Sign in to use this feature.

Years

Between: -

Subjects

remove_circle_outline
remove_circle_outline
remove_circle_outline
remove_circle_outline
remove_circle_outline
remove_circle_outline
remove_circle_outline
remove_circle_outline
remove_circle_outline

Journals

remove_circle_outline
remove_circle_outline
remove_circle_outline
remove_circle_outline
remove_circle_outline
remove_circle_outline

Article Types

Countries / Regions

remove_circle_outline
remove_circle_outline
remove_circle_outline
remove_circle_outline
remove_circle_outline
remove_circle_outline
remove_circle_outline

Search Results (719)

Search Parameters:
Keywords = pathogens with zoonotic potential

Order results
Result details
Results per page
Select all
Export citation of selected articles as:
8 pages, 979 KB  
Case Report
First Report of Multidrug-Resistant Staphylococcus sciuri Isolated from the Urinary Bladder of a Domestic Rabbit in Romania: A Case Study
by Bogdan Florea, Doru Morar, Cristina Văduva, Florin Simiz, Simina Velescu, Corina Kracunovic, Vlad Iorgoni, Paula Nistor, Janos Degi, Ionica Iancu, Viorel Herman, Alexandra Pocinoc and Eugenia Dumitrescu
Antibiotics 2025, 14(11), 1089; https://doi.org/10.3390/antibiotics14111089 - 29 Oct 2025
Viewed by 282
Abstract
Background/ObjectivesStaphylococcus sciuri, traditionally regarded as a commensal organism in animals and the environment, is increasingly recognized as a potential opportunistic pathogen with zoonotic significance. Its genomic reservoir of methicillin resistance homologues further raises concern regarding its role in antimicrobial resistance [...] Read more.
Background/ObjectivesStaphylococcus sciuri, traditionally regarded as a commensal organism in animals and the environment, is increasingly recognized as a potential opportunistic pathogen with zoonotic significance. Its genomic reservoir of methicillin resistance homologues further raises concern regarding its role in antimicrobial resistance dissemination. This study describes the first documented case of S. sciuri isolated from the urinary bladder of a domestic rabbit (Oryctolagus cuniculus) in Romania, emphasizing its clinical relevance and antimicrobial profile. Methods: A seven-year-old intact female rabbit presenting with apathy, dysuria, and hematuria underwent clinical evaluation, ultrasonography, and cystocentesis. The aspirated intravesical content was subjected to bacterial culture, MALDI-TOF MS identification, and antimicrobial susceptibility testing via the VITEK 2 system. Results: Pure colonies of Gram-positive cocci were identified as S. sciuri with high confidence. Antimicrobial susceptibility testing revealed susceptibility to β-lactams, aminoglycosides, glycopeptides, linezolid, rifampicin, fusidic acid, tigecycline, and trimethoprim-sulfamethoxazole, while resistance was observed against fluoroquinolones, macrolides, lincosamides, and tetracycline, indicating a multidrug-resistant phenotype. Treatment with trimethoprim-sulfamethoxazole combined with ultrasound-guided bladder lavage and supportive therapy resulted in complete clinical recovery within 10 days. Conclusions: This case highlights the pathogenic potential of S. sciuri in domestic rabbits and its capacity to exhibit multidrug resistance. The findings underscore the necessity of including rabbits in antimicrobial resistance surveillance programs and reinforce the importance of culture and sensitivity testing in guiding the therapeutic management of exotic companion animals. Full article
Show Figures

Figure 1

23 pages, 27325 KB  
Article
Extracellular Vesicles from Streptococcus suis Promote Bacterial Pathogenicity by Disrupting Macrophage Metabolism
by Wenjie Jin, Jinpeng Li, Zhaoyu Yi, Zhiheng Chang, Yue Li, Yamin Shen, Yingying Quan, Yuxin Wang, Baobao Liu, Li Yi and Yang Wang
Microorganisms 2025, 13(11), 2469; https://doi.org/10.3390/microorganisms13112469 - 29 Oct 2025
Viewed by 173
Abstract
Streptococcus suis (S. suis) is an important zoonotic pathogen that causes severe disease in both humans and pigs, leading to substantial economic losses in the swine industry. Extracellular vesicles (EVs), as critical mediators of host–pathogen interactions, play key roles in bacterial [...] Read more.
Streptococcus suis (S. suis) is an important zoonotic pathogen that causes severe disease in both humans and pigs, leading to substantial economic losses in the swine industry. Extracellular vesicles (EVs), as critical mediators of host–pathogen interactions, play key roles in bacterial virulence and disease progression. This study aimed to investigate the biological properties of S. suis EVs and elucidate their role in the bacterium’s pathogenesis. We isolated and characterized S. suis EVs, which were found to contain diverse protein molecules. EVs were efficiently internalized by mammalian cells, and concentrations below 50 μg/mL did not affect cell viability. Following uptake, EVs suppressed the production of key pro-inflammatory cytokines (TNF-α, IL-1β, and IL-8) by modulating macrophage metabolism. They also downregulated the expression of major histocompatibility complex class II (MHC-II) and adhesion molecules (VCAM-1 and ICAM-1) during subsequent infections, potentially impairing macrophage-mediated clearance. In addition, EVs served as vectors for efficient cargo delivery and facilitated S. suis adhesion to and invasion of endothelial cells. In infection models, EVs markedly enhanced lethality in Galleria mellonella larvae and promoted tissue colonization in murine models. These findings suggest that S. suis EVs are key mediators of host–pathogen interactions, contributing to colonization and disease pathogenesis. Moreover, they offer novel insights and potential strategies for the prevention and control of S. suis infections. Full article
Show Figures

Figure 1

17 pages, 2954 KB  
Review
Bacterial Composition Across Bat Species: A Human Health Perspective
by Julio David Soto-López, Pedro Fernández-Soto and Antonio Muro
Animals 2025, 15(21), 3126; https://doi.org/10.3390/ani15213126 - 28 Oct 2025
Viewed by 191
Abstract
Bats are widely recognized as reservoirs of diverse bacterial pathogens with important implications for human health. Recent zoonotic disease outbreaks have intensified interest in bat microbiomes, with high-throughput sequencing increasingly used to assess microbial diversity. In this article, we review literature from the [...] Read more.
Bats are widely recognized as reservoirs of diverse bacterial pathogens with important implications for human health. Recent zoonotic disease outbreaks have intensified interest in bat microbiomes, with high-throughput sequencing increasingly used to assess microbial diversity. In this article, we review literature from the past five years on bacterial species associated with bats and their potential clinical relevance. Using automated searches and manual filtering, we extracted data from 47 peer-reviewed studies. Most research has focused on guano samples, though interest in skin microbiomes is rising, particularly in relation to Pseudogymnoascus destructans, the agent of white-nose syndrome. China leads in the number of publications, followed by the United States, and amplicon sequencing remains the predominant metagenomic method. Across studies, 4700 bacterial species were reported, including several known human pathogens capable of aerosol transmission or opportunistic infections in immunocompromised individuals. Many of these taxa are classified as global priority targets for antimicrobial drug development by the World Health Organization and the U.S. Centers for Disease Control and Prevention. Given the clinical severity of diseases linked to some species, bats should be integrated into epidemiological surveillance systems. However, the lack of standardized reporting practices significantly limits the comparability and utility of bat microbiome data for robust ecological and epidemiological analyses. Full article
(This article belongs to the Section Animal Welfare)
Show Figures

Figure 1

13 pages, 1211 KB  
Article
Establishment of a VSV-Based Pseudovirus Platform for In Vitro and In Vivo Evaluation of Nipah Vaccine-Induced Neutralizing Responses
by Seong Eun Bae, Minhyuk Yoon, Younghye Moon, Min Jung Kim, Jeong-In Kim, Kee-Jong Hong and Jae-Ouk Kim
Viruses 2025, 17(11), 1429; https://doi.org/10.3390/v17111429 - 28 Oct 2025
Viewed by 231
Abstract
The Nipah virus (NiV) is a zoonotic pathogen characterized by high fatality rates and pandemic potential, whereby there is an urgent need for developing safe and effective vaccines. However, the evaluation of NiV vaccine-induced immunity is hindered by the requirement of Biosafety Level-4 [...] Read more.
The Nipah virus (NiV) is a zoonotic pathogen characterized by high fatality rates and pandemic potential, whereby there is an urgent need for developing safe and effective vaccines. However, the evaluation of NiV vaccine-induced immunity is hindered by the requirement of Biosafety Level-4 (BSL-4) containment. In this study, we developed a recombinant vesicular stomatitis virus (rVSV)-based pseudovirus-expressing NiV fusion (F) and attachment (G) glycoproteins using a luciferase reporter gene for bioluminescence detection. This pseudovirus was optimized for production in BHK-21 (WI-2) cells, and simultaneous incorporation of NiV-F and NiV-G onto the surface of the pseudotyped virus was confirmed via immunoprecipitation and Western blotting. We evaluated our pseudovirus-based neutralization assay using NiV-F-immunized mouse sera and a commercial anti-NiV-G antibody, confirming robust neutralization by the latter. To establish a BSL-2-compatible model for evaluating in vivo protective efficacy, we performed in vivo imaging, which revealed a marked reduction in the luminescence signal in NiV-G-immunized mice compared to naïve controls, indicating vaccine-induced protection. Our study established an integrated in vitro and in vivo pseudovirus platform using rVSV that enables safe, quantitative, and BSL-2-compatible evaluation of NiV vaccine candidates. This model offers a valuable tool for preclinical screening of vaccine-induced neutralizing antibody responses and protective efficacy. Full article
Show Figures

Graphical abstract

17 pages, 886 KB  
Article
Genotypic Characterization of Virulence Factors in Extended-Spectrum Beta-Lactamase (ESBL)-Producing Escherichia coli Strains from Chickens in Hungary
by Ádám Kerek, Ábel Szabó, Gergely Tornyos, Eszter Kaszab, Krisztina Bali and Ákos Jerzsele
Antibiotics 2025, 14(11), 1083; https://doi.org/10.3390/antibiotics14111083 - 27 Oct 2025
Viewed by 241
Abstract
Background: The increasing attention on extended-spectrum beta-lactamase (ESBL)-producing Escherichia coli strains isolated from poultry flocks stems from concerns about their virulence potential and zoonotic risk. Of particular significance is the identification of extraintestinal pathogenic E. coli (ExPEC) pathotypes in poultry, as these [...] Read more.
Background: The increasing attention on extended-spectrum beta-lactamase (ESBL)-producing Escherichia coli strains isolated from poultry flocks stems from concerns about their virulence potential and zoonotic risk. Of particular significance is the identification of extraintestinal pathogenic E. coli (ExPEC) pathotypes in poultry, as these strains pose not only animal health concerns but also serious threats to food safety and public health. Mapping the genetic background of pathogenicity and antimicrobial resistance is essential for risk assessment and the development of effective control strategies. Methods: A total of 87 E. coli isolates were isolated from tracheal and cloacal swab samples collected from healthy chickens between 2022 and 2023. Whole-genome sequencing was performed using Illumina and MGI next-generation sequencing platforms. Bioinformatic analyses were conducted to identify virulence-associated genes and pathotype markers using multiple reference databases, including VirulenceFinder. The frequency of virulence genes was summarized both in tabular form and visualized through graphical representations. Results: A substantial proportion of the isolates harbored virulence genes linked to various ExPEC pathotypes, particularly uropathogenic E. coli (UPEC), avian pathogenic E. coli (APEC), and neonatal meningitis-causing E. coli (NMEC). The most frequently detected colonization factors included members of the fim, pap, ecp, and fae gene families. Among fitness-related genes, iron acquisition systems—ent, chu, iro, iuc, fep, and ybt—were especially prevalent. Classic UPEC-associated genes such as pap and fimH, along with the APEC-related iutA and vat, were found at high frequencies. Four isolates exhibited a virulence gene profile characteristic of the NMEC pathotype (ibeA, kpsD/M/T, fimH). In contrast, hallmark genes of enteric pathotypes were absent from all isolates. Conclusions: The predominance of extraintestinal virulence factors in the examined poultry-derived E. coli strains underscores their zoonotic potential. The complete absence of enteric pathotype markers indicates that the studied poultry populations primarily harbor ExPEC-like strains. These findings highlight the critical need for ongoing genomic surveillance and targeted preventive strategies within poultry production systems. Full article
(This article belongs to the Special Issue Genomic Surveillance of Antimicrobial Resistance (AMR))
Show Figures

Figure 1

23 pages, 4934 KB  
Article
Protegrin-1 Combats Multidrug-Resistant Porcine ExPEC: Potent Bactericidal Activity and Multimodal Immunometabolic Regulation In Vitro and in a Murine Model
by Jing Xu, Yinlin He, Zihao Liang, Shengfeng Chen, Biao Tang, Fei Su and Canying Liu
Vet. Sci. 2025, 12(11), 1030; https://doi.org/10.3390/vetsci12111030 - 23 Oct 2025
Viewed by 294
Abstract
Porcine extraintestinal pathogenic Escherichia coli (ExPEC) is a significant zoonotic pathogen with escalating antimicrobial resistance, underscoring the urgent need for novel therapeutics. This study aimed to investigate the therapeutic potential and mechanism of action of the antimicrobial peptide Protegrin-1 (PG-1) against a multidrug-resistant [...] Read more.
Porcine extraintestinal pathogenic Escherichia coli (ExPEC) is a significant zoonotic pathogen with escalating antimicrobial resistance, underscoring the urgent need for novel therapeutics. This study aimed to investigate the therapeutic potential and mechanism of action of the antimicrobial peptide Protegrin-1 (PG-1) against a multidrug-resistant porcine ExPEC strain, PCN033. The minimal inhibitory concentration (MIC) was determined, and resistance stability was assessed through serial induction and withdrawal passages. Hemolytic activity was evaluated to gauge selectivity. A murine infection model was utilized to assess in vivo efficacy, bacterial load reduction, cytokine modulation, and histopathology. Comparative spleen transcriptomic analysis was performed to elucidate global host responses. PG-1 exhibited potent bactericidal activity (MIC = 32 μg/mL) and maintained its efficacy over multiple passages, demonstrating no induced resistance. It showed acceptable hemolytic activity and significantly improved survival, reduced bacterial loads in multiple organs, and mitigated tissue damage in mice. Transcriptomics revealed PG-1 treatment broadly tempered infection-induced hyperinflammatory responses, including NF-κB, MAPK, and TNF signaling pathways, and counteracted metabolic reprogramming. The findings conclude that PG-1 effectively integrates direct, resistance-resistant bactericidal activity with multimodal immunomodulation, representing a superior therapeutic strategy that simultaneously eliminates pathogens and restores immune homeostasis, offering a promising alternative to conventional antibiotics against MDR ExPEC infections. Full article
(This article belongs to the Section Veterinary Microbiology, Parasitology and Immunology)
Show Figures

Figure 1

10 pages, 923 KB  
Article
Molecular Epidemiology and Seroepidemiology of Oz Virus Infection in Ticks and Wild Boars in Ibaraki Prefecture, Japan
by Shuichi Osawa, Hirokazu Kimura, Sakurako Abe, Noriko Nagata, Eri Ueno, Hideki Ebihara, Ryusuke Kimura and Tetsuya Furuya
Microorganisms 2025, 13(11), 2421; https://doi.org/10.3390/microorganisms13112421 - 22 Oct 2025
Viewed by 411
Abstract
Oz virus (OZV), an emerging negative-sense single-stranded RNA virus classified under the family Orthomyxoviridae and genus Thogotovirus, was first isolated from Amblyomma testudinarium ticks in Ehime Prefecture, Japan, in 2013. Moreover, a single fatal case in an elderly individual, suspected to be [...] Read more.
Oz virus (OZV), an emerging negative-sense single-stranded RNA virus classified under the family Orthomyxoviridae and genus Thogotovirus, was first isolated from Amblyomma testudinarium ticks in Ehime Prefecture, Japan, in 2013. Moreover, a single fatal case in an elderly individual, suspected to be associated with OZV infection, was reported in Ibaraki Prefecture in 2023. Given these circumstances, this study was conducted to investigate the molecular epidemiology and seroepidemiology of OZV in Ibaraki Prefecture, Japan. From April to November 2023, a total of 2430 ticks were collected at 19 sites. The OZV RNA was detected in one A. testudinarium nymph. Additionally, among 934 wild boar serum samples collected between 2019 and 2023, one sample tested positive for OZV RNA. Neutralizing antibody assays revealed that 243 samples (26.0%) obtained from wild boars were seropositive, indicating widespread exposure among wild boars. Antibody prevalence and titers were highest in the central–western mountainous region, suggesting an active transmission hotspot. Sequence analysis of the OZV viral RNA detected from one tick sample and one wild boar serum revealed that a 212 bp fragment of segment 4 and a 261 bp fragment of segment 5 were 100% identical to a human-derived strain isolated in the same prefecture, suggesting the circulation of a single viral lineage within the local environment. These findings represent the first report demonstrating the circulation of OZV in the natural environment in Ibaraki Prefecture, implicating A. testudinarium as the principal vector and wild boars as a potential source of OZV infection These results suggest that OZV should be considered a potential emerging zoonotic pathogen. Further seroepidemiological studies among residents are warranted to assess the risk of human infection in the region. Full article
(This article belongs to the Special Issue One Health Research on Zoonotic Tick-Borne Pathogens)
Show Figures

Figure 1

20 pages, 2429 KB  
Review
The Growing Antibiotic Resistance of Campylobacter Species: Is There Any Link with Climate Change?
by Eleni V. Geladari, Dimitris Kounatidis, Evangelia Margellou, Apostolos Evangelopoulos, Edison Jahaj, Andreas Adamou, Vassilios Sevastianos, Charalampia V. Geladari and Natalia G. Vallianou
Microbiol. Res. 2025, 16(11), 226; https://doi.org/10.3390/microbiolres16110226 - 22 Oct 2025
Viewed by 225
Abstract
Campylobacter spp. remain among the most common pathogens causing acute diarrhea worldwide. Campylobacter jejuni and Campylobacter coli are the main species that cause gastroenteritis. Campylobacteriosis is a food-borne disease, although this Gram-negative bacterium may be transmitted via water-borne outbreaks as well as direct [...] Read more.
Campylobacter spp. remain among the most common pathogens causing acute diarrhea worldwide. Campylobacter jejuni and Campylobacter coli are the main species that cause gastroenteritis. Campylobacteriosis is a food-borne disease, although this Gram-negative bacterium may be transmitted via water-borne outbreaks as well as direct contact with animals, emphasizing its zoonotic potential. Campylobacterisosis does not usually require hospitalization. Antimicrobials are warranted only for patients with severe disease, as well as patients who are at risk for severe disease, such as the elderly, pregnant women or immunocompromised patients. Nonetheless, the irrational use of antibiotics in human and veterinary medicine enhances antimicrobial resistance (AMR). Resistance of Campylobacter spp. to fluoroquinolones, macrolides and tetracyclines is a significant concern to the scientific community. Point mutations, horizontal gene transfer and efflux pumps are the main mechanisms for the development and transmission of AMR in Campylobacter spp. Emerging evidence suggests that climate change may indirectly contribute to the spread of AMR in Campylobacter, particularly through its influence on bacterial ecology, transmission pathways and antibiotic use patterns. Higher temperatures and extreme weather events accelerate bacterial growth, amplify the transfer of AMR genes and magnify disease transmission, including drug-resistant infections. Horizontal gene transfer, especially in the context of biofilm formation, may further perplex the situation. Excessive farming and overuse of antibiotics as growth promoters in animals may also contribute to increased AMR rates. Climate change and AMR are interconnected and pose a significant threat to global public health. Multidisciplinary strategies mitigating both phenomena are crucial in order to contain the spread of Campylobacter-related AMR. The aim of this review is to describe the molecular mechanisms that result in AMR of Campylobacter spp. and underscore the association between climate change and Campylobacteriosis. Novel methods to mitigate Campylobacter-related AMR will also be discussed. Full article
Show Figures

Figure 1

15 pages, 8714 KB  
Article
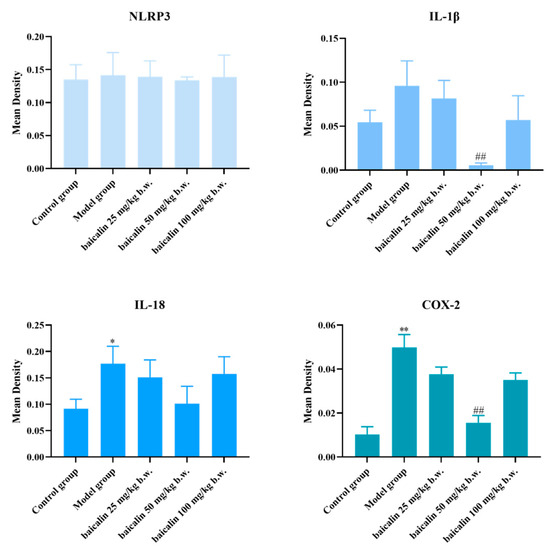
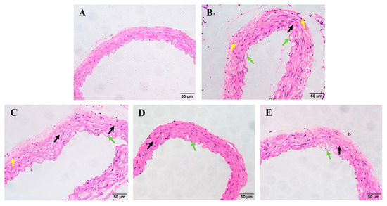
Baicalin Mitigates Pasteurella multocida-Induced Pulmonary and Vascular Injury via NLRP3/COX-2 Inhibition in Mice
by Dan Zhang, Chengzhuo Zhao, Yunda Xue, Qirong Lu, Yu Liu, Jianglin Xiong, Chun Ye, Shulin Fu, Zhongyuan Wu, Yinsheng Qiu and Pu Guo
Animals 2025, 15(20), 3055; https://doi.org/10.3390/ani15203055 - 21 Oct 2025
Viewed by 278
Abstract
Pasteurella multocida (P. multocida), a zoonotic bacterium, is one of the most common respiratory pathogens in animal husbandry and causes many public health problems. Infection by P. multocida can cause hemorrhagic pneumonia and induce pulmonary and even vascular inflammatory injury. Baicalin [...] Read more.
Pasteurella multocida (P. multocida), a zoonotic bacterium, is one of the most common respiratory pathogens in animal husbandry and causes many public health problems. Infection by P. multocida can cause hemorrhagic pneumonia and induce pulmonary and even vascular inflammatory injury. Baicalin has protective and/or therapeutic effects in a variety of lung diseases. However, whether it also protects against vascular inflammatory injury caused by P. multocida infection in vivo remains to be investigated. The present study used mice infected with P. multocida as a model to explore the alleviation of pulmonary and vascular inflammatory injury by baicalin. Baicalin significantly reduced weight loss, improved the pathological changes of lung and blood vessels, and reduced the expression of the inflammation-related proteins NLRP3, COX-2, IL-1β, and IL-18 in lung and blood vessel tissues. The signal inhibition of NLRP3 and COX-2 may be a key therapeutic pathway to treat P. multocida-induced pulmonary and vascular inflammatory injury. These findings suggest that baicalin inhibits the activation of inflammation to protect pulmonary and vascular injury in vivo. Hence, baicalin exhibits therapeutic potential in the treatment of pulmonary and vascular injury. Full article
Show Figures

Figure 1

17 pages, 1168 KB  
Article
High Prevalence of Multi-Viral Co-Infections and Low Rabies Seropositivity in Stray Cats of Shenzhen, China
by Tinglu Wang, Mengmeng He, Yan Liu, Runchang Lin, Rongjie Huang, Bowen Lin, Yinyi Liang, Xiaofeng Guo, Rongqi Liu and Jun Luo
Animals 2025, 15(20), 3042; https://doi.org/10.3390/ani15203042 - 20 Oct 2025
Viewed by 347
Abstract
Stray cats (Felis vaga) are key hosts for feline and zoonotic pathogens. From June to August 2024, we conducted a cross-sectional study across six districts in Shenzhen, China, involving 126 cats sampled from three types of sites. Multiple specimens were tested [...] Read more.
Stray cats (Felis vaga) are key hosts for feline and zoonotic pathogens. From June to August 2024, we conducted a cross-sectional study across six districts in Shenzhen, China, involving 126 cats sampled from three types of sites. Multiple specimens were tested via quantitative real-time PCR (qPCR) for feline coronavirus type I (FCoV-I), feline calicivirus (FCV), feline herpesvirus type I (FHV-I), feline panleukopenia virus (FPV), and rabies virus (RABV); serum was analyzed for RABV-neutralizing antibodies by the fluorescent antibody virus neutralization (FAVN) assay. The overall pathogen positivity was 89.68%. FPV was most prevalent (61.90%), followed by FCV (57.14%), FCoV-I (46.83%), and FHV-I (23.02%). No RABV nucleic acid was detected. The co-infection rate reached 62.70%, primarily dual infections (33.33%). Geographical variation was observed, with significantly higher FCoV-I in Longgang than Futian (p < 0.05). RABV seropositivity was only 6.00%. FCV and FPV co-occurred most frequently (Jaccard = 0.456). All pathogen pairs had relative risk (RR) > 1, suggesting non-random co-infections, though not significant after correction. In summary, major feline pathogens are widespread with frequent co-infections among Shenzhen stray cats, while low rabies immunity indicates potential public health risk. Targeted control measures are warranted. Full article
(This article belongs to the Section Veterinary Clinical Studies)
Show Figures

Figure 1

10 pages, 548 KB  
Article
Analysis of Staphylococcal Diversity in the Skin Microbiota of Healthy Riding Horses
by Maria Wesołowska and Ewa Szczuka
Antibiotics 2025, 14(10), 1037; https://doi.org/10.3390/antibiotics14101037 - 16 Oct 2025
Viewed by 351
Abstract
Background: In animals, staphylococci constitute a significant part of the normal skin microbiota and mucous membranes. There is limited information available on staphylococci isolated from healthy horses. These skin-associated bacteria can be easily transferred between animals and horse riders via direct contact. Patients [...] Read more.
Background: In animals, staphylococci constitute a significant part of the normal skin microbiota and mucous membranes. There is limited information available on staphylococci isolated from healthy horses. These skin-associated bacteria can be easily transferred between animals and horse riders via direct contact. Patients undergoing hippotherapy (i.e., medical or therapeutic sessions with horses) are especially at risk of being colonized by horse skin-associated bacteria. However, it remains unclear whether equine skin is colonized by antimicrobial-resistant (AMR) opportunistic pathogens, which may be of concern to human health. Methods: We cultivate staphylococci from samples collected from healthy, non-vet-visiting horses who live on private farms in a rural area. In total, 61 strains were isolated and identified at the species level using matrix-assisted laser desorption ionization time of flight mass spectrometry (MALDI-TOF MS). Results: The diversity of Staphylococcus species in the equine skin microbiota was relatively high and, with the exception of S. aureus, all the other recovered strains were coagulase-negative staphylococci (CoNS). In total, eleven different staphylococcal species were identified: S. xylosus, S. sciuri, S. vitulinus, S. equorum, S. succinus, S. nepalensis, S. lentus, S. fleurettii, S. aureus, S. chromogenes, and S. simulans. Conclusions: These results indicate that healthy equine skin is colonized by opportunistic pathogens that can be causative agents of infections that are also severe in humans. The resistance among the isolated strains was observed in eight antimicrobials of the total tested and 36% (22/61) of the isolates were resistant to at least one antimicrobial. However, their resistance to critically important antibiotics used in human medicine was low. Seven isolates (11.5%; 7/61) were classified as multidrug-resistant (MDR). S. aureus (1/61) showed MDR and was methicillin-resistant. The S. aureus isolate contained genes conferring resistance to antibiotics, i.e., β-lactams (blaZ, mecA), aminoglycosides (aac(6′)/aph(2″)), and macrolide–lincosamide–streptogramin B (erm(B), erm(C), and lun(A/B)). Also CoNS harbored genes conferring resistance to β-lactams (blaZ), aminoglycosides (aac(6′)/aph(2″), ant(4′)-Ia), MLSB (erm(B), erm(C), lun(A/B)), and tetracycline (tetK, tetL). Full article
Show Figures

Figure 1

13 pages, 307 KB  
Article
Antimicrobial Resistance Profile of Staphylococcus pseudintermedius Isolated from Dogs with Otitis Externa and Healthy Dogs: Veterinary and Zoonotic Implications
by Ionela Popa, Ionica Iancu, Vlad Iorgoni, Janos Degi, Alexandru Gligor, Kalman Imre, Emil Tîrziu, Timea Bochiș, Călin Pop, Ana-Maria Plotuna, Paula Nistor, Marius Pentea, Viorel Herman and Ileana Nichita
Antibiotics 2025, 14(10), 1027; https://doi.org/10.3390/antibiotics14101027 - 14 Oct 2025
Viewed by 485
Abstract
Background/Objectives: Staphylococcus pseudintermedius (S. pseudintermedius) is an opportunistic pathogen frequently isolated from dogs, involved in a wide range of infections, particularly otitis externa. Increasing antimicrobial resistance (AMR), including methicillin-resistant S. pseudintermedius (MRSP), poses significant challenges for veterinary and potentially human [...] Read more.
Background/Objectives: Staphylococcus pseudintermedius (S. pseudintermedius) is an opportunistic pathogen frequently isolated from dogs, involved in a wide range of infections, particularly otitis externa. Increasing antimicrobial resistance (AMR), including methicillin-resistant S. pseudintermedius (MRSP), poses significant challenges for veterinary and potentially human health. This study aimed to assess the prevalence and antimicrobial resistance profiles of S. pseudintermedius in dogs with otitis externa compared to clinically healthy dogs. Methods: Between 2022 and 2025, samples were collected from 400 dogs with otitis externa and 360 healthy dogs in veterinary clinics from Timișoara. Ear swabs were processed by conventional microbiological techniques and confirmed using MALDI-TOF MS. Antimicrobial susceptibility was tested using the VITEK® 2 Compact system, following CLSI VET01, Fifth Edition (2018) standards. Fourteen antimicrobials from 11 classes were evaluated. Results: S. pseudintermedius was isolated in 40% of dogs with otitis externa and in 21.1% of healthy dogs. The highest resistance in both groups was observed to tetracycline (37.5% and 25%, respectively). No resistance was recorded to linezolid, vancomycin, teicoplanin, tigecycline, or fusidic acid. MRSP strains were identified in 1.2% of dogs with otitis, displaying multidrug resistance (MDR). MDR strains were also detected in 8.7% of diseased and 4% of healthy dogs, indicating the potential for subclinical reservoirs. Conclusions: The findings highlight the notable prevalence and AMR of S. pseudintermedius in both symptomatic and asymptomatic dogs. The detection of MRSP and MDR strains emphasizes the need for prudent antibiotic use and continuous AMR surveillance in veterinary medicine to mitigate zoonotic risks and preserve antimicrobial efficacy. Full article
19 pages, 4694 KB  
Article
The Prophylactic Protection of P. acidilactici M22 from Feline Milk on S. Typhimurium Infection in Mice
by Xinyu Gong, Xue Wang, Lu Chen, Huiming Huang, Ning Zhang, Jun Han, Zhengping Wang and Min Wen
Microorganisms 2025, 13(10), 2353; https://doi.org/10.3390/microorganisms13102353 - 14 Oct 2025
Viewed by 307
Abstract
Breast milk is a major source of probiotics, particularly lactic acid bacteria (LAB), which are known to regulate the intestinal microbial community and exert antibacterial effects. However, little is known about the preventive effects of feline milk-derived LAB against Salmonella infection in vivo. [...] Read more.
Breast milk is a major source of probiotics, particularly lactic acid bacteria (LAB), which are known to regulate the intestinal microbial community and exert antibacterial effects. However, little is known about the preventive effects of feline milk-derived LAB against Salmonella infection in vivo. In this study, a strain of Pediococcus acidilactici (M22) was isolated from feline milk and evaluated for its protective potential in C57BL/6 mice challenged with Salmonella Typhimurium SL1344 (VNP20009). Following oral administration of M22, mice were infected with S. Typhimurium, and protective efficacy was assessed through body weight changes, bacterial loads in tissues, histopathological examination of the colon, oxidative stress markers, cytokine profiles, and 16S rRNA gene sequencing of cecal microbiota. The results showed that pretreatment with M22 significantly reduced bacterial loads in the liver, spleen, and cecum compared with controls. M22 administration enhanced antioxidant capacity, alleviated infection-induced inflammation, and preserved intestinal barrier integrity by restoring villus morphology and upregulating tight junction proteins (ZO-1 and occludin). Microbiota analysis further revealed that M22 enriched short-chain fatty acid-producing beneficial taxa (e.g., lactic acid bacteria) while suppressing pro-inflammatory genera. Collectively, these findings provide scientific evidence that feline milk-derived P. acidilactici M22 is a safe and effective probiotic candidate. By enhancing gut health and host resistance to infection, M22 offers a promising strategy to improve companion animal health, reduce reliance on antibiotics, and mitigate zoonotic transmission of pathogens. Full article
(This article belongs to the Section Medical Microbiology)
Show Figures

Figure 1

18 pages, 2148 KB  
Article
Genetic Characterization and Pathogenesis of Highly Pathogenic Avian Influenza Virus A (H5N1) Isolated in Egypt During 2021–2023
by Mina Nabil Kamel, Yassmin Moatasim, Basma Emad Aboulhoda, Mokhtar Gomaa, Ahmed El Taweel, Omnia Kutkat, Mohamed El Sayes, Mohamed GabAllah, Hend AbdAllah, Refaat M. Gabre, Maha M. AlKhazindar, Ahmed Kandeil, Pamela P. McKenzie, Richard J. Webby, Mohamed Ahmed Ali, Ghazi Kayali and Rabeh El-Shesheny
Viruses 2025, 17(10), 1370; https://doi.org/10.3390/v17101370 - 13 Oct 2025
Viewed by 452
Abstract
Highly pathogenic avian influenza (HPAI) viruses have recently had a substantial impact on global poultry production and public health. In Egypt, clade 2.3.4.4b HPAI H5N1 viruses were first isolated from wild birds in 2021 and then became dominant in domestic poultry. In this [...] Read more.
Highly pathogenic avian influenza (HPAI) viruses have recently had a substantial impact on global poultry production and public health. In Egypt, clade 2.3.4.4b HPAI H5N1 viruses were first isolated from wild birds in 2021 and then became dominant in domestic poultry. In this study, we aimed to genetically characterize the H5N1 viruses isolated in Egypt during 2021–2023 and examine the pathogenicity and transmissibility of two H5N1 strains isolated from wild and domestic poultry in chickens. We collected 7588 specimens from live bird markets including poultry, wild birds, and environmental samples. Influenza A viruses were detected in 20.94% (484/2311) of tested samples, and 17 isolates were identified as H5N1 through complete genome sequencing. Phylogenetic analysis revealed that all H5N1 viruses were closely related to Eurasian viruses and classified into three distinct genetic groups, suggesting multiple introductions likely linked to migratory birds. Experimental infections of chickens with two H5N1 isolates, A/Pintail/Egypt/RA19853OP/2021 and A/duck/Egypt/BA20361C/2022, showed efficient replication, systemic infection, and transmission by direct contact. These findings underscore the need for continued surveillance of H5N1 at the poultry-wild bird interface to identify circulating strains, evaluate their biological characteristics, and assess their zoonotic potential. Full article
(This article belongs to the Section General Virology)
Show Figures

Figure 1

21 pages, 2374 KB  
Article
Cellular eEF1G Inhibits Porcine Deltacoronavirus Replication by Binding Nsp12 and Disrupting Its Interaction with Viral Genomic RNA
by Weijia Yin, Xinna Ge, Lei Zhou, Xin Guo, Jun Han, Yongning Zhang and Hanchun Yang
Viruses 2025, 17(10), 1369; https://doi.org/10.3390/v17101369 - 13 Oct 2025
Viewed by 427
Abstract
Porcine deltacoronavirus (PDCoV) is an emerging pathogen that causes severe, often fatal, diarrhea in suckling piglets and has zoonotic potential. Its nonstructural protein 12 (Nsp12), functioning as the RNA-dependent RNA polymerase (RdRp), is a central component of the viral replication–transcription complex and a [...] Read more.
Porcine deltacoronavirus (PDCoV) is an emerging pathogen that causes severe, often fatal, diarrhea in suckling piglets and has zoonotic potential. Its nonstructural protein 12 (Nsp12), functioning as the RNA-dependent RNA polymerase (RdRp), is a central component of the viral replication–transcription complex and a critical target for host antiviral mechanisms. Here, we identified eukaryotic elongation factor 1 gamma (eEF1G) as a host interactor of PDCoV Nsp12 by immunoprecipitation-coupled mass spectrometry in IPEC-J2 cells. This interaction was confirmed by co-immunoprecipitation, pull-down assays, and confocal microscopy. Functional analyses involving siRNA knockdown and overexpression of eEF1G, combined with viral titration, strand-specific real-time quantitative PCR, and RNA immunoprecipitation assays, demonstrated that eEF1G directly binds to Nsp12. Knockdown of eEF1G significantly enhanced viral replication and increased negative-stranded RNA synthesis, whereas overexpression did not affect viral proliferation. Furthermore, eEF1G was found to bind PDCoV genomic RNA and competitively disrupt the interaction between Nsp12 and viral RNA, thereby impairing RdRp activity. Our results indicate that eEF1G acts as a novel host restriction factor that inhibits PDCoV replication by competing with Nsp12 for genomic RNA binding, ultimately blocking negative-stranded RNA synthesis. This study unveils a new antiviral mechanism and highlights a potential target for developing interventions against PDCoV. Full article
(This article belongs to the Special Issue Porcine Viruses 2025)
Show Figures

Graphical abstract

Back to TopTop