Sign in to use this feature.

Years

Between: -

Subjects

remove_circle_outline
remove_circle_outline
remove_circle_outline
remove_circle_outline
remove_circle_outline
remove_circle_outline
remove_circle_outline

Journals

Article Types

Countries / Regions

Search Results (71)

Search Parameters:
Keywords = phenethylamines

Order results
Result details
Results per page
Select all
Export citation of selected articles as:
18 pages, 1550 KB  
Article
Ecological Prevalence and Non-Enzymatic Formation of Imidazolium Alkaloids on Moon Snail Egg Collars
by Karla Piedl, Caitlyn O. Agee, Anthony G. Tarulli, Rose Campbell, Paige Banks, Nicklas W. Buchbinder, R. Thomas Williamson and Emily Mevers
Molecules 2026, 31(1), 159; https://doi.org/10.3390/molecules31010159 - 1 Jan 2026
Viewed by 290
Abstract
Microorganisms wage constant chemical battles against one another as they compete for space and scarce nutrients, particularly within animal-associated habitats. Here, binary assays were used to investigate chemical interactions among Flavobacteriaceae within Neverita delessertiana egg collars, a moon snail common to the Gulf [...] Read more.
Microorganisms wage constant chemical battles against one another as they compete for space and scarce nutrients, particularly within animal-associated habitats. Here, binary assays were used to investigate chemical interactions among Flavobacteriaceae within Neverita delessertiana egg collars, a moon snail common to the Gulf Coast. Analysis of 140 distinct pairings revealed eight that exhibited growth-inhibitory activity. Chemical evaluation of the crude extract from Cellulophaga omnivescoria EM610, which inhibited the growth of three other Flavobacteriaceae, resulted in the isolation of bacillimidazoles A (1) and E (2), two previously characterized metabolites, isolated from a marine Bacillus species. Further work demonstrated that these compounds are readily formed spontaneously by condensation of 2,3-butanedione with phenethylamine and/or tryptamine. Tandem mass spectrometry analysis of the chemical extracts of individual moon snail egg collars revealed the presence of bacillimidazole A in 62% of the egg collars. Full article
(This article belongs to the Special Issue A Theme Issue in Honor of Professor Gary E. Martin's 75th Birthday)
Show Figures

Graphical abstract

17 pages, 2104 KB  
Article
Synthesis of Umbelliferone-Based, Thermally Stable, and Intrinsically Flame-Retardant Mono-Oxazine Benzoxazines: Understanding the Aminic Moiety’s Influence on Thermal Properties
by Trey Coughlin, Koki Weng, Maria Laura Salum, Pablo Froimowicz, Chris Scott and Hatsuo Ishida
Polymers 2025, 17(24), 3340; https://doi.org/10.3390/polym17243340 - 18 Dec 2025
Cited by 1 | Viewed by 438
Abstract
A naturally sourced phenolic compound, umbelliferone, has been used to synthesize four monofunctional benzoxazines, two of which have been previously synthesized from aniline and furfurylamine. This study contributes two more—using benzylamine and phenethylamine—to provide insight into how the amine’s aromatic group and aliphatic [...] Read more.
A naturally sourced phenolic compound, umbelliferone, has been used to synthesize four monofunctional benzoxazines, two of which have been previously synthesized from aniline and furfurylamine. This study contributes two more—using benzylamine and phenethylamine—to provide insight into how the amine’s aromatic group and aliphatic chain length influence resulting properties. The proposed chemical structures of the novel monomers are confirmed by 1H nuclear magnetic resonance (1H-NMR) and 1H-1H nuclear Overhauser effect spectroscopy (NOESY). The polymerization behavior of each resin is determined by differential scanning calorimetry (DSC). The thermal degradation pattern and the flammability of each polymer are assessed by thermogravimetric analysis (TGA) and microscale combustion calorimetry (MCC), respectively. Char yields between 49% and 63% suggest the thermoset materials to be thermally stable and competitive for thermally demanding applications. All four polybenzoxazines demonstrate non-ignitable behavior, with heat release capacities below 100 J/g·K. Structure–property analyses on the two newly synthesized compounds have been provided to deepen our existing understanding of umbelliferone-benzoxazine systems, particularly regarding the effect of the aminic moiety on thermal properties. Full article
(This article belongs to the Section Polymer Chemistry)
Show Figures

Figure 1

25 pages, 4392 KB  
Article
A Sustainable Microextraction of Hallucinogenic New Psychoactive Substances for Clinical and Forensic Applications
by Emilija Kostić, Aleksandra Catić-Đorđević, Ivana Nešić, Aleksandra Antović, Snežana Đorđević, Miodrag Zdravković, Mirjana Đukić and Maja Vujović
Appl. Sci. 2025, 15(24), 12927; https://doi.org/10.3390/app152412927 - 8 Dec 2025
Viewed by 343
Abstract
The application of Green Analytical Chemistry (GAC) principles in method development aims to reduce waste and replace hazardous solvents with environmentally friendly alternatives. Natural Deep Eutectic Solvents (NADESs) have recently emerged as sustainable replacements for traditional organic solvents. In this study, hydrophobic NADESs [...] Read more.
The application of Green Analytical Chemistry (GAC) principles in method development aims to reduce waste and replace hazardous solvents with environmentally friendly alternatives. Natural Deep Eutectic Solvents (NADESs) have recently emerged as sustainable replacements for traditional organic solvents. In this study, hydrophobic NADESs were used in dispersive liquid–liquid microextraction (DLLME) to extract four synthetic hallucinogenic phenethylamines (2C-B, 25B-NBOMe, 25C-NBOMe, and 25I-NBOMe) in urine samples. Nine NADESs were formed using menthol and different organic acids, with menthol–decanoic acid (1:1 molar ratio) providing the best extraction efficiency. A fractional factorial design identified pH, vortex speed, and vortex time as key factors, which were then optimized using a Box–Behnken design. The statistical model showed strong validity and high predictive power, and the optimal conditions (pH 12, vortex time 20 s, vortex speed 30,000 rpm, centrifugation at 14,000 rpm for 3 min) resulted in the highest recoveries. Greenness and operational sustainability, evaluated using ComplexGAPI, AGREEprep, BAGI, and SPRS tools, revealed clear advantages over existing extraction approaches. Overall, the proposed method represents a sustainable, white-chemistry–driven microextraction strategy suitable for clinical and forensic toxicological applications. Full article
(This article belongs to the Section Green Sustainable Science and Technology)
Show Figures

Figure 1

16 pages, 3752 KB  
Article
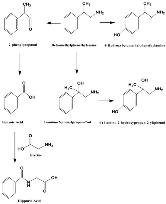
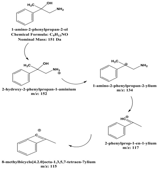
Analysis of β-Methylphenethylamine (BMPEA) and Its Novel Metabolites in Rat Blood Using MMSPE and UPLC-qTOF-MS
by Ahmad Alamir, James Watterson and Ibraheem Attafi
Toxics 2025, 13(12), 1011; https://doi.org/10.3390/toxics13121011 - 22 Nov 2025
Viewed by 903
Abstract
β-Methylphenethylamine (BMPEA), a positional isomer of amphetamine increasingly detected in dietary supplements and weight-loss products, poses significant analytical challenges in forensic and doping control due to its structural similarity to amphetamine. This study presents a validated analytical workflow combining mixed-mode solid-phase extraction (MMSPE) [...] Read more.
β-Methylphenethylamine (BMPEA), a positional isomer of amphetamine increasingly detected in dietary supplements and weight-loss products, poses significant analytical challenges in forensic and doping control due to its structural similarity to amphetamine. This study presents a validated analytical workflow combining mixed-mode solid-phase extraction (MMSPE) with ultra-performance liquid chromatography–quadrupole time-of-flight mass spectrometry (UPLC-qTOF-MS) for the selective quantification of BMPEA and identification of its metabolites in rat cardiac blood. Blood was taken at 20 and 90 min after injection from twelve adult male Sprague-Dawley rats that were randomly assigned to four groups (n = 3): an untreated control, a low-dose cohort (10 mg/kg, i.p.), and two high-dose cohorts (30 mg/kg, i.p.). The technique demonstrated strong differentiation between BMPEA and amphetamine isomers, excellent linearity over 20–1000 ng/mL (R2 > 0.99), and quantification limits appropriate for forensic applications. A short biological half-life and quick elimination kinetics are consistent with related phenethylamines, as evidenced by the peak BMPEA concentrations of 899 ng/mL at 20 min and 22 ng/mL at 90 min. Comprehensive low- and high-energy mass spectrometric analyses revealed a novel BMPEA metabolite, characterized as 1-amino-2-phenylpropan-2-ol, based on fragmentation patterns and retention time comparison with reference standards. This work delivers a rigorous, high-sensitivity analytical tool for BMPEA detection in biological matrices and enhances understanding of its metabolic fate, offering critical biomarkers for forensic toxicology and anti-doping investigations. Full article
(This article belongs to the Section Novel Methods in Toxicology Research)
Show Figures

Graphical abstract

19 pages, 2567 KB  
Article
1H-Indoles from Deoxybenzoin Schiff Bases by Deprotonation—SNAr Cyclization
by Nash E. Nevels and Richard A. Bunce
Molecules 2025, 30(19), 3894; https://doi.org/10.3390/molecules30193894 - 26 Sep 2025
Viewed by 714
Abstract
A transition metal-free synthesis of 1,2,5-trisubstituted 1H-indoles by a deprotonation–SNAr cyclization sequence from 1-aryl-2-(2-fluoro-5-nitrophenyl)ethan-1-one (deoxy-benzoin) Schiff bases is reported. The starting deoxybenzoins were prepared by Friedel-Crafts acylation of activated aromatic compounds by 2-(2-fluoro-5-nitrophenyl)acetyl chloride with AlCl3 or the [...] Read more.
A transition metal-free synthesis of 1,2,5-trisubstituted 1H-indoles by a deprotonation–SNAr cyclization sequence from 1-aryl-2-(2-fluoro-5-nitrophenyl)ethan-1-one (deoxy-benzoin) Schiff bases is reported. The starting deoxybenzoins were prepared by Friedel-Crafts acylation of activated aromatic compounds by 2-(2-fluoro-5-nitrophenyl)acetyl chloride with AlCl3 or the corresponding acid with (CH3SO2)2O. The Schiff bases were generated by slow distillation of toluene (18–24 h) from a heated solution of each deoxybenzoin (1 equiv) with a benzyl- or phenethylamine, a high-boiling aliphatic amine, or an aniline derivative (5 equiv). Subsequent addition of N,N-dimethylformamide, 2 equiv of anhydrous K2CO3, and heating at 90–95 °C for 18–24 h completed the synthesis. Benzyl-, phenethyl-, and high-boiling amines gave excellent yields while the heating requirements for the initial condensation made volatile aliphatic amines difficult to use and gave low yields. Aniline reactivities correlated with substituent-derived base strength, although modified conditions allowed some yields to be improved. Several anticipated competing processes had minimal impact on the outcome of the cyclizations. Full article
Show Figures

Graphical abstract

11 pages, 997 KB  
Article
Altered Antimicrobial Activity and Selectivity of Dihydro-Protoberberines over Their Corresponding Protoberberines
by Juan Ostos-Hernandez, Hannah Bhakta, Caleb VanArragon, Lanna Sirhan, Danielle Orozco-Nunnelly and Jeffrey Pruet
Future Pharmacol. 2025, 5(3), 53; https://doi.org/10.3390/futurepharmacol5030053 - 17 Sep 2025
Viewed by 1004
Abstract
Background/Objectives: The rise of multidrug-resistant bacteria and fungi, or “superbugs”, makes the development of new antimicrobial compounds of continued importance. In this context, we have explored structural variants of the plant-derived phytocompound berberine, seeking higher antimicrobial activity and selectivity. Our prior work prepared [...] Read more.
Background/Objectives: The rise of multidrug-resistant bacteria and fungi, or “superbugs”, makes the development of new antimicrobial compounds of continued importance. In this context, we have explored structural variants of the plant-derived phytocompound berberine, seeking higher antimicrobial activity and selectivity. Our prior work prepared fourteen protoberberine variants (B1B14), and found that a partially reduced dihydro-protoberberine (B14) was significantly more active against Gram-positive bacteria. To further investigate this trend, we prepared a series of protoberberines and related dihydro-protoberberines, with the goal of better understanding the effects of the partial reduction of the protoberberine core. Methods: Protoberberines were prepared from a cyclization between glyoxal and substituted N-benzyl-phenethylamines, prepared by reductive amination. Dihydro-derivatives were obtained via NaBH4 reduction. Biological activity was assessed with a Kirby–Bauer assay to determine zones of inhibition against a panel of twelve microorganisms. Cytotoxicity was also assessed using an MTT assay against a T84 human colon carcinoma cell line. Results: The majority of the prepared compounds showed greater Gram-positive antibacterial activity compared to original berberine, and nearly all dihydro-protoberberines had improved Gram-positive antibacterial activity over their unreduced form. Additionally, the reduced variants were less active against fungi, indicating a step towards higher microbial selectivity. All variants showed greater potency against cancer cells. Conclusions: The present work highlights a significant improvement in antibacterial activity and selectivity for this set of dihydro-protoberberines over their unreduced counterparts. Full article
Show Figures

Graphical abstract

64 pages, 42508 KB  
Review
Transition Metal Catalysis for the Asymmetric Synthesis of 2-Arylethylamines: A Review of the New Millennium
by Alejandro Manchado, Ángel García-González, Carlos T. Nieto, Nieves G. Ledesma, David Díez and Narciso M. Garrido
Molecules 2025, 30(8), 1721; https://doi.org/10.3390/molecules30081721 - 11 Apr 2025
Cited by 1 | Viewed by 3257
Abstract
The 2-arylethylamine motif is very well-known in medicinal chemistry because of its interesting properties when it comes to interacting with the Central Neural System thanks to its ability to pass the blood–brain barrier. This nitrogen-containing family of compounds is of great interest in [...] Read more.
The 2-arylethylamine motif is very well-known in medicinal chemistry because of its interesting properties when it comes to interacting with the Central Neural System thanks to its ability to pass the blood–brain barrier. This nitrogen-containing family of compounds is of great interest in synthetic organic chemistry and, when it comes to its asymmetric synthesis, great challenges can be faced in order to obtain the chiral purity required in the drug industry. Thus, we provide a concise transition metal review presenting the recent advances in the synthesis of chiral 2-arylethylamines using transition metals as the main catalysts in the introduction of chirality. Both conventional and photocatalysis methods will be covered, considering the main transition metal used in the studies. Full article
(This article belongs to the Special Issue Current Development of Asymmetric Catalysis and Synthesis)
Show Figures

Figure 1

18 pages, 2075 KB  
Article
Acute Effects of the Psychedelic Phenethylamine 25I-NBOMe in C57BL/6J Male Mice
by Sabrine Bilel, Cristina Miliano, Giorgia Corli, Marta Bassi, Massimo Trusel, Raffaella Tonini, Maria Antonietta De Luca and Matteo Marti
Int. J. Mol. Sci. 2025, 26(6), 2815; https://doi.org/10.3390/ijms26062815 - 20 Mar 2025
Cited by 3 | Viewed by 6115
Abstract
25I-NBOMe (4-Iodo-2,5-dimethoxy-N-(2-methoxybenzyl) phenethylamine) is a synthetic psychedelic compound abused for its ambiguous legal state as a counterfeit lysergic acid diethylamide (LSD). 25I-NBOMe acts as a selective agonist of 5HT2A receptors leading to hallucinations, intoxications, and fatalities. Here, we assessed the rewarding properties [...] Read more.
25I-NBOMe (4-Iodo-2,5-dimethoxy-N-(2-methoxybenzyl) phenethylamine) is a synthetic psychedelic compound abused for its ambiguous legal state as a counterfeit lysergic acid diethylamide (LSD). 25I-NBOMe acts as a selective agonist of 5HT2A receptors leading to hallucinations, intoxications, and fatalities. Here, we assessed the rewarding properties of 25I-NBOMe and its behavioral and neurotoxic acute effects on the central nervous system of C57BL/6J mice. We evaluated the dopamine (DA) levels using in vivo microdialysis in the nucleus accumbens (NAc) shell after 25I-NBOMe (0.1–1 mg/kg i.p.) injection. We also investigated the effects of 25I-NBOMe (0.1–1 mg/kg i.p.) on locomotor activity, reaction time, and prepulse inhibition. Moreover, we assessed the acute 25I-NBOMe (1 µM) effects on synaptic transmission and plasticity in the medial prefrontal cortex (mPFC) by using ex vivo electrophysiology. Our findings suggest that 25I-NBOMe affects the DA transmission in NAc shell at the highest dose tested, increases the reaction time within 30 min after the administration, and disrupts the PPI. In slices, it prevents long-term synaptic potentiation (LTP) in the mPFC, an effect that could not be reverted by the co-administration of the selective 5HT2A antagonist (MDL100907). Overall, these findings provide valuable new insights into the effects of 25I-NBOMe and the associated risks of its use. Full article
(This article belongs to the Special Issue Toxicology of Psychoactive Drugs)
Show Figures

Figure 1

43 pages, 14604 KB  
Review
Asymmetric Synthesis of 2-Arylethylamines: A Metal-Free Review of the New Millennium
by Alejandro Manchado, Ángel García-González, Carlos T. Nieto, David Díez and Narciso M. Garrido
Molecules 2024, 29(23), 5729; https://doi.org/10.3390/molecules29235729 - 4 Dec 2024
Cited by 3 | Viewed by 3851
Abstract
2-Arylethylamines are presented in several natural bioactive compounds, as well as in nitrogen-containing drugs. Their ability to surpass the blood–brain barrier makes this family of compounds of especial interest in medicinal chemistry. Asymmetric methodologies towards the synthesis of 2-arylethylamine motives are of great [...] Read more.
2-Arylethylamines are presented in several natural bioactive compounds, as well as in nitrogen-containing drugs. Their ability to surpass the blood–brain barrier makes this family of compounds of especial interest in medicinal chemistry. Asymmetric methodologies towards the synthesis of 2-arylethylamine motives are of great interest due to the challenges they may present. Thus, a concise metal-free review presenting recent advances in the asymmetric synthesis of 2-arylethylamines is presented, covering last-millennium studies, considering different methodologies towards the aforementioned motif, including chiral induction, organocatalysis, organophotocatalysis and enzymatic catalysis. Full article
(This article belongs to the Section Organic Chemistry)
Show Figures

Graphical abstract

15 pages, 5602 KB  
Article
Analysis of Different Strains Fermented Douchi by GC×GC-TOFMS and UPLC–Q-TOFMS Omics Analysis
by Liqiang Sui, Sugui Wang, Xin Wang, Lingling Su, Huilong Xu, Wei Xu, Lixia Chen and Hua Li
Foods 2024, 13(21), 3521; https://doi.org/10.3390/foods13213521 - 4 Nov 2024
Cited by 3 | Viewed by 1849
Abstract
Douchi is a kind of soybean-fermented food in China. To explore the common and differential compounds in different Douchi, Douchi was fermented by Aspergillus niger, Rhizopus arrhizus, and Bacillus circulans, respectively, and co-fermented by the three strains in this study. [...] Read more.
Douchi is a kind of soybean-fermented food in China. To explore the common and differential compounds in different Douchi, Douchi was fermented by Aspergillus niger, Rhizopus arrhizus, and Bacillus circulans, respectively, and co-fermented by the three strains in this study. The common and characteristic flavor compounds and common and characteristic non-volatile components of different strains of fermented Douchi were explored through GC×GC-TOFMS and UPLC–Q-TOFMS omics analysis. The result suggested that Pyrazines, ketones, and alkenes such as tetramethyl-pyrazine, 2,5-dimethyl pyrazine, furaneol, 2,3-butanedione, gamma-terpinene might contribute to the basic flavor of the Douchi fermented by A. niger, R. arrhizus, and B. circulans. Peptides, amines, and flavonoids, such as N–acetylhistamine, 7,3′,4′–trihydroxyflavone, (3S,8As)-3-isobutylhexahydropyrrolo[1,2-a]pyrazine-1,4-dione might contribute to the basic function of the above three Douchi. The common metabolic pathways involved in the fermentation were isoflavonoid biosynthesis, flavonoid biosynthesis, etc. Ketones and esters such as 2,3-dihydro-3,5-dihydroxy-6-methyl-4H-pyran-4-one, 3-octanone, 5-methylfurfural and nonanal contributed to the unique flavor, while betaine, oleanolic acid, saikosaponin D and leucine might contribute to the unique function of A. niger fermented Douchi. Alkenes, pyrazine, and ketones such as α-terpinene, ethyl-pyrazine, dihydro-3-methyl-2(3H)-furanone, and linalool might contribute to unique flavor, while cordycepin, 2-Phenylacetamide might contributed to the unique function of R. arrhizus fermented Douchi. The unique flavor of B. circulans fermented Douchi might derived from ketones and esters such as 3-acetyl-2-butanone, 2-tridecanone, propionic acid-2-phenylethyl ester, while vitexin, astragalin, and phenethylamine might contribute to the unique function. Compared with single-strain fermented Douchi, the flavor substances and non-volatile components in multi-strain fermented Douchi were more abundant, such as hexadecanoic acid methyl ester, benzeneacetic acid ethyl ester, 9,12-octadecadienoic acid ethyl ester, nuciferine, and erucamide. It was speculated that there were common and differential substances in Douchi fermented by Aspergillus niger, Rhizopus arrhizus, and Bacillus circulans, which might contribute to the basic and unique flavor and function. Compared with single-strain fermented Douchi, the flavor substances and metabolites in multi-strain fermented Douchi were more abundant. This study provided a reference for the research of flavor and functional substances of Douchi. Full article
(This article belongs to the Section Foodomics)
Show Figures

Figure 1

13 pages, 1182 KB  
Article
Recreational Drug Overdose—Clinical Value of Toxicological Analysis
by Tobias Zellner, Florian Eyer, Christian Rabe, Stefanie Geith, Bettina Haberl and Sabrina Schmoll
Toxics 2024, 12(9), 662; https://doi.org/10.3390/toxics12090662 - 10 Sep 2024
Cited by 4 | Viewed by 4409
Abstract
Background: Toxicological analysis of patients with acute recreational drug poisoning can improve our understanding of substance use patterns, clinical symptoms, and improve treatment. Patient history alone may be incomplete or misleading. The objective was to assess the differences in patient history and analytical [...] Read more.
Background: Toxicological analysis of patients with acute recreational drug poisoning can improve our understanding of substance use patterns, clinical symptoms, and improve treatment. Patient history alone may be incomplete or misleading. The objective was to assess the differences in patient history and analytical results, to describe the clinical characteristics, implications and hospital management, and to describe the drug use pattern over time. Methods: A retrospective study including all patients admitted to our toxicology unit with recreational drug toxicity and analytical testing from October 2014 to December 2022. Results: 872 patients were included. Patient history revealed a median of one ingested substance class: opiates/opioids, benzodiazepines/Z-drugs, and Pregabalin were predominant. Urine analysis revealed a median of three ingested substance classes (p < 0.001). Benzodiazepines/Z-drugs, Pregabalin, and THC were severely underreported. Agitation and aggression, anxiety, hallucinations, and psychosis were frequent, associated with cocaine, cathinone/phenethylamine, and amphetamine/MDMA detection and required sedation. Coma was also frequent, associated with opiate/opioid, benzodiazepine/Z-drug, GBL/GHB, and Pregabalin detection and required intubation, and/or application of Naloxone and/or Flumazenil. Twelve patients arrived in cardiac arrest; all were positive for opiates/opioids. Four patients died: three with Benzodiazepines/Z-drugs, Pregabalin and opiates/opioids detected, one with cathinones/phenethylamines detected. While cathinones/phenethylamines and synthetic cannabinoid receptor agonists were mainly detected between 2014–2016, detection decreased significantly between 2017–2022 after NPS legislation passed. Pregabalin detection increased. Conclusions: Patient history is inaccurate, and patients frequently underreport ingested drugs. Opiates and opioids are still the main cause of morbidity and mortality. Pregabalin is increasingly abused. NPS legislation effectively decreased cathinone/phenethylamine and synthetic cannabinoid receptor agonist overdoses. Full article
(This article belongs to the Special Issue The Identification of Narcotic and Psychotropic Drugs)
Show Figures

Figure 1

14 pages, 5955 KB  
Article
Actinidia chinensis Planch Ameliorates Photoaging in UVB-Irradiated NIH-3T3 Cells and SKH-1 Hairless Mice by Controlling the Reactive Oxygen Species/AKT Pathway
by Jong-Min Jung, Seo-Young Kim, Oh-Yun Kwon and Seung-Ho Lee
Antioxidants 2024, 13(9), 1091; https://doi.org/10.3390/antiox13091091 - 6 Sep 2024
Cited by 1 | Viewed by 2091
Abstract
In this study, we evaluated the antiphotoaging properties of Actinidia chinensis Planch (ACP) and the molecular mechanisms underlying its ability to prevent UVB-mediated photoaging. Administration of the ethanolic extract of ACP (EEACP) to the dorsal area of hairless mice effectively ameliorated UVB-mediated wrinkle [...] Read more.
In this study, we evaluated the antiphotoaging properties of Actinidia chinensis Planch (ACP) and the molecular mechanisms underlying its ability to prevent UVB-mediated photoaging. Administration of the ethanolic extract of ACP (EEACP) to the dorsal area of hairless mice effectively ameliorated UVB-mediated wrinkle formation, epidermal thickening, and loss of lipid droplets in the epidermis. Additionally, the UVB-induced loss of collagen content in the epidermis was significantly attenuated in mouse skin treated with EEACP. The expression of procollagen type 1 and metalloproteinase-1a, which are related to collagen content in the epidermis, was restored by EEACP treatment in UVB-irradiated mice and NIH-3T3 mouse skin fibroblast cells. Interestingly, EEACP effectively ameliorated UVB-induced reactive oxygen species overproduction. Furthermore, the activation/phosphorylation of AKT, rather than mitogen-activated protein kinases, has been identified as a major target of EEACP in preventing UVB-mediated photoaging. Additionally, N-(1 deoxy-1-fructosyl) valine and phenethylamine glucuronide were identified as analytical indicators of EEACP using high-performance liquid chromatography/mass spectrometry. These results suggest that EEACP can be developed as a functional natural agent capable of preventing photoaging by attenuating UVB-induced activation of the reactive oxygen species/AKT pathway. Full article
(This article belongs to the Special Issue Antioxidant Capacity of Natural Products)
Show Figures

Graphical abstract

26 pages, 4474 KB  
Article
Mechanistic Insights into the Neurotoxicity of 2,5-Dimethoxyphenethylamines (2C) and Corresponding N-(2-methoxybenzyl)phenethylamine (NBOMe) Drugs
by Eva Gil-Martins, Fernando Cagide-Fagín, Daniel Martins, Ana Borer, Daniel José Barbosa, Carlos Fernandes, Daniel Chavarria, Fernando Remião, Fernanda Borges and Renata Silva
J. Xenobiot. 2024, 14(2), 772-797; https://doi.org/10.3390/jox14020044 - 5 Jun 2024
Cited by 2 | Viewed by 4733
Abstract
Substituted phenethylamines including 2C (2,5-dimethoxyphenethylamines) and NBOMe (N-(2-methoxybenzyl)phenethylamines) drugs are potent psychoactive substances with little to no knowledge available on their toxicity. In the present in vitro study, we explored the mechanisms underlying the neurotoxicity of six substituted phenethylamines: 2C-T-2, 2C-T-4, [...] Read more.
Substituted phenethylamines including 2C (2,5-dimethoxyphenethylamines) and NBOMe (N-(2-methoxybenzyl)phenethylamines) drugs are potent psychoactive substances with little to no knowledge available on their toxicity. In the present in vitro study, we explored the mechanisms underlying the neurotoxicity of six substituted phenethylamines: 2C-T-2, 2C-T-4, 2C-T-7 and their corresponding NBOMes. These drugs were synthesized and chemically characterized, and their cytotoxicity (0–1000 μM) was evaluated in differentiated SH-SY5Y cells and primary rat cortical cultures, by the NR uptake and MTT reduction assays. In differentiated SH-SY5Y cells, mitochondrial membrane potential, intracellular ATP and calcium levels, reactive oxygen species production, and intracellular total glutathione levels were also evaluated. All the tested drugs exhibited concentration-dependent cytotoxic effects towards differentiated SH-SY5Y cells and primary rat cortical cultures. The NBOMe drugs presented higher cytotoxicity than their counterparts, which correlates with the drug’s lipophilicity. These cytotoxic effects were associated with mitochondrial dysfunction, evident through mitochondrial membrane depolarization and lowered intracellular ATP levels. Intracellular calcium imbalance was observed for 2C-T-7 and 25T7-NBOMe, implying a disrupted calcium regulation. Although reactive species levels remained unchanged, a reduction in intracellular total GSH content was observed. Overall, these findings contribute to a deeper understanding of these drugs, shedding light on the mechanisms underpinning their neurotoxicity. Full article
(This article belongs to the Section Drug Therapeutics)
Show Figures

Graphical abstract

18 pages, 3341 KB  
Article
In Vitro Activation of Human Adrenergic Receptors and Trace Amine-Associated Receptor 1 by Phenethylamine Analogues Present in Food Supplements
by Nicole E. T. Pinckaers, W. Matthijs Blankesteijn, Anastasiya Mircheva, Xiao Shi, Antoon Opperhuizen, Frederik-Jan van Schooten and Misha F. Vrolijk
Nutrients 2024, 16(11), 1567; https://doi.org/10.3390/nu16111567 - 22 May 2024
Cited by 5 | Viewed by 4847
Abstract
Pre-workout supplements are popular among sport athletes and overweight individuals. Phenethylamines (PEAs) and alkylamines (AA) are widely present in these supplements. Although the health effects of these analogues are not well understood yet, they are hypothesised to be agonists of adrenergic (ADR) and [...] Read more.
Pre-workout supplements are popular among sport athletes and overweight individuals. Phenethylamines (PEAs) and alkylamines (AA) are widely present in these supplements. Although the health effects of these analogues are not well understood yet, they are hypothesised to be agonists of adrenergic (ADR) and trace amine-associated receptors (TAARs). Therefore, we aimed to pharmacologically characterise these compounds by investigating their activating properties of ADRs and TAAR1 in vitro. The potency and efficacy of the selected PEAs and AAs was studied by using cell lines overexpressing human ADRα1A1B1D2a2B12 or TAAR1. Concentration–response relationships are expressed as percentages of the maximal signal obtained by the full ADR agonist adrenaline or the full TAAR1 agonist phenethylamine. Multiple PEAs activated ADRs (EC50 = 34 nM–690 µM; Emax = 8–105%). Almost all PEAs activated TAAR1 (EC50 = 1.8–92 µM; Emax = 40–104%). Our results reveal the pharmacological profile of PEAs and AAs that are often used in food supplements. Several PEAs have strong agonistic properties on multiple receptors and resemble potencies of the endogenous ligands, indicating that they might further stimulate the already activated sympathetic nervous system in exercising athletes via multiple mechanisms. The use of supplements containing one, or a combination of, PEA(s) may pose a health risk for their consumers. Full article
(This article belongs to the Special Issue Sport Supplementation for Performance and Health (Volume II))
Show Figures

Figure 1

15 pages, 2765 KB  
Article
A Study of Metabolites from Basidiomycota and Their Activities against Pseudomonas aeruginosa
by Marco Clericuzio, Giorgia Novello, Mattia Bivona, Elisa Gamalero, Elisa Bona, Alice Caramaschi, Nadia Massa, Alberto Asteggiano and Claudio Medana
Antibiotics 2024, 13(4), 326; https://doi.org/10.3390/antibiotics13040326 - 3 Apr 2024
Cited by 1 | Viewed by 2301
Abstract
The World Health Organization (WHO) promotes research aimed at developing new drugs from natural compounds. Fungi are important producers of bioactive molecules, and they are often effective against other fungi and/or bacteria and are thus a potential source of new antibiotics. Basidiomycota crude [...] Read more.
The World Health Organization (WHO) promotes research aimed at developing new drugs from natural compounds. Fungi are important producers of bioactive molecules, and they are often effective against other fungi and/or bacteria and are thus a potential source of new antibiotics. Basidiomycota crude extracts, which have previously been proven to be active against Pseudomonas aeruginosa ATCC27853, were subjected to liquid chromatographic separation by RP-18, leading to six macro-fractions for each fungal extract. The various fractions were tested for their bioactivities against P. aeruginosa ATCC27853, and ten of them were characterized by HPLC-HRMS and NMR. Further chromatographic separations were performed for a few selected macro-fractions, yielding seven pure compounds. Bioactivity was mainly found in the lipophilic fractions containing fatty acids and their derivatives, such as hydroxy or keto C-18 unsaturated acids, and in various complex lipids, such as glycolipids and related compounds. More hydrophilic molecules, such as GABA, phenethylamine, two chromogenic anthraquinoids and pistillarin, were also isolated, and their antibacterial activities were recorded. The novelties of this research are as follows: (i) the genera Cortinarius and Mycena have never been investigated before for the synthesis of antibiotic compounds; (ii) the molecules produced by these genera are known, but their production has never been reported in the investigated fungi; (iii) the determination of bacterial siderophore synthesis inhibition by certain compounds from Cortinarius and Mycena. Full article
(This article belongs to the Special Issue Epidemiology, Antifungal Resistance and Therapy in Fungal Infection)
Show Figures

Figure 1

Back to TopTop