Sign in to use this feature.

Years

Between: -

Subjects

remove_circle_outline
remove_circle_outline
remove_circle_outline
remove_circle_outline
remove_circle_outline

Journals

Article Types

Countries / Regions

Search Results (91)

Search Parameters:
Keywords = peritoneal spreading

Order results
Result details
Results per page
Select all
Export citation of selected articles as:
28 pages, 987 KB  
Article
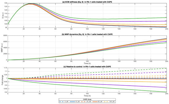
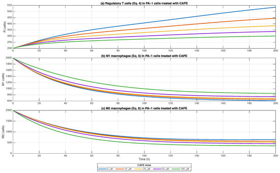
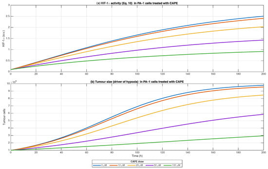
Digital Twin Meets the Bench: Natural Compounds Reshape the Ovarian Cancer Microenvironment
by Anna Kleczka, Radosław Dzik and Agata Kabała-Dzik
Biomedicines 2025, 13(12), 3119; https://doi.org/10.3390/biomedicines13123119 - 18 Dec 2025
Abstract
Background: Malignant ovarian tumours are most often detected at an advanced stage, when peritoneal dissemination across abdominal organs is already present. Metastasis in ovarian cancer arises from complex interactions between cancer cells and diverse components of the tumour microenvironment (TME), including extracellular [...] Read more.
Background: Malignant ovarian tumours are most often detected at an advanced stage, when peritoneal dissemination across abdominal organs is already present. Metastasis in ovarian cancer arises from complex interactions between cancer cells and diverse components of the tumour microenvironment (TME), including extracellular matrix elements, fibroblasts, adipocytes, mesenchymal cells and leukocytes. This dynamic niche drives tumour progression, invasiveness and immunosuppression through cytokine- and chemokine-mediated signalling. A deeper understanding of these interactions may enable targeted modulation of the TME and help limit metastatic spread. Methods: In this study, using immunoenzymatic assays and a computational digital twin—a mechanistic, ODE-based in silico model that replicates key cellular and microenvironmental processes—we investigated whether and how caffeic acid phenethyl ester (CAPE) influences TME activation, cytokine and growth factor levels, and extracellular matrix remodelling. Results: Our findings show that CAPE modulates both pro- and antitumourigenic signalling pathways across immune, stromal and hypoxia-related axes, suggesting its potential to reshape the ovarian cancer microenvironment and improve therapeutic outcomes in this challenging malignancy. Conclusions: Taken together, these results indicate that CAPE may serve as a multifaceted modulator capable of simultaneously targeting tumour cells and their microenvironment, offering a promising avenue for enhancing therapeutic strategies in ovarian cancer. Full article
(This article belongs to the Special Issue Gynecological Diseases in Cellular and Molecular Perspectives)
Show Figures

Figure 1

16 pages, 1267 KB  
Review
The Role of Microbiota in Ovarian Cancer: Implications for Treatment Response and Therapeutic Strategies
by Jose-Ramon Blanco, Rosa del Campo, José Avendaño-Ortiz, Mariano Laguna-Olmos and Amancio Carnero
Cells 2025, 14(22), 1813; https://doi.org/10.3390/cells14221813 - 19 Nov 2025
Viewed by 743
Abstract
Cancer remains a global health challenge (18.1 million new cases in 2020), with incidence projected to reach 28 million within two decades. Ovarian cancer (OC) is the deadliest gynecologic malignancy, usually diagnosed at advanced stages and with poorly understood etiology. Emerging evidence implicates [...] Read more.
Cancer remains a global health challenge (18.1 million new cases in 2020), with incidence projected to reach 28 million within two decades. Ovarian cancer (OC) is the deadliest gynecologic malignancy, usually diagnosed at advanced stages and with poorly understood etiology. Emerging evidence implicates reproductive tract and gut microbiota in OC biology. Microbiota shape carcinogenesis via turnover, immunity, and metabolism; dysbiosis promotes DNA damage, inflammation, and carcinogenic metabolites, engaging multiple hallmarks of cancer. In OC, microbes may reach tumors by local ascent, translocation, or hematogenous spread, originating from vagina, upper reproductive tract, peritoneal fluid, or gut. Lactobacillus-dominant vaginal communities support mucosal integrity, whereas anaerobes disrupt barriers, increase inflammation, and correlate with OC risk; mouse models show vaginal dysbiosis accelerates tumor progression. Distinct microbial profiles in upper reproductive sites and peritoneal fluid associated with immune remodeling. Gut dysbiosis drives barrier loss, immune imbalance, and estrogen reactivation. Microbial metabolites (lipopolysaccharides, short-chain fatty acids) modulate oncogenic pathways, altering epithelial–mesenchymal transition, immune evasion, and drug resistance. Across cohorts, OC tissues and fluids show Pseudomonadota/Bacteroidota enrichment and Akkermansia depletion; fecal microbiota from OC patients accelerates tumor growth in mice, whereas Akkermansia supplementation restores antitumor immunity. Antibiotic exposure and platinum resistance associate with reduced diversity and expansion of lactate-producing taxa. Microbiome-informed interventions–diet, probiotics/postbiotics, fecal microbiota transfer, and selective antibiotics–may augment chemotherapy and immunotherapy. Overall, the microbiome is a modifiable determinant of OC risk, progression, and treatment response, warranting rigorous, standardized, multi-omics studies. Full article
Show Figures

Figure 1

14 pages, 2826 KB  
Article
PD-1 Expression in Endometriosis
by José Lourenço Reis, Catarina Martins, Miguel Ângelo-Dias, Natacha Nurdine Rosa, Luís Miguel Borrego and Jorge Lima
Immuno 2025, 5(4), 49; https://doi.org/10.3390/immuno5040049 - 17 Oct 2025
Viewed by 916
Abstract
Background: Endometriosis, believed by many to be rooted in immunology, is a chronic disease. Upregulation of programmed cell death protein 1 (PD-1) in immune cells may compromise their defensive function, a mechanism demonstrated in the context of cancer spread. This study aims to [...] Read more.
Background: Endometriosis, believed by many to be rooted in immunology, is a chronic disease. Upregulation of programmed cell death protein 1 (PD-1) in immune cells may compromise their defensive function, a mechanism demonstrated in the context of cancer spread. This study aims to explore the potential involvement of PD-1 in the pathophysiology and progression of endometriosis. A total of 62 patients who underwent laparoscopic surgery were analyzed, with 47 diagnosed with endometriosis and 15 serving as controls. We collected peritoneal fluid and peripheral blood samples during surgery and examined them using flow cytometry. Using a panel of monoclonal antibodies, the samples were stained and the expression of PD-1 in immune cells was evaluated. Results: We observed a statistically significant rise in the percentage of the CD56+ CD16+ NK cell subset expressing PD-1 within the peritoneal fluid of endometriosis patients compared to the control group (p = 0.021). Similarly, we found that PD-1 expression on immune cells significantly differed based on factors such as body mass index and smoking habits. Moreover, peritoneal subsets of PD-1+ T and NK cells showed an increase in patients presenting symptomatic endometriosis and those with more widespread disease. Conclusions: Our evaluation of the inhibitory PD-1 receptor has strengthened the potential connection between immune escape mechanisms often seen in cancer cells and those in endometriotic cells. This concept could pave the way for future research in the field of immunomodulation and endometriosis. Full article
(This article belongs to the Section Reproductive Immunology)
Show Figures

Figure 1

16 pages, 875 KB  
Review
Preoperative Assessment of Surgical Resectability in Ovarian Cancer Using Ultrasound: A Narrative Review Based on the ISAAC Trial
by Juan Luis Alcázar, Cristian Morales, Carolina Venturo, Florencia de la Maza, Laura Lucio, Manuel Lozano, José Carlos Vilches, Rodrigo Orozco and Manuela Ludovisi
Onco 2025, 5(4), 46; https://doi.org/10.3390/onco5040046 - 16 Oct 2025
Viewed by 767
Abstract
Background: Ovarian cancer remains a major contributor to cancer-related morbidity and mortality worldwide. Primary cytoreductive surgery is the cornerstone of treatment, and accurate preoperative assessment of tumor resectability is critical to guiding optimal therapeutic strategies in patients with advanced tubo-ovarian cancer. Methods: [...] Read more.
Background: Ovarian cancer remains a major contributor to cancer-related morbidity and mortality worldwide. Primary cytoreductive surgery is the cornerstone of treatment, and accurate preoperative assessment of tumor resectability is critical to guiding optimal therapeutic strategies in patients with advanced tubo-ovarian cancer. Methods: A narrative review about the role of ultrasound for assessing tumor spread and prediction of tumor resectability was performed. Results: The ISAAC study represents the largest prospective multicenter trial to date comparing the diagnostic performance of ultrasound (US), computed tomography (CT), and whole-body diffusion-weighted magnetic resonance imaging (WB-DWI/MRI) in predicting non-resectability, using surgical and histopathological findings as the reference standard. Key strengths of the study include the use of standardized imaging and intraoperative reporting protocols across ESGO-accredited high-volume oncologic centers. All three imaging modalities were performed within four weeks prior to surgery by independent, blinded expert operators. US demonstrated diagnostic accuracy comparable to that of CT and WB-DWI/MRI. The study also defined modality-specific thresholds for the Peritoneal Cancer Index (PCI) and Predictive Index Value (PIV), offering quantitative tools to support surgical decision-making. A noteworthy secondary finding was patient preference: in a cohort of 144 participants who underwent all three imaging modalities, nearly half preferred US, while WB-DWI/MRI was the least favored due to discomfort and examination duration. Conclusions: The ISAAC study represents a significant advancement in imaging-based prediction of surgical non-resectability in tubo-ovarian cancer. Its findings suggest that, in expert hands, ultrasound can match or even surpass cross-sectional imaging for preoperative staging, supporting its integration into routine clinical practice, particularly in resource-constrained settings. Full article
Show Figures

Figure 1

8 pages, 1017 KB  
Case Report
Isolated Phlegmon of the Round Ligament of the Liver: Clinical Decision-Making in the Context of Lemmel’s Syndrome—A Case Report
by Georgi Popivanov, Marina Konaktchieva, Roberto Cirocchi, Desislava Videva and Ventsislav Mutafchiyski
Reports 2025, 8(4), 192; https://doi.org/10.3390/reports8040192 - 29 Sep 2025
Viewed by 477
Abstract
Background and Clinical Significance: The pathology of the round ligament (RL) is rare and often remains in the shadow of common surgical emergencies. The preoperative diagnosis is challenging, leaving the surgeon perplexed as to whether and when to operate. The presented case [...] Read more.
Background and Clinical Significance: The pathology of the round ligament (RL) is rare and often remains in the shadow of common surgical emergencies. The preoperative diagnosis is challenging, leaving the surgeon perplexed as to whether and when to operate. The presented case deserves attention due to the difficult decision to operate based solely on the clinical picture, despite negative imaging diagnostic results. Case presentation: A 76-year-old woman was admitted to the Emergency Department with 6 h complaints of epigastric pain, nausea, and vomiting. She was afebrile with stable vital signs. The abdomen was slightly tender in the epigastrium, without rebound tenderness or guarding. The following blood variables were beyond the normal range: WBC—13.5 × 109/L; total bilirubin 26 mmol/L; amylase—594 U/L; CRP 11.4 mg/L; ASAT—158 U/L; and ALAT—95 U/L. The ultrasound (US) and multislice computed tomography (MSCT) of the abdomen were normal. A working diagnosis of acute pancreatitis was established, and intravenous infusions were initiated. The next day, the patient became hemodynamically unstable with blood pressure 80/60 mm Hg, heart rate 130/min, chills and fever of 39.5 °C, and oliguria. There was remarkable guarding and rebound tenderness in the epigastrium. The blood analysis revealed the following: WBC—9.9 × 109/L; total bilirubin—76 µmol/L; direct bilirubin—52 µmol/L; amylase—214 U/L; CRP 245 mg/L; ASAT—161 U/L; ALAT—132 U/L; GGT—272 U/L; urea—15.7 mmol/L; and creatinine—2.77 mg/dL. She was taken to the operating room for exploration, which revealed local peritonitis and phlegmon of the RL. Resection of the RL was performed. The microbiological analysis showed Klebsiella varicola. The patient had an uneventful recovery and was discharged on the 5th postoperative day. In the next months, the patients had several readmissions due to mild cholestasis and pancreatitis. The magnetic resonance demonstrated a duodenal diverticulum adjacent to the papilla, located near the junction of the common bile and pancreatic duct. This clinical manifestation and the location of the diverticulum were suggestive of Lemmel’s syndrome, but a papillary dysfunction attributed to the diverticulum or food stasis cannot be excluded. Conclusion: To our knowledge, we report the first association between RL gangrene and Lemmel’s syndrome. We speculate that duodenal diverticulitis with lymphatic spread of the infection or transient bacteriemia in the bile with bacterial translocation due to papillary dysfunction, as well as cholestasis resulting from the diverticulum, could be plausible and unreported causes of the RL infection. The preoperative diagnosis of RL gangrene is challenging because it resembles the most common emergency conditions in the upper abdomen. The present case warrants attention due to the difficult decision to operate based solely on the clinical picture, despite negative imaging results. A high index of suspicion should be maintained in a case of unexplained septic shock and epigastric tenderness, even in negative imaging findings. MSCT, however, is a valuable tool to avert unnecessary operations in conditions that must be managed conservatively, such as acute pancreatitis. Full article
(This article belongs to the Section Surgery)
Show Figures

Figure 1

17 pages, 2050 KB  
Article
Bidirectional Neoadjuvant Chemotherapy for Patients with Gastric Cancer and Synchronous Peritoneal Metastases (GCPMs): Results of a Western Phase II Study
by Daniele Biacchi, Marco Angrisani, Vincenzo Picone, Daniele Scuto, Maria Gloria Gallotti, Fabio Accarpio, Franco Iafrate, Giorgio Masci, Immacolata Iannone, Alessandra Spagnoli and Paolo Sammartino
J. Clin. Med. 2025, 14(18), 6518; https://doi.org/10.3390/jcm14186518 - 16 Sep 2025
Viewed by 882
Abstract
Background: The outcomes of patients with peritoneal metastases from gastric cancer (GCPMs) remain dismal, with an overall survival (OS) of less than 1 year. Approaches reported from East Asia include normothermic intraperitoneal systemic chemotherapy, aimed at downstaging the disease, allowing an R0 resection. [...] Read more.
Background: The outcomes of patients with peritoneal metastases from gastric cancer (GCPMs) remain dismal, with an overall survival (OS) of less than 1 year. Approaches reported from East Asia include normothermic intraperitoneal systemic chemotherapy, aimed at downstaging the disease, allowing an R0 resection. This is the first Western study evaluating a bidirectional regimen in a neoadjuvant setting of GCPMs. This phase II study evaluates the tolerability, efficacy and conversion surgery rate. Methods: Patients with PCI < 13 without ascites or HER2 overexpression and no extraperitoneal spread were enrolled starting in January 2018. After staging laparoscopy combined with PIPAC (cisplatin + doxorubicin), NIPS began following Yonemura’s schedule: cisplatin (30 mg/m2) + docetaxel (30 mg/m2), intraperitoneally (day 1); capecitabine 1000 mg/m2, orally (days 2–15); and cisplatin (30 mg/m2) + docetaxel (30 mg/m2), intravenous (day 8). After three cycles, patients with no progressive disease and negative peritoneal cytology underwent cytoreductive surgery (CRS) combined with hyperthermic intraperitoneal chemotherapy (HIPEC). Three additional NIPS cycles were reserved for patients who underwent surgery. Results: Among the 25 treated patients with 17.3-month (95%CI: 10.4; NA) OS, no adverse events (CTCAE) ≥ G3 arose. With a 52% conversion surgery rate, 13 patients underwent CRS combined with HIPEC (cisplatin 100 mg/m2), 10 with CC0 status 3 with CC experienced no operative mortality, and major complications rated Clavien–Dindo IIIB occurred in 2 patients (15.4%). The median OS for patients undergoing surgery was 26 (95%CI: 23.1; NA) months, with progression-free survival of 20 (95%CI: 16.7–NA) months. Conclusions: NIPS is safe and effective. The conversion rate in our Western patients is comparable to that reported in Eastern Asian countries. Full article
(This article belongs to the Special Issue Advances in Gastric Cancer and Peritoneal Diseases)
Show Figures

Figure 1

14 pages, 496 KB  
Article
The Significance of CEA and CA 19-9 Levels in Serum and Peritoneal Fluid in Colorectal Cancer Patients in the Context of Peritoneal Metastases and Cytology Results
by Michał Bąk, Magdalena Wojciech, Roman Monczak, Marek Zawadzki and Dawid Murawa
Cancers 2025, 17(16), 2661; https://doi.org/10.3390/cancers17162661 - 15 Aug 2025
Viewed by 2650
Abstract
Background/Objectives: Colorectal cancer (CRC) frequently metastasizes to the peritoneum, significantly worsening patient prognosis. While serum tumor markers such as carcinoembryonic antigen (CEA) and carbohydrate antigen 19-9 (CA 19-9) are routinely measured, their diagnostic or prognostic role in peritoneal fluid remains unclear. This study [...] Read more.
Background/Objectives: Colorectal cancer (CRC) frequently metastasizes to the peritoneum, significantly worsening patient prognosis. While serum tumor markers such as carcinoembryonic antigen (CEA) and carbohydrate antigen 19-9 (CA 19-9) are routinely measured, their diagnostic or prognostic role in peritoneal fluid remains unclear. This study aimed to assess the relationship between CEA and CA 19-9 levels in both serum and peritoneal fluid, and the clinical stage of CRC, particularly focusing on the presence of peritoneal metastases and positive cytology. Methods: We retrospectively analyzed data from 89 patients with histologically confirmed CRC who underwent surgery between 2020 and 2023. All patients had preoperative assessment of CEA and CA 19-9 levels in serum and peritoneal fluid, along with cytological examination of peritoneal fluid samples. Patients were categorized based on the presence or absence of macroscopic peritoneal metastases and cytology results. Results: Elevated levels of CEA and CA 19-9 in peritoneal fluid were significantly associated with the presence of peritoneal metastases. A positive cytological finding also correlated with higher marker concentrations. Conclusions: CEA and CA 19-9 levels in peritoneal fluid strongly correlate with peritoneal dissemination in CRC. These markers may serve as additional predictive factors, aiding in early detection of peritoneal spread and improved risk stratification. Their assessment may be useful in guiding intraoperative and postoperative decision-making. Full article
(This article belongs to the Special Issue The Role of Circulating Tumor Cells in Colorectal Cancer)
Show Figures

Figure 1

15 pages, 2410 KB  
Article
Multiple Instance Learning for the Detection of Lymph Node and Omental Metastases in Carcinoma of the Ovaries, Fallopian Tubes and Peritoneum
by Katie E. Allen, Jack Breen, Geoff Hall, Georgia Mappa, Kieran Zucker, Nishant Ravikumar and Nicolas M. Orsi
Cancers 2025, 17(11), 1789; https://doi.org/10.3390/cancers17111789 - 27 May 2025
Viewed by 942
Abstract
Background/Objectives: Surgical pathology of tubo-ovarian and peritoneal cancer carries a well-recognised diagnostic workload, partly due to the large amount of non-primary tumour-related tissue requiring assessment for the presence of metastatic disease. The lymph nodes and omentum are almost universally included in such [...] Read more.
Background/Objectives: Surgical pathology of tubo-ovarian and peritoneal cancer carries a well-recognised diagnostic workload, partly due to the large amount of non-primary tumour-related tissue requiring assessment for the presence of metastatic disease. The lymph nodes and omentum are almost universally included in such resection cases and contribute considerably to this burden, principally due to volume rather than task complexity. To date, artificial intelligence (AI)-based studies have reported good success rates in identifying nodal spread in other malignancies, but the development of such time-saving assistive digital solutions has been neglected in ovarian cancer. This study aimed to detect the presence or absence of metastatic ovarian carcinoma in the lymph nodes and omentum. Methods: We used attention-based multiple-instance learning (ABMIL) with a vision-transformer foundation model to classify whole-slide images (WSIs) as either containing ovarian carcinoma metastases or not. Training and validation were conducted with a total of 855 WSIs of surgical resection specimens collected from 404 patients at Leeds Teaching Hospitals NHS Trust. Results: Ensembled classification from hold-out testing reached an AUROC of 0.998 (0.985–1.0) and a balanced accuracy of 100% (100.0–100.0%) in the lymph node set, and an AUROC of 0.963 (0.911–0.999) and a balanced accuracy of 98.0% (94.8–100.0%) in the omentum set. Conclusions: This model shows great potential in the identification of ovarian carcinoma nodal and omental metastases, and could provide clinical utility through its ability to pre-screen WSIs prior to histopathologist review. In turn, this could offer significant time-saving benefits and streamline clinical diagnostic workflows, helping to address the chronic staffing shortages in histopathology. Full article
Show Figures

Figure 1

11 pages, 791 KB  
Article
Reducing Peritoneal Cell Dissemination in Laparoscopic Uterine Surgery: A Comparative Pilot Study on Morcellation Techniques and Peritoneal Irrigation
by Lorenz Kuessel, Lejla Sandrieser, Gerda Hofstetter, Florian Heinzl, Michal Mara, Adéla Richtárová, Eliana Montanari, René Wenzl, Alexandra Perricos-Hess and Heinrich Husslein
J. Clin. Med. 2025, 14(10), 3383; https://doi.org/10.3390/jcm14103383 - 13 May 2025
Viewed by 977
Abstract
Following the U.S. Food and Drug Administration’s warning against power morcellators due to potential cell dissemination of occult malignancy, there has been a shift away from minimally invasive approaches. This concern also overshadows the well-documented advantages of minimally invasive surgery in benign gynecology. [...] Read more.
Following the U.S. Food and Drug Administration’s warning against power morcellators due to potential cell dissemination of occult malignancy, there has been a shift away from minimally invasive approaches. This concern also overshadows the well-documented advantages of minimally invasive surgery in benign gynecology. Objectives: To evaluate whether intraperitoneal cell dissemination during laparoscopic surgery for uterine fibroids can be reduced by (i) the choice of morcellation method and/or (ii) copious irrigation after the procedure. Methods: This prospective multicenter comparative pilot study included 72 women undergoing laparoscopic myomectomy (LM) or total laparoscopic hysterectomy (TLH) for benign conditions. Women were divided into four groups in order to compare different types of morcellation, including a reference group without morcellation: (i) LM with power morcellation (n = 21, Group A), (ii) TLH with en-bloc transvaginal tissue removal without morcellation (n = 17, Group B), (iii) TLH with manual vaginal morcellation (n = 19, Group C), and (iv) TLH with contained manual vaginal morcellation (n = 15, Group D). Patients receiving cold knife morcellation were randomized into Groups C or D. In order to assess cell spread before surgery, after surgery but before morcellation, after morcellation, and after abdominal irrigation with a total of 3000 mL saline solution, peritoneal washings were collected at six timepoints. Results: After specimen removal (TP3), cell spread was significantly higher in cases with power morcellation [13/19 (68%) in Group A] compared to transvaginal cold knife morcellation, both contained and uncontained [Group C 1/14 (7%) and Group D 1/19 (9%)] (p < 0.001), or to TLH with en bloc removal [Group B 1/17 (6%)]. Saline irrigation reduced the positive cytologies. After 3000 mL (TP6), the difference between Group A and the TLH groups was not significant [4/18 (22%) vs. 3/45 (7%), p = 0.079]. Conclusions: Our study shows that (i) transvaginal cold knife morcellation results in significantly less peritoneal cell dissemination than power morcellation, and (ii) peritoneal irrigation with 3000 mL of saline significantly reduces residual cell presence. These findings could support maintaining minimally invasive approaches while addressing safety concerns. Full article
(This article belongs to the Special Issue Advances in the Surgical Management of Gynecological Malignancies)
Show Figures

Figure 1

22 pages, 37030 KB  
Review
The Many Faces of the Angry Peritoneum
by Maria Chiara Ambrosetti, Matilde Bariani, Giulia Angela Zamboni, Riccardo Valletta and Matteo Bonatti
Diagnostics 2025, 15(9), 1163; https://doi.org/10.3390/diagnostics15091163 - 3 May 2025
Cited by 1 | Viewed by 2226
Abstract
The peritoneum is a thin membrane that lines the abdominal cavity and covers the abdominal organs. It serves as a conduit for the spread of various pathological processes, including gas and fluid collections, inflammation, infections, and neoplastic conditions. Peritoneal carcinomatosis is the most [...] Read more.
The peritoneum is a thin membrane that lines the abdominal cavity and covers the abdominal organs. It serves as a conduit for the spread of various pathological processes, including gas and fluid collections, inflammation, infections, and neoplastic conditions. Peritoneal carcinomatosis is the most common and well-known pathology involving the peritoneum, typically resulting from the dissemination of gastrointestinal and pelvic malignancies. However, numerous benign and malignant peritoneal diseases can mimic the imaging appearance of peritoneal carcinomatosis. The aim of this review is to revisit the anatomy of peritoneal compartments and elucidate the patterns of peritoneal disease spread. Emphasis is placed on identifying the distinctive imaging features of both neoplastic and non-neoplastic peritoneal diseases that differ from peritoneal carcinomatosis. Full article
(This article belongs to the Section Medical Imaging and Theranostics)
Show Figures

Figure 1

32 pages, 15039 KB  
Article
Enhanced Expression of Mitochondrial Magmas Protein in Ovarian Carcinomas: Magmas Inhibition Facilitates Antitumour Effects, Signifying a Novel Approach for Ovarian Cancer Treatment
by Ali Raza, Ashfaqul Hoque, Rodney Luwor, Ruth M. Escalona, Jason Kelly, Revati Sharma, Fadi Charchar, Simon Chu, Mary K. Short, Paul T. Jubinsky, George Kannourakis and Nuzhat Ahmed
Cells 2025, 14(9), 655; https://doi.org/10.3390/cells14090655 - 29 Apr 2025
Viewed by 1369
Abstract
Mitochondrial-associated granulocyte macrophage colony-stimulating factor (Magmas) is a unique protein located in the inner membrane of mitochondria, with an active role in scavenging reactive oxygen species (ROS) in cellular systems. Ovarian cancer (OC), one of the deadliest gynaecological cancers, is characterised by genomic [...] Read more.
Mitochondrial-associated granulocyte macrophage colony-stimulating factor (Magmas) is a unique protein located in the inner membrane of mitochondria, with an active role in scavenging reactive oxygen species (ROS) in cellular systems. Ovarian cancer (OC), one of the deadliest gynaecological cancers, is characterised by genomic instability, affected by ROS production in the tumour microenvironment. This manuscript discusses the role of Magmas and efficacy of its novel small molecule inhibitor BT#9 in OC progression, metastasis, and chemoresistance. Magmas expression levels were significantly elevated in high-grade human OC compared to benign tumours by immunohistochemistry. The inhibition of Magmas by BT#9 enhanced ROS production and reduced mitochondrial membrane permeability, basal respiration, mitochondrial ATP production, and cellular functions, such as the proliferation and migration of OC cell lines in vitro. Oral administration of BT#9 in vivo significantly reduced tumour growth and spread and enhanced the survival of mice without having any effect on the peritoneal organs. These data suggest that Magmas is functionally important for OC growth and spread by affecting ROS levels and that the inhibition of Magmas activity by BT#9 may provide novel clinical benefits for patients with this malignancy. Full article
(This article belongs to the Special Issue Mitochondria and Metabolism in Cancer Stem Cells (CSCs))
Show Figures

Graphical abstract

9 pages, 397 KB  
Article
Challenges of Nontherapeutic Laparotomy in Patients with Peritoneal Surface Malignancies Selected for Cytoreductive Surgery and Hyperthermic Intraperitoneal Chemotherapy
by Elena Gil-Gómez, Alida González-Gil, Vicente Olivares-Ripoll, Álvaro Cerezuela-Fernández de Palencia, Francisco López-Hernández, Álvaro Martínez-Espí, Jerónimo Martínez-García, Francisco Barceló, Alberto Rafael Guijarro-Campillo and Pedro Antonio Cascales-Campos
Cancers 2025, 17(9), 1445; https://doi.org/10.3390/cancers17091445 - 25 Apr 2025
Viewed by 839
Abstract
Background: This study aimed to analyze the morbidity, mortality, and survival outcomes in patients with peritoneal surface malignancies who were initially considered candidates for cytoreductive surgery (CRS) with hyperthermic intraperitoneal chemotherapy (HIPEC) but were found to have unresectable disease, resulting in nontherapeutic exploratory [...] Read more.
Background: This study aimed to analyze the morbidity, mortality, and survival outcomes in patients with peritoneal surface malignancies who were initially considered candidates for cytoreductive surgery (CRS) with hyperthermic intraperitoneal chemotherapy (HIPEC) but were found to have unresectable disease, resulting in nontherapeutic exploratory laparotomy. Patients and Methods: We evaluated data from our referral center for the treatment of peritoneal surface malignancies between January 2008 and December 2022. Adverse events following nontherapeutic laparotomy were classified using the National Cancer Institute Common Terminology Criteria for Adverse Events, version 4.0. Results: Among a cohort of 486 patients with peritoneal surface malignancies initially considered candidates for CRS + HIPEC, 46 cases (9.4%) were aborted due to the disease being deemed unresectable during exploratory laparotomy. The primary reasons for unresectability included extensive disease spread, observed in 28 patients, with massive small intestine involvement detected in 13 of these cases. The median duration of surgery was 90 min (range: 60–180 min). Postoperative complications occurred in 10 patients (22%), with a mortality rate of 4.3% (2 patients). Survival was significantly lower in patients who did not receive adjuvant systemic chemotherapy with palliative intent (4 months vs. 15 months, p < 0.01). Conclusions: Exploratory laparotomy in patients with peritoneal surface malignancies considered for CRS with HIPEC carries a substantial risk of complications. Improved preoperative staging using advanced technologies such as radiomics and laparoscopy is expected to reduce the number of patients undergoing nontherapeutic laparotomy. Full article
(This article belongs to the Special Issue Advances in Abdominal Surgical Oncology and Intraperitoneal Therapies)
Show Figures

Figure 1

18 pages, 3278 KB  
Article
Cell Migration in Endometriosis Responds to Omentum-Derived Molecular Cues Similar to Ovarian Cancer
by Kah Yee Goh, Su Chin Tham, Terence You De Cheng, Ravichandran Nadarajah, Ronald Chin Hong Goh, Shing Lih Wong, Tew Hong Ho, Ghee Kheng Chew, Andy Wei Keat Tan, Hemashree Rajesh, Hong Liang Chua, Tze Tein Yong, Su Ling Yu, Jia Min Kang, Kah Weng Lau, Amos Zhi En Tay, Sangeeta Mantoo, Inny Busmanis, Sung Hock Chew, Timothy Yong Kuei Lim, Wai Loong Wong, Qiu Ju Ng, Junjie Wang, Sun Kuie Tay, Chit Fang Cheok, Darren Wan-Teck Lim and Elaine Hsuen Limadd Show full author list remove Hide full author list
Int. J. Mol. Sci. 2025, 26(5), 1822; https://doi.org/10.3390/ijms26051822 - 20 Feb 2025
Cited by 1 | Viewed by 1671
Abstract
Endometriosis is common and poses significant morbidity of lasting impact to young, pre-menopausal women, while ovarian cancer is a lethal gynecologic condition. Both conditions need better treatment. The human omentum is an apron of adipose tissue in the abdominopelvic cavity, the same space [...] Read more.
Endometriosis is common and poses significant morbidity of lasting impact to young, pre-menopausal women, while ovarian cancer is a lethal gynecologic condition. Both conditions need better treatment. The human omentum is an apron of adipose tissue in the abdominopelvic cavity, the same space in which endometriosis and ovarian cancer manifest. We aim to determine molecular cues emitted by the omentum that aid the trans-coelomic spread of endometriosis and ovarian cancer in the abdomen–pelvic/peritoneal space. Endometriosis and ovarian cancer patients were prospectively recruited. Primary cell cultures of surgically-resected omentum, endometriosis and ovarian cancer were generated, and conditioned media (CM) from the omentum was derived. They were used for in vitro assays to evaluate the effect of the omentum on cell migration, angiogenesis and proliferation in endometriosis and ovarian cancer. Omental CM promoted cell migration in primary cultures of endometriosis and ovarian cancer. Omental CM contained high levels of HGF, SDF-1a, MCP-1, VEGF-A, IL-6 and IL-8. The observed cell migration was blocked by c-MET inhibition, suggesting that HGF/c-MET signaling mediates cell migration in endometriosis and ovarian cancer. Furthermore, PTTG1 was consistently upregulated in the migrated cells in both endometriosis and ovarian cancer. The omentum provides a favorable environment for trans-coelomic spread of endometriosis and ovarian cancer. HGF, c-MET and PTTG1 are potential therapeutic targets for inhibiting the abdomen–pelvic/peritoneal spread of endometriosis and ovarian cancer. Full article
(This article belongs to the Special Issue Molecular Studies of Endometriosis and Associated Diseases)
Show Figures

Figure 1

12 pages, 703 KB  
Article
An Assessment of the Effectiveness of Preoperative İmaging Modalities (MRI, CT, and 18F-FDG PET/CT) in Determining the Extent of Disease Spread in Epithelial Ovarian–Tubal–Peritoneal Cancer (EOC)
by Hülya Kandemir, Hamdullah Sözen, Merve Gülbiz Kartal, Zeynep Gözde Özkan, Samet Topuz and Mehmet Yavuz Salihoğlu
Medicina 2025, 61(2), 199; https://doi.org/10.3390/medicina61020199 - 23 Jan 2025
Cited by 1 | Viewed by 1511
Abstract
Background and Objectives: Epithelial ovarian–tubal–peritoneal cancer (EOC) is the most common type of ovarian cancer. Optimal cytoreductive surgery is the most important prognostic factor in its management. When complete cytoreduction is anticipated to be challenging, neoadjuvant systemic chemotherapy (NACT) becomes an alternative. [...] Read more.
Background and Objectives: Epithelial ovarian–tubal–peritoneal cancer (EOC) is the most common type of ovarian cancer. Optimal cytoreductive surgery is the most important prognostic factor in its management. When complete cytoreduction is anticipated to be challenging, neoadjuvant systemic chemotherapy (NACT) becomes an alternative. Imaging modalities are utilized in the decision-making process for primary treatment. The purpose of this study is to evaluate the diagnostic performance and accuracy of preoperative MRI, CT, and 18F-FDG PET/CT in detecting the extent of EOC. Materials and Methods: Between 2017 and 2018, 24 patients with primary (with or without neoadjuvant chemotherapy) or recurrent EOC diagnosed at the Department of Gynecologic Oncology, Istanbul University, Istanbul Faculty of Medicine, were enrolled in this study. These 24 women underwent preoperative imaging modalities within 7 days prior to surgery. The results were compared with histopathological findings, considered the gold standard. Results: We evaluated 24 anatomic regions most commonly involved in EOC. The sensitivity of MRI, CT, and PET/CT in detecting ≥ 0.5 cm implants was 95%, 84%, and 86%, respectively. However, when including implants < 0.5 cm, sensitivity decreased significantly to 40%, 38%, and 42%, respectively. The calculated area under the curve (AUC) for tumors, including those < 0.5 cm, was evaluated as weak for all three modalities (MRI: 0.689, CT: 0.678, PET/CT: 0.691), with PET/CT detecting the largest area. For detecting tumors ≥ 0.5 cm, the AUCs were 0.974, 0.921, and 0.923 for MRI, CT, and PET/CT, respectively. The largest AUC was calculated with MRI, and the AUCs for all three methods were evaluated as excellent. Accuracy was comparable among all three imaging modalities, and no statistically significant differences were found (p < 0.05). Conclusions: While imaging modalities are valuable tools for evaluating abdominal spread in epithelial ovarian cancer (EOC), they have demonstrated limited success in detecting miliary disease. The risk of false negatives for miliary tumors on PET/CT may be mitigated by combining it with other imaging modalities such as MRI or CT. Further investigations are necessary to identify more accurate imaging techniques for this challenging clinical scenario. Full article
(This article belongs to the Section Obstetrics and Gynecology)
Show Figures

Figure 1

14 pages, 2547 KB  
Article
Evaluation of LPRDA Pentapeptide for the Prevention and Treatment of Staphylococcus aureus Peritoneal Infection
by Svetlana A. Bozhkova, Ekaterina M. Gordina, Dmitry V. Labutin, Georgy I. Netyl’ko, Polina M. Ivantcova and Konstantin V. Kudryavtsev
Int. J. Mol. Sci. 2024, 25(22), 11926; https://doi.org/10.3390/ijms252211926 - 6 Nov 2024
Viewed by 1603
Abstract
Targeting virulence determinants is a promising approach to controlling S. aureus infections in the face of the global spread of antibiotic resistance. S. aureus-induced peritonitis often occurs in dialysis, implant and trauma patients. To develop novel prevention and treatment options for peritoneal [...] Read more.
Targeting virulence determinants is a promising approach to controlling S. aureus infections in the face of the global spread of antibiotic resistance. S. aureus-induced peritonitis often occurs in dialysis, implant and trauma patients. To develop novel prevention and treatment options for peritoneal infection, we investigated the oligopeptide sortase A inhibitor LPRDA as a non-conventional antibacterial that does not affect staphylococcal survival. Administration of LPRDA prior to S. aureus challenge reduced the bacterial load of internal organs and bacterial colonization of the abdominal cavity in animals. In addition, LPRDA inhibited α-hemolysin production in 80% of the 35 reference and clinical S. aureus strains tested. Consequent research of LPRDA interactions with cefazolin and vancomycin has demonstrated the potential for combined application of the antivirulent and antibiotic agents under study. Full article
(This article belongs to the Section Molecular Microbiology)
Show Figures

Figure 1

Back to TopTop