Functionalized Surface Coatings for Rigid Contact Lenses
Abstract
1. Introduction
2. Materials and Methods
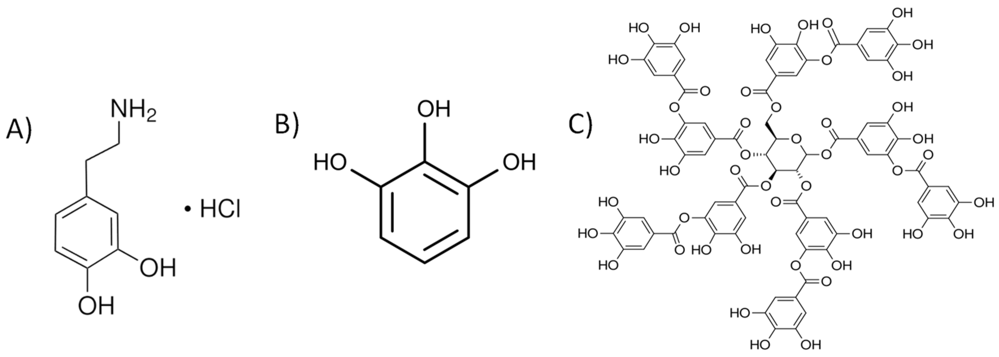
2.1. Chemicals and Materials
2.2. Phenolic Coating
- -
- The pH adjustments were made using NaOH.
2.3. Peptoid Grafting
2.4. Verifying the Coating with XPS
2.5. Protein Adsorption Tests on Polyphenol-Coated Contact Lenses
2.6. Quantification of the Protein Adsorption Using Microplate Reader
2.7. Measuring the Wettability of the Surface by Static Contact Angle
3. Results
3.1. XPS Examination of Surface Functionalization
3.1.1. Analyzing the Surface after PDA Coating and Peptoid Grafting
3.1.2. Analyzing the Surface after PPG Coating and Peptoid Grafting
3.1.3. Analyzing the Surface after PTA Coating and Peptoid Grafting
3.2. Protein Adsorption Tests on Polyphenol-Coated Contact Lenses
3.2.1. Green Fluorescence from FITC-Conjugated Albumin
3.2.2. Quantification of Protein Adsorption Using a Microplate Reader
3.3. Water Contact Angle Measurements
3.3.1. ‘Bare’ vs. ‘PDA’ vs. ‘PDA w/Peptoid’ (n = 5)
3.3.2. ‘Bare’ vs. ‘PPG’ vs. ‘PPG w/Peptoid’ (n = 5)
3.3.3. ‘Bare’ vs. ‘PTA’ vs. ‘PTA w/Peptoid’ (n = 5)
4. Discussion
5. Conclusions
Author Contributions
Funding
Institutional Review Board Statement
Informed Consent Statement
Data Availability Statement
Acknowledgments
Conflicts of Interest
References
- Morgan, P.B.; Murphy, P.J.; Gifford, K.L.; Gifford, P.; Golebiowski, B.; Johnson, L.; Makrynioti, D.; Moezzi, A.M.; Moody, K.; Navascues-Cornago, M.; et al. CLEAR-Effect of contact lens materials and designs on the anatomy and physiology of the eye. Contact Lens Anterior Eye 2021, 44, 192–219. [Google Scholar] [CrossRef]
- Jones, L.; Efron, N.; Bandamwar, K.; Barnett, M.; Jacobs, D.S.; Jalbert, I.; Pult, H.; Rhee, M.K.; Sheardown, H.; Shovlin, J.P.; et al. TFOS Lifestyle: Impact of contact lenses on the ocular surface. Ocul. Surf. 2023, 29, 175–219. [Google Scholar] [CrossRef]
- Rabiah, N.I.; Scales, C.W.; Fuller, G.G. The influence of protein deposition on contact lens tear film stability. Colloids Surf. B Biointerfaces 2019, 180, 229–236. [Google Scholar] [CrossRef]
- Dekhtyar, Y.; Griva, A.; Lancere, L.; Andersons, B.; Sansonetti, E. Wettability of the PMMA surface caused by its polarization due to UV radiation. In Proceedings of the ISAF-ECAPD-PFM 2012, Aveiro, Portugal, 9–13 July 2012; pp. 1–3. [Google Scholar] [CrossRef]
- Korogiannaki, M.; Samsom, M.; Schmidt, T.A.; Sheardown, H. Surface-functionalized model contact lenses with a bioinspired proteoglycan 4 (prg4)-grafted layer. ACS Appl. Mater. Mater. 2018, 10, 30125–30136. [Google Scholar] [CrossRef]
- Musgrave, C.S.A.; Fang, F. Contact Lens Materials: A Materials Science Perspective. Materials 2019, 12, 261. [Google Scholar] [CrossRef]
- Ichijima, H.; Cavanagh, H.D. How rigid gas-permeable lenses supply more oxygen to the cornea than silicone hydrogels: A new model. Eye Contact Lens 2007, 33, 216–223. [Google Scholar] [CrossRef]
- Compañ, V.; Oliveira, C.; Aguilella-Arzo, M.; Mollá, S.; González-Méijome, J. Oxygen diffusion and edema with modern scleral rigid gas permeable contact lenses. Invest. Ophthalmol. Vis. Sci. 2014, 55, 6421–6429. [Google Scholar] [CrossRef]
- Guillon, M.; Guillont, J.; Shah, D.; Sylvie, B.; Thimothy, G. In Vivo Wettability of High Dk RGP Materials. J. Br. Contact Lens Assoc. 1995, 18, 9–15. [Google Scholar] [CrossRef]
- Luensmann, D.; Jones, L. Protein deposition on contact lenses: The past, the present, and the future. Contact Lens Anterior Eye 2012, 35, 53–64. [Google Scholar] [CrossRef]
- Behboodi-Sadabad, F.; Zhang, H.; Trouillet, V.; Welle, A.; Plumeré, N.; Levkin, P.A. Bioinspired Strategy for Controlled Polymerization and Photopatterning of Plant Polyphenols. Chem. Mater. 2018, 30, 1937–1946. [Google Scholar] [CrossRef]
- Kang, S.M.; Hwang, N.S.; Yeom, J.; Park, S.Y.; Messersmith, P.B.; Choi, I.S.; Langer, R.; Anderson, D.G.; Lee, H. One-Step Multipurpose Surface Functionalization by Adhesive Catecholamine. Adv. Funct. Mater. 2012, 22, 2949–2955. [Google Scholar] [CrossRef] [PubMed]
- Forooshani, P.K.; Lee, B.P. Recent approaches in designing bioadhesive materials inspired by mussel adhesive protein. J. Polym. Sci. A Polym. Chem. 2016, 55, 9–33. [Google Scholar] [CrossRef]
- Roman, M.J.; Decker, E.A.; Goddard, J.M. Biomimetic polyphenol coatings for antioxidant active packaging applications. Colloids Interface Sci. Commun. 2016, 13, 10–13. [Google Scholar] [CrossRef]
- Lopez-Corona, A.V.; Valencia-Espinosa, I.; González-Sánchez, F.A.; Sánchez-López, A.L.; Garcia-Amezquita, L.E.; Garcia-Varela, R. Antioxidant, Anti-Inflammatory and Cytotoxic Activity of Phenolic Compound Family Extracted from Raspberries (Rubus idaeus): A General Review. Antioxidants 2022, 11, 1192. [Google Scholar] [CrossRef] [PubMed]
- Bouarab-Chibane, L.; Forquet, V.; Lantéri, P.; Clément, Y.; Léonard-Akkari, L.; Oulahal, N.; Degraeve, P.; Bordes, C. Antibacterial properties of polyphenols: Characterization and QSAR (quantitative structure–activity relationship) models. Front. Microbiol. 2019, 10, 829. [Google Scholar] [CrossRef] [PubMed]
- Gosavi, S.Y.; Alla, R.K.; Jamahiriya, A.; Gosavi, S.S. Local and Systemic Effects of Unpolymerised Monomers. Dent. Res. J. 2010. online. [Google Scholar]
- Liu, Y.; Shi, Y.; Zhang, M.; Han, F.; Liao, W.; Duan, X. Natural polyphenols for drug delivery and tissue engineering construction: A review. Eur. J. Med. Chem. 2024, 266, 116141. [Google Scholar] [CrossRef]
- Lee, P.B.M.H.; Dellatore, S.M.; Miller, W.M. Mussel-Inspired Surface Chemistry. Science 2007, 318, 426–430. [Google Scholar] [CrossRef] [PubMed]
- Qie, R.; Moghaddam, S.Z.; Thormann, E. Dopamine-Assisted Layer-by-Layer Deposition Providing Coatings with Controlled Thickness, Roughness, and Functional Properties. ACS Omega 2022, 8, 2965–2972. [Google Scholar] [CrossRef]
- Yang, F.; Zhao, B. Adhesion Properties of Self-Polymerized Dopamine Thin Film. Open Surf. Sci. J. 2011, 3, 115–122. [Google Scholar] [CrossRef]
- Kumar, N.; Goel, N. Phenolic acids: Natural versatile molecules with promising therapeutic applications. Biotechnol. Rep. 2019, 24, e00370. [Google Scholar] [CrossRef] [PubMed]
- Yeh, S.L.; Wang, T.C.; Yusa, S.I.; Thissen, H.; Tsai, W.B. Conjugation of Polysulfobetaine via Poly(pyrogallol) Coatings for Improving the Antifouling Efficacy of Biomaterials. ACS Omega 2021, 6, 3517–3524. [Google Scholar] [CrossRef] [PubMed]
- Cheng, Y.F.; Pranantyo, D.; Kasi, G.; Lu, Z.S.; Li, C.M.; Xu, L.Q. Amino-containing tannic acid derivative-mediated universal coatings for multifunctional surface modification. Biomater. Sci. 2020, 8, 120–2128. [Google Scholar] [CrossRef] [PubMed]
- Dhand, C.; Harini, S.; Venkatesh, M.; Dwivedi, N.; Ng, A.; Liu, S.; Verma, N.K.; Ramakrishna, S.; Beuerman, R.W.; Loh, X.J.; et al. Multifunctional Polyphenols- and Catecholamines-Based Self- Defensive Films for Health Care Applications. ACS Appl. Mater. Interfaces 2016, 8, 1220–1232. [Google Scholar] [CrossRef] [PubMed]
- Concepcion, O.; Ali, A.; Khalid, M.; de la Torre, A.F.; Khan, M.U.; Raza, A.R.; Kamal, G.M.; Rehman, M.F.U.; Alam, M.M.; Imran, M.; et al. Facile Synthesis of Diversely Functionalized Peptoids, Spectroscopic Characterization, and DFT-Based Nonlinear Optical Exploration. ACS Omega 2021, 6, 26016–26025. [Google Scholar] [CrossRef] [PubMed]
- Statz, A.R.; Park, J.P.; Chongsiriwatana, N.P.; Barron, A.E.; Messersmith, P.B. Surface-immobilised antimicrobial peptoids. Biofouling J. Bioadhesion Biofilm Res. 2008, 24, 439–448. [Google Scholar] [CrossRef] [PubMed]
- Binaymotlagh, R.; Chronopoulou, L.; Palocci, C. Peptide-Based Hydrogels: Template Materials for Tissue Engineering. J. Funct. Biomater. 2023, 14, 233. [Google Scholar] [CrossRef] [PubMed]
- Sun, J.; Li, Z. Peptoid applications in biomedicine and nanotechnology. In Peptide Applications in Biomedicine, Biotechnology and Bioengineering; Woodhead Publishing: Cambridge, UK, 2017; pp. 183–213. [Google Scholar] [CrossRef]
- Fowler, S.A.; Blackwell, H.E. Structure-function relationships in peptoids: Recent advances toward deciphering the structural requirements for biological function. Org. Biomol. Chem. 2009, 7, 1508–1524. [Google Scholar] [CrossRef] [PubMed]
- Sugumaran, M.; Evans, J.J. Catecholamine Derivatives as Novel Crosslinkers for the Synthesis of Versatile Biopolymers. J. Funct. Biomater. 2023, 14, 449. [Google Scholar] [CrossRef]
- Lowe, S.; O’Brien-Simpson, N.M.; Connal, L.A. Antibiofouling polymer interfaces: Poly(ethylene glycol) and other promising candidates. Polym. Chem. 2015, 6, 198–212. [Google Scholar] [CrossRef]
- Geißler, S.; Barrantes, A.; Tengvall, P.; Messersmith, P.B.; Tiainen, H. Deposition Kinetics of Bioinspired Phenolic Coatings on Titanium Surfaces. Langmuir 2016, 32, 8050–8060. [Google Scholar] [CrossRef] [PubMed]












| Element | C1s | O1s | Si2p | Si2s | N1s | F1s |
|---|---|---|---|---|---|---|
| At% | 64.8 | 18.1 | 8.4 | 7.6 | 7.2 | 1.4 |
| Element | C1s | O1s | Si2p | Si2s | N1s | F1s | S2p |
|---|---|---|---|---|---|---|---|
| PDAAt% | 70.8 | 20.7 | 2.6 | 1.5 | 6.5 | 0 | 0 |
| PDA-PeptoidAt% | 70.2 | 21.7 | 2.6 | 1.5 | 5.6 | 0 | <0.1 |
| Element | C1s | O1s | Si2p | Si2s | N1s | F1s | S2p |
|---|---|---|---|---|---|---|---|
| PPGAt% | 60.9 | 30.06 | 7.8 | 6.4 | 0 | 0 | 0 |
| PPG-PeptoidAt% | 67.9 | 21.9 | 2.3 | 1.2 | 6.8 | 1 | <0.1 |
| Element | C1s | O1s | Si2p | Si2s | N1s | F1s | S2p |
|---|---|---|---|---|---|---|---|
| PTAAt% | 63.4 | 27.9 | 5.1 | 3.8 | 3.3 | 0.3 | 0 |
| PTA-PeptoidAt% | 64.9 | 25.9 | 3.3 | 2.6 | 6.2 | 0.5 | <0.1 |
| BARE | PDA | PPG | PTA | |
|---|---|---|---|---|
| Area of Lens | 6.8 mm2 | 7.2 mm2 | 6.9 mm2 | 6.3 mm2 |
Disclaimer/Publisher’s Note: The statements, opinions and data contained in all publications are solely those of the individual author(s) and contributor(s) and not of MDPI and/or the editor(s). MDPI and/or the editor(s) disclaim responsibility for any injury to people or property resulting from any ideas, methods, instructions or products referred to in the content. |
© 2024 by the authors. Licensee MDPI, Basel, Switzerland. This article is an open access article distributed under the terms and conditions of the Creative Commons Attribution (CC BY) license (https://creativecommons.org/licenses/by/4.0/).
Share and Cite
Refaei, R.; Lee, K.; Lee, G.A.; Demian, P.; El Mansouri, F.; Messersmith, P.B.; Lamrani, M.; Khaddor, M.; Allali, N. Functionalized Surface Coatings for Rigid Contact Lenses. J. Funct. Biomater. 2024, 15, 154. https://doi.org/10.3390/jfb15060154
Refaei R, Lee K, Lee GA, Demian P, El Mansouri F, Messersmith PB, Lamrani M, Khaddor M, Allali N. Functionalized Surface Coatings for Rigid Contact Lenses. Journal of Functional Biomaterials. 2024; 15(6):154. https://doi.org/10.3390/jfb15060154
Chicago/Turabian StyleRefaei, Roeya, Kyueui Lee, Goun Amy Lee, Paul Demian, Fouad El Mansouri, Phillip B. Messersmith, Mouad Lamrani, Mohamed Khaddor, and Nabil Allali. 2024. "Functionalized Surface Coatings for Rigid Contact Lenses" Journal of Functional Biomaterials 15, no. 6: 154. https://doi.org/10.3390/jfb15060154
APA StyleRefaei, R., Lee, K., Lee, G. A., Demian, P., El Mansouri, F., Messersmith, P. B., Lamrani, M., Khaddor, M., & Allali, N. (2024). Functionalized Surface Coatings for Rigid Contact Lenses. Journal of Functional Biomaterials, 15(6), 154. https://doi.org/10.3390/jfb15060154

