by-products of the beer and wine industry with high potential, owing to their complex composition, which remains insufficiently exploited. The purpose of this study was to perform a comparative analysis of the two by-products under two different drying techniques to observe if there are significant changes in composition: oven-drying and freeze-drying. Two samples of wine lees from producers in the Republic of Moldova were used—Asconi Winery and Cricova Winery (Republic of Moldova)—as well as a sample of spent brewer’s yeast offered by Efes Vitanta Moldova Brewery. The samples were characterized in terms of physicochemical properties, antioxidant activity (total polyphenol content (TPC), individual polyphenol content, and DPPH assay scavenging activity), color, mineral content, structural composition (FT-IR analysis), and microstructure, as well as organic acid and B vitamin content. The highest protein content was recorded in the samples from Cricova (45.35–46.81%). Regarding the polyphenols, the oven-dried Efes sample exhibited a TPC value of 3.98 mg GAE/g, while the highest DPPH value of 88.92% was observed in the Asconi sample. All analyzed samples showed a diverse composition of individual phenolic compounds, including 4-hydroxybenzoic acid, vanillic acid, caffeic acid, and rosmarinic acid. Wine lees samples have the highest content of B vitamins, with vitamin B3 being the most abundant across all samples, followed by vitamin B6. The microstructural examination revealed autolyzed yeast cells, with more permeable cell walls, favorable to subsequent valorization treatments, and in some cases, cells form clusters in a mother-daughter junction due to serial re-pitching. Full article
(This article belongs to the Special Issue Re-Valorization of Waste and Food Co-Products)
Show Figures

Figure 1

23 pages, 2945 KB  
Article
Application of 1H NMR and HPLC-DAD in Metabolic Profiling of Extracts of Lavandula angustifolia and Lavandula × intermedia Cultivars
by Natalia Dobros, Katarzyna Zawada, Łukasz Woźniak and Katarzyna Paradowska
Plants 2026, 15(2), 217; https://doi.org/10.3390/plants15020217 - 10 Jan 2026
Viewed by 176
Abstract
NMR spectroscopy enables the study of complex mixtures, including plant extracts. The interpretation of specific ranges of 1H NMR spectra allows for the determination of polyphenolic compound, sugar, amino acid, and fatty acid profiles. The main goal of 1H NMR analyses [...] Read more.
NMR spectroscopy enables the study of complex mixtures, including plant extracts. The interpretation of specific ranges of 1H NMR spectra allows for the determination of polyphenolic compound, sugar, amino acid, and fatty acid profiles. The main goal of 1H NMR analyses of plant extracts is to identify the unique “fingerprint” of the material being studied. The aim of this study was to determine the metabolomic profile and antioxidant activity of various Lavandula angustifolia (Betty’s Blue, Elizabeth, Hidcote, and Blue Mountain White) and Lavandula × intermedia cultivars (Alba, Grosso, and Gros Bleu) grown in Poland. Modern green chemistry extraction methods (supercritical fluid extraction (SFE) and ultrasound-assisted extraction (UAE)) were used to prepare the lipophilic and hydrophilic extracts, respectively. The secondary metabolite profiles were determined using the diagnostic signals from 1H NMR and HPLC-DAD analyses. These metabolomic profiles were used to illustrate the differences between the different lavender and lavandin cultivars. The HPLC-DAD analysis revealed that both lavender species have similar polyphenolic profiles but different levels of individual compounds. The extracts from L. angustifolia were characterized by higher phenolic acid and flavonoid contents, while the extracts from L. × intermedia had a higher coumarin content. Diagnostic 1H NMR signals can be used to verify the authenticity and origin of plant extracts, and identify directions for further research, providing a basis for applications such as in cosmetics. Full article
(This article belongs to the Special Issue Phytochemical Compounds and Antioxidant Properties of Plants)
Show Figures

Figure 1

Back to TopTop