Digital Twin Meets the Bench: Natural Compounds Reshape the Ovarian Cancer Microenvironment
Abstract
1. Introduction
2. Materials and Methods
2.1. Experimental Cell Line
2.2. Tested Compound
2.3. ELISA Tests
2.4. Statistical Analysis
2.5. Digital Modelling
- logistic growth term: ;
- effector killing proportional to ;
- CAPE enhances effector killing efficiency ;
- CAPE enhances effector proliferation ;
- activation from tumour antigen load item natural death + suppression from Tregs.
2.6. Simulation Parameters
3. Results
3.1. Experimental Results
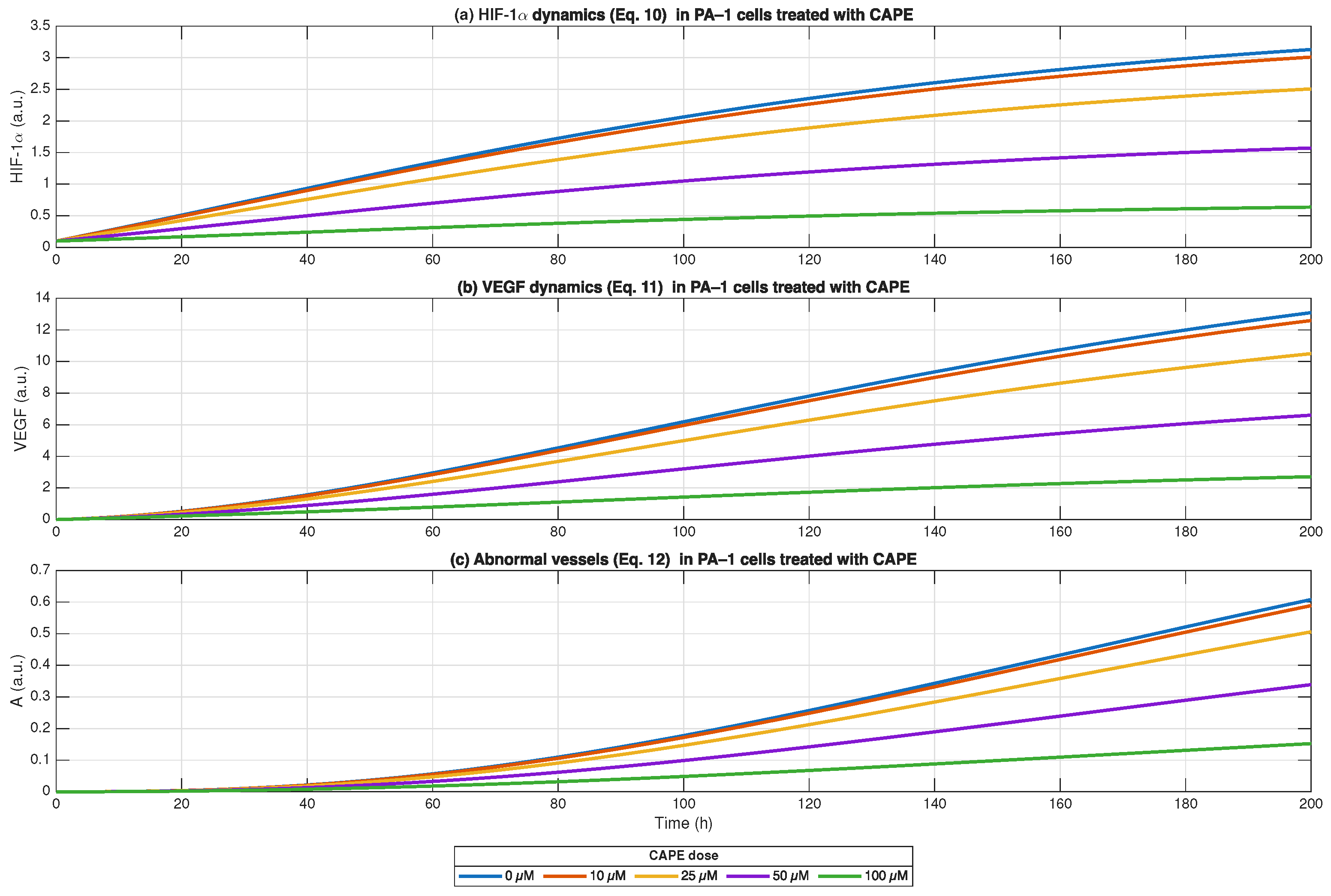
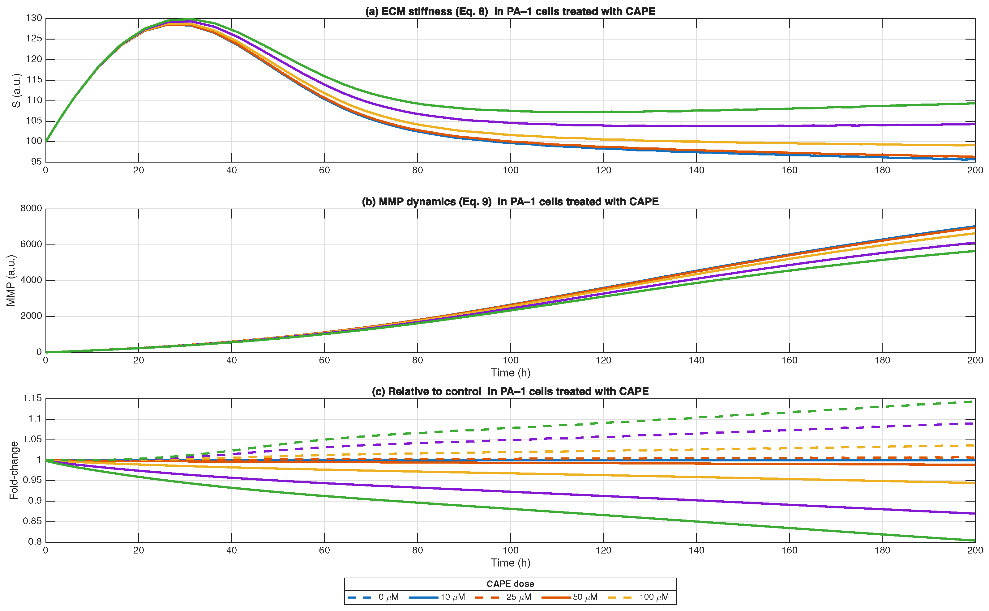
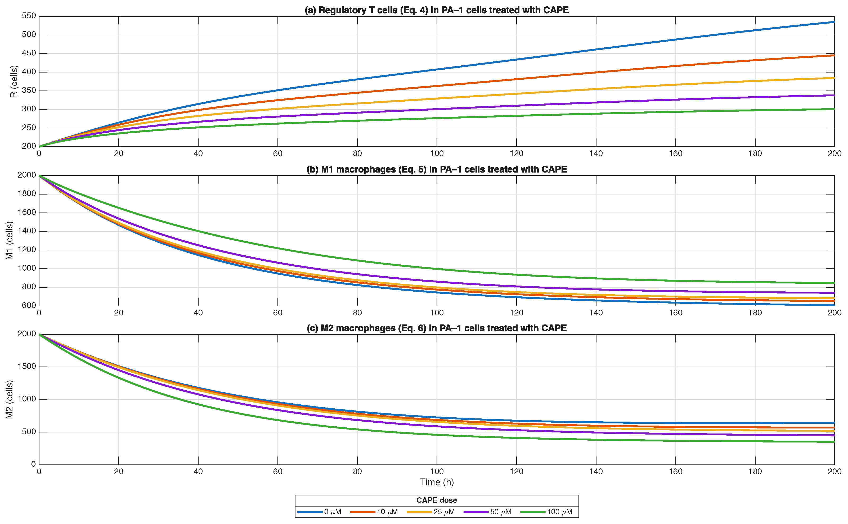
3.2. Modelling Results
- The death of tumour cells caused by CAPE treatment leads to increased availability of antigens for T cells to recognise which results in their population growth.
- The immune system receives direct activation from CAPE which leads to increased cell proliferation and survival of effector cells. The reduction in tumour-mediated immunosuppression enables cells to expand better because regulatory suppression becomes less effective.
- The immune system transitions from tumour-mediated suppression to activation through CAPE treatment which enables cells to multiply and fight cancer more effectively.
4. Discussion
5. Conclusions
Author Contributions
Funding
Institutional Review Board Statement
Informed Consent Statement
Data Availability Statement
Conflicts of Interest
Appendix A. Statistical Analysis
| Biomarker | Time Point | Welch F | p-Value |
|---|---|---|---|
| CA72-4 | 24 h | 53.15 | 3.71 *** |
| CA72-4 | 48 h | 459.46 | 3.51 *** |
| Decorin | 24 h | 39.08 | 0.000301 *** |
| Decorin | 48 h | 776.07 | 1.17 *** |
| Biomarker | Dose (μM) | p-Value | Significance |
|---|---|---|---|
| CA72-4 (24 h) | Control | — | — |
| 10 | 0.00544 | ** | |
| 25 | 0.00453 | ** | |
| 50 | 0.00363 | ** | |
| 100 | 0.00272 | ** | |
| 200 | 0.00181 | *** | |
| CA72-4 (48 h) | Control | — | — |
| 10 | 0.00544 | ** | |
| 25 | 0.00453 | ** | |
| 50 | 0.00363 | ** | |
| 100 | 0.00272 | ** | |
| 200 | 0.00181 | ** | |
| Decorin (24 h) | Control | — | — |
| 10 | 0.10 | n.s. | |
| 25 | 0.10 | n.s. | |
| 50 | 0.00455 | ** | |
| 100 | 0.00378 | ** | |
| 200 | 0.00132 | ** | |
| Decorin (48 h) | Control | — | — |
| 10 | 0.10 | n.s. | |
| 25 | 0.10 | n.s. | |
| 50 | 0.00433 | ** | |
| 100 | 0.00204 | ** | |
| 200 | 0.00303 | ** |
References
- Pirintsos, S.; Panagiotopoulos, A.; Bariotakis, M.; Daskalakis, V.; Lionis, C.; Sourvinos, G.; Karakasiliotis, I.; Kampa, M.; Castanas, E. From Traditional Ethnopharmacology to Modern Natural Drug Discovery: A Methodology Discussion and Specific Examples. Molecules 2022, 27, 4060. [Google Scholar] [CrossRef]
- Zullkiflee, N.; Taha, H.; Usman, A. Propolis: Its Role and Efficacy in Human Health and Diseases. Molecules 2022, 27, 6120. [Google Scholar] [CrossRef]
- Kabała-Dzik, A.; Rzepecka-Stojko, A.; Kubina, R.; Wojtyczka, R.D.; Buszman, E.; Stojko, J. Caffeic Acid Versus Caffeic Acid Phenethyl Ester in the Treatment of Breast Cancer MCF-7 Cells: Migration Rate Inhibition. Integr. Cancer Ther. 2018, 17, 1247–1259. [Google Scholar] [CrossRef]
- Wadhwa, R.; Nigam, N.; Bhargava, P.; Dhanjal, J.K.; Goyal, S.; Grover, A.; Sundar, D.; Ishida, Y.; Terao, K.; Kaul, S.C. Molecular Characterization and Enhancement of Anticancer Activity of Caffeic Acid Phenethyl Ester by γ Cyclodextrin. J. Cancer 2016, 7, 1755–1771. [Google Scholar] [CrossRef] [PubMed]
- Ishida, Y.; Gao, R.; Shah, N.; Bhargava, P.; Furune, T.; Kaul, S.C.; Terao, K.; Wadhwa, R. Anticancer Activity in Honeybee Propolis: Functional Insights to the Role of Caffeic Acid Phenethyl Ester and Its Complex with γ-Cyclodextrin. Integr. Cancer Ther. 2018, 17, 867–873. [Google Scholar] [CrossRef]
- Kabała-Dzik, A.; Rzepecka-Stojko, A.; Kubina, R.; Iriti, M.; Wojtyczka, R.D.; Buszman, E.; Stojko, J. Flavonoids, bioactive components of propolis, exhibit cytotoxic activity and induce cell cycle arrest and apoptosis in human breast cancer cells MDA-MB-231 and MCF-7—A comparative study. Cell. Mol. Biol. 2018, 64, 1–10. [Google Scholar] [CrossRef] [PubMed]
- Kabała-Dzik, A.; Rzepecka-Stojko, A.; Kubina, R.; Jastrzębska-Stojko, Ż.; Stojko, R.; Wojtyczka, R.; Stojko, J. Migration Rate Inhibition of Breast Cancer Cells Treated by Caffeic Acid and Caffeic Acid Phenethyl Ester: An In Vitro Comparison Study. Nutrients 2017, 9, 1144. [Google Scholar] [CrossRef]
- Kleczka, A.; Dzik, R.; Kabała-Dzik, A. Caffeic Acid Phenethyl Ester (CAPE) Synergistically Enhances Paclitaxel Activity in Ovarian Cancer Cells. Molecules 2023, 28, 5813. [Google Scholar] [CrossRef]
- Lian, Y.; Luo, P. Mortality of Three Major Gynecological Cancers in the European Region: An Age-Period-Cohort Analysis from 1992 to 2021 and Predictions in a 25-Year Period. Ann. Glob. Health 2025, 91, 30. [Google Scholar] [CrossRef]
- Zhu, B.; Gu, H.; Mao, Z.; Beeraka, N.M.; Zhao, X.; Anand, M.P.; Zheng, Y.; Zhao, R.; Li, S.; Manogaran, P.; et al. Global burden of gynaecological cancers in 2022 and projections to 2050. J. Glob. Health 2024, 14, 04155. [Google Scholar] [CrossRef]
- Alrosan, K.; Alrosan, A.; Heilat, G.; Alrousan, A.; Gammoh, O.; Alqudah, A.; Madae’En, S.; Alrousan, M. Treatment of ovarian cancer: From the past to the new era (Review). Oncol. Lett. 2025, 30, 384. [Google Scholar] [CrossRef]
- Ramalingam, P. Germ Cell Tumors of the Ovary: A Review. Semin. Diagn. Pathol. 2023, 40, 22–36. [Google Scholar] [CrossRef] [PubMed]
- Safdar, N.S.; Stall, J.N.; Young, R.H. Malignant Mixed Germ Cell Tumors of the Ovary: An Analysis of 100 Cases Emphasizing the Frequency and Interrelationships of Their Tumor Types. Am. J. Surg. Pathol. 2020, 45, 727–741. [Google Scholar] [CrossRef]
- de Visser, K.E.; Joyce, J.A. The evolving tumor microenvironment: From cancer initiation to metastatic outgrowth. Cancer Cell 2023, 41, 374–403. [Google Scholar] [CrossRef]
- Notarbartolo, S.; Abrignani, S. Human T lymphocytes at tumor sites. Semin. Immunopathol. 2022, 44, 883–901. [Google Scholar] [CrossRef]
- Binnewies, M.; Roberts, E.W.; Kersten, K.; Chan, V.; Fearon, D.F.; Merad, M.; Coussens, L.M.; Gabrilovich, D.I.; Ostrand-Rosenberg, S.; Hedrick, C.C.; et al. Understanding the tumor immune microenvironment (TIME) for effective therapy. Nat. Med. 2018, 24, 541–550. [Google Scholar] [CrossRef]
- Rajbhandary, S.; Dhakal, H.; Shrestha, S. Tumor immune microenvironment (TIME) to enhance antitumor immunity. Eur. J. Med Res. 2023, 28, 169. [Google Scholar] [CrossRef]
- Hansen, J.; Jain, A.R.; Nenov, P.; Robinson, P.N.; Iyengar, R. From transcriptomics to digital twins of organ function. Front. Cell Dev. Biol. 2024, 12, 1240384. [Google Scholar] [CrossRef]
- Shen, S.; Qi, W.; Liu, X.; Zeng, J.; Li, S.; Zhu, X.; Dong, C.; Wang, B.; Shi, Y.; Yao, J.; et al. From virtual to reality: Innovative practices of digital twins in tumor therapy. J. Transl. Med. 2025, 23, 348. [Google Scholar] [CrossRef] [PubMed]
- Wang, H.; Arulraj, T.; Ippolito, A.; Popel, A.S. From virtual patients to digital twins in immuno-oncology: Lessons learned from mechanistic quantitative systems pharmacology modeling. Npj Digit. Med. 2024, 7, 189. [Google Scholar] [CrossRef] [PubMed]
- Del Prete, A.; Salvi, V.; Soriani, A.; Laffranchi, M.; Sozio, F.; Bosisio, D.; Sozzani, S. Dendritic cell subsets in cancer immunity and tumor antigen sensing. Cell. Mol. Immunol. 2023, 20, 432–447. [Google Scholar] [CrossRef]
- Mai, Z.; Lin, Y.; Lin, P.; Zhao, X.; Cui, L. Modulating extracellular matrix stiffness: A strategic approach to boost cancer immunotherapy. Cell Death Dis. 2024, 15, 307. [Google Scholar] [CrossRef]
- Gu, X.Y.; Yang, J.L.; Lai, R.; Zhou, Z.J.; Tang, D.; Hu, L.; Zhao, L.J. Impact of lactate on immune cell function in the tumor microenvironment: Mechanisms and therapeutic perspectives. Front. Immunol. 2025, 16, 1563303. [Google Scholar] [CrossRef] [PubMed]
- Chen, J.; Huang, Z.; Chen, Y.; Tian, H.; Chai, P.; Shen, Y.; Yao, Y.; Xu, S.; Ge, S.; Jia, R. Lactate and lactylation in cancer. Signal Transduct. Target. Ther. 2025, 10, 38. [Google Scholar] [CrossRef]
- Zhang, M.; Chen, Z.; Wang, Y.; Zhao, H.; Du, Y. The Role of Cancer-Associated Fibroblasts in Ovarian Cancer. Cancers 2022, 14, 2637. [Google Scholar] [CrossRef] [PubMed]
- Monaci, S.; Coppola, F.; Filippi, I.; Falsini, A.; Carraro, F.; Naldini, A. Targeting hypoxia signaling pathways in angiogenesis. Front. Physiol. 2024, 15, 1408750. [Google Scholar] [CrossRef] [PubMed]
- de Pillis, L.G.; Radunskaya, A.E.; Wiseman, C.L. A Validated Mathematical Model of Cell-Mediated Immune Response to Tumor Growth. Cancer Res. 2005, 65, 7950–7958. [Google Scholar] [CrossRef]
- Kuznetsov, V.; Makalkin, I.; Taylor, M.; Perelson, A. Nonlinear dynamics of immunogenic tumors: Parameter estimation and global bifurcation analysis. Bull. Math. Biol. 1994, 56, 295–321. [Google Scholar] [CrossRef]
- Kirschner, D.; Panetta, J.C. Modeling immunotherapy of the tumor—immune interaction. J. Math. Biol. 1998, 37, 235–252. [Google Scholar] [CrossRef]
- Wilkie, K.P.; Hahnfeldt, P. Modeling the Dichotomy of the Immune Response to Cancer: Cytotoxic Effects and Tumor-Promoting Inflammation. arXiv 2013, arXiv:1305.3634. [Google Scholar] [CrossRef]
- Sica, A.; Mantovani, A. Macrophage plasticity and polarization: In vivo veritas. J. Clin. Investig. 2012, 122, 787–795. [Google Scholar] [CrossRef] [PubMed]
- Mantovani, A.; Allavena, P.; Sica, A.; Balkwill, F. Cancer-related inflammation. Nature 2008, 454, 436–444. [Google Scholar] [CrossRef]
- Liu, C.; Li, Y.; Yu, J.; Feng, L.; Hou, S.; Liu, Y.; Guo, M.; Xie, Y.; Meng, J.; Zhang, H.; et al. Targeting the Shift from M1 to M2 Macrophages in Experimental Autoimmune Encephalomyelitis Mice Treated with Fasudil. PLoS ONE 2013, 8, e54841. [Google Scholar] [CrossRef] [PubMed]
- Peng, X.; Zheng, J.; Liu, T.; Zhou, Z.; Song, C.; Geng, Y.; Wang, Z.; Huang, Y. Tumor Microenvironment Heterogeneity, Potential Therapeutic Avenues, and Emerging Therapies. Curr. Cancer Drug Targets 2024, 24, 288–307. [Google Scholar] [CrossRef]
- Colegio, O.R.; Chu, N.Q.; Szabo, A.L.; Chu, T.; Rhebergen, A.M.; Jairam, V.; Cyrus, N.; Brokowski, C.E.; Eisenbarth, S.C.; Phillips, G.M.; et al. Functional polarization of tumour-associated macrophages by tumour-derived lactic acid. Nature 2014, 513, 559–563. [Google Scholar] [CrossRef] [PubMed]
- Dai, H.; Pena, A.; Bauer, L.; Williams, A.; Watkins, S.C.; Camirand, G. Treg suppression of immunity within inflamed allogeneic grafts. JCI Insight 2022, 7, e160579. [Google Scholar] [CrossRef]
- Ma, X.; Gao, Y.; Chen, Y.; Liu, J.; Yang, C.; Bao, C.; Wang, Y.; Feng, Y.; Song, X.; Qiao, S. M2-Type Macrophages Induce Tregs Generation by Activating the TGF-β/Smad Signalling Pathway to Promote Colorectal Cancer Development. Oncotargets Ther. 2021, 14, 5391–5402. [Google Scholar] [CrossRef]
- Angelin, A.; Gil-de Gómez, L.; Dahiya, S.; Jiao, J.; Guo, L.; Levine, M.H.; Wang, Z.; Quinn, W.J.; Kopinski, P.K.; Wang, L.; et al. Foxp3 Reprograms T Cell Metabolism to Function in Low-Glucose, High-Lactate Environments. Cell Metab. 2017, 25, 1282–1293.e7. [Google Scholar] [CrossRef]
- Italiani, P.; Boraschi, D. From Monocytes to M1/M2 Macrophages: Phenotypical vs. Functional Differentiation. Front. Immunol. 2014, 5, 514. [Google Scholar] [CrossRef]
- Li, N.; Li, Z.; Fang, F.; Zhu, C.; Zhang, W.; Lu, Y.; Zhang, R.; Si, P.; Bian, Y.; Qin, Y.; et al. Two distinct resident macrophage populations coexist in the ovary. Front. Immunol. 2022, 13, 1007711. [Google Scholar] [CrossRef]
- Dobrzanski, M.J.; Rewers-Felkins, K.A.; Samad, K.A.; Quinlin, I.S.; Phillips, C.A.; Robinson, W.; Dobrzanski, D.J.; Wright, S.E. Immunotherapy with IL-10- and IFN-γ-producing CD4 effector cells modulate “Natural” and “Inducible” CD4 TReg cell subpopulation levels: Observations in four cases of patients with ovarian cancer. Cancer Immunol. Immunother. 2011, 61, 839–854. [Google Scholar] [CrossRef] [PubMed]
- Liu, T.; Zhou, L.; Li, D.; Andl, T.; Zhang, Y. Cancer-Associated Fibroblasts Build and Secure the Tumor Microenvironment. Front. Cell Dev. Biol. 2019, 7, 60. [Google Scholar] [CrossRef]
- Pape, J.; Magdeldin, T.; Stamati, K.; Nyga, A.; Loizidou, M.; Emberton, M.; Cheema, U. Cancer-associated fibroblasts mediate cancer progression and remodel the tumouroid stroma. Br. J. Cancer 2020, 123, 1178–1190. [Google Scholar] [CrossRef] [PubMed]
- Stuelten, C.H.; Zhang, Y.E. Transforming Growth Factor-β: An Agent of Change in the Tumor Microenvironment. Front. Cell Dev. Biol. 2021, 9, 764727. [Google Scholar] [CrossRef]
- De, P.; Aske, J.; Dey, N. Cancer-Associated Fibroblast Functions as a Road-Block in Cancer Therapy. Cancers 2021, 13, 5246. [Google Scholar] [CrossRef]
- Prinz, H. Hill coefficients, dose–response curves and allosteric mechanisms. J. Chem. Biol. 2009, 3, 37–44. [Google Scholar] [CrossRef]
- Neri, S.; Hashimoto, H.; Kii, H.; Watanabe, H.; Masutomi, K.; Kuwata, T.; Date, H.; Tsuboi, M.; Goto, K.; Ochiai, A.; et al. Cancer cell invasion driven by extracellular matrix remodeling is dependent on the properties of cancer-associated fibroblasts. J. Cancer Res. Clin. Oncol. 2015, 142, 437–446. [Google Scholar] [CrossRef]
- Chan, M.K.K.; Chung, J.Y.F.; Tang, P.C.T.; Chan, A.S.W.; Ho, J.Y.Y.; Lin, T.P.T.; Chen, J.; Leung, K.T.; To, K.F.; Lan, H.Y.; et al. TGF-β signaling networks in the tumor microenvironment. Cancer Lett. 2022, 550, 215925. [Google Scholar] [CrossRef]
- Najafi, M.; Farhood, B.; Mortezaee, K. Extracellular matrix (ECM) stiffness and degradation as cancer drivers. J. Cell. Biochem. 2018, 120, 2782–2790. [Google Scholar] [CrossRef]
- Gialeli, C.; Theocharis, A.D.; Karamanos, N.K. Roles of matrix metalloproteinases in cancer progression and their pharmacological targeting. FEBS J. 2010, 278, 16–27. [Google Scholar] [CrossRef] [PubMed]
- Prakash, J.; Shaked, Y. The Interplay between Extracellular Matrix Remodeling and Cancer Therapeutics. Cancer Discov. 2024, 14, 1375–1388. [Google Scholar] [CrossRef] [PubMed]
- Franssen, L.C.; Lorenzi, T.; Burgess, A.E.F.; Chaplain, M.A.J. A Mathematical Framework for Modelling the Metastatic Spread of Cancer. Bull. Math. Biol. 2019, 81, 1965–2010. [Google Scholar] [CrossRef] [PubMed]
- Liang, D.; Liu, L.; Zhao, Y.; Luo, Z.; He, Y.; Li, Y.; Tang, S.; Tang, J.; Chen, N. Targeting extracellular matrix through phytochemicals: A promising approach of multi-step actions on the treatment and prevention of cancer. Front. Pharmacol. 2023, 14, 1186712. [Google Scholar] [CrossRef] [PubMed]
- Semenza, G.L. Targeting HIF-1 for cancer therapy. Nat. Rev. Cancer 2003, 3, 721–732. [Google Scholar] [CrossRef]
- Vaupel, P.; Mayer, A. Hypoxia in cancer: Significance and impact on clinical outcome. Cancer Metastasis Rev. 2007, 26, 225–239. [Google Scholar] [CrossRef]
- Powathil, G.G.; Gordon, K.E.; Hill, L.A.; Chaplain, M.A. Modelling the effects of cell-cycle heterogeneity on the response of a solid tumour to chemotherapy: Biological insights from a hybrid multiscale cellular automaton model. J. Theor. Biol. 2012, 308, 1–19. [Google Scholar] [CrossRef]
- Berlow, R.B.; Dyson, H.J.; Wright, P.E. Hypersensitive termination of the hypoxic response by a disordered protein switch. Nature 2017, 543, 447–451. [Google Scholar] [CrossRef]
- Bhargava, P.; Kumari, A.; Putri, J.F.; Ishida, Y.; Terao, K.; Kaul, S.C.; Sundar, D.; Wadhwa, R. Caffeic acid phenethyl ester (CAPE) possesses pro-hypoxia and anti-stress activities: Bioinformatics and experimental evidences. Cell Stress Chaperones 2018, 23, 1055–1068. [Google Scholar] [CrossRef]
- Tülüce, Y.; Bucak, H.; Köstekci, S. Therapeutic Potential of CAPE in Targeting Hallmarks of Cancer in TPC-1 Thyroid Cancer Cells Through Modulation of Mitochondrial Membrane Potential. J. Biochem. Mol. Toxicol. 2025, 39, e70487. [Google Scholar] [CrossRef]
- Apte, R.S.; Chen, D.S.; Ferrara, N. VEGF in Signaling and Disease: Beyond Discovery and Development. Cell 2019, 176, 1248–1264. [Google Scholar] [CrossRef]
- Paeng, S.H.; Jung, W.K.; Park, W.S.; Lee, D.S.; Kim, G.Y.; Choi, Y.H.; Seo, S.K.; Jang, W.H.; Choi, J.S.; Lee, Y.M.; et al. Caffeic acid phenethyl ester reduces the secretion of vascular endothelial growth factor through the inhibition of the ROS, PI3K and HIF-1α signaling pathways in human retinal pigment epithelial cells under hypoxic conditions. Int. J. Mol. Med. 2015, 35, 1419–1426. [Google Scholar] [CrossRef] [PubMed]
- Grunstein, J.; Masbad, J.J.; Hickey, R.; Giordano, F.; Johnson, R.S. Isoforms of Vascular Endothelial Growth Factor Act in a Coordinate Fashion To Recruit and Expand Tumor Vasculature. Mol. Cell. Biol. 2000, 20, 7282–7291. [Google Scholar] [CrossRef] [PubMed]
- Mantzaris, N.V.; Webb, S.; Othmer, H.G. Mathematical modeling of tumor-induced angiogenesis. J. Math. Biol. 2004, 49, 111–187. [Google Scholar] [CrossRef]
- Gupta, R.; Kumar, R.; Penn, C.A.; Wajapeyee, N. Immune evasion in ovarian cancer: Implications for immunotherapy and emerging treatments. Trends Immunol. 2025, 46, 166–181. [Google Scholar] [CrossRef]
- Huch, M.; Rawlins, E.L. Tumours build their niche. Nature 2017, 545, 292–293. [Google Scholar] [CrossRef]
- Zhou, Y.; Tao, L.; Qiu, J.; Xu, J.; Yang, X.; Zhang, Y.; Tian, X.; Guan, X.; Cen, X.; Zhao, Y. Tumor biomarkers for diagnosis, prognosis and targeted therapy. Signal Transduct. Target. Ther. 2024, 9, 132. [Google Scholar] [CrossRef]
- Anastasi, E.; Manganaro, L.; Granato, T.; Benedetti Panici, P.; Frati, L.; Porpora, M.G. Is CA72-4 a Useful Biomarker in Differential Diagnosis between Ovarian Endometrioma and Epithelial Ovarian Cancer? Dis. Markers 2013, 35, 331–335. [Google Scholar] [CrossRef]
- Englisz, A.; Smycz-Kubańska, M.; Mielczarek-Palacz, A. Evaluation of the Potential Diagnostic Utility of the Determination of Selected Immunological and Molecular Parameters in Patients with Ovarian Cancer. Diagnostics 2023, 13, 1714. [Google Scholar] [CrossRef]
- Margoni, A.; Gargalionis, A.N.; Papavassiliou, A.G. CA-125:CA72-4 ratio—towards a promising cost-effective tool in ovarian cancer diagnosis and monitoring of post-menopausal women under hormone treatment. J. Ovarian Res. 2024, 17, 164. [Google Scholar] [CrossRef]
- Onori, P.; DeMorrow, S.; Gaudio, E.; Franchitto, A.; Mancinelli, R.; Venter, J.; Kopriva, S.; Ueno, Y.; Alvaro, D.; Savage, J.; et al. Caffeic acid phenethyl ester decreases cholangiocarcinoma growth by inhibition of NF-κB and induction of apoptosis. Int. J. Cancer 2009, 125, 565–576. [Google Scholar] [CrossRef] [PubMed]
- Sulaiman, G.M.; Al-Amiery, A.A.; Bagnati, R. Theoretical, antioxidant and cytotoxic activities of caffeic acid phenethyl ester and chrysin. Int. J. Food Sci. Nutr. 2013, 65, 101–105. [Google Scholar] [CrossRef]
- Hui, C.; Hui, K. Asymptomatic Healthy Population with Raised CA 72-4 Has A Low Prevalence of Malignancy and Does Not Have An Increased Risk of Malignancy on Long-Term Follow-Up. J. Community Med. Public Health Rep. 2023, 6. [Google Scholar] [CrossRef]
- Xu, Y.; Zhang, P.; Zhang, K.; Huang, C. The application of CA72-4 in the diagnosis, prognosis, and treatment of gastric cancer. Biochim. Biophys. Acta (BBA)—Rev. Cancer 2021, 1876, 188634. [Google Scholar] [CrossRef] [PubMed]
- Hu, P.J.; Chen, M.Y.; Wu, M.S.; Lin, Y.C.; Shih, P.H.; Lai, C.H.; Lin, H.J. Clinical Evaluation of CA72-4 for Screening Gastric Cancer in a Healthy Population: A Multicenter Retrospective Study. Cancers 2019, 11, 733. [Google Scholar] [CrossRef] [PubMed]
- Bai, X.; Sun, M.; He, Y.; Liu, R.; Cui, L.; Wang, C.; Wan, F.; Wang, M.; Li, X.; Li, H.; et al. Serum CA72-4 is specifically elevated in gout patients and predicts flares. Rheumatology 2020, 59, 2872–2880. [Google Scholar] [CrossRef]
- Garlisi, B.; Lauks, S.; Aitken, C.; Ogilvie, L.M.; Lockington, C.; Petrik, D.; Eichhorn, J.S.; Petrik, J. The Complex Tumor Microenvironment in Ovarian Cancer: Therapeutic Challenges and Opportunities. Curr. Oncol. 2024, 31, 3826–3844. [Google Scholar] [CrossRef]
- Zhang, R.; Siu, M.K.Y.; Ngan, H.Y.S.; Chan, K.K.L. Molecular Biomarkers for the Early Detection of Ovarian Cancer. Int. J. Mol. Sci. 2022, 23, 12041. [Google Scholar] [CrossRef]
- Wang, Y.; Zhu, N.; Liu, J.; Chen, F.; Song, Y.; Ma, Y.; Yang, Z.; Wang, D. Role of tumor microenvironment in ovarian cancer metastasis and clinical advancements. J. Transl. Med. 2025, 23, 539. [Google Scholar] [CrossRef] [PubMed]
- Neill, T.; Schaefer, L.; Iozzo, R.V. Decorin. Am. J. Pathol. 2012, 181, 380–387. [Google Scholar] [CrossRef]
- Zhang, W.; Ge, Y.; Cheng, Q.; Zhang, Q.; Fang, L.; Zheng, J. Decorin is a pivotal effector in the extracellular matrix and tumour microenvironment. Oncotarget 2018, 9, 5480–5491. [Google Scholar] [CrossRef]
- Baghy, K.; Reszegi, A.; Tátrai, P.; Kovalszky, I. Decorin in the Tumor Microenvironment. In Tumor Microenvironment; Springer International Publishing: Cham, Switzerland, 2020; pp. 17–38. [Google Scholar] [CrossRef]
- Yuan, Z.; Li, Y.; Zhang, S.; Wang, X.; Dou, H.; Yu, X.; Zhang, Z.; Yang, S.; Xiao, M. Extracellular matrix remodeling in tumor progression and immune escape: From mechanisms to treatments. Mol. Cancer 2023, 22, 48. [Google Scholar] [CrossRef] [PubMed]
- Diehl, V.; Huber, L.S.; Trebicka, J.; Wygrecka, M.; Iozzo, R.V.; Schaefer, L. The Role of Decorin and Biglycan Signaling in Tumorigenesis. Front. Oncol. 2021, 11, 801801. [Google Scholar] [CrossRef]
- Park, B.S.; Lee, J.; Jun, J.H. Decorin: A multifunctional proteoglycan involved in oocyte maturation and trophoblast migration. Clin. Exp. Reprod. Med. 2021, 48, 303–310. [Google Scholar] [CrossRef]
- Merline, R.; Lazaroski, S.; Babelova, A.; Tsalastra-Greul, W.; Pfeilschifter, J.; Schluter, K.D.; Gunther, A.; Iozzo, R.V.; Schaefer, R.M.; Schaefer, L. Decorin deficiency in diabetic mice: Aggravation of nephropathy due to overexpression of profibrotic factors, enhanced apoptosis and mononuclear cell infiltration. J. Physiol. Pharmacol. Off. J. Pol. Physiol. Soc. 2009, 60, 5–13. [Google Scholar]
- Lala, P.K.; Nandi, P. Mechanisms of trophoblast migration, endometrial angiogenesis in preeclampsia: The role of decorin. Cell Adhes. Migr. 2016, 10, 111–125. [Google Scholar] [CrossRef]
- Cho, A.; Howell, V.M.; Colvin, E.K. The Extracellular Matrix in Epithelial Ovarian Cancer—A Piece of a Puzzle. Front. Oncol. 2015, 5, 245. [Google Scholar] [CrossRef]
- Wang, X.; Zhou, Y.; Wang, Y.; Yang, J.; Li, Z.; Liu, F.; Wang, A.; Gao, Z.; Wu, C.; Yin, H. Overcoming cancer treatment resistance: Unraveling the role of cancer-associated fibroblasts. J. Natl. Cancer Cent. 2025, 5, 237–251. [Google Scholar] [CrossRef]
- Deng, B.; Zhao, Z.; Kong, W.; Han, C.; Shen, X.; Zhou, C. Biological role of matrix stiffness in tumor growth and treatment. J. Transl. Med. 2022, 20, 540. [Google Scholar] [CrossRef]
- Zhang, M.; Zhang, B. Extracellular matrix stiffness: Mechanisms in tumor progression and therapeutic potential in cancer. Exp. Hematol. Oncol. 2025, 14, 54. [Google Scholar] [CrossRef] [PubMed]
- Jia, H.; Chen, X.; Zhang, L.; Chen, M. Cancer associated fibroblasts in cancer development and therapy. J. Hematol. Oncol. 2025, 18, 36. [Google Scholar] [CrossRef] [PubMed]
- Shaikat, A.H.; Azad, S.A.K.; Tamim, M.A.R.; Ullah, M.S.; Amin, M.N.; Sabbir, M.K.; Tarun, M.T.I.; Mostaq, M.S.; Sabrin, S.; Mahmud, M.Z.; et al. Investigating hypoxia-inducible factor signaling in cancer: Mechanisms, clinical implications, targeted therapeutic strategies, and resistance. Cancer Pathog. Ther. 2025, in press. [Google Scholar] [CrossRef]
- Hu, K.; Babapoor-Farrokhran, S.; Rodrigues, M.; Deshpande, M.; Puchner, B.; Kashiwabuchi, F.; Hassan, S.J.; Asnaghi, L.; Handa, J.T.; Merbs, S.; et al. Hypoxia-inducible factor 1 upregulation of both VEGF and ANGPTL4 is required to promote the angiogenic phenotype in uveal melanoma. Oncotarget 2016, 7, 7816–7828. [Google Scholar] [CrossRef]
- Wang, X.; Du, Z.-w.; Xu, T.-m.; Wang, X.-j.; Li, W.; Gao, J.-l.; Li, J.; Zhu, H. HIF-1α Is a Rational Target for Future Ovarian Cancer Therapies. Front. Oncol. 2021, 11, 785111. [Google Scholar] [CrossRef] [PubMed]
- Liu, Z.L.; Chen, H.H.; Zheng, L.L.; Sun, L.P.; Shi, L. Angiogenic signaling pathways and anti-angiogenic therapy for cancer. Signal Transduct. Target. Ther. 2023, 8, 198. [Google Scholar] [CrossRef] [PubMed]
- Olgierd, B.; Kamila, Ż.; Anna, B.; Emilia, M. The Pluripotent Activities of Caffeic Acid Phenethyl Ester. Molecules 2021, 26, 1335. [Google Scholar] [CrossRef]
- Chen, X.; Han, Y.; Zhang, B.; Liu, Y.; Wang, S.; Liao, T.; Deng, Z.; Fan, Z.; Zhang, J.; He, L.; et al. Caffeic acid phenethyl ester promotes haematopoietic stem/progenitor cell homing and engraftment. Stem Cell Res. Ther. 2017, 8, 255. [Google Scholar] [CrossRef]
- Zhao, Y.; Chen, Q.; Li, J.; Liu, F.; Dong, K.; Han, F. Vascular endothelial generating factor pathway in ovarian cancer. J. Ovarian Res. 2025, 18, 272. [Google Scholar] [CrossRef] [PubMed]
- Englert-Golon, M.; Tokłowicz, M.; Żbikowska, A.; Sajdak, S.; Kotwicka, M.; Andrusiewicz, M. Differential Expression of HIF1A, EPAS1, and VEGF Genes in Benign and Malignant Ovarian Neoplasia. Cancers 2022, 14, 4899. [Google Scholar] [CrossRef]









| Parameter | Meaning | Unit | Value and Source |
|---|---|---|---|
| r | Tumour intrinsic growth rate | h−1 | 0.05 [27] |
| K | Tumour carrying capacity | cells | [28] |
| Effector T-cell tumour-killing coefficient | (cells·h)−1 | [27] | |
| s | Effector T-cell stimulation rate | cells·h−1 | 100 [29] |
| Half-saturation constant for T-cell activation | cells | [30] | |
| Effector T-cell natural decay rate | h−1 | 0.05 [27] | |
| CAPE-induced tumour suppression coefficient | h−1 | (dose–response mapping) This study, calibrated [8] |
| Parameter | Meaning | Unit | Value and Source |
|---|---|---|---|
| Baseline M1 macrophage growth rate | h−1 | 0.02 [31] | |
| Baseline M2 macrophage growth rate | h−1 | 0.02 [32] | |
| K | Carrying capacity for macrophages (shared niche constraint) | cells | [28] |
| Suppressive effect of Tregs on M1 population | (cells·h)−1 | 0.001 [33] | |
| Promotion of M2 macrophages by Tregs | (cells·h)−1 | 0.001 [34] | |
| Lactate-driven stabilisation/expansion of M2 macrophages | h−1 | 0.002 [35] | |
| Baseline source rate of Tregs | cells·h−1 | 0.01 [36] | |
| Treg expansion induced by suppressive cytokines () | h−1 | −(implicit in code via M2→ Treg term) [37] | |
| Lactate-driven stabilisation/metabolic support of Tregs | h−1 | −(implicit in code via M2→ Treg term) [38] | |
| Natural decay rate of M1 macrophages | h−1 | 0.01 (derived from model structure) [39] | |
| Natural decay rate of M2 macrophages | h−1 | 0.01 (derived from model structure) [40] | |
| Natural decay rate of regulatory T cells | h−1 | 0.005 (model value) [41] |
| Parameter | Meaning | Unit | Value and Source |
|---|---|---|---|
| Baseline source rate of cancer-associated fibroblasts (CAFs) | cells·h−1 | 5 [42] | |
| Tumour-driven CAF induction rate (cancer cells → CAF activation) | h−1 (per tumour cell, scaled) | [43] | |
| Cytokine/–driven CAF induction rate | h−1 (per cytokine unit, scaled) | [44] | |
| Natural decay/turnover rate of CAFs | h−1 | 0.01 [45] | |
| Strength of CAPE-mediated suppression of CAFs (applied via Hill function ) | h−1 | Calibrated in this study (initial guess ; final value obtained by fitting CAF (72 h, 100 µM) ≈ 0.5× control) | |
| IC50 | Half-maximal inhibitory concentration for CAPE in CAF suppression Hill function | μM | 50 Chosen in the mid–μM range to reflect experimentally observed CAPE doses with ∼50% effect on stromal readouts |
| Hill coefficient for CAPE response (cooperativity of suppression) | dimensionless | 2 [46] | |
| Baseline tumour proliferation rate (before CAF boost) | h−1 | 0.02 [28] | |
| Tumour carrying capacity in this module | cells | Standard logistic carrying capacity scale for in vitro tumour cell populations in ODE models [28] | |
| Strength of CAF-induced boost to tumour proliferation () | dimensionless | 1.0 [47] | |
| Half-saturation constant for CAF effect on tumour growth | cells | Sets the CAF scale at which tumour proliferation is approximately half-maximally boosted (this study; guided by CAF density ranges in [42,43]) | |
| Tumour-driven cytokine production rate (e.g., IL-6/–like signals) | cytokine units·h−1 (scaled) | [48] | |
| Cytokine clearance/decay rate | h−1 | 0.01 [48] |
| Parameter | Meaning | Unit | Value and Source |
|---|---|---|---|
| CAF-driven ECM phenomenological rate capturing the ability of CAFs to deposit and cross-link ECM, increasing stiffness. Values chosen to give slow but progressive stiffening over 72–200 h, consistent with CAF–ECM coupling. | a.u.·h−1 | [49] | |
| M2 macrophage-driven ECM stiffening rate (phenomenological) | a.u.·h−1 | ||
| Baseline ECM relaxation/softening rate (phenomenological); models spontaneous loss of stiffness in absence of continued CAF/M2 input; relatively slow decay | h−1 | ||
| MMP-mediated ECM degradation coefficient (stiffness loss per unit MMP) | (a.u.·h)−1 | [49] | |
| Tumour-driven MMP production rate | a.u.·h−1 | [50] | |
| CAF-driven MMP production rate | a.u.·h−1 | [51] | |
| Baseline MMP decay/inactivation rate | h−1 | [52] | |
| CAPE effect on CAF-driven MMP production (weakening factor). Value calibrated phenomenologically to reflect experimental tendency of CAPE and related polyphenols to reduce MMP expression. | dimensionless | 0.5 | |
| CAPE effect on MMP degradation (strengthening factor). Chosen to complement the production effect and mimic reported MMP-suppressive actions of phytochemicals. | dimensionless | 0.5 [53] | |
| IC50 | Half-maximal CAPE concentration in Hill function , aligned with typical ranges for CAPE’s antiproliferative and anti-invasive effects in vitro. | μM | 50 |
| Hill coefficient for CAPE response (cooperativity). Moderately sigmoidal CAPE response; widely used for cooperative pharmacodynamic effects and matches earlier modules in this study. | dimensionless | 2 |
| Parameter | Meaning | Unit | Value and Source |
|---|---|---|---|
| Basal HIF-1 induction rate (hypoxia signalling strength) | h−1 | 0.05 [54] | |
| Half-saturation constant for oxygen-dependent HIF suppression | mmHg (scaled) | 20 [55] | |
| Saturation constant for tumour-driven HIF activation | cells | [56] | |
| HIF-1 degradation rate | h−1 | 0.01 [57] | |
| Baseline tissue oxygen level | mmHg (scaled) | 10 [55] | |
| IC50 | Half-maximal CAPE concentration in Hill function , aligned with typical ranges for CAPE’s antiproliferative and anti-invasive effects in vitro. | μM | 50 |
| Hill coefficient for CAPE response (cooperativity). Moderately sigmoidal CAPE response; widely used for cooperative pharmacodynamic effects and matches earlier modules in this study. | dimensionless | 2 | |
| CAPE-induced relative increase in effective oxygenation (phenomenologically) | dimensionless | 0.60 | |
| CAPE-induced reduction in HIF induction | dimensionless | 0.40 [58] | |
| CAPE-induced increase in HIF degradation | dimensionless | 0.50 [58] | |
| CAPE-induced reduction in tumour proliferation rate | dimensionless | 0.35 calibrated to [59] | |
| CAPE-dependent direct tumour-killing coefficient (phenomenologically) | h−1 | 0.015 |
| Parameter | Meaning | Unit | Value and Source |
|---|---|---|---|
| HIF-driven VEGF production rate | h−1 | 0.10 [60] | |
| VEGF degradation/clearance rate | h−1 | 0.02 [61] | |
| VEGF-induced abnormal vessel growth rate | h−1 | 0.05 [62] | |
| Half-saturation constant for VEGF-driven vessel growth | a.u. (VEGF) | 50 [60] | |
| Carrying capacity for abnormal vessel density | a.u. | 100 [63] | |
| Abnormal vessel regression/pruning rate | h−1 | 0.01 [60] | |
| IC50 | Half-maximal CAPE concentration in Hill function , aligned with typical ranges for CAPE’s antiproliferative and anti-invasive effects in vitro. | μM | 50 |
| Hill coefficient for CAPE response (cooperativity). Moderately sigmoidal CAPE response; widely used for cooperative pharmacodynamic effects and matches earlier modules in this study. | dimensionless | 2 |
Disclaimer/Publisher’s Note: The statements, opinions and data contained in all publications are solely those of the individual author(s) and contributor(s) and not of MDPI and/or the editor(s). MDPI and/or the editor(s) disclaim responsibility for any injury to people or property resulting from any ideas, methods, instructions or products referred to in the content. |
© 2025 by the authors. Licensee MDPI, Basel, Switzerland. This article is an open access article distributed under the terms and conditions of the Creative Commons Attribution (CC BY) license (https://creativecommons.org/licenses/by/4.0/).
Share and Cite
Kleczka, A.; Dzik, R.; Kabała-Dzik, A. Digital Twin Meets the Bench: Natural Compounds Reshape the Ovarian Cancer Microenvironment. Biomedicines 2025, 13, 3119. https://doi.org/10.3390/biomedicines13123119
Kleczka A, Dzik R, Kabała-Dzik A. Digital Twin Meets the Bench: Natural Compounds Reshape the Ovarian Cancer Microenvironment. Biomedicines. 2025; 13(12):3119. https://doi.org/10.3390/biomedicines13123119
Chicago/Turabian StyleKleczka, Anna, Radosław Dzik, and Agata Kabała-Dzik. 2025. "Digital Twin Meets the Bench: Natural Compounds Reshape the Ovarian Cancer Microenvironment" Biomedicines 13, no. 12: 3119. https://doi.org/10.3390/biomedicines13123119
APA StyleKleczka, A., Dzik, R., & Kabała-Dzik, A. (2025). Digital Twin Meets the Bench: Natural Compounds Reshape the Ovarian Cancer Microenvironment. Biomedicines, 13(12), 3119. https://doi.org/10.3390/biomedicines13123119

