Sign in to use this feature.

Years

Between: -

Subjects

remove_circle_outline
remove_circle_outline
remove_circle_outline
remove_circle_outline
remove_circle_outline
remove_circle_outline
remove_circle_outline

Journals

Article Types

Countries / Regions

Search Results (33)

Search Parameters:
Keywords = peri implantitis and corrosion

Order results
Result details
Results per page
Select all
Export citation of selected articles as:
12 pages, 4017 KB  
Article
Surface and Biocompatibility Outcomes of Chemical Decontamination in Peri-Implantitis Management
by Alexandru Mester, Simion Bran, Marioara Moldovan, Ioan Petean, Lucian Barbu Tudoran, Codruta Sarosi, Andra Piciu and Dragos Ene
Biomedicines 2025, 13(11), 2748; https://doi.org/10.3390/biomedicines13112748 - 10 Nov 2025
Viewed by 586
Abstract
Background and Objectives: Peri-implantitis is a biologically driven complication that jeopardizes dental implant longevity. While chemical decontamination is frequently employed as an adjunct to mechanical debridement, its impact on implant surface integrity and cellular compatibility remains insufficiently defined. This study aimed to evaluate [...] Read more.
Background and Objectives: Peri-implantitis is a biologically driven complication that jeopardizes dental implant longevity. While chemical decontamination is frequently employed as an adjunct to mechanical debridement, its impact on implant surface integrity and cellular compatibility remains insufficiently defined. This study aimed to evaluate the effects of several chemical agents used in peri-implantitis treatment on the surface morphology and potential biocompatibility of titanium dental implants. Materials and Methods: Twenty-five Ti6Al4V implants were exposed to one of the following agents: saline solution, 3% hydrogen peroxide, 40% citric acid, 17% EDTA, and a mixture (1:1) of citric (2%) and phosphoric (1N) acids. This in vitro study employed a 7-day immersion protocol to accentuate surface effects under controlled laboratory conditions, acknowledging that clinical exposures are substantially shorter. Surface topography was evaluated by Atomic Force Microscopy, while cellular response and corrosion products were assessed using Scanning Electron Microscopy. Surface roughness parameters were statistically analyzed. Results: Hydrogen peroxide induced selective corrosion of the β phase and formed a compact passivation layer that supported mesenchymal stem cell adhesion. Citric acid etched grain boundaries, producing localized roughness that also permitted cell proliferation. EDTA caused advanced grain dissolution and debris accumulation, increasing surface roughness but impairing cellular adhesion. The citric–phosphoric acid mixture led to the highest roughness values and visible corrosion debris. In all cases, macrostructural integrity of the implants was preserved. Conclusions: Chemical agents used in peri-implantitis treatment induce distinct surface alterations on titanium implants. Controlled use of hydrogen peroxide and citric acid may enhance surface biocompatibility, while aggressive protocols such as EDTA and acid combinations require caution due to their adverse effects on surface morphology and cellular response. These findings may inform the development of optimized decontamination protocols for clinical management of peri-implantitis. Full article
(This article belongs to the Special Issue Biomedicine in Dental and Oral Rehabilitation)
Show Figures

Figure 1

16 pages, 1222 KB  
Systematic Review
Titanium Particle Impact on Immune Cells, Cytokines, and Inflammasomes: Helping to Profile Peri-Implantitis—A Systematic Review
by Marco Furlanetto, Rita Castro, Fátima Silva, Jorge Pereira, José Macedo and Sandra Soares
Oral 2025, 5(4), 80; https://doi.org/10.3390/oral5040080 - 14 Oct 2025
Viewed by 1600
Abstract
Background: Peri-implantitis is an inflammatory condition caused by bacterial plaque and several factors like diabetes, smoking, titanium bio-tribocorrosion, implant–abutment micromovements, occlusal overload, cement remnants, and poor oral hygiene, resulting in bone resorption. The aim of this review was to evaluate the relationship between [...] Read more.
Background: Peri-implantitis is an inflammatory condition caused by bacterial plaque and several factors like diabetes, smoking, titanium bio-tribocorrosion, implant–abutment micromovements, occlusal overload, cement remnants, and poor oral hygiene, resulting in bone resorption. The aim of this review was to evaluate the relationship between titanium metal particles and the development of peri-implantitis, specifically the characterisation of the inflammatory response regarding cytokine profile, immune cell infiltration, and transcription factors up-regulated in the peri-implant sites. Methods: A systematic review was conducted following the PRISMA guidelines, from January 2004 to January 2025, in three databases: PubMed, Web of Science, and Wiley Library. The inclusion criteria included in vivo human studies and in vitro studies with a focus on bio-tribocorrosion of titanium particles in peri-implant tissues, and their immunological and cellular implications. Quality assessment of in vivo transversal and case–control studies used Joanna Briggs Institute Critical Appraisal Tools, and, for in vitro studies, the modified CONSORT checklist. Results: A total of 27 studies were included, 20 in vitro and 7 in vivo. Titanium particles induced the secretion of IL-1β, IL-6, and TNF-α by peri-implant cells, activation of the NLRP3 inflammasome, and RANKL/OPG bone resorption, further stimulating an exacerbated inflammatory response, LPS independent. There was a significant increase in IL-33, an alarmin, possibly associated with implant–pillar micromovements. IL-8 production by gingival stromal cells and fibroblasts, and downregulation of CCR7 can explain an altered leukocyte migration and the mixture of M1/M2 macrophage populations in peri-implantitis. Conclusions: Titanium particle bio-tribocorrosion stimulates a chronic inflammatory response impacting immune cell composition and cytokine secretion in peri-implant tissue, leading, ultimately, to osteolysis. Modulation of the immune response may contribute to the development of therapeutic strategies and the prevention of implant failure. Full article
Show Figures

Figure 1

17 pages, 17488 KB  
Article
Effect of Diamond-like Carbon Thin-Film Deposition on the Hardness of Pure Titanium Surfaces
by Hideaki Sato, Yutaka Kameyama, Ryota Yoshikawa, Kaito Tabuchi, Chizuko Ogata and Satoshi Komasa
Materials 2025, 18(13), 2992; https://doi.org/10.3390/ma18132992 - 24 Jun 2025
Viewed by 671
Abstract
The purpose of this study was to clarify the physical durability of a diamond-like carbon (DLC) thin film coated on pure titanium. The titanium surface of the abutment does not have sufficient toughness to prevent an increase in surface roughness or damage when [...] Read more.
The purpose of this study was to clarify the physical durability of a diamond-like carbon (DLC) thin film coated on pure titanium. The titanium surface of the abutment does not have sufficient toughness to prevent an increase in surface roughness or damage when the implant is scaled using a professional mechanical implement. The scaling process used for the removal of the dental plaque adhered to the abutment surface could increase the potential for the deposition of oral microorganisms and the accumulation of plaque, which increase the risk of peri-implantitis. A DLC thin film is biocompatible material that is known for its toughness, including extreme hardness, high abrasion resistance, chemical inertness, and high corrosion resistance. Protecting the abutment surface with the application of a DLC might prevent plaque adhesion due to its non-stick property. There was little change in the surface roughness of titanium samples to which DLC surface protection had been applied when the surface of the sample was scratched with a stainless steel scalar more than a thousand times. When cleaning the surface of pure titanium samples, the surface roughness significantly increased. DLC thin films are effective for the prevention the surface roughness of pure titanium implants from being increased when the conventional cleaning of the surface of the implant is performed. Full article
(This article belongs to the Special Issue Materials for Prosthodontics, Implantology, and Digital Dentistry)
Show Figures

Figure 1

19 pages, 2700 KB  
Article
The Influence of the Machining Drill and Direction of Rotation on the Surfaces of Ti6Al4V Dental Implants Subjected to Implantoplasty
by Esteban Padullés-Gaspar, Francisco Real-Voltas, Esteban Padullés-Roig, Miguel Punset, Guillermo Cabanes, Pablo Fernández and Javier Gil
J. Funct. Biomater. 2025, 16(6), 224; https://doi.org/10.3390/jfb16060224 - 16 Jun 2025
Viewed by 1806
Abstract
Implantoplasty is widely used to treat peri-implantitis by removing biofilms from Ti6Al4V dental implants using rotating drills. This study examined the effects of diamond and tungsten carbide drills, and rotation direction (clockwise/counterclockwise), on surface modification, corrosion behavior, and cytotoxicity. Machining was performed for [...] Read more.
Implantoplasty is widely used to treat peri-implantitis by removing biofilms from Ti6Al4V dental implants using rotating drills. This study examined the effects of diamond and tungsten carbide drills, and rotation direction (clockwise/counterclockwise), on surface modification, corrosion behavior, and cytotoxicity. Machining was performed for one minute under a controlled load. Surface roughness, nanohardness, compressive residual stress, and wettability were evaluated, along with SEM and EDX microanalyses of the residues. Corrosion behavior was evaluated using potentiostatic and potentiodynamic tests in Hank’s solution. Ion release was monitored over time, and fibroblast viability was tested using extracts at various dilutions. The higher abrasiveness of diamond drills leads to increases roughness from 0.22 mm (control) to 0.73 and 0.59 for diamond and tungsten carbide drills, respectively; in hardness from 2.2 GPa for the control to 4.8 and 3.9 GPa; and in residual compressive stress from −26 to −125 and −111 MPa, with diamond drills inducing more significant changes and producing more hydrophilic surfaces with contact angles around 54° in relation to 80° and 62° for the control and tungsten carbide, respectively. Tungsten carbide drills caused lower corrosion rates (0.0323 mm/year) than diamond drills (0.052 mm/year). In addition, we observed the presence of tungsten ion release. Cytotoxic effects on human fibroblasts were observed with both bur types, and were more pronounced with tungsten carbide, especially at lower dilutions. Only 1:10 dilutions maintained consistent cytocompatibility. The rotation direction showed no significant impact. These findings emphasize the critical influence of bur selection in implantoplasty on the biological response of surrounding tissues. Full article
Show Figures

Figure 1

32 pages, 2445 KB  
Review
Toxicity, Irritation, and Allergy of Metal Implants: Historical Perspective and Modern Solutions
by Grzegorz Szczęsny, Mateusz Kopec and Zbigniew L. Kowalewski
Coatings 2025, 15(3), 361; https://doi.org/10.3390/coatings15030361 - 20 Mar 2025
Cited by 18 | Viewed by 16071
Abstract
The widespread adoption of metal implants in orthopaedics and dentistry has revolutionized medical treatments, but concerns remain regarding their biocompatibility, toxicity, and immunogenicity. This study conducts a comprehensive literature review of traditional biomaterials used in orthopaedic surgery and traumatology, with a particular focus [...] Read more.
The widespread adoption of metal implants in orthopaedics and dentistry has revolutionized medical treatments, but concerns remain regarding their biocompatibility, toxicity, and immunogenicity. This study conducts a comprehensive literature review of traditional biomaterials used in orthopaedic surgery and traumatology, with a particular focus on their historical development and biological interactions. Research articles were gathered from PubMed and Web of Science databases using keyword combinations such as “toxicity, irritation, allergy, biomaterials, corrosion, implants, orthopaedic surgery, biocompatible materials, steel, alloys, material properties, applications, implantology, and surface modification”. An initial pool of 400 articles was screened by independent reviewers based on predefined inclusion and exclusion criteria, resulting in 160 relevant articles covering research from 1950 to 2025. This paper explores the electrochemical processes of metals like iron, titanium, aluminium, cobalt, molybdenum, nickel, and chromium post-implantation, which cause ion release and wear debris formation. These metal ions interact with biological molecules, triggering localized irritation, inflammatory responses, and immune-mediated hypersensitivity. Unlike existing reviews, this paper highlights how metal–protein interactions can form antigenic complexes, contributing to delayed hypersensitivity and complications such as peri-implant osteolysis and implant failure. While titanium is traditionally considered bioinert, emerging evidence suggests that under certain conditions, even inert metals can induce adverse biological effects. Furthermore, this review emphasizes the role of oxidative stress, illustrating how metal ion release and systemic toxicity contribute to long-term health risks. It also uncovers the underappreciated genotoxic and cytotoxic effects of metal ions on cellular metabolism, shedding light on potential long-term repercussions. By integrating a rigorous methodological approach with an in-depth exploration of metal-induced biological responses, this paper offers a more nuanced perspective on the complex interplay between metal implants and human biology, advancing the discourse on implant safety and material innovation. Full article
(This article belongs to the Collection Review Papers Collection for Bioactive Coatings)
Show Figures

Figure 1

16 pages, 6969 KB  
Article
Effect of Tribocorrosion on Mechanical Behavior of Titanium Dental Implants: An In Vitro Study
by Erika Vegas-Bustamante, Gemma Sanmartí-García, Javier Gil, Luis Delgado-Garoña, Rui Figueiredo, Octavi Camps-Font, Mª Ángeles Sánchez-Garcés and Jorge Toledano-Serrabona
Materials 2025, 18(5), 1136; https://doi.org/10.3390/ma18051136 - 3 Mar 2025
Cited by 2 | Viewed by 1567
Abstract
Background/Objectives: Peri-implantitis often necessitates surgical intervention, with implantoplasty being proposed as a decontamination method in resective surgeries. This mechanical cleaning technique aims to halt disease progression by removing bacterial colonies. However, implantoplasty may compromise mechanical properties, reduce corrosion resistance, and lead to cytotoxic [...] Read more.
Background/Objectives: Peri-implantitis often necessitates surgical intervention, with implantoplasty being proposed as a decontamination method in resective surgeries. This mechanical cleaning technique aims to halt disease progression by removing bacterial colonies. However, implantoplasty may compromise mechanical properties, reduce corrosion resistance, and lead to cytotoxic effects due to titanium particle release. This study aimed to evaluate the corrosion and mechanical resistance of implantoplasty-treated dental implants, with and without bacterial contamination. Methods: Twenty dental implants were divided into three groups: control (C), implantoplasty (IP), and implantoplasty with bacterial contamination (IPC) using Streptococcus aureus and Porphyromonas gingivalis. Scanning electron microscopy was used to assess surface morphology. Fatigue life curves were obtained using a Bionix servohydraulic machine, and electrochemical corrosion tests were conducted to measure corrosion potentials and intensities. Results: The IPC group demonstrated significantly lower fatigue resistance and higher susceptibility to corrosion compared to the control and IP groups. Fatigue life decreased by 21.7%, and corrosion current density (ICORR) increased from 0.025 μA/cm2 (control) to 0.089 μA/cm2 (IP) and 0.122 μA/cm2 (IPC). Corrosion potential (ECORR) shifted from −380 mV (control) to −450 mV (IP) and −495 mV (IPC). Surface defects caused by bacterial colonization facilitated stress concentration and crack initiation during fatigue testing. Conclusions: Dental implants treated with implantoplasty and exposed to bacterial contamination exhibit significantly reduced mechanical and corrosion resistance. Bacterial activity exacerbates surface vulnerability, leading to titanium loss and pitting corrosion. These findings highlight the clinical implications of bacterial colonization on implantoplasty-treated surfaces. Full article
Show Figures

Figure 1

29 pages, 664 KB  
Review
Nano-Based Approaches in Surface Modifications of Dental Implants: A Literature Review
by Chrysa Marasli, Hector Katifelis, Maria Gazouli and Nefeli Lagopati
Molecules 2024, 29(13), 3061; https://doi.org/10.3390/molecules29133061 - 27 Jun 2024
Cited by 21 | Viewed by 7207
Abstract
Rehabilitation of fully or partially edentulous patients with dental implants represents one of the most frequently used surgical procedures. The work of Branemark, who observed that a piece of titanium embedded in rabbit bone became firmly attached and difficult to remove, introduced the [...] Read more.
Rehabilitation of fully or partially edentulous patients with dental implants represents one of the most frequently used surgical procedures. The work of Branemark, who observed that a piece of titanium embedded in rabbit bone became firmly attached and difficult to remove, introduced the concept of osseointegration and revolutionized modern dentistry. Since then, an ever-growing need for improved implant materials towards enhanced material–tissue integration has emerged. There is a strong belief that nanoscale materials will produce a superior generation of implants with high efficiency, low cost, and high volume. The aim of this review is to explore the contribution of nanomaterials in implantology. A variety of nanomaterials have been proposed as potential candidates for implant surface customization. They can have inherent antibacterial properties, provide enhanced conditions for osseointegration, or act as reservoirs for biomolecules and drugs. Titania nanotubes alone or in combination with biological agents or drugs are used for enhanced tissue integration in dental implants. Regarding immunomodulation and in order to avoid implant rejection, titania nanotubes, graphene, and biopolymers have successfully been utilized, sometimes loaded with anti-inflammatory agents and extracellular vesicles. Peri-implantitis prevention can be achieved through the inherent antibacterial properties of metal nanoparticles and chitosan or hybrid coatings bearing antibiotic substances. For improved corrosion resistance various materials have been explored. However, even though these modifications have shown promising results, future research is necessary to assess their clinical behavior in humans and proceed to widespread commercialization. Full article
(This article belongs to the Special Issue Synthesis of Nanomaterials and Their Applications in Biomedicine)
Show Figures

Figure 1

16 pages, 5203 KB  
Article
The Effect of Implantoplasty on the Fatigue Behavior and Corrosion Resistance in Titanium Dental Implants
by Darcio Fonseca, Beatriz de Tapia, Ramon Pons, Conrado Aparicio, Fernando Guerra, Ana Messias and Javier Gil
Materials 2024, 17(12), 2944; https://doi.org/10.3390/ma17122944 - 15 Jun 2024
Cited by 5 | Viewed by 2281
Abstract
Implantoplasty is a technique increasingly used to remove the biofilm that causes peri-implantitis on dental implants. This technique of mechanization of the titanium surface makes it possible to eliminate bacterial colonies, but it can generate variations in the properties of the implant. These [...] Read more.
Implantoplasty is a technique increasingly used to remove the biofilm that causes peri-implantitis on dental implants. This technique of mechanization of the titanium surface makes it possible to eliminate bacterial colonies, but it can generate variations in the properties of the implant. These variations, especially those in fatigue resistance and electrochemical corrosion behavior, have not been studied much. In this work, fatigue tests were performed on 60 dental implants without implantoplasty, namely 30 in air and 30 in Hank’s solution at 37 °C, and 60 with implatoplasty, namely 30 in air and 30 in Hank’s solution at 37 °C, using triaxial tension–compression and torsion stresses simulating human chewing. Mechanical tests were performed with a Bionix servo-hydraulic testing machine and fracture surfaces were studied by scanning electron microcopyElectrochemical corrosion tests were performed on 20 dental implants to determine the corrosion potentials and corrosion intensity for control implants and implantoplasty implants. Studies of titanium ion release to the physiological medium were carried out for each type of dental implants by Inductively Coupled-Plasma Mass Spectrometry at different immersion times at 37 °C. The results show a loss of fatigue caused by the implantoplasty of 30%, observing that the nucleation points of the cracks are in the areas of high deformation in the areas of the implant neck where the mechanization produced in the treatment of the implantoplasty causes an exaltation of fatigue cracks. It has been observed that tests performed in Hank’s solution reduce the fatigue life due to the incorporation of hydrogen in the titanium causing the formation of hydrides that embrittle the dental implant. Likewise, the implantoplasty causes a reduction of the corrosion resistance with some pitting on the machined surface. Ion release analyses are slightly higher in the implantoplasted samples but do not show statistically significant differences. It has been observed that the physiological environment reduces the fatigue life of the implants due to the penetration of hydrogen into the titanium forming titanium hydrides which embrittle the implant. These results should be taken into account by clinicians to determine the convenience of performing a treatment such as implantoplasty that reduces the mechanical behavior and increases the chemical degradation of the titanium dental implant. Full article
(This article belongs to the Special Issue Materials and Devices for Multidisciplinary Dental Treatments)
Show Figures

Figure 1

17 pages, 3141 KB  
Article
Zirconia Hybrid Dental Implants Influence the Biological Properties of Neural Crest-Derived Mesenchymal Stromal Cells
by Nadia Tagliaferri, Alessandra Pisciotta, Giulia Orlandi, Giulia Bertani, Rosanna Di Tinco, Laura Bertoni, Paola Sena, Alice Lunghi, Michele Bianchi, Federica Veneri, Pierantonio Bellini, Jessika Bertacchini, Enrico Conserva, Ugo Consolo and Gianluca Carnevale
Nanomaterials 2024, 14(5), 392; https://doi.org/10.3390/nano14050392 - 20 Feb 2024
Cited by 7 | Viewed by 2570
Abstract
Dental implants are regularly employed in tooth replacement, the good clinical outcome of which is strictly correlated to the choice of an appropriate implant biomaterial. Titanium-based implants are considered the gold standard for rehabilitation of edentulous spaces. However, the insurgence of allergic reactions, [...] Read more.
Dental implants are regularly employed in tooth replacement, the good clinical outcome of which is strictly correlated to the choice of an appropriate implant biomaterial. Titanium-based implants are considered the gold standard for rehabilitation of edentulous spaces. However, the insurgence of allergic reactions, cellular sensitization and low integration with dental and gingival tissues lead to poor osseointegration, affecting the implant stability in the bone and favoring infections and inflammatory processes in the peri-implant space. These failures pave the way to develop and improve new biocompatible implant materials. CERID dental implants are made of a titanium core embedded in a zirconium dioxide ceramic layer, ensuring absence of corrosion, a higher biological compatibility and a better bone deposition compared to titanium ones. We investigated hDPSCs’ biological behavior, i.e., cell adhesion, proliferation, morphology and osteogenic potential, when seeded on both CERID and titanium implants, before and after cleansing with two different procedures. SEM and AFM analysis of the surfaces showed that while CERID disks were not significantly affected by the cleansing system, titanium ones exhibited well-visible modifications after brush treatment, altering cell morphology. The proliferation rate of DPSCs was increased for titanium, while it remained unaltered for CERID. Both materials hold an intrinsic potential to promote osteogenic commitment of neuro-ectomesenchymal stromal cells. Interestingly, the CERID surface mitigated the immune response by inducing an upregulation of anti-inflammatory cytokine IL-10 on activated PBMCs when a pro-inflammatory microenvironment was established. Our in vitro results pave the way to further investigations aiming to corroborate the potential of CERID implants as suitable biomaterials for dental implant applications. Full article
Show Figures

Figure 1

20 pages, 4119 KB  
Article
Silk Fibroin/ZnO Coated TiO2 Nanotubes for Improved Antimicrobial Effect of Ti Dental Implants
by Angela Gabriela Păun, Cristina Dumitriu, Camelia Ungureanu and Simona Popescu
Materials 2023, 16(17), 5855; https://doi.org/10.3390/ma16175855 - 26 Aug 2023
Cited by 18 | Viewed by 2926
Abstract
The aim of the present research is to develop a novel hybrid coating for a Ti dental implant that combines nature-inspired biomimetic polymers and TiO2 nanostructures with an entrapped ZnO antimicrobial agent. ZnO was used in other studies to cover the surface [...] Read more.
The aim of the present research is to develop a novel hybrid coating for a Ti dental implant that combines nature-inspired biomimetic polymers and TiO2 nanostructures with an entrapped ZnO antimicrobial agent. ZnO was used in other studies to cover the surface of Ti or Ti–Zr to reduce the need of clinical antibiotics, prevent the onset of peri-implantitis, and increase the success rate of oral clinical implantation. We developed an original coating that represents a promising approach in clinical dentistry. The titanium surface was first anodized to obtain TiO2 nanotubes (NT). Subsequently, on the NT surface, silk fibroin isolated from Bombyx mori cocoons was deposited as nanofibers using the electrospun technique. For an improved antibacterial effect, ZnO nanoparticles were incorporated in this biopolymer using three different methods. The surface properties of the newly created coatings were assessed to establish how they are influenced by the most important features: morphology, wettability, topography. The evaluation of stability by electrochemical methods in simulated physiological solutions was discussed more in detail, considering that it could bring necessary information related to the behavior of the implant material. All samples had improved roughness and hydrophilicity, as well as corrosion stability (with protection efficiency over 80%). The antibacterial test shows that the functional hybrid coating has good antibacterial activity because it can inhibit the proliferation of Staphylococcus aureus up to 53% and Enterococcus faecalis up to 55%. All Ti samples with the modified surface have proven superior properties compared with unmodified TiNT, which proved that they have the potential to be used as implant material in dentistry. Full article
(This article belongs to the Special Issue The 15th Anniversary of Materials—Recent Advances in Biomaterials)
Show Figures

Graphical abstract

13 pages, 4507 KB  
Article
Surface Corrosion from Implant–Abutment Couplings with Different Connection Designs Influences Osteoblasts’ Function: A Novel Technique
by Ghada Alrabeah, Jonathan C. Knowles and Haralampos Petridis
Appl. Sci. 2023, 13(15), 8957; https://doi.org/10.3390/app13158957 - 4 Aug 2023
Viewed by 1999
Abstract
The improved peri-implant bone response demonstrated when utilizing the platform-switching concept may result from the reduced levels of metal ions released from implant–abutment surfaces to the surrounding tissues. These corrosion products may play a major role in crestal bone remodeling around dental implants. [...] Read more.
The improved peri-implant bone response demonstrated when utilizing the platform-switching concept may result from the reduced levels of metal ions released from implant–abutment surfaces to the surrounding tissues. These corrosion products may play a major role in crestal bone remodeling around dental implants. This study evaluated the effect of different implant–abutment couplings (platform-matched vs. platform-switched) on osteoblasts’ function. Titanium alloy and cobalt–chrome alloy abutments were coupled with titanium cylinders, forming either platform-switched or platform-matched groups, and were incubated in human osteoblast cultures utilizing a novel direct-exposure technique. Viability was evaluated over 21 days using Alamar Blue assay. Apoptosis was measured after 24 h using flow cytometry. The expression of genes related to bone resorption was analysed over 21 days using a real-time quantitative polymerase chain reaction assay. Cell viability was reduced from day 4 to day 21 (p < 0.05), with higher rates of early apoptosis (p < 0.05) compared to the controls. Apoptosis was higher in the platform-matched groups (p < 0.05). The tested genes’ expression was up-regulated after 1 and 3 days of exposure to implant–abutment couplings (p < 0.05). The upregulation was more pronounced in platform-matched groups (p < 0.05). Exposure of osteoblasts to implant–abutment couplings induced adverse biological responses, which were more pronounced with platform-matched couplings. These reactions might be related to the increased amounts of metal ions released from the platform-matched couplings, highlighting the possible role of corrosion products in the mediation of crestal bone loss around dental implants. Full article
(This article belongs to the Special Issue Advances in Surface Science and Thin Films)
Show Figures

Figure 1

11 pages, 1960 KB  
Brief Report
Corrosion Products from Metallic Implants Induce ROS and Cell Death in Human Motoneurons In Vitro
by Hannes Glaß, Anika Jonitz-Heincke, Janine Petters, Jan Lukas, Rainer Bader and Andreas Hermann
J. Funct. Biomater. 2023, 14(8), 392; https://doi.org/10.3390/jfb14080392 - 25 Jul 2023
Cited by 10 | Viewed by 2286
Abstract
Due to advances in surgical procedures and the biocompatibility of materials used in total joint replacement, more and younger patients are undergoing these procedures. Although state-of-the-art joint replacements can last 20 years or longer, wear and corrosion is still a major risk for [...] Read more.
Due to advances in surgical procedures and the biocompatibility of materials used in total joint replacement, more and younger patients are undergoing these procedures. Although state-of-the-art joint replacements can last 20 years or longer, wear and corrosion is still a major risk for implant failure, and patients with these implants are exposed for longer to these corrosive products. It is therefore important to investigate the potential effects on the whole organism. Released nanoparticles and ions derived from commonly used metal implants consist, among others, of cobalt, nickel, and chromium. The effect of these metallic products in the process of osteolysis and aseptic implant loosening has already been studied; however, the systemic effect on other cell types, including neurons, remains elusive. To this end, we used human iPSC-derived motoneurons to investigate the effects of metal ions on human neurons. We treated human motoneurons with ion concentrations regularly found in patients, stained them with MitoSOX and propidium iodide, and analyzed them with fluorescence-assisted cell sorting (FACS). We found that upon treatment human motoneurons suffered from the formation of ROS and subsequently died. These effects were most prominent in motoneurons treated with 500 μM of cobalt or nickel, in which we observed significant cell death, whereas chromium showed fewer ROS and no apparent impairment of motoneurons. Our results show that the wear and corrosive products of metal implants at concentrations readily available in peri-implant tissues induced ROS and subsequently cell death in an iPSC-derived motoneuron cell model. We therefore conclude that monitoring of neuronal impairment is important in patients undergoing total joint replacement. Full article
(This article belongs to the Special Issue Metals and Alloys for Biomedical Application)
Show Figures

Figure 1

19 pages, 1971 KB  
Review
Engineering Antioxidant Surfaces for Titanium-Based Metallic Biomaterials
by Jithin Vishnu, Praveenkumar Kesavan, Balakrishnan Shankar, Katarzyna Dembińska, Maria Swiontek Brzezinska and Beata Kaczmarek-Szczepańska
J. Funct. Biomater. 2023, 14(7), 344; https://doi.org/10.3390/jfb14070344 - 29 Jun 2023
Cited by 14 | Viewed by 3052
Abstract
Prolonged inflammation induced by orthopedic metallic implants can critically affect the success rates, which can even lead to aseptic loosening and consequent implant failure. In the case of adverse clinical conditions involving osteoporosis, orthopedic trauma and implant corrosion-wear in peri-implant region, the reactive [...] Read more.
Prolonged inflammation induced by orthopedic metallic implants can critically affect the success rates, which can even lead to aseptic loosening and consequent implant failure. In the case of adverse clinical conditions involving osteoporosis, orthopedic trauma and implant corrosion-wear in peri-implant region, the reactive oxygen species (ROS) activity is enhanced which leads to increased oxidative stress. Metallic implant materials (such as titanium and its alloys) can induce increased amount of ROS, thereby critically influencing the healing process. This will consequently affect the bone remodeling process and increase healing time. The current review explores the ROS generation aspects associated with Ti-based metallic biomaterials and the various surface modification strategies developed specifically to improve antioxidant aspects of Ti surfaces. The initial part of this review explores the ROS generation associated with Ti implant materials and the associated ROS metabolism resulting in the formation of superoxide anion, hydroxyl radical and hydrogen peroxide radicals. This is followed by a comprehensive overview of various organic and inorganic coatings/materials for effective antioxidant surfaces and outlook in this research direction. Overall, this review highlights the critical need to consider the aspects of ROS generation as well as oxidative stress while designing an implant material and its effective surface engineering. Full article
Show Figures

Graphical abstract

14 pages, 2939 KB  
Article
Effect of Enterococcus faecalis Biofilm on Corrosion Kinetics in Titanium Grade 4 Alloys with Different Surface Treatments
by Jadison Junio Conforte, Cecília Alves Sousa, Ana Claudia Rodrigues da Silva, Allan Victor Ribeiro, Cristiane Duque and Wirley Gonçalves Assunção
Materials 2023, 16(13), 4532; https://doi.org/10.3390/ma16134532 - 22 Jun 2023
Cited by 4 | Viewed by 1758
Abstract
E. faecalis has been associated with bacteremia, sepsis, and bacterial endocarditis and peri-implantitis. This microorganism can remain in the alveolus even after extraction of the root remnant. This study aimed to evaluate the corrosion on different surfaces of commercially pure titanium (Ti) grade [...] Read more.
E. faecalis has been associated with bacteremia, sepsis, and bacterial endocarditis and peri-implantitis. This microorganism can remain in the alveolus even after extraction of the root remnant. This study aimed to evaluate the corrosion on different surfaces of commercially pure titanium (Ti) grade 4 (Ticp-G4) as a function of the bacterial biofilm effect of Enterococcus faecalis. A total of 57 discs were randomly divided according to their surface finish (n = 19). For microbiological analysis (n = 9), the discs were placed in 12-well plates containing E. faecalis culture and incubated at 37 °C for 7 days. The results show that for the intergroup analysis, considering the “electrolyte” factor, there was a difference between the groups. There was greater biofilm formation for the D.A.Zir group, with greater electrochemical exchange for Biofilm, and the presence of biofilm favored greater electrochemical exchange with the medium. Full article
(This article belongs to the Topic Properties of the Corroding Interface)
Show Figures

Figure 1

13 pages, 2561 KB  
Article
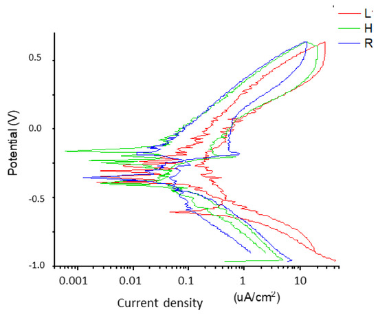
Corrosion Resistance and Titanium Ion Release of Hybrid Dental Implants
by Daniel Robles, Aritza Brizuela, Manuel Fernández-Domínguez and Javier Gil
Materials 2023, 16(10), 3650; https://doi.org/10.3390/ma16103650 - 10 May 2023
Cited by 20 | Viewed by 3366
Abstract
One of the strategies for the fight against peri-implantitis is the fabrication of titanium dental implants with the part close to the neck without roughness. It is well known that roughness favors osseointegration but hinders the formation of biofilm. Implants with this type [...] Read more.
One of the strategies for the fight against peri-implantitis is the fabrication of titanium dental implants with the part close to the neck without roughness. It is well known that roughness favors osseointegration but hinders the formation of biofilm. Implants with this type of structure are called hybrid dental implants, which sacrifice better coronal osseointegration for a smooth surface that hinders bacterial colonization. In this contribution, we have studied the corrosion resistance and the release of titanium ions to the medium of smooth (L), hybrid (H), and rough (R) dental implants. All implants were identical in design. Roughness was determined with an optical interferometer and residual stresses were determined for each surface by X-ray diffraction using the Bragg–Bentano technique. Corrosion studies were carried out with a Voltalab PGZ301 potentiostat, using Hank’s solution as an electrolyte at a temperature of 37 °C. Open-circuit potentials (Eocp), corrosion potential (Ecorr), and current density (icorr) were determined. Implant surfaces were observed by JEOL 5410 scanning electron microscopy. Finally, for each of the different dental implants, the release of ions into Hank’s solution at 37 °C at 1, 7, 14, and 30 days of immersion was determined by ICP-MS. The results, as expected, show a higher roughness of R with respect to L and compressive residual stresses of −201.2 MPa and −20.2 MPa, respectively. These differences in residual stresses create a potential difference in the H implant corresponding to Eocp of −186.4 mV higher than for the L and R of −200.9 and −192.2 mV, respectively. The corrosion potentials and current intensity are also higher for the H implants (−223 mV and 0.069 μA/mm2) with respect to the L (−280 mV and 0.014 μA/mm2 and R (−273 mV and 0.019 μA/mm2). Scanning electron microscopy revealed pitting in the interface zone of the H implants and no pitting in the L and R dental implants. The titanium ion release values to the medium are higher in the R implants due to their higher specific surface area compared to the H and L implants. The maximum values obtained are low, not exceeding 6 ppb in 30 days. Full article
(This article belongs to the Section Biomaterials)
Show Figures

Figure 1

Back to TopTop