Sign in to use this feature.

Years

Between: -

Subjects

remove_circle_outline
remove_circle_outline
remove_circle_outline
remove_circle_outline

Journals

Article Types

Countries / Regions

Search Results (60)

Search Parameters:
Keywords = peptoids

Order results
Result details
Results per page
Select all
Export citation of selected articles as:
24 pages, 2734 KB  
Article
Synthetic Linear Lipopeptides and Lipopeptoids Induce Apoptosis and Oxidative Stress: In Vitro Cytotoxicity and SAR Evaluation Against Cancer Cell Lines
by Ali Hmedat, Sebastian Stark, Tuvshinjargal Budragchaa, Nebojša Đ. Pantelić, Ludger A. Wessjohann and Goran N. Kaluđerović
Pharmaceuticals 2025, 18(12), 1840; https://doi.org/10.3390/ph18121840 - 2 Dec 2025
Viewed by 748
Abstract
Background: Cancer remains a major global health challenge, with current therapies often limited by high toxicity and poor selectivity. Lipopeptides, due to their amphiphilic architecture and synthetic accessibility, have emerged as promising anticancer agents. In this study, the in vitro cytotoxic potential [...] Read more.
Background: Cancer remains a major global health challenge, with current therapies often limited by high toxicity and poor selectivity. Lipopeptides, due to their amphiphilic architecture and synthetic accessibility, have emerged as promising anticancer agents. In this study, the in vitro cytotoxic potential and structure–activity relationships (SARs) of a library of 60 synthetic linear lipopeptides (LLPs), including lipopeptide–peptoid chimeras generated via the Ugi four-component reaction, were evaluated against four cancer cell lines (B16F10, HeLa, HT-29, and PC3). Methods: Cytotoxicity was assessed using MTT and crystal violet (CV) assays, and the natural cyclic lipopeptide surfactin was included as a reference. SAR analysis explored the effects of C-terminal functional groups, lipophilic tail length, peptide core size, and side chain modifications. Mechanistic studies involved cell cycle analysis, apoptosis markers (Annexin V/PI staining, caspase-3 activation), and oxidative stress assessment (ROS/RNS and NO production). Results: Several synthetic LLPs showed potent and selective anticancer activity, with IC50 values approximately 3–15 times lower than that of surfactin and with minimal toxicity toward non-cancerous NIH3T3 fibroblasts. Key structural determinants for activity included the presence of a C-terminal ester group, a lipophilic tail of 14–19 carbon atoms, and a tetrapeptide core. LLPs containing phenyl or azide side chains further enhanced cytotoxicity in a cell line-dependent manner. Mechanistic investigations confirmed that active LLPs induce caspase-dependent apoptosis, cell cycle arrest, and oxidative stress. These findings highlight that the synthetic LLPs demonstrate high in vitro anticancer efficacy with favorable selectivity. Conclusions: Synthetic LLPs exhibit potent and selective anticancer activity in vitro. SAR insights and mechanistic findings support their development as next-generation lipopeptide-based therapeutics. Full article
Show Figures

Graphical abstract

16 pages, 5456 KB  
Article
A Novel Peptoid Hybrid of Alpha-Calcitonin Gene-Related Peptide (α-CGRP) Ameliorates Cardiac Remodeling in Pressure Overload-Induced Heart Failure
by Sarah Deloach, Ambrish Kumar, Emily Ruggiero, Ryan Ball, Kamryn Gleason, Jason Kubinak, Donald J. DiPette and Jay D. Potts
Cells 2025, 14(20), 1580; https://doi.org/10.3390/cells14201580 - 11 Oct 2025
Viewed by 1495
Abstract
α-CGRP (alpha-calcitonin gene-related peptide) is a vasoactive and anti-inflammatory neuropeptide that is cardioprotective in transverse aortic constriction (TAC)-induced pressure overload heart failure (HF) models. Our previous investigations established that a peptoid modification of α-CGRP, termed NMEG-CGRP, prevented left ventricular (LV) dysfunction and remodeling [...] Read more.
α-CGRP (alpha-calcitonin gene-related peptide) is a vasoactive and anti-inflammatory neuropeptide that is cardioprotective in transverse aortic constriction (TAC)-induced pressure overload heart failure (HF) models. Our previous investigations established that a peptoid modification of α-CGRP, termed NMEG-CGRP, prevented left ventricular (LV) dysfunction and remodeling when administered subcutaneously every other day for 28 days, starting two days post-TAC surgery (termed prevention study). Here, we determined whether NMEG-CGRP would be cardioprotective when administered after the development of LV dysfunction secondary to TAC surgery (termed treatment study). Starting 15 days post-sham or TAC surgery, we administered NMEG-CGRP (3.6 mg/kg/mouse) subcutaneously every other day for 28 days in mice assigned to treatment groups. In vivo assessments included weekly electrocardiography to evaluate cardiac function and blood sampling for immunophenotyping. On Day 45, mice were euthanized, and hearts were collected for gross, histological, and biochemical analyses. Compared to sham-operated mice, TAC mice exhibited decreased LV ejection fraction and increased hypertrophy, dilation, fibrosis, apoptosis, and oxidative stress. In contrast, TAC mice treated with NMEG-CGRP demonstrated significant improvements in cardiac function and cellular and biochemical parameters when compared to TAC mice. These findings demonstrate the therapeutic potential of NMEG-CGRP in the treatment of established cardiovascular dysfunction and its progression in pressure overload-induced HF. Full article
Show Figures

Figure 1

12 pages, 3303 KB  
Article
Topology-Dependent Antifreeze Properties of Biomimetic Linear and Star-Shaped Peptoids
by Lei Feng, Liugen Xu, Junhao Wen, Minghai Zhao, Amjad Ali, Naushad Ahmad, Jianwei Lu and Li Guo
Biomimetics 2025, 10(6), 368; https://doi.org/10.3390/biomimetics10060368 - 4 Jun 2025
Viewed by 930
Abstract
Developing safe and efficient cryoprotectants is critical for effective cryopreservation in biomedical applications. Inspired by natural antifreeze proteins (AFPs), a series of linear and star-shaped peptoids featuring isopropanol side chains to mimic the amphiphilic characteristics of threonine were prepared. The effects of chain [...] Read more.
Developing safe and efficient cryoprotectants is critical for effective cryopreservation in biomedical applications. Inspired by natural antifreeze proteins (AFPs), a series of linear and star-shaped peptoids featuring isopropanol side chains to mimic the amphiphilic characteristics of threonine were prepared. The effects of chain length and molecular topology on antifreeze properties were systematically investigated. Both ice recrystallization inhibition (IRI) and ice crystal growth suppression improved with increasing chain length, and star-shaped peptoids exhibited superior performance. Notably, the star-shaped peptoid S-(A6)3 demonstrated excellent antifreeze activity and low cytotoxicity, highlighting its promise as a novel, non-toxic alternative to conventional cryoprotectants like DMSO. These findings provide valuable insight into the structure-property relationship of peptoids for cryopreservation applications. Full article
Show Figures

Figure 1

24 pages, 3364 KB  
Article
One-Pot Approach Towards Peptoids Synthesis Using 1,4-Dithiane-2,5-Diol via Multicomponent Approach and DFT-Based Computational Analysis
by Musrat Shaheen and Akbar Ali
Molecules 2025, 30(11), 2340; https://doi.org/10.3390/molecules30112340 - 27 May 2025
Cited by 1 | Viewed by 2621
Abstract
Peptoids are peptidomimetics in which the side chain is attached to the nitrogen of the amide group rather than the α-carbon. This alteration in the backbone structure is highly valued because it endows beneficial properties, including enhanced resistance to proteolysis, greater immunogenicity, [...] Read more.
Peptoids are peptidomimetics in which the side chain is attached to the nitrogen of the amide group rather than the α-carbon. This alteration in the backbone structure is highly valued because it endows beneficial properties, including enhanced resistance to proteolysis, greater immunogenicity, improved biostability, and superior bioavailability. In this current study, we focused on the Ugi-4CR-based one-pot synthesis of peptoids using 1,4-dithiane-2,5-diol as the carbonyl component together with amine, carboxylic acid, and isocyanides. Four new peptoids—5a, 5b, 5c, and 5d—were designed and efficiently prepared in good chemical yields and were subjected to DFT investigations for their electronic behavior. These compounds have free OH, SH, and terminal triple bonds for further chemistry. In a computational analysis, the spectral data of compounds 5a5d were juxtaposed with calculated spectral values derived from the B3LYP/6-311G(d,p) level. The electronic excitation and orbital contributions of 5a5d were predicted using TD-DFT calculations. A natural bond order (NBO) analysis was utilized to investigate the electronic transition of newly synthesized peptoids, focusing on their charge distribution patterns. Furthermore, MEP and NPA analyses were conducted to predict charge distribution in these compounds. The reactivity and stability of the targeted peptoids were evaluated by global reactivity descriptors, which were determined with frontier molecular orbital analysis. The DFT results revealed that compound 5c displayed marginally higher reactivity compared to 5a, 5b, and 5d, possibly due to its extended conjugation. Full article
Show Figures

Figure 1

14 pages, 6876 KB  
Article
Near-Edge X-Ray Absorption Fine-Structure Spectra and Specific Dissociation of Phe-Gly and Gly-Phe
by Tse-Fu Shen, Yu-Ju Chiang, Yi-Shiue Lin, Chen-Lin Liu, Yu-Chiao Wang, Kuan-Yi Chou, Cheng-Cheng Tsai and Wei-Ping Hu
Int. J. Mol. Sci. 2025, 26(6), 2515; https://doi.org/10.3390/ijms26062515 - 11 Mar 2025
Viewed by 1427
Abstract
The total-ion-yield (TIY) near-edge X-ray absorption fine-structure (NEXAFS) spectra of two dipeptides were measured and analyzed to identify the excitation sites of core electrons and the corresponding destination molecular orbitals. Peptide molecules were transferred to the gaseous phase using traditional heating and MALDI [...] Read more.
The total-ion-yield (TIY) near-edge X-ray absorption fine-structure (NEXAFS) spectra of two dipeptides were measured and analyzed to identify the excitation sites of core electrons and the corresponding destination molecular orbitals. Peptide molecules were transferred to the gaseous phase using traditional heating and MALDI methods, ensuring that the resulting NEXAFS spectra and fragmentation products were consistent across both approaches. Mass spectra obtained at various excitation energies revealed the branching ratios of products at each energy level, offering insights into specific dissociation phenomena. Notably, variations in excitation energy demonstrated a selective dissociation process, with certain products forming more efficiently. This specificity appears closely linked to dissociations near the peptide bond, where the nodal planes of destination molecular orbitals are located. These findings were validated using both small peptide models and peptoid molecules, highlighting consistent patterns in the dissociation behavior. Full article
(This article belongs to the Section Molecular Informatics)
Show Figures

Figure 1

28 pages, 2973 KB  
Review
Peptide-Based Biomaterials for Combatting Infections and Improving Drug Delivery
by Lucia Lombardi, Jiaxu Li and Daryl R. Williams
Pharmaceutics 2024, 16(11), 1468; https://doi.org/10.3390/pharmaceutics16111468 - 18 Nov 2024
Cited by 10 | Viewed by 3762
Abstract
This review explores the potential of peptide-based biomaterials to enhance biomedical applications through self-assembly, biological responsiveness, and selective targeting. Peptides are presented as versatile agents for antimicrobial activity and drug delivery, with recent approaches incorporating antimicrobial peptides into self-assembling systems to improve effectiveness [...] Read more.
This review explores the potential of peptide-based biomaterials to enhance biomedical applications through self-assembly, biological responsiveness, and selective targeting. Peptides are presented as versatile agents for antimicrobial activity and drug delivery, with recent approaches incorporating antimicrobial peptides into self-assembling systems to improve effectiveness and reduce resistance. The review also covers peptide-based nanocarriers for cancer drug delivery, highlighting their improved stability, targeted delivery, and reduced side effects. The focus of this work is on the bioactive properties of peptides, particularly in infection control and drug delivery, rather than on their structural design or material characteristics. Additionally, it examines the role of peptidomimetics in broadening biomaterial applications and enhancing resistance to enzymatic degradation. Finally, the review discusses the commercial prospects and challenges of translating peptide biomaterials into clinical applications. Full article
(This article belongs to the Section Drug Delivery and Controlled Release)
Show Figures

Graphical abstract

8 pages, 1560 KB  
Communication
Systematic Investigation on Acid-Catalyzed Truncation of N-Acylated Peptoids
by Ruiqi Piao and Yong-Uk Kwon
Int. J. Mol. Sci. 2024, 25(21), 11390; https://doi.org/10.3390/ijms252111390 - 23 Oct 2024
Cited by 1 | Viewed by 1438
Abstract
Peptoids have emerged as a useful alternative to peptides. However, N-acylated peptoids have occasionally undergone truncation at the terminal peptoid unit under acidic conditions. We previously reported on the mechanistic and electronic aspects of the acid-catalyzed truncation of N-acylated peptoids. To [...] Read more.
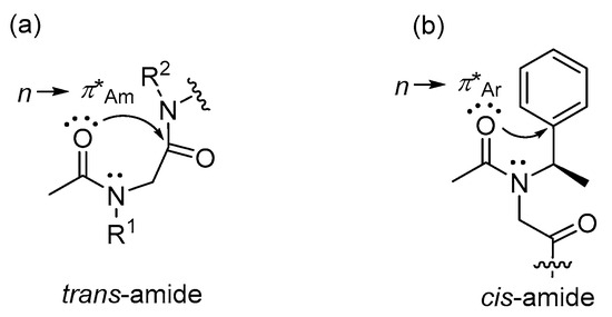
Peptoids have emerged as a useful alternative to peptides. However, N-acylated peptoids have occasionally undergone truncation at the terminal peptoid unit under acidic conditions. We previously reported on the mechanistic and electronic aspects of the acid-catalyzed truncation of N-acylated peptoids. To gain further insight, we systematically investigated the conformational and electronic effects of the terminal side chains of peptoids. The nπ* interaction, based on cis/trans-amide bond conformation, is considered to be one of the determining factors. In this study, it was demonstrated that both conformational and electronic factors contribute to this unusual truncation. Full article
(This article belongs to the Section Biochemistry)
Show Figures

Figure 1

14 pages, 3746 KB  
Article
Functionalized Surface Coatings for Rigid Contact Lenses
by Roeya Refaei, Kyueui Lee, Goun Amy Lee, Paul Demian, Fouad El Mansouri, Phillip B. Messersmith, Mouad Lamrani, Mohamed Khaddor and Nabil Allali
J. Funct. Biomater. 2024, 15(6), 154; https://doi.org/10.3390/jfb15060154 - 5 Jun 2024
Cited by 2 | Viewed by 3246
Abstract
This research evolves into a comparative study of three different phenolic composites as coatings for rigid contact lenses, with a particular emphasis on enhancing their antifouling properties and hydrophobicity. The primary layer, comprised of diverse phenolic compounds, serves as a sturdy foundation. An [...] Read more.
This research evolves into a comparative study of three different phenolic composites as coatings for rigid contact lenses, with a particular emphasis on enhancing their antifouling properties and hydrophobicity. The primary layer, comprised of diverse phenolic compounds, serves as a sturdy foundation. An exclusive secondary layer, featuring synthetic peptoids, is introduced to further minimize biofouling. Validated through X-ray photoelectron spectroscopy, the surface analysis confirms the successful integration of the polyphenolic layers and the subsequent grafting of peptoids onto the lens surface. The efficacy of the proposed coatings is substantiated through protein adsorption tests, providing definitive evidence of their antifouling capabilities. This research employs a nuanced assessment of coating performance, utilizing the quantification of fluorescence intensity to gauge effectiveness. Additionally, contact angle measurements offer insights into wettability and surface characteristics, contributing to a comprehensive understanding of the coating’s practicality. Full article
(This article belongs to the Section Biomaterials and Devices for Healthcare Applications)
Show Figures

Figure 1

19 pages, 2888 KB  
Article
Anti-Neuroinflammatory Effects of a Macrocyclic Peptide-Peptoid Hybrid in Lipopolysaccharide-Stimulated BV2 Microglial Cells
by Lu Sun, Soraya Wilke Saliba, Matthias Apweiler, Kamil Akmermer, Claudine Herlan, Christoph Grathwol, Antônio Carlos Pinheiro de Oliveira, Claus Normann, Nicole Jung, Stefan Bräse and Bernd L. Fiebich
Int. J. Mol. Sci. 2024, 25(8), 4462; https://doi.org/10.3390/ijms25084462 - 18 Apr 2024
Cited by 7 | Viewed by 3587
Abstract
Inflammation processes of the central nervous system (CNS) play a vital role in the pathogenesis of several neurological and psychiatric disorders like depression. These processes are characterized by the activation of glia cells, such as microglia. Clinical studies showed a decrease in symptoms [...] Read more.
Inflammation processes of the central nervous system (CNS) play a vital role in the pathogenesis of several neurological and psychiatric disorders like depression. These processes are characterized by the activation of glia cells, such as microglia. Clinical studies showed a decrease in symptoms associated with the mentioned diseases after the treatment with anti-inflammatory drugs. Therefore, the investigation of novel anti-inflammatory drugs could hold substantial potential in the treatment of disorders with a neuroinflammatory background. In this in vitro study, we report the anti-inflammatory effects of a novel hexacyclic peptide-peptoid hybrid in lipopolysaccharide (LPS)-stimulated BV2 microglial cells. The macrocyclic compound X15856 significantly suppressed Interleukin 6 (IL-6), tumor necrosis factor-α (TNF-α), c-c motif chemokine ligand 2 (CCL2), CCL3, C-X-C motif chemokine ligand 2 (CXCL2), and CXCL10 expression and release in LPS-treated BV2 microglial cells. The anti-inflammatory effects of the compound are partially explained by the modulation of the phosphorylation of p38 mitogen-activated protein kinases (MAPK), p42/44 MAPK (ERK 1/2), protein kinase C (PKC), and the nuclear factor (NF)-κB, respectively. Due to its remarkable anti-inflammatory properties, this compound emerges as an encouraging option for additional research and potential utilization in disorders influenced by inflammation, such as depression. Full article
Show Figures

Figure 1

11 pages, 3204 KB  
Article
Preparation of Peptoid Antifreeze Agents and Their Structure–Property Relationship
by Kang Yang, Di Liu, Lei Feng, Liugen Xu, Yangang Jiang, Xiran Shen, Amjad Ali, Jianwei Lu and Li Guo
Polymers 2024, 16(7), 990; https://doi.org/10.3390/polym16070990 - 4 Apr 2024
Cited by 7 | Viewed by 2486
Abstract
The development of nontoxic and efficient antifreeze agents for organ cryopreservation is crucial. However, the research remains highly challenging. In this study, we designed and synthesized a series of peptoid oligomers using the solid-phase submonomer synthesis method by mimicking the amphiphilic structures of [...] Read more.
The development of nontoxic and efficient antifreeze agents for organ cryopreservation is crucial. However, the research remains highly challenging. In this study, we designed and synthesized a series of peptoid oligomers using the solid-phase submonomer synthesis method by mimicking the amphiphilic structures of antifreeze proteins (AFPs). The obtained peptoid oligomers showed excellent antifreeze properties, reducing the ice crystal growth rate and inhibiting ice recrystallization. The effects of the hydrophobicity and sequence of the peptoid side chains were also studied to reveal the structure–property relationship. The prepared peptoid oligomers were detected as non-cytotoxic and considered to be useful in the biological field. We hope that the peptoid oligomers presented in this study can provide effective strategies for the design of biological cryoprotectants for organ preservation in the future. Full article
(This article belongs to the Special Issue Bio-Inspired Polymers: Synthesis, Properties and Applications)
Show Figures

Graphical abstract

13 pages, 1638 KB  
Article
Antiviral Effect of Antimicrobial Peptoid TM9 and Murine Model of Respiratory Coronavirus Infection
by Maxim Lebedev, Aaron B. Benjamin, Sathish Kumar, Natalia Molchanova, Jennifer S. Lin, Kent J. Koster, Julian L. Leibowitz, Annelise E. Barron and Jeffrey D. Cirillo
Pharmaceutics 2024, 16(4), 464; https://doi.org/10.3390/pharmaceutics16040464 - 27 Mar 2024
Cited by 2 | Viewed by 2739
Abstract
New antiviral agents are essential to improving treatment and control of SARS-CoV-2 infections that can lead to the disease COVID-19. Antimicrobial peptoids are sequence-specific oligo-N-substituted glycine peptidomimetics that emulate the structure and function of natural antimicrobial peptides but are resistant to [...] Read more.
New antiviral agents are essential to improving treatment and control of SARS-CoV-2 infections that can lead to the disease COVID-19. Antimicrobial peptoids are sequence-specific oligo-N-substituted glycine peptidomimetics that emulate the structure and function of natural antimicrobial peptides but are resistant to proteases. We demonstrate antiviral activity of a new peptoid (TM9) against the coronavirus, murine hepatitis virus (MHV), as a closely related model for the structure and antiviral susceptibility profile of SARS-CoV-2. This peptoid mimics the human cathelicidin LL-37, which has also been shown to have antimicrobial and antiviral activity. In this study, TM9 was effective against three murine coronavirus strains, demonstrating that the therapeutic window is large enough to allow the use of TM9 for treatment. All three isolates of MHV generated infection in mice after 15 min of exposure by aerosol using the Madison aerosol chamber, and all three viral strains could be isolated from the lungs throughout the 5-day observation period post-infection, with the peak titers on day 2. MHV-A59 and MHV-A59-GFP were also isolated from the liver, heart, spleen, olfactory bulbs, and brain. These data demonstrate that MHV serves as a valuable natural murine model of coronavirus pathogenesis in multiple organs, including the brain. Full article
Show Figures

Figure 1

17 pages, 1710 KB  
Review
Could Targeting NPM1c+ Misfolding Be a Promising Strategy for Combating Acute Myeloid Leukemia?
by Daniele Florio and Daniela Marasco
Int. J. Mol. Sci. 2024, 25(2), 811; https://doi.org/10.3390/ijms25020811 - 9 Jan 2024
Cited by 5 | Viewed by 4150
Abstract
Acute myeloid leukemia (AML) is a heterogeneous group of diseases classified into various types on the basis of distinct features concerning the morphology, cytochemistry and cytogenesis of leukemic cells. Among the different subtypes, the group “AML with gene mutations” includes the variations of [...] Read more.
Acute myeloid leukemia (AML) is a heterogeneous group of diseases classified into various types on the basis of distinct features concerning the morphology, cytochemistry and cytogenesis of leukemic cells. Among the different subtypes, the group “AML with gene mutations” includes the variations of the gene of the multifunctional protein nucleophosmin 1 (NPM1). These mutations are the most frequent (~30–35% of AML adult patients and less in pediatric ones) and occur predominantly in the C-terminal domain (CTD) of NPM1. The most important mutation is the insertion at W288, which determines the frame shift W288Cfs12/Ffs12/Lfs*12 and leads to the addition of 2–12 amino acids, which hamper the correct folding of NPM1. This mutation leads to the loss of the nuclear localization signal (NoLS) and to aberrant cytoplasmic localization, denoted as NPM1c+. Many investigations demonstrated that interfering with the cellular location and oligomerization status of NPM1 can influence its biological functions, including the proper buildup of the nucleolus, and therapeutic strategies have been proposed to target NPM1c+, particularly the use of drugs able to re-direct NPM1 localization. Our studies unveiled a direct link between AML mutations and the neat amyloidogenic character of the CTDs of NPM1c+. Herein, with the aim of exploiting these conformational features, novel therapeutic strategies are proposed that rely on the induction of the selective self-cytotoxicity of leukemic blasts by focusing on agents such as peptides, peptoids or small molecules able to enhance amyloid aggregation and targeting selectively AML–NPM1c+ mutations. Full article
(This article belongs to the Special Issue Protein Structure Research 2024)
Show Figures

Figure 1

16 pages, 2363 KB  
Article
A Peptoid-Chelator Selective to Cu2+ That Can Extract Copper from Metallothionein-2 and Lead to the Production of ROS
by Anastasia Esther Behar and Galia Maayan
Antioxidants 2023, 12(12), 2031; https://doi.org/10.3390/antiox12122031 - 22 Nov 2023
Cited by 7 | Viewed by 3137
Abstract
Copper is an essential metal ion that is involved in critical cellular processes, but which can also exhibit toxic effects through its ability to catalyze reactive oxygen species (ROS) formation. Dysregulation of copper homeostasis has been implicated in the progression of several diseases, [...] Read more.
Copper is an essential metal ion that is involved in critical cellular processes, but which can also exhibit toxic effects through its ability to catalyze reactive oxygen species (ROS) formation. Dysregulation of copper homeostasis has been implicated in the progression of several diseases, including cancer. A novel therapeutic approach, extensively studied in recent years, is to capitalize on the increased copper uptake and dependency exhibited by cancer cells and to promote copper-associated ROS production within the tumor microenvironment, leading to the apoptosis of cancer cells. Such an effect can be achieved by selectively chelating copper from copper-bearing metalloproteins in cancer cells, thereby forming a copper–chelator complex that produces ROS and, through this, induces oxidative stress and initiates apoptosis. Herein, we describe a peptoid chelator, TB, that is highly suitable to carry this task. Peptoids are N-substituted glycine oligomers that can be efficiently synthesized on a solid support and are also biocompatible; thus, they are considered promising drug candidates. We show, by rigorous spectroscopic techniques, that TB is not only selective for Cu(II) ions, but can also effectively extract copper from metallothionein-2, and the formed complex CuTB can promote ROS production. Our findings present a promising first example for the future development of peptoid-based chelators for applications in anti-cancer chelation therapy, highlighting the potential for the prospect of peptoid chelators as therapeutics. Full article
(This article belongs to the Collection Feature Papers in ROS, RNS, RSS)
Show Figures

Figure 1

15 pages, 1908 KB  
Review
Peptoids: Smart and Emerging Candidates for the Diagnosis of Cancer, Neurological and Autoimmune Disorders
by Anna Giorgio, Annarita Del Gatto, Simone Pennacchio, Michele Saviano and Laura Zaccaro
Int. J. Mol. Sci. 2023, 24(22), 16333; https://doi.org/10.3390/ijms242216333 - 15 Nov 2023
Cited by 8 | Viewed by 2916
Abstract
Early detection of fatal and disabling diseases such as cancer, neurological and autoimmune dysfunctions is still desirable yet challenging to improve quality of life and longevity. Peptoids (N-substituted glycine oligomers) are a relatively new class of peptidomimetics, being highly versatile and capable of [...] Read more.
Early detection of fatal and disabling diseases such as cancer, neurological and autoimmune dysfunctions is still desirable yet challenging to improve quality of life and longevity. Peptoids (N-substituted glycine oligomers) are a relatively new class of peptidomimetics, being highly versatile and capable of mimicking the architectures and the activities of the peptides but with a marked resistance to proteases and a propensity to cross the cellular membranes over the peptides themselves. For these properties, they have gained an ever greater interest in applications in bioengineering and biomedical fields. In particular, the present manuscript is to our knowledge the only review focused on peptoids for diagnostic applications and covers the last decade’s literature regarding peptoids as tools for early diagnosis of pathologies with a great impact on human health and social behavior. The review indeed provides insights into the peptoid employment in targeted cancer imaging and blood-based screening of neurological and autoimmune diseases, and it aims to attract the scientific community’s attention to continuing and sustaining the investigation of these peptidomimetics in the diagnosis field considering their promising peculiarities. Full article
(This article belongs to the Topic Peptoids and Peptide Based Drugs)
Show Figures

Figure 1

26 pages, 4281 KB  
Article
The Antimicrobial, Antibiofilm and Anti-Inflammatory Activities of P13#1, a Cathelicidin-like Achiral Peptoid
by Valeria Cafaro, Andrea Bosso, Ilaria Di Nardo, Assunta D’Amato, Irene Izzo, Francesco De Riccardis, Marialuisa Siepi, Rosanna Culurciello, Nunzia D’Urzo, Emiliano Chiarot, Antonina Torre, Elio Pizzo, Marcello Merola and Eugenio Notomista
Pharmaceuticals 2023, 16(10), 1386; https://doi.org/10.3390/ph16101386 - 30 Sep 2023
Cited by 11 | Viewed by 2990
Abstract
Cationic antimicrobial peptides (CAMPs) are powerful molecules with antimicrobial, antibiofilm and endotoxin-scavenging activities. These properties make CAMPs very attractive drugs in the face of the rapid increase in multidrug-resistant (MDR) pathogens, but they are limited by their susceptibility to proteolytic degradation. An intriguing [...] Read more.
Cationic antimicrobial peptides (CAMPs) are powerful molecules with antimicrobial, antibiofilm and endotoxin-scavenging activities. These properties make CAMPs very attractive drugs in the face of the rapid increase in multidrug-resistant (MDR) pathogens, but they are limited by their susceptibility to proteolytic degradation. An intriguing solution to this issue could be the development of functional mimics of CAMPs with structures that enable the evasion of proteases. Peptoids (N-substituted glycine oligomers) are an important class of peptidomimetics with interesting benefits: easy synthetic access, intrinsic proteolytic stability and promising bioactivities. Here, we report the characterization of P13#1, a 13-residue peptoid specifically designed to mimic cathelicidins, the best-known and most widespread family of CAMPs. P13#1 showed all the biological activities typically associated with cathelicidins: bactericidal activity over a wide spectrum of strains, including several ESKAPE pathogens; the ability to act in combination with different classes of conventional antibiotics; antibiofilm activity against preformed biofilms of Pseudomonas aeruginosa, comparable to that of human cathelicidin LL-37; limited toxicity; and an ability to inhibit LPS-induced proinflammatory effects which is comparable to that of “the last resource” antibiotic colistin. We further studied the interaction of P13#1 with SDS, LPSs and bacterial cells by using a fluorescent version of P13#1. Finally, in a subcutaneous infection mouse model, it showed antimicrobial and anti-inflammatory activities comparable to ampicillin and gentamicin without apparent toxicity. The collected data indicate that P13#1 is an excellent candidate for the formulation of new antimicrobial therapies. Full article
Show Figures

Graphical abstract

Back to TopTop