Asymmetric Synthesis of 2-Arylethylamines: A Metal-Free Review of the New Millennium
Abstract
1. Introduction
2. Chiral Induction
3. Organocatalysis
3.1. Thioureas
3.2. Phosphorous-Based Species
3.3. Amines, Amides, and Ammonium Species
3.4. Aryl Iodine Species
3.5. Aldehydes and Ketones
3.6. Boron Species
3.7. Selenium Species
4. Organophotocatalysis
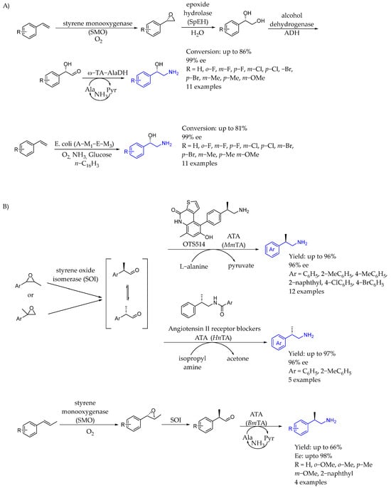
5. Enzymatic Catalysis
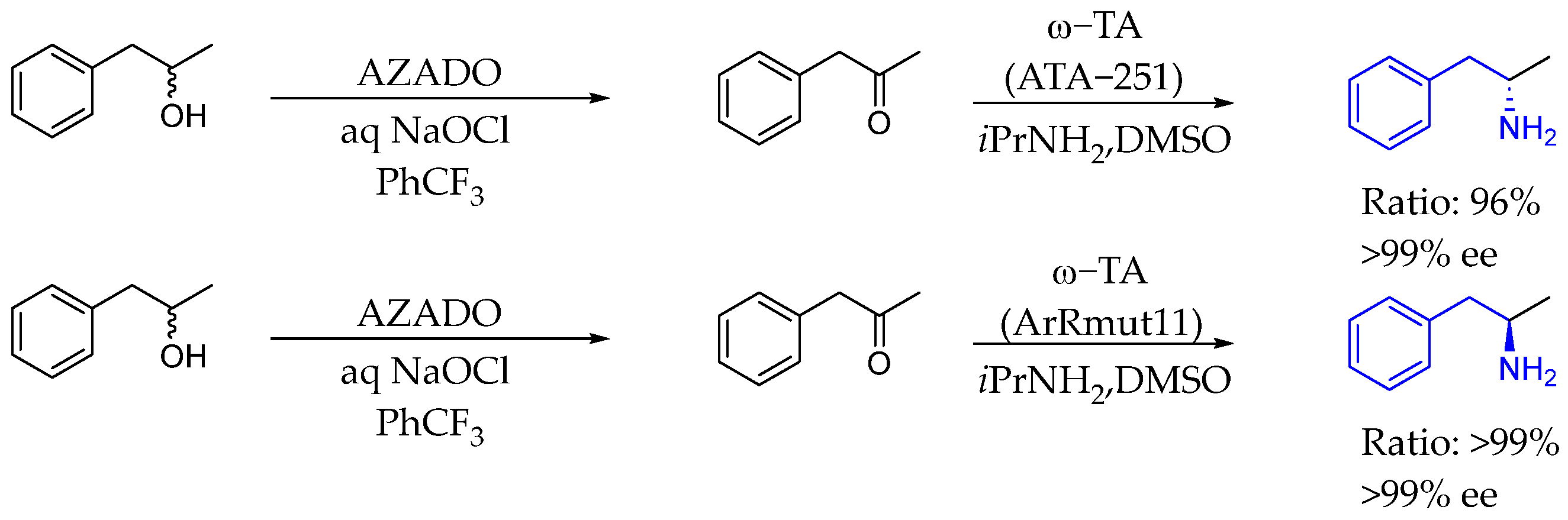
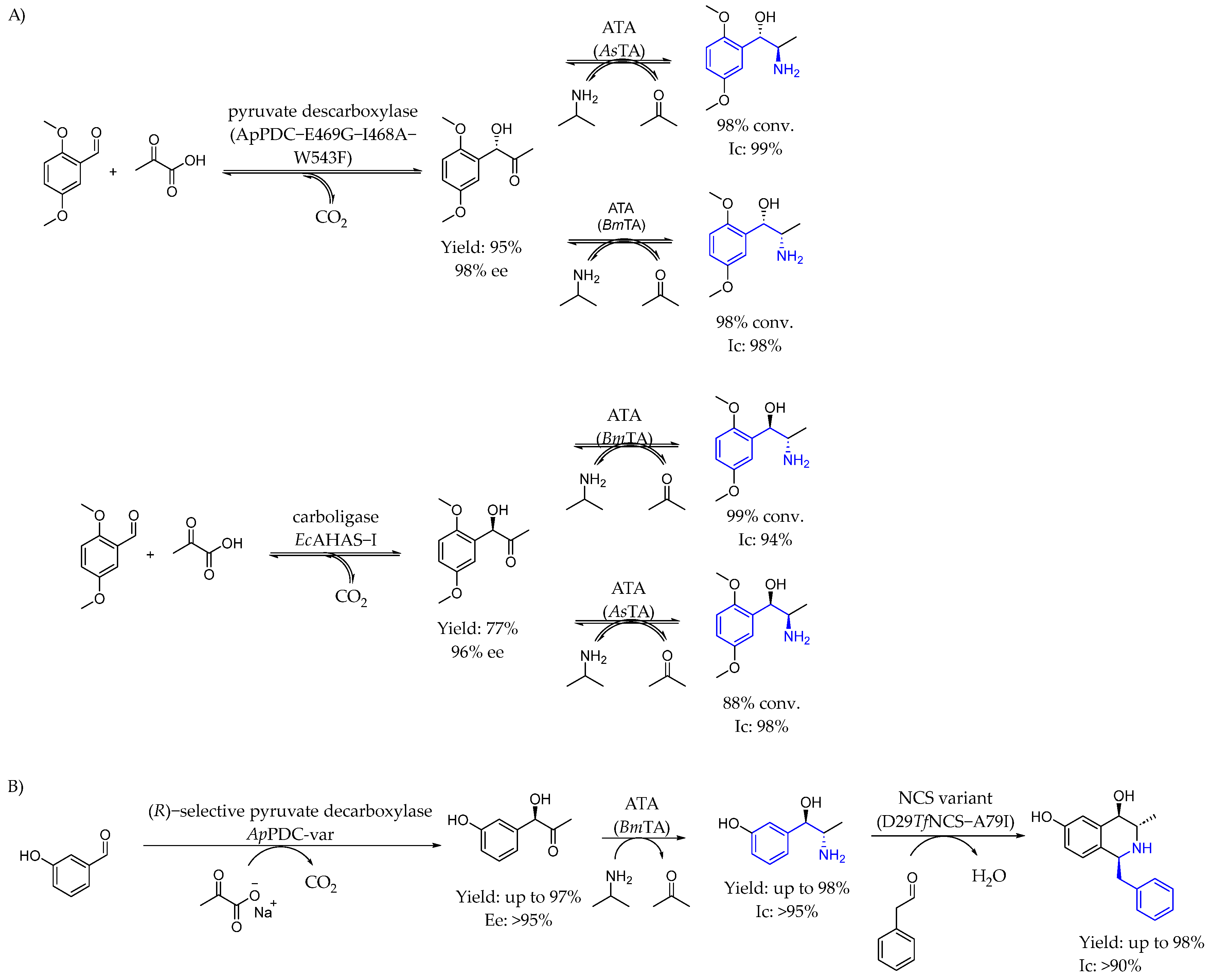
5.1. Transaminases
5.2. Amino Dehydrogenase
5.3. Imine Reductases
5.4. Photobiocatalysis
5.5. Others
5.5.1. Reductive Aminases
5.5.2. Lyases
5.5.3. Aminotransferases
5.5.4. Aldoxime Dehydratase
5.5.5. Cytochrome c
5.5.6. Amino Acid Decarboxylase
5.5.7. Ketoreductase
5.5.8. Norcoclaurine Synthase
6. Conclusions
Author Contributions
Funding
Conflicts of Interest
References
- Sulzer, D.; Sonders, M.S.; Poulsen, N.W.; Galli, A. Mechanisms of Neurotransmitter Release by Amphetamines: A Review. Prog. Neurobiol. 2005, 75, 406–433. [Google Scholar] [CrossRef] [PubMed]
- Bentley, K.W. β-Phenylethylamines and the Isoquinoline Alkaloids. Nat. Prod. Rep. 2006, 23, 444–463. [Google Scholar] [CrossRef] [PubMed]
- Chinta, S.J.; Andersen, J.K. Dopaminergic Neurons. Int. J. Biochem. Cell Biol. 2005, 37, 942–946. [Google Scholar] [CrossRef] [PubMed]
- Nieto, C.T.; Cascón, A.M.; Arroyo, L.B.; Díez, D.; Garrido, N.M. 2-Phenethylamines in Medicinal Chemistry: A Review. Molecules 2023, 28, 855. [Google Scholar] [CrossRef] [PubMed]
- Nieto, C.T.; Cascón, A.M.; García-González, Á.; Díez, D.; Garrido, N.M. 2-Heteroarylethylamines in Medicinal Chemistry: A Review of 2-Phenethylamine Satellite Chemical Space. Beilstein J. Org. Chem. 2024, 20, 1880–1893. [Google Scholar] [CrossRef]
- Yin, Y.; Zhao, X.; Jiang, Z. Asymmetric Photocatalytic Synthesis of Enantioenriched Azaarene Derivatives. Chin. J. Org. Chem. 2022, 42, 1609–1625. [Google Scholar] [CrossRef]
- Pozhydaiev, V.; Muller, C.; Moran, J.; Lebœuf, D. Catalytic Synthesis of β-(Hetero)Arylethylamines: Modern Strategies and Advances. Angew. Chem.-Int. Ed. 2023, 62, e202309289. [Google Scholar] [CrossRef]
- Xie, J.H.; Zhu, S.F.; Zhou, Q.L. Transition Metal-Catalyzed Enantioselective Hydrogenation of Enamines and Imines. Chem. Rev. 2011, 111, 1713–1760. [Google Scholar] [CrossRef]
- Cabré, A.; Verdaguer, X.; Riera, A. Recent Advances in the Enantioselective Synthesis of Chiral Amines via Transition Metal-Catalyzed Asymmetric Hydrogenation. Chem. Rev. 2022, 122, 269–339. [Google Scholar] [CrossRef]
- Mathew, S.; Renn, D.; Rueping, M. Advances in One-Pot Chiral Amine Synthesis Enabled by Amine Transaminase Cascades: Pushing the Boundaries of Complexity. ACS Catal. 2023, 13, 5584–5598. [Google Scholar] [CrossRef]
- Jiang, H.; Studer, A. Intermolecular Radical Carboamination of Alkenes. Chem. Soc. Rev. 2020, 49, 1790–1811. [Google Scholar] [CrossRef] [PubMed]
- Kwon, Y.; Wang, Q. Recent Advances in 1,2-Amino(Hetero)Arylation of Alkenes. Chem. Asian J. 2022, 17, e202200215. [Google Scholar] [CrossRef] [PubMed]
- Hirano, K.; Miura, M. Hydroamination, Aminoboration, and Carboamination with Electrophilic Amination Reagents: Umpolung-Enabled Regio- and Stereoselective Synthesis of N-Containing Molecules from Alkenes and Alkynes. J. Am. Chem. Soc. 2022, 144, 648–661. [Google Scholar] [CrossRef]
- Li, G.; Facchini, P.J. New Frontiers in the Biosynthesis of Psychoactive Specialized Metabolites. Curr. Opin. Plant Biol. 2024, 82, 102626. [Google Scholar] [CrossRef]
- Chan, C.B.; Poulie, C.B.M.; Wismann, S.S.; Soelberg, J.; Kristensen, J.L. The Alkaloids from Lophophora Diffusa and Other “False Peyotes”. J. Nat. Prod. 2021, 84, 2398–2407. [Google Scholar] [CrossRef]
- Berman, P.; de Haro, L.A.; Cavaco, A.R.; Panda, S.; Dong, Y.; Kuzmich, N.; Lichtenstein, G.; Peleg, Y.; Harat, H.; Jozwiak, A.; et al. The Biosynthetic Pathway of the Hallucinogen Mescaline and Its Heterologous Reconstruction. Mol. Plant 2024, 17, 1129–1150. [Google Scholar] [CrossRef]
- Jamieson, C.S.; Misa, J.; Tang, Y.; Billingsley, J.M. Biosynthesis and Synthetic Biology of Psychoactive Natural Products. Chem. Soc. Rev. 2021, 50, 6950–7008. [Google Scholar] [CrossRef]
- Xiong, C.; Wang, W.; Cai, C.; Hruby, V.J. Regioselective and Stereoselective Nucleophilic Ring Opening Reactions of a Phenyl-Substituted Aziridine: Enantioselective Synthesis of β-Substituted Tryptophan, Cysteine, and Serine Derivatives. J. Org. Chem. 2002, 67, 1399–1402. [Google Scholar] [CrossRef]
- Michaelis, D.J.; Dineen, T.A. Ring Opening of Aziridines with Ortho-Bromophenyl Metal Reagents: Synthesis of 2-Substituted Indolines. Tetrahedron Lett. 2009, 50, 1920–1923. [Google Scholar] [CrossRef]
- Beliaev, A.; Wahnon, J.; Russo, D. Process Research for Multikilogram Production of Etamicastat: A Novel Dopamine β-Hydroxylase Inhibitor. Org. Process Res. Dev. 2012, 16, 704–709. [Google Scholar] [CrossRef]
- Manchado, A.; García, M.; Salgado, M.M.; Díez, D.; Garrido, N.M. A Novel Barton Decarboxylation Produces a 1,4-Phenyl Radical Rearrangement Domino Reaction. Tetrahedron 2018, 74, 5240–5247. [Google Scholar] [CrossRef]
- Xu, S.; Holst, H.M.; McGuire, S.B.; Race, N.J. Reagent Control Enables Selective and Regiodivergent Opening of Unsymmetrical Phenonium Ions. J. Am. Chem. Soc. 2020, 142, 8090–8096. [Google Scholar] [CrossRef] [PubMed]
- Tu, W.; Farndon, J.J.; Robertson, C.M.; Bower, J. An Aza-Prilezhaev-Based Method Inverts Regioselectivity in Stereospecific Alkene 1,2-Aminohydroxylations. Angew. Chem. Int. Ed. 2024, 63, e202409836. [Google Scholar] [CrossRef] [PubMed]
- García Mancheño, O.; Waser, M. Recent Developments and Trends in Asymmetric Organocatalysis. Eur. J. Org. Chem. 2023, 26, e202200950. [Google Scholar] [CrossRef]
- Ahrendt, K.A.; Borths, C.J.; MacMillan, D.W.C. New Strategies for Organic Catalysis: The First Highly Enantioselective Organocatalytic Diels—Alder Reaction. J. Am. Chem. Soc. 2000, 122, 4243–4244. [Google Scholar] [CrossRef]
- David, W.C. MacMillan—Facts—2021. NobelPrize.Org. Nobel Prize Outreach AB 2024. Available online: https://www.nobelprize.org/prizes/chemistry/2021/macmillan/facts (accessed on 8 November 2024).
- Hamza, A.; Schubert, G.; Soós, T.; Pápai, I. Theoretical Studies on the Bifunctionality of Chiral Thiourea-Based Organocatalysts: Competing Routes to C-C Bond Formation. J. Am. Chem. Soc. 2006, 128, 13151–13160. [Google Scholar] [CrossRef]
- Zhang, Z.; Schreiner, P.R. (Thio)Urea Organocatalysis—What Can Be Learnt from Anion Recognition? Chem. Soc. Rev. 2009, 38, 1187–1198. [Google Scholar] [CrossRef]
- Jain, I.; Malik, P. Advances in Urea and Thiourea Catalyzed Ring Opening Polymerization: A Brief Overview. Eur. Polym. J. 2020, 133, 109791. [Google Scholar] [CrossRef]
- Okino, T.; Hoashi, Y.; Furukawa, T.; Xu, X.; Takemoto, Y. Enantio- and Diastereoselective Michael Reaction of 1,3-Dicarbonyl Compounds to Nitroolefins Catalyzed by a Bifunctional Thiourea. J. Am. Chem. Soc. 2005, 127, 119–125. [Google Scholar] [CrossRef]
- Murakami, H.; Yamada, A.; Michigami, K.; Takemoto, Y. Novel Aza-Michael Addition-Asymmetric Protonation to α,β-Unsaturated Carboxylic Acids with Chiral Thiourea-Boronic Acid Hybrid Catalysts. Asian J. Org. Chem. 2021, 10, 1097–1101. [Google Scholar] [CrossRef]
- Valle-Amores, M.A.; Feberero, C.; Martin-Somer, A.; Díaz-Tendero, S.; Smith, A.D.; Fraile, A.; Alemán, J. Intramolecular Hydrogen Bond Activation for Kinetic Resolution of Furanone Derivatives by an Organocatalyzed [3 + 2] Asymmetric Cycloaddition. Org. Chem. Front. 2023, 11, 1028–1038. [Google Scholar] [CrossRef]
- Jiménez, E.I. An Update on Chiral Phosphoric Acid Organocatalyzed Stereoselective Reactions. Org. Biomol. Chem. 2023, 21, 3477–3502. [Google Scholar] [CrossRef] [PubMed]
- Ruiz-Olalla, A.; Würdemann, M.A.; Wanner, M.J.; Ingemann, S.; Van Maarseveen, J.H.; Hiemstra, H. Organocatalytic Enantioselective Pictet-Spengler Approach to Biologically Relevant 1-Benzyl-1,2,3,4-Tetrahydroisoquinoline Alkaloids. J. Org. Chem. 2015, 80, 5125–5132. [Google Scholar] [CrossRef] [PubMed]
- Xu, C.; Muir, C.W.; Leach, A.G.; Kennedy, A.R.; Watson, A.J.B. Catalytic Enantioselective Synthesis of A-Chiral Azaheteroaryl Ethylamines by Asymmetric Protonation. Angew. Chem. 2018, 130, 11544–11547. [Google Scholar] [CrossRef]
- Ashford, M.; Xu, C.; Molloy, J.J.; Carpenter-Warren, C.; Slawin, A.; Leach, A.; Watson, A. Catalytic Enantioselective Synthesis of Heterocyclic Vicinal Fluoroamines Using Asymmetric Protonation: A Method Development and Mechanistic Study. Chemistry 2020, 26, 12249–12255. [Google Scholar] [CrossRef]
- McLean, L.; Ashford, M.; Fyfe, J.; Slawin, A.; Leach, A.; Watson, A. Asymmetric Synthesis of Heterocyclic Chloroamines and Aziridines by Enantioselective Protonation of Catalytically Generated Enamines. Chemistry 2022, 28, e202200060. [Google Scholar] [CrossRef]
- Li, W.; Xu, X.; Liu, Y.; Gao, H.; Cheng, Y.; Li, P. Enantioselective Organocatalytic 1,6-Addition of Azlactones to Para-Quinone Methides: An Access to α,α-Disubstituted and β,β-Diaryl-α-Amino Acid Esters. Org. Lett. 2018, 20, 1142–1145. [Google Scholar] [CrossRef]
- Hu, Q.; Kondoh, A.; Terada, M. Enantioselective Direct Mannich-Type Reactions of 2-Benzylpyridine N-Oxides Catalyzed by Chiral Bis(Guanidino)Iminophosphorane Organosuperbase. Chem. Sci. 2018, 9, 4348–4351. [Google Scholar] [CrossRef]
- Wen, H.C.; Chen, W.; Li, M.; Ma, C.; Wang, J.F.; Fu, A.; Xu, S.Q.; Zhou, Y.F.; Ni, S.F.; Mao, B. Chiral Phosphoric Acid-Catalyzed Asymmetric Epoxidation of Alkenyl Aza-Heteroarenes Using Hydrogen Peroxide. Nat. Commun. 2024, 15, 5277. [Google Scholar] [CrossRef]
- Chowdari, N.S.; Barbas, C.F. Total Synthesis of LFA-1 Antagonist BIRT-377 via Organocatalytic Asymmetric Construction of a Quaternary Stereocenter. Org. Lett. 2005, 7, 867–870. [Google Scholar] [CrossRef]
- Patterson, D.E.; Xie, S.; Jones, L.A.; Osterhout, M.H.; Henry, C.G.; Roper, T.D. Synthesis of 4-Fluoro-β(4-Fluorophenyl)-l-Phenylalanine by an Asymmetric Phase-Transfer Catalyzed Alkylation: Synthesis on Scale and Catalyst Stability. Org. Process Res. Dev. 2007, 11, 624–627. [Google Scholar] [CrossRef]
- Izquierdo, J.; Landa, A.; Bastida, I.; López, R.; Oiarbide, M.; Palomo, C. Base-Catalyzed Asymmetric α-Functionalization of 2-(Cyanomethyl)Azaarene N-Oxides Leading to Quaternary Stereocenters. J. Am. Chem. Soc. 2016, 138, 3282–3285. [Google Scholar] [CrossRef] [PubMed]
- Lang, J.H.; Jones, P.G.; Lindel, T. Total Synthesis of the Marine Natural Product Hemiasterlin by Organocatalyzed α-Hydrazination. Chem.-A Eur. J. 2017, 23, 12714–12717. [Google Scholar] [CrossRef]
- Wang, S.; Zhang, C.; Li, D.; Zhou, Y.; Su, Z.; Feng, X.; Dong, S. New Chiral N-Heterocyclic Olefin Bifunctional Organocatalysis in α-Functionalization of β-Ketoesters. Sci. China Chem. 2023, 66, 147–154. [Google Scholar] [CrossRef]
- Lu, J.; Huang, L.; Liang, H.; Wang, Z.; Kato, T.; Liu, Y.; Maruoka, K. Asymmetric Phase-Transfer Alkylation of Readily Available Aryl Aldehyde Schiff Bases of Amino Acid Ethyl Esters. Org. Lett. 2024, 26, 4163–4167. [Google Scholar] [CrossRef]
- Lu, J.; Yu, Y.; Li, Z.; Luo, J.; Deng, L. Practical Synthesis of Chiral α-Aminophosphonates with Weak Bonding Organocatalysis at Ppm Loading. J. Am. Chem. Soc. 2024, 146, 16706–16713. [Google Scholar] [CrossRef]
- Kashyap, S.; Singh, B.; Ghorai, M.K. Magic Blue-Initiated SN2-Type Ring Opening of Activated Aziridines: Friedel-Crafts-Type Alkylation of Electron-Rich Arenes/Heteroarenes. J. Org. Chem. 2024, 89, 11429–11445. [Google Scholar] [CrossRef]
- Banik, S.M.; Medley, J.W.; Jacobsen, E.N. Catalytic, Asymmetric Difluorination of Alkenes to Generate Difluoromethylated Stereocenters. Science 2016, 353, 51–54. [Google Scholar] [CrossRef]
- Mennie, K.M.; Banik, S.M.; Reichert, E.C.; Jacobsen, E.N. Catalytic Diastereo- and Enantioselective Fluoroamination of Alkenes. J. Am. Chem. Soc. 2018, 140, 4797–4802. [Google Scholar] [CrossRef]
- Cheng, Q.Q.; Zhou, Z.; Jiang, H.; Siitonen, J.H.; Ess, D.H.; Zhang, X.; Kürti, L. Organocatalytic Nitrogen Transfer to Unactivated Olefins via Transient Oxaziridines. Nat. Catal. 2020, 3, 386–392. [Google Scholar] [CrossRef]
- Wang, W.Z.; Shen, H.R.; Liao, J.; Wen, W.; Guo, Q.X. A Chiral Aldehyde-Induced Tandem Conjugated Addition-Lactamization Reaction for Constructing Fully Substituted Pyroglutamic Acids. Org. Chem. Front. 2022, 9, 1422–1426. [Google Scholar] [CrossRef]
- Doyle, M.G.J.; Bsharat, O.; Sib, A.; Derdau, V.; Lundgren, R.J. Enantioselective Carbon Isotope Exchange. J. Am. Chem. Soc. 2024, 146, 18804–18810. [Google Scholar] [CrossRef] [PubMed]
- Ding, Z.; Wang, Z.; Wang, Y.; Wang, X.; Xue, Y.; Xu, M.; Zhang, H.; Xu, L.; Li, P. Regio- and Diastereoselective Synthesis of Polysubstituted Piperidines Enabled by Boronyl Radical-Catalyzed (4+2) Cycloaddition. Angew. Chem.-Int. Ed. 2024, 63, e202406612. [Google Scholar] [CrossRef] [PubMed]
- Freudendahl, D.M.; Santoro, S.; Shahzad, S.A.; Santi, C.; Wirth, T. Green Chemistry with Selenium Reagents: Development of Efficient Catalytic Reactions. Angew. Chem.-Int. Ed. 2009, 48, 8409–8411. [Google Scholar] [CrossRef]
- Liao, L.; Zhao, X. Modern Organoselenium Catalysis: Opportunities and Challenges. Synlett 2021, 32, 1262–1268. [Google Scholar] [CrossRef]
- Tao, Z.; Gilbert, B.B.; Denmark, S.E. Catalytic, Enantioselective Syn-Diamination of Alkenes. J. Am. Chem. Soc. 2019, 141, 19161–19170. [Google Scholar] [CrossRef]
- Cunningham, C.C.; Panger, J.L.; Lupi, M.; Denmark, S.E. Organoselenium-Catalyzed Enantioselective Synthesis of 2-Oxazolidinones from Alkenes. Org. Lett. 2024, 26, 6703–6708. [Google Scholar] [CrossRef]
- Marzo, L.; Pagire, S.K.; Reiser, O.; König, B. Visible-Light Photocatalysis: Does It Make a Difference in Organic Synthesis? Angew. Chem. Int. Ed. 2018, 130, 10188–10228. [Google Scholar] [CrossRef]
- König, B. Photocatalysis in Organic Synthesis—Past, Present, and Future. Eur. J. Org. Chem. 2017, 2017, 1979–1981. [Google Scholar] [CrossRef]
- Nicewicz, D.A.; MacMillan, D.W. MacMillan Merging Photoredox Catalysis with Organocatalysis: The Direct Alkylation of Aldehydes. Science 2008, 322, 77–80. [Google Scholar] [CrossRef]
- Mohamadpour, F.; Amani, A.M. Photocatalytic Systems: Reactions, Mechanism, and Applications. RSC Adv. 2024, 14, 20609–20645. [Google Scholar] [CrossRef] [PubMed]
- Weinstain, R.; Slanina, T.; Kand, D.; Klán, P. Visible-to-NIR-Light Activated Release: From Small Molecules to Nanomaterials. Chem. Rev. 2020, 120, 13135–13272. [Google Scholar] [CrossRef] [PubMed]
- Pitre, S.P.; Overman, L.E. Strategic Use of Visible-Light Photoredox Catalysis in Natural Product Synthesis. Chem. Rev. 2022, 122, 1717–1751. [Google Scholar] [CrossRef] [PubMed]
- Großkopf, J.; Kratz, T.; Rigotti, T.; Bach, T. Enantioselective Photochemical Reactions Enabled by Triplet Energy Transfer. Chem. Rev. 2022, 122, 1626–1653. [Google Scholar] [CrossRef]
- Nguyen, T.M.; Nicewicz, D.A. Anti-Markovnikov Hydroamination of Alkenes Catalyzed by an Organic Photoredox System. J. Am. Chem. Soc. 2013, 135, 9588–9591. [Google Scholar] [CrossRef]
- Gesmundo, N.J.; Grandjean, J.M.M.; Nicewicz, D.A. Amide and Amine Nucleophiles in Polar Radical Crossover Cycloadditions: Synthesis of γ-Lactams and Pyrrolidines. Org. Lett. 2015, 17, 1316–1319. [Google Scholar] [CrossRef]
- Cavanaugh, C.L.; Nicewicz, D.A. Synthesis of α-Benzyloxyamino-γ-Butyrolactones via a Polar Radical Crossover Cycloaddition Reaction. Org. Lett. 2015, 17, 6082–6085. [Google Scholar] [CrossRef]
- Margrey, K.A.; Nicewicz, D.A. A General Approach to Catalytic Alkene Anti-Markovnikov Hydrofunctionalization Reactions via Acridinium Photoredox Catalysis. Acc. Chem. Res. 2016, 49, 1997–2006. [Google Scholar] [CrossRef]
- Zheng, L.; Gao, F.; Yang, C.; Gao, G.L.; Zhao, Y.; Gao, Y.; Xia, W. Visible-Light-Mediated Anti-Regioselective Nitrone 1, 3-Dipolar Cycloaddition Reaction and Synthesis of Bisindolylmethanes. Org. Lett. 2017, 19, 5086–5089. [Google Scholar] [CrossRef]
- Qi, X.K.; Zheng, M.J.; Yang, C.; Zhao, Y.; Guo, L.; Xia, W. Metal-Free Amino(Hetero)Arylation and Aminosulfonylation of Alkenes Enabled by Photoinduced Energy Transfer. J. Am. Chem. Soc. 2023, 145, 16630–16641. [Google Scholar] [CrossRef]
- Wang, G.Q.; Wang, T.; Zhang, Y.; Zhou, Y.X.; Yang, D.; Han, P.; Jing, L.H. Photoredox Metal-Free Synthesis of Unnatural β-Silyl-α-Amino Acids via Hydrosilylation. Chem. Asian J. 2023, 18, e202300805. [Google Scholar] [CrossRef] [PubMed]
- Zhang, G.; He, H.; Chen, X.; Ni, S.F.; Zeng, R. Photoinduced Disulfide-Catalyzed Intramolecular Anti-Markovnikov Hydroamination through in Situ N-S Species. Org. Lett. 2023, 25, 1600–1604. [Google Scholar] [CrossRef] [PubMed]
- Du, Y.D.; Wang, S.; Du, H.W.; Chang, X.Y.; Chen, X.Y.; Li, Y.L.; Shu, W. Organophotocatalysed Synthesis of 2-Piperidinones in One Step via [1 + 2 + 3] Strategy. Nat. Commun. 2023, 14, 5339. [Google Scholar] [CrossRef] [PubMed]
- Chhikara, A.; Kaur, N.; Wolke, E.B.; Boes, E.A.; Nguyen, A.M.; Ariyarathna, J.P.; Baskaran, P.; Villa, C.E.; Pham, A.H.; Kremenets, V.J.; et al. Olefin Difunctionalization for the Synthesis of Tetrahydroisoquinoline, Morpholine, Piperazine, and Azepane. Org. Lett. 2024, 26, 84–88. [Google Scholar] [CrossRef]
- Mu, R.; Wang, Z.; Wamsley, M.C.; Duke, C.N.; Lii, P.H.; Epley, S.E.; Todd, L.C.; Roberts, P.J. Application of Enzymes in Regioselective and Stereoselective Organic Reactions. Catalysts 2020, 10, 832. [Google Scholar] [CrossRef]
- Schmid, A.; Hollmann, F.; Park, J.B.; Bühler, B. The Use of Enzymes in the Chemical Industry in Europe. Curr. Opin. Biotechnol. 2002, 13, 359–366. [Google Scholar] [CrossRef]
- Wu, S.; Snajdrova, R.; Moore, J.C.; Baldenius, K.; Bornscheuer, U.T. Biocatalysis: Enzymatic Synthesis for Industrial Applications. Angew. Chem.-Int. Ed. 2021, 60, 88–119. [Google Scholar] [CrossRef]
- Koszelewski, D.; Clay, D.; Faber, K.; Kroutil, W. Synthesis of 4-Phenylpyrrolidin-2-One via Dynamic Kinetic Resolution Catalyzed by ω-Transaminases. J. Mol. Catal. B Enzym. 2009, 60, 191–194. [Google Scholar] [CrossRef]
- Fuchs, C.S.; Hollauf, M.; Meissner, M.; Simon, R.C.; Besset, T.; Reek, J.N.H.; Riethorst, W.; Zepeck, F.; Kroutil, W. Dynamic Kinetic Resolution of 2-Phenylpropanal Derivatives to Yield β-Chiral Primary Amines via Bioamination. Adv. Synth. Catal. 2014, 356, 2257–2265. [Google Scholar] [CrossRef]
- Schöll, A.; Kilian, L.; Zou, Y.; Ziroff, J.; Hame, S.; Reinert, F.; Umbach, E.; Fink, R.H. Disordering of an Organic Overlayer on a Metal Surface upon Cooling. Science 2010, 329, 305–309. [Google Scholar] [CrossRef][Green Version]
- Chung, C.K.; Bulger, P.G.; Kosjek, B.; Belyk, K.M.; Rivera, N.; Scott, M.E.; Humphrey, G.R.; Limanto, J.; Bachert, D.C.; Emerson, K.M. Process Development of C-N Cross-Coupling and Enantioselective Biocatalytic Reactions for the Asymmetric Synthesis of Niraparib. Org. Process Res. Dev. 2014, 18, 215–227. [Google Scholar] [CrossRef]
- Green, A.P.; Turner, N.J.; O’Reilly, E. Chiral Amine Synthesis Using ω-Transaminases: An Amine Donor That Displaces Equilibria and Enables High-Throughput Screening. Angew. Chem.-Int. Ed. 2014, 53, 10714–10717. [Google Scholar] [CrossRef] [PubMed]
- Wu, S.; Zhou, Y.; Wang, T.; Too, H.P.; Wang, D.I.C.; Li, Z. Highly Regio- and Enantioselective Multiple Oxy- and Amino-Functionalizations of Alkenes by Modular Cascade Biocatalysis. Nat. Commun. 2016, 7, 11917. [Google Scholar] [CrossRef]
- Xin, R.; See, W.W.L.; Yun, H.; Li, X.; Li, Z. Enzyme-Catalyzed Meinwald Rearrangement with an Unusual Regioselective and Stereospecific 1,2-Methyl Shift. Angew. Chem.-Int. Ed. 2022, 61, e202204889. [Google Scholar] [CrossRef]
- See, W.W.L.; Li, X.; Li, Z. Biocatalytic Cascade Conversion of Racemic Epoxides to (S)-2-Arylpropionic Acids, (R)- and (S)-2-Arylpropyl Amines. Adv. Synth. Catal. 2023, 365, 68–77. [Google Scholar] [CrossRef]
- Liardo, E.; Ríos-Lombardía, N.; Morís, F.; Rebolledo, F.; González-Sabín, J. Hybrid Organo- and Biocatalytic Process for the Asymmetric Transformation of Alcohols into Amines in Aqueous Medium. ACS Catal. 2017, 7, 4768–4774. [Google Scholar] [CrossRef]
- Burns, M.; Martinez, C.A.; Vanderplas, B.; Wisdom, R.; Yu, S.; Singer, R.A. A Chemoenzymatic Route to Chiral Intermediates Used in the Multikilogram Synthesis of a Gamma Secretase Inhibitor. Org. Process Res. Dev. 2017, 21, 871–877. [Google Scholar] [CrossRef]
- Yoon, S.; Patil, M.D.; Sarak, S.; Jeon, H.; Kim, G.H.; Khobragade, T.P.; Sung, S.; Yun, H. Deracemization of Racemic Amines to Enantiopure (R)- and (S)-Amines by Biocatalytic Cascade Employing ω-Transaminase and Amine Dehydrogenase. ChemCatChem 2019, 11, 1898–1902. [Google Scholar] [CrossRef]
- Erdmann, V.; Sehl, T.; Frindi-Wosch, I.; Simon, R.C.; Kroutil, W.; Rother, D. Methoxamine Synthesis in a Biocatalytic 1-Pot 2-Step Cascade Approach. ACS Catal. 2019, 9, 7380–7388. [Google Scholar] [CrossRef]
- Weber, D.; de Souza Bastos, L.; Winkler, M.; Ni, Y.; Aliev, A.E.; Hailes, H.C.; Rother, D. Multi-Enzyme Catalysed Processes Using Purified and Whole-Cell Biocatalysts towards a 1,3,4-Substituted Tetrahydroisoquinoline. RSC Adv. 2023, 13, 10097–10109. [Google Scholar] [CrossRef]
- Khobragade, T.P.; Yu, S.; Jung, H.; Patil, M.D.; Sarak, S.; Pagar, A.D.; Jeon, H.; Lee, S.; Giri, P.; Kim, G.H.; et al. Promoter Engineering-Mediated Tuning of Esterase and Transaminase Expression for the Chemoenzymatic Synthesis of Sitagliptin Phosphate at the Kilogram-Scale. Biotechnol. Bioeng. 2021, 118, 3263–3268. [Google Scholar] [CrossRef] [PubMed]
- Ma, Y.; Jiao, X.; Wang, Z.; Mu, H.; Sun, K.; Li, X.; Zhao, T.; Liu, X.; Zhang, N. Engineering a Transaminase for the Efficient Synthesis of a Key Intermediate for Rimegepant. Org. Process Res. Dev. 2022, 26, 1971–1977. [Google Scholar] [CrossRef]
- Bakunova, A.K.; Isaikina, T.Y.; Popov, V.O.; Bezsudnova, E.Y. Asymmetric Synthesis of Enantiomerically Pure Aliphatic and Aromatic D-Amino Acids Catalyzed by Transaminase from Haliscomenobacter Hydrossis. Catalysts 2022, 12, 1551. [Google Scholar] [CrossRef]
- Fracchiolla, N.; Patti, S.; Sangalli, F.; Monti, D.; Presini, F.; Giovannini, P.P.; Parmeggiani, F.; Brenna, E.; Tessaro, D.; Ferrandi, E.E. Insight into the Stereoselective Synthesis of (1S)-Nor(Pseudo)Ephedrine Analogues by a Two-Steps Biocatalytic Process. ChemCatChem 2024, 16, e202301199. [Google Scholar] [CrossRef]
- Belov, F.; Gazizova, A.; Bork, H.; Gröger, H.; von Langermann, J. Crystallization Assisted Dynamic Kinetic Resolution for the Synthesis of (R)-β-Methylphenethylamine. ChemBioChem 2024, 25, e202400203. [Google Scholar] [CrossRef] [PubMed]
- Dunham, N.P.; Winston, M.S.; Ray, R.; Eberle, C.M.; Newman, J.A.; Gao, Q.; Cao, Y.; Barrientos, R.C.; Ji, Y.; Reibarkh, M.Y.; et al. Transaminase-Catalyzed Synthesis of β-Branched Noncanonical Amino Acids Driven by a Lysine Amine Donor. J. Am. Chem. Soc. 2024, 146, 16306–16313. [Google Scholar] [CrossRef]
- Li, K.; Sun, M.; Jing, H.; Liu, J.; Gao, J.; Wang, B. Biotransamination with Racemic Amines as Amine Donors: Kill Three Birds with One Stone through a Dual-Enzyme Cascade. Green Chem. 2024, 26, 4024–4031. [Google Scholar] [CrossRef]
- Abrahamson, M.J.; Wong, J.W.; Bommarius, A.S. The Evolution of an Amine Dehydrogenase Biocatalyst for the Asymmetric Production of Chiral Amines. Adv. Synth. Catal. 2013, 355, 1780–1786. [Google Scholar] [CrossRef]
- Mutti, F.G.; Knaus, T.; Scrutton Nigel, S.; Breuer, M.; Turner, N.J. Conversion of Alcohols to Enantiopure through Dual-Enzyme-Borrowing Cascades. Science 2015, 349, 1525–1529. [Google Scholar] [CrossRef]
- Ye, L.J.; Toh, H.H.; Yang, Y.; Adams, J.P.; Snajdrova, R.; Li, Z. Engineering of Amine Dehydrogenase for Asymmetric Reductive Amination of Ketone by Evolving Rhodococcus Phenylalanine Dehydrogenase. ACS Catal. 2015, 5, 1119–1122. [Google Scholar] [CrossRef]
- Wang, D.H.; Chen, Q.; Yin, S.N.; Ding, X.W.; Zheng, Y.C.; Zhang, Z.; Zhang, Y.H.; Chen, F.F.; Xu, J.H.; Zheng, G.W. Asymmetric Reductive Amination of Structurally Diverse Ketones with Ammonia Using a Spectrum-Extended Amine Dehydrogenase. ACS Catal. 2021, 11, 14274–14283. [Google Scholar] [CrossRef]
- Wu, T.; Xu, Y.; Nie, Y.; Mu, X. Shield Machine-like Substrate Walking Strategy-Based Pocket Engineering of F-Amine Dehydrogenase for Accessing Structurally Diverse Fused-Ring and Linked-Ring Aryl Ketones. ACS Catal. 2024, 14, 2685–2695. [Google Scholar] [CrossRef]
- Luo, Y.; Li, Y.; Kong, W.; Li, Y.; Chen, X.; Wu, Q.; Zhu, D. Efficient Synthesis of (R)-4-Methoxyamphetamine and Its Analogues under Low Ammonium Concentration Using Engineered Amine Dehydrogenase. Mol. Catal. 2024, 553, 113802. [Google Scholar] [CrossRef]
- Matzel, P.; Gand, M.; Höhne, M. One-Step Asymmetric Synthesis of (R)- and (S)-Rasagiline by Reductive Amination Applying Imine Reductases. Green Chem. 2017, 19, 385–389. [Google Scholar] [CrossRef]
- Roiban, G.D.; Kern, M.; Liu, Z.; Hyslop, J.; Tey, P.L.; Levine, M.S.; Jordan, L.S.; Brown, K.K.; Hadi, T.; Ihnken, L.A.F.; et al. Efficient Biocatalytic Reductive Aminations by Extending the Imine Reductase Toolbox. ChemCatChem 2017, 9, 4475–4479. [Google Scholar] [CrossRef]
- Matzel, P.; Wenske, S.; Merdivan, S.; Günther, S.; Höhne, M. Synthesis of β-Chiral Amines by Dynamic Kinetic Resolution of α-Branched Aldehydes Applying Imine Reductases. ChemCatChem 2019, 11, 4281–4285. [Google Scholar] [CrossRef]
- Yao, P.; Xu, Z.; Yu, S.; Wu, Q.; Zhu, D. Imine Reductase-Catalyzed Enantioselective Reduction of Bulky α,β-Unsaturated Imines En Route to a Pharmaceutically Important Morphinan Skeleton. Adv. Synth. Catal. 2019, 361, 556–561. [Google Scholar] [CrossRef]
- Li, Y.; Hu, N.; Xu, Z.; Cui, Y.; Feng, J.; Yao, P.; Wu, Q.; Zhu, D.; Ma, Y. Asymmetric Synthesis of N-Substituted 1,2-Amino Alcohols from Simple Aldehydes and Amines by One-Pot Sequential Enzymatic Hydroxymethylation and Asymmetric Reductive Amination. Angew. Chem.-Int. Ed. 2022, 61, e202116344. [Google Scholar] [CrossRef]
- Yao, P.; Marshall, J.R.; Xu, Z.; Lim, J.; Charnock, S.J.; Zhu, D.; Turner, N.J. Asymmetric Synthesis of N-Substituted α-Amino Esters from α-Ketoesters via Imine Reductase-Catalyzed Reductive Amination. Angew. Chem.-Int. Ed. 2021, 60, 8717–8721. [Google Scholar] [CrossRef]
- Zhang, J.; Li, X.; Chen, R.; Tan, X.; Liu, X.; Ma, Y.; Zhu, F.; An, C.; Wei, G.; Yao, Y.; et al. Actinomycetes-Derived Imine Reductases with a Preference towards Bulky Amine Substrates. Commun. Chem. 2022, 5, 123. [Google Scholar] [CrossRef]
- Rajput, A.; Manna, T.; Mondal, A.; De, A.; Mondal, J.; Husain, S.M. Biocatalytic Access to Chiral Benzazepines Using Imine Reductases. ACS Catal. 2023, 13, 6185–6194. [Google Scholar] [CrossRef]
- Jin, R.; Xu, Z.; Feng, J.; Wang, M.; Yao, P.; Wu, Q.; Zhu, D. Stereocomplementary Synthesis of β-Aryl Propanamines by Enzymatic Dynamic Kinetic Resolution-Reductive Amination. Eur. J. Org. Chem. 2023, 26, e202300476. [Google Scholar] [CrossRef]
- Liu, Y.; Zhu, L.; Li, X.; Cui, Y.; Roosta, A.; Feng, J.; Chen, X.; Yao, P.; Wu, Q.; Zhu, D. Photoredox/Enzymatic Catalysis Enabling Redox-Neutral Decarboxylative Asymmetric C-C Coupling for Asymmetric Synthesis of Chiral 1,2-Amino Alcohols. JACS Au 2023, 3, 3005–3013. [Google Scholar] [CrossRef] [PubMed]
- Wang, T.C.; Mai, B.K.; Zhang, Z.; Bo, Z.; Li, J.; Liu, P.; Yang, Y. Stereoselective Amino Acid Synthesis by Photobiocatalytic Oxidative Coupling. Nature 2024, 629, 98–104. [Google Scholar] [CrossRef]
- Wang, T.C.; Zhang, Z.; Rao, G.; Li, J.; Shirah, J.; Britt, R.D.; Zhu, Q.; Yang, Y. Threonine Aldolase-Catalyzed Enantioselective α-Alkylation of Amino Acids through Unconventional Photoinduced Radical Initiation. J. Am. Chem. Soc. 2024, 146, 22476–22484. [Google Scholar] [CrossRef]
- Harrison, W.; Jiang, G.; Zhang, Z.; Li, M.; Chen, H.; Zhao, H. Photoenzymatic Asymmetric Hydroamination for Chiral Alkyl Amine Synthesis. J. Am. Chem. Soc. 2024, 146, 10716–10722. [Google Scholar] [CrossRef]
- Aleku, G.A.; France, S.P.; Man, H.; Mangas-Sanchez, J.; Montgomery, S.L.; Sharma, M.; Leipold, F.; Hussain, S.; Grogan, G.; Turner, N.J. A Reductive Aminase from Aspergillus Oryzae. Nat. Chem. 2017, 9, 961–969. [Google Scholar] [CrossRef]
- Weise, N.J.; Parmeggiani, F.; Ahmed, S.T.; Turner, N.J. The Bacterial Ammonia Lyase EncP: A Tunable Biocatalyst for the Synthesis of Unnatural Amino Acids. J. Am. Chem. Soc. 2015, 137, 12977–12983. [Google Scholar] [CrossRef]
- Weise, N.J.; Thapa, P.; Ahmed, S.T.; Heath, R.S.; Parmeggiani, F.; Turner, N.J.; Flitsch, S.L. Bi-Enzymatic Conversion of Cinnamic Acids to 2-Arylethylamines. ChemCatChem 2020, 12, 995–998. [Google Scholar] [CrossRef]
- D’Arrigo, P.; Cerioli, L.; Fiorati, A.; Servi, S.; Viani, F.; Tessaro, D. Naphthyl-l-α-Amino Acids via Chemo-Enzymatic Dynamic Kinetic Resolution. Tetrahedron Asymmetry 2012, 23, 938–944. [Google Scholar] [CrossRef]
- Betke, T.; Rommelmann, P.; Oike, K.; Asano, Y.; Gröger, H. Cyanid-freie Und Breit Anwendbare Enantioselektive Syntheseplattform Für Chirale Nitrile Durch Einen Biokatalytischen Zugang. Angew. Chem. 2017, 129, 12533–12538. [Google Scholar] [CrossRef]
- Cho, I.; Prier, C.K.; Jia, Z.; Zhang, R.K.; Görbe, T.; Arnold, F.H. Enantioselective Aminohydroxylation of Styrenyl Olefins Catalyzed by an Engineered Hemoprotein. Angew. Chem. 2019, 131, 3170–3174. [Google Scholar] [CrossRef]
- Han, S.W.; Choi, Y.; Jang, Y.; Kim, J.S.; Shin, J.S. One-Pot Biosynthesis of Aromatic D-Amino Acids and Neuroactive Monoamines via Enantioselective Decarboxylation under in Situ Product Removal Using Ion Exchange Resin. Biochem. Eng. J. 2022, 185, 108466. [Google Scholar] [CrossRef]
- Xu, F.; Kosjek, B.; Cabirol, F.L.; Chen, H.; Desmond, R.; Park, J.; Gohel, A.P.; Collier, S.J.; Smith, D.J.; Liu, Z.; et al. Synthesis of Vibegron Enabled by a Ketoreductase Rationally Designed for High PH Dynamic Kinetic Reduction. Angew. Chem.-Int. Ed. 2018, 57, 6863–6867. [Google Scholar] [CrossRef]
- Wang, Y.; Subrizi, F.; Carter, E.M.; Sheppard, T.D.; Ward, J.M.; Hailes, H.C. Enzymatic Synthesis of Benzylisoquinoline Alkaloids Using a Parallel Cascade Strategy and Tyrosinase Variants. Nat. Commun. 2022, 13, 5436. [Google Scholar] [CrossRef]











































































Disclaimer/Publisher’s Note: The statements, opinions and data contained in all publications are solely those of the individual author(s) and contributor(s) and not of MDPI and/or the editor(s). MDPI and/or the editor(s) disclaim responsibility for any injury to people or property resulting from any ideas, methods, instructions or products referred to in the content. |
© 2024 by the authors. Licensee MDPI, Basel, Switzerland. This article is an open access article distributed under the terms and conditions of the Creative Commons Attribution (CC BY) license (https://creativecommons.org/licenses/by/4.0/).
Share and Cite
Manchado, A.; García-González, Á.; Nieto, C.T.; Díez, D.; Garrido, N.M. Asymmetric Synthesis of 2-Arylethylamines: A Metal-Free Review of the New Millennium. Molecules 2024, 29, 5729. https://doi.org/10.3390/molecules29235729
Manchado A, García-González Á, Nieto CT, Díez D, Garrido NM. Asymmetric Synthesis of 2-Arylethylamines: A Metal-Free Review of the New Millennium. Molecules. 2024; 29(23):5729. https://doi.org/10.3390/molecules29235729
Chicago/Turabian StyleManchado, Alejandro, Ángel García-González, Carlos T. Nieto, David Díez, and Narciso M. Garrido. 2024. "Asymmetric Synthesis of 2-Arylethylamines: A Metal-Free Review of the New Millennium" Molecules 29, no. 23: 5729. https://doi.org/10.3390/molecules29235729
APA StyleManchado, A., García-González, Á., Nieto, C. T., Díez, D., & Garrido, N. M. (2024). Asymmetric Synthesis of 2-Arylethylamines: A Metal-Free Review of the New Millennium. Molecules, 29(23), 5729. https://doi.org/10.3390/molecules29235729

