Antimicrobial Properties of Analogs of Dimeric A-Type Proanthocyanidins in Food Matrices
Abstract
1. Introduction
2. Results
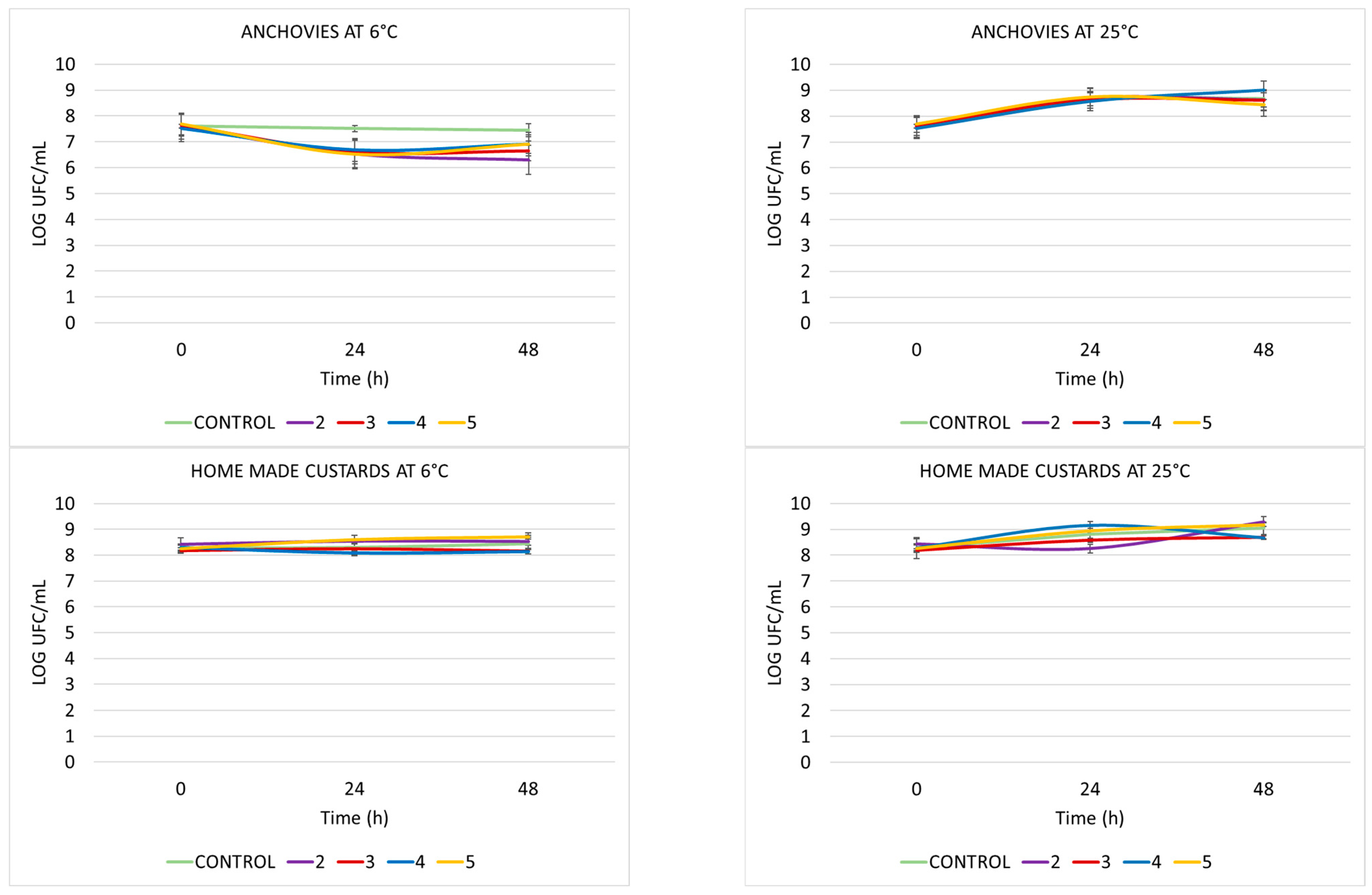
2.1. Antibacterial Effect of Compounds on Food Matrices
2.2. Synergistic Effects
3. Discussion
4. Materials and Methods
4.1. Target Strains
4.2. Analogs Tested
4.3. Antimicrobial Activity on Food Matrix
4.3.1. Preparation of Analog Solutions
4.3.2. Determination of the Effectiveness of Analogs on Contaminated Food Matrix Models
4.4. Checkerboard Titer Tests
4.5. Statistical Analysis
5. Conclusions
Author Contributions
Funding
Institutional Review Board Statement
Informed Consent Statement
Data Availability Statement
Conflicts of Interest
References
- Huang, J.; Zaynab, M.; Sharif, Y.; Khan, J.; Al-Yahyai, R.; Sadder, M.; Ali, M.; Alarab, S.R.; Li, S. Tannins as antimicrobial agents: Understanding toxic effects on pathogens. Toxicon 2024, 247, 107812. [Google Scholar] [CrossRef]
- Rauf, A.; Imran, M.; Abu-Izneid, T.; Iahtisham-Ul-Haq; Patel, S.; Pan, X.; Naz, S.; Silva, A.S.; Saeed, F.; Suleria, H.A.R. Proanthocyanidins: A comprehensive review. Biomed. Pharmacother. 2019, 116, 108999. [Google Scholar] [CrossRef] [PubMed]
- Li, F.; Li, Z.; Wei, Y.; Zhang, L.; Ning, E.; Yu, L.; Zhu, J.; Wang, X.; Ma, Y.; Fan, Y. Qualitative and quantitative analysis of polyphenols in camelina seed and their antioxidant activities. Nat. Prod. Res. 2023, 37, 1888–1891. [Google Scholar] [CrossRef] [PubMed]
- Tomadoni, B.; Viacava, G.; Cassani, L.; Moreira, M.R.; Ponce, A. Novel biopreservatives to enhance the safety and quality of strawberry juice. J. Food Sci. Technol. 2016, 53, 281–292. [Google Scholar] [CrossRef] [PubMed]
- Sayah, O.; El Yousfi, R.; Moumnassi, S.; Makaoui, A.; Asehraou, A.; Tahani, A.; El Bachiri, A. Green and sustainable synthesis of antimicrobial silver nanoparticles from cold-pressed bitter almond oil residue. Bioorg. Chem. 2025, 166, 109179. [Google Scholar] [CrossRef]
- Gokoglu, N. Novel natural food preservatives and applications in seafood preservation: A review. J. Sci. Food Agric. 2019, 99, 2068–2077. [Google Scholar] [CrossRef]
- Bouarab-Chibane, L.; Forquet, V.; Lantéri, P.; Clément, Y.; Léonard-Akkari, L.; Oulahal, N.; Degraeve, P.; Bordes, C. Antibacterial properties of polyphenols: Characterization and QSAR (Quantitative Structure-Activity Relationship) models. Front. Microbiol. 2019, 10, 829. [Google Scholar] [CrossRef]
- Cobo, A.; Alejo-Armijo, A.; Cruz, D.; Altarejos, J.; Salido, S.; Ortega-Morente, E. Synthesis of Analogs to A-Type Proanthocyanidin Natural Products with Enhanced Antimicrobial Properties against Foodborne Microorganisms. Molecules 2023, 28, 4844. [Google Scholar] [CrossRef]
- Cobo, A.; Alejo-Armijo, A.; Cruz, D.; Altarejos, J.; Salido, S.; Ortega-Morente, E. Halogenated Analogs to Natural A-Type Proanthocyanidins: Evaluation of Their Antioxidant and Antimicrobial Properties and Possible Application in Food Industries. Molecules 2024, 29, 3622. [Google Scholar] [CrossRef]
- Bi, F.; Zhang, X.; Bai, R.; Liu, Y.; Liu, J.; Liu, J. Preparation and characterization of antioxidant and antimicrobial packaging films based on chitosan and proanthocyanidins. Int. J. Biol. Macromol. 2019, 134, 11–19. [Google Scholar] [CrossRef]
- Alvarez, M.V.; Moreira, M.R.; Roura, S.I.; Ayala-Zavala, J.F.; Gonzalez-Aguilar, G.A. Using Natural Antimicrobials to Enhance the Safety and Quality of Fresh and Processed Fruits and Vegetables: Types of Antimicrobials. In Handbook of Natural Antimicrobials for Food Safety and Quality; Taylor, T.M., Ed.; Elsevier Ltd.: London, UK, 2015; pp. 287–313. [Google Scholar] [CrossRef]
- Olszewska, M.A.; Gędas, A.; Simões, M. Antimicrobial polyphenol-rich extracts: Applications and limitations in the food industry. Food Res. Int. 2020, 134, 109214. [Google Scholar] [CrossRef]
- Inouye, S.; Yamaguchi, H.; Takizawa, T. Screening of the antibacterial effects of variety of essential oils on respiratory tract pathogens using a modified dilution assay method. J. Infect. Chemother. 2001, 7, 251–254. [Google Scholar] [CrossRef]
- Alejo-Armijo, A.; Glibota, N.; Frías, M.P.; Altarejos, J.; Gálvez, A.; Salido, S.; Ortega-Morente, E. Synthesis and evaluation of antimicrobial and antibiofilm properties of A-type procyanidin analogues against resistant bacteria in food. J. Agric. Food Chem. 2018, 66, 2151–2158. [Google Scholar] [CrossRef]
- Anjos, H.A.D.; Luna, S.; Hernández-Macedo, M.L.; López, J.A. Antimicrobial and Antioxidant Active Food Packaging: Technological and Scientific Prospection. Recent Pat. Biotechnol. 2020, 14, 99–111. [Google Scholar] [CrossRef]
- Singh, A.K.; Kim, J.Y.; Lee, Y.S. Phenolic compounds in active packaging and edible films/coatings: Natural bioactive molecules and novel packaging ingredients. Molecules 2022, 27, 7513. [Google Scholar] [CrossRef]
- Thielmann, J.; Kohnen, S.; Hauser, C. Antimicrobial activity of Olea europaea Linné extracts and their applicability as natural food preservative agents. Int. J. Food Microbiol. 2017, 251, 48–66. [Google Scholar] [CrossRef]
- Skowron, K.; Kwiecińska-Piróg, J.; Grudlewska, K.; Gryń, G.; Wiktorczyk, N.; Balcerek, M.; Załuski, D.; Wałecka-Zacharska, E.; Kruszewski, S.; Gospodarek-Komkowska, E. Antilisterial activity of polypropylene film coated with chitosan with propolis and/or bee pollen in food models. Biomed. Res. Int. 2019, 2019, 7817063. [Google Scholar] [CrossRef] [PubMed]
- Juven, B.; Henis, Y. Studies on the antimicrobial activity of olive phenolic compounds. J. Appl. Bacteriol. 1970, 33, 721–732. [Google Scholar] [CrossRef] [PubMed]
- Medina, E.; Brenes, M.; Garcia, A.; Romero, C.; de Castro, A. Bactericidal activity of glutaraldehyde-like compounds from olive products. J. Food Prot. 2009, 72, 2611–2614. [Google Scholar] [CrossRef]
- Medina, E.; Garcia, A.; Romero, C.; Castro, A.; Brenes, M. Study of the anti-lactic acid bacteria compounds in table olives. Int. J. Food Sci. Technol. 2009, 44, 1286–1291. [Google Scholar] [CrossRef]
- Medina, E.; Gori, C.; Servili, M.; Castro, A.; Romero, C.; Brenes, M. Main variables affecting the lactic acid fermentation of table olives. Int. J. Food Sci. Technol. 2010, 45, 1291–1296. [Google Scholar] [CrossRef]
- Pérez-Gregorio, M.R.; Simal-Gandara, J. A critical review of the characterization of polyphenol-protein interactions and their potential use for improving food quality. Curr. Pharm. Des. 2017, 23, 2742–2753. [Google Scholar] [CrossRef]
- Campos, C.A.; Castro, M.P.; Rivas, F.P.; Schelegueda, L.I. Bacteriocins in Food: Evaluation of the Factors Affecting Their Effectiveness. In Microbial Pathogens and Strategies for Combating Them: Science, Technology and Education; Formatex Research Center: Badajoz, Spain, 2013; pp. 994–1004. Available online: http://hdl.handle.net/11336/126181 (accessed on 30 October 2025).
- Johnson, E.M.; Jung, D.Y.G.; Jin, D.Y.Y.; Jayabalan, D.R.; Yang, D.S.H.; Suh, J.W. Bacteriocins as food preservatives: Challenges and emerging horizons. Crit. Rev. Food Sci. Nutr. 2018, 58, 2743–2767. [Google Scholar] [CrossRef] [PubMed]
- Corbalán, N.; Quiroga, M.; Masias, E.; Peralta, D.; Barros-Velázquez, J.; Acuña, L.; Vincent, P. Antimicrobial activity of MccJ25(G12Y) against gram-negative foodborne pathogens in vitro and in food models. Int. J. Food Microbiol. 2021, 352, 109267. [Google Scholar] [CrossRef]
- Masoumi, B.; Tabibiazar, M.; Golchinfar, Z.; Mohammadifar, M.; Hamishehkar, H. A review of protein-phenolic acid interaction: Reaction mechanisms and applications. Crit. Rev. Food Sci. Nutr. 2024, 64, 3539–3555. [Google Scholar] [CrossRef] [PubMed]
- Nemli, E.; Ozkan, G.; Subasi, B.G.; Cavdar, H.; Lorenzo, J.M.; Zhao, C.; Capanoglu, E. Interactions between proteins and phenolics: Effects of food processing on the content and digestibility of phenolic compounds. J. Sci. Food Agric. 2024, 104, 2535–2550. [Google Scholar] [CrossRef]
- Ma, Q.; Davidson, P.M.; Zhong, Q. Properties and potential food applications of lauric arginate as a cationic antimicrobial. Int. J. Food Microbiol. 2020, 315, 108417, Correction in J. Food Microbiol. 2023, 395, 110192. [Google Scholar] [CrossRef]
- Dai, Y.; Normand, M.D.; Weiss, J.; Peleg, M. Modeling the efficacy of triplet antimicrobial combinations: Yeast suppression by lauric arginate, cinnamic acid, and sodium benzoate or potassium sorbate as a case study. J. Food Prot. 2010, 73, 515–523. [Google Scholar] [CrossRef] [PubMed]
- Oladunjoye, A.; Soni, K.A.; Nannapaneni, R.; Schilling, M.W.; Silva, J.L.; Mikel, B.; Bailey, R.H.; Mahmoud, B.S.; Sharma, C.S. Synergistic activity between lauric arginate and carvacrol in reducing Salmonella in ground turkey. Poult. Sci. 2013, 92, 1357–1365. [Google Scholar] [CrossRef]
- Burt, S. Essential oils: Their antibacterial properties and potential applications in foods—A review. Int. J. Food Microbiol. 2004, 94, 223–253. [Google Scholar] [CrossRef]
- Lin, W.; Ni, Y.; Liu, D.; Yao, Y.; Pang, J. Robust microfluidic construction of konjac glucomannan-based microfilms for active food packaging. Int. J. Biol. Macromol. 2019, 137, 982–991. [Google Scholar] [CrossRef] [PubMed]
- Sun, L.; Sun, J.; Chen, L.; Niu, P.; Yang, X.; Guo, Y. Preparation and characterization of chitosan film incorporated with thinned young apple polyphenols as an active packaging material. Carbohydr. Polym. 2017, 163, 81–91. [Google Scholar] [CrossRef]
- Li, Q.; Jia, C.; Sun, J.; Sun, T.; Li, J.; Li, X. Synergistic antibacterial effects and mechanisms of different phenolic acids against Shewanella putrefaciens from fish, with emphasis on the combination of gallic acid and caffeic acid. Food Microbiol. 2026, 134, 104940. [Google Scholar] [CrossRef]
- Rukayadi, Y.; Lee, K.; Lee, M.-S.; Yong, D.; Hwang, J.-K. Synergistic anticandidal activity of xanthorrhizol in combination with ketoconazole or amphotericin B. FEMS Yeast Res. 2009, 9, 1302–1311. [Google Scholar] [CrossRef] [PubMed]
- Guo, N.; Wu, X.; Yu, L.; Liu, J.; Meng, R.; Jin, J.; Lu, H.; Wang, X.; Yan, S.; Deng, X. In vitro and in vivo interactions between fluconazole and allicin against clinical isolates of fluconazole-resistant Candida albicans determined by alternative methods. FEMS Immunol. Med. Microbiol. 2010, 58, 193–201. [Google Scholar] [CrossRef] [PubMed]





| MIC of Each Agent (μg/mL) | |||||
|---|---|---|---|---|---|
| Compound | Alone | Combination | FIC | FICI | Outcome |
| 1 | 50 | 12.5 | 0.25 | ||
| 2 | 10 | 1.25 | 0.125 | 0.375 | SYN |
| 1 | 50 | 6.25 | 0.125 | ||
| 3 | 10 | 1.25 | 0.125 | 0.25 | SYN |
| 1 | 50 | 6.25 | 0.125 | ||
| 4 | 10 | 1.25 | 0.125 | 0.25 | SYN |
| 1 | 50 | 12.5 | 0.25 | ||
| 5 | 10 | 2.5 | 0.25 | 0.5 | SYN |
| 2 | 10 | 2.5 | 0.25 | ||
| 3 | 10 | 1.25 | 0.125 | 0.375 | SYN |
| 2 | 10 | 2.5 | 0.25 | ||
| 4 | 10 | 2.5 | 0.25 | 0.5 | IND |
| 2 | 10 | 2.5 | 0.25 | ||
| 5 | 10 | 2.5 | 0.25 | 0.5 | IND |
| 3 | 10 | 2.5 | 0.25 | ||
| 4 | 10 | 1.25 | 0.125 | 0.375 | SYN |
| 3 | 10 | 2.5 | 0.25 | ||
| 5 | 10 | 2.5 | 0.25 | 0.5 | IND |
| 4 | 10 | 2.5 | 0.25 | ||
| 5 | 10 | 1.25 | 0.125 | 0.375 | SYN |
| MIC of Each Agent (μg/mL) | |||||
|---|---|---|---|---|---|
| Compound | Alone | Combination | FIC | FICI | Outcome |
| 1 | 50 | 6.25 | 0.125 | ||
| 3 | 10 | 1.25 | 0.125 | 0.25 | SYN |
| 1 | 50 | 6.25 | 0.125 | ||
| 4 | 10 | 2.5 | 0.25 | 0.375 | SYN |
| 1 | 50 | 6.25 | 0.125 | ||
| 5 | 10 | 2.5 | 0.25 | 0.375 | SYN |
| 3 | 10 | 1.25 | 0.125 | ||
| 4 | 10 | 2.5 | 0.25 | 0.375 | SYN |
| 3 | 10 | 2.5 | 0.25 | ||
| 5 | 10 | 1.25 | 0.125 | 0.375 | SYN |
| 4 | 10 | 2.5 | 0.25 | ||
| 5 | 10 | 2.5 | 0.25 | 0.5 | IND |
| MIC of Each Agent (μg/mL) | |||||
|---|---|---|---|---|---|
| Compound | Alone | Combination | FIC | FICI | Outcome |
| 2 | 10 | 2.5 | 0.25 | ||
| 3 | 10 | 1.25 | 0.125 | 0.375 | SYN |
| 2 | 10 | 2.5 | 0.25 | ||
| 4 | 10 | 2.5 | 0.25 | 0.5 | IND |
| 2 | 10 | 1.25 | 0.125 | ||
| 5 | 10 | 2.5 | 0.25 | 0.375 | SYN |
| 3 | 10 | 2.5 | 0.25 | ||
| 4 | 10 | 2.5 | 0.25 | 0.5 | IND |
| 3 | 10 | 1.25 | 0.125 | ||
| 5 | 10 | 1.25 | 0.125 | 0.25 | SYN |
| 4 | 10 | 2.5 | 0.25 | ||
| 5 | 10 | 2.5 | 0.25 | 0.5 | IND |
| Compound | S. aureus CECT 828 | L. innocua CECT 910 | B. cereus UJA27q |
|---|---|---|---|
| 1 | 50 | a | 50 |
| 2 | 10 | 50 | a |
| 3 | 10 | 10 | 50 |
| 4 | 10 | 10 | 10 |
| 5 | 10 | 10 | 10 |
Disclaimer/Publisher’s Note: The statements, opinions and data contained in all publications are solely those of the individual author(s) and contributor(s) and not of MDPI and/or the editor(s). MDPI and/or the editor(s) disclaim responsibility for any injury to people or property resulting from any ideas, methods, instructions or products referred to in the content. |
© 2026 by the authors. Licensee MDPI, Basel, Switzerland. This article is an open access article distributed under the terms and conditions of the Creative Commons Attribution (CC BY) license.
Share and Cite
Cobo, A.; Alejo-Armijo, A.; Cruz, D.; Cuadrado, C.; Ortega-Morente, E. Antimicrobial Properties of Analogs of Dimeric A-Type Proanthocyanidins in Food Matrices. Int. J. Mol. Sci. 2026, 27, 853. https://doi.org/10.3390/ijms27020853
Cobo A, Alejo-Armijo A, Cruz D, Cuadrado C, Ortega-Morente E. Antimicrobial Properties of Analogs of Dimeric A-Type Proanthocyanidins in Food Matrices. International Journal of Molecular Sciences. 2026; 27(2):853. https://doi.org/10.3390/ijms27020853
Chicago/Turabian StyleCobo, Antonio, Alfonso Alejo-Armijo, Daniel Cruz, Cristina Cuadrado, and Elena Ortega-Morente. 2026. "Antimicrobial Properties of Analogs of Dimeric A-Type Proanthocyanidins in Food Matrices" International Journal of Molecular Sciences 27, no. 2: 853. https://doi.org/10.3390/ijms27020853
APA StyleCobo, A., Alejo-Armijo, A., Cruz, D., Cuadrado, C., & Ortega-Morente, E. (2026). Antimicrobial Properties of Analogs of Dimeric A-Type Proanthocyanidins in Food Matrices. International Journal of Molecular Sciences, 27(2), 853. https://doi.org/10.3390/ijms27020853

