Sign in to use this feature.

Years

Between: -

Subjects

remove_circle_outline
remove_circle_outline
remove_circle_outline
remove_circle_outline
remove_circle_outline
remove_circle_outline
remove_circle_outline
remove_circle_outline
remove_circle_outline

Journals

remove_circle_outline
remove_circle_outline
remove_circle_outline
remove_circle_outline
remove_circle_outline
remove_circle_outline
remove_circle_outline
remove_circle_outline
remove_circle_outline
remove_circle_outline
remove_circle_outline
remove_circle_outline

Article Types

Countries / Regions

remove_circle_outline
remove_circle_outline
remove_circle_outline
remove_circle_outline
remove_circle_outline
remove_circle_outline

Search Results (2,671)

Search Parameters:
Keywords = pastures

Order results
Result details
Results per page
Select all
Export citation of selected articles as:
25 pages, 8942 KB  
Article
Monitoring of CO2 Efflux, Moisture, and Temperature in Soils of Agroecosystems in a Semi-arid Region Using an Unmanned Aerial Vehicle and Application of Machine Learning
by Rodrigo Hemerson Lima e Silva, Elisiane Alba, Denizard Oresca, Jose Raliuson Inacio Silva, Alan Cezar Bezerra, Alexandre Maniçoba da Rosa Ferraz Jardim and Eduardo Souza
Appl. Sci. 2026, 16(8), 3943; https://doi.org/10.3390/app16083943 (registering DOI) - 18 Apr 2026
Abstract
This study aimed to characterize the spatiotemporal dynamics of soil respiration (CO2 efflux), soil moisture, and soil temperature across different land-use systems in a semi-arid environment through in situ monthly monitoring and to evaluate the potential of UAV-based imagery combined with Random [...] Read more.
This study aimed to characterize the spatiotemporal dynamics of soil respiration (CO2 efflux), soil moisture, and soil temperature across different land-use systems in a semi-arid environment through in situ monthly monitoring and to evaluate the potential of UAV-based imagery combined with Random Forest modeling to spatialize these variables within the agroforestry system. The variables were monitored monthly using an Infrared Gas Analyzer (IRGA) over 9 months, and UAV imagery was acquired at two distinct time points. The 11-month experimental campaign enabled evaluation of seasonal and spatial variability and of soil physical and hydraulic properties. Soil CO2 efflux ranged from 1.0 to 6.7 μmol m−2 s−1, with higher values observed during the rainy period, closely following soil moisture dynamics. Soil moisture and temperature exhibited clear seasonal patterns driven by rainfall variability. The pasture system showed higher CO2 efflux in most months, while AFS2 presented more stable fluxes over time. In contrast, AFS1 exhibited lower CO2 efflux, likely associated with its soil characteristics. Despite these patterns, no significant differences were observed among land-use systems for most soil physical properties. UAV-derived data combined with machine learning techniques proved effective for modeling soil CO2 efflux, soil temperature, and soil moisture, demonstrating their potential for monitoring soil processes in semi-arid environments. Overall, agroforestry systems did not significantly differ from other land uses in terms of CO2 efflux, likely due to their early stage of development. These findings indicate that the effects of agroforestry systems on soil processes occur gradually and highlight the importance of long-term monitoring to fully capture system dynamics. Full article
27 pages, 39846 KB  
Article
Soil Compaction in Montado Mediterranean Ecosystem: Dolomitic Limestone Application, Sheep Grazing Management and Tree Effects
by João Serrano, Shakib Shahidian, Emanuel Carreira, Francisco J. Moral, Luís L. Paniagua, Rui Charneca and Alfredo Pereira
Sustainability 2026, 18(8), 3962; https://doi.org/10.3390/su18083962 - 16 Apr 2026
Abstract
Extensive animal production systems based on dryland pastures in Mediterranean regions have low profit margins. Improvements in soil fertility or grazing management and stocking rates are recognized strategies for reversing this situation and to ensure long-term agricultural sustainability. This article aims to assess [...] Read more.
Extensive animal production systems based on dryland pastures in Mediterranean regions have low profit margins. Improvements in soil fertility or grazing management and stocking rates are recognized strategies for reversing this situation and to ensure long-term agricultural sustainability. This article aims to assess whether this strategy of possible intensification of sheep production has a significant impact on soil compaction, which is a manifestation of soil functionality degradation resulting from trampling. An experimental design with four treatments was implemented (with and without dolomitic limestone application; continuous grazing with low stocking rates, CG-LSR, and deferred grazing with high stocking rates, DG-HSR). The study involved cone index (CI, in kPa) measurements (48 sampling areas, 12 in each treatment) on eight dates during two annual pasture/grazing cycles (2023/2024 and 2024/2025). Other soil parameters, the presence of trees and grazing preferences were also monitored and correlated with CI. The main results showed: (i) significantly higher soil compaction under CG-LSR than under DG-HSR; (ii) a negative and significant effect of soil moisture content (SMC) on CI (r = −0.381; p < 0.05); (iii) a significant CI increase in preferential grazing areas, but only in the topsoil layer (0–10 cm) and with a very weak correlation coefficient (r = 0.172; p < 0.05); and (iv) no significant differences in CI under and outside tree canopy areas (UTC and OTC, respectively) for the depth range of 0–30 cm. These results are good indicators of the desired and sustainable intensification of extensive livestock grazing systems. Full article
26 pages, 639 KB  
Article
Advancing Life Cycle Assessment of Pasture-Based Beef Systems: A High-Resolution Cradle-to-Grave Framework for Global Benchmarking
by Rodolfo Bongiovanni, Leticia Tuninetti, Javier Echazarreta, Ana Muzlera Klappenbach, Javier Lozano, Leonel Alisio and Mariano Avilés
Sustainability 2026, 18(8), 3930; https://doi.org/10.3390/su18083930 - 15 Apr 2026
Viewed by 164
Abstract
Beef production is widely recognized as a significant contributor to global greenhouse gas emissions, making robust and transparent environmental assessments essential for advancing sustainability within supply chains. This study applies a comprehensive cradle-to-grave Life Cycle Assessment (LCA) to evaluate the environmental performance of [...] Read more.
Beef production is widely recognized as a significant contributor to global greenhouse gas emissions, making robust and transparent environmental assessments essential for advancing sustainability within supply chains. This study applies a comprehensive cradle-to-grave Life Cycle Assessment (LCA) to evaluate the environmental performance of beef destined for export, following ISO 14040, ISO 14044 and ISO 14067 standards and the Product Category Rules for meat of mammals. Sixteen impact categories were quantified for 1 kg of vacuum-packed beef using detailed primary data from a pasture-based production system and a representative processing facility. The total climate change impact was 3.27 × 101 kg CO2eq, with enteric methane and feed production jointly responsible for over 70% of overall impacts. Slaughtering and distribution were associated mainly with fossil energy use and ozone depletion, while soil carbon sequestration partially compensated biogenic emissions. The results were consistent with international benchmarks, highlighting the environmental advantages of pasture-based systems, low fertilizer use, and stable land management. Key hotspots were identified in animal growth, feed efficiency, and manure management, with logistics also contributing notably. Overall, the study provides a high-resolution environmental baseline that can support Environmental Product Declarations and guide targeted mitigation strategies across beef supply chains. While the results are derived from a specific pasture-based production system, the study is positioned as a case-study-based application of a high-resolution LCA framework, illustrating how detailed inventories can support environmental benchmarking and hotspot identification without implying statistical representativeness of all beef production systems. Full article
Show Figures

Graphical abstract

24 pages, 27168 KB  
Article
Remote Sensing-Based Assessment of Pastureland Degradation in Atyrau Oblast, Kazakhstan
by Asyma Koshim, Kanat Samarkhanov, Aigul Sergeyeva, Aliya Aktymbayeva, Kazhmurat Akhmedenov, Aisulu Otepova, Aina Rysmagambetova and Kyrgyzbay Kudaibergen
Sustainability 2026, 18(8), 3905; https://doi.org/10.3390/su18083905 - 15 Apr 2026
Viewed by 176
Abstract
Pasture ecosystems in the arid regions of Kazakhstan are highly vulnerable to the combined effects of climatic variability and increasing grazing pressure, while long-term spatial assessments of degradation remain limited. This study develops an integrative remote sensing-based framework for assessing pasture degradation in [...] Read more.
Pasture ecosystems in the arid regions of Kazakhstan are highly vulnerable to the combined effects of climatic variability and increasing grazing pressure, while long-term spatial assessments of degradation remain limited. This study develops an integrative remote sensing-based framework for assessing pasture degradation in Atyrau Oblast by combining long-term NDVI time series (2000–2023) with grazing pressure indicators (Ksust and LIPS), field observations, and climatic data. The results show that 49.3% of pasturelands are degraded, with statistically significant negative NDVI trends observed across most administrative districts. Areas experiencing pasture overload (Ksust > 1.2) spatially coincide with persistent vegetation decline, and significant negative relationships between NDVI and livestock numbers are identified in several districts. The analysis also reveals spatial heterogeneity and lagged responses of vegetation dynamics to grazing pressure under varying climatic conditions. The proposed approach provides a novel integrative framework that links spectral vegetation indicators with climate-adjusted grazing metrics, enabling the identification of degradation hotspots and supporting spatially differentiated pasture management. This framework can be applied in regional land monitoring systems to improve decision-making for sustainable rangeland use under climate change. Full article
Show Figures

Figure 1

12 pages, 281 KB  
Article
Carcass Traits and Meat Quality of Pasture-Finished Sheep Supplemented with Palm Kernel Oil
by Mailin Vasconcelos dos Santos Lima, Emmanuel Emydio Gomes Pinheiro, Núbia Amorim Oliveira, Rafael Henrique de Tonissi e Buschinelli de Goes, Claudia Andrea Lima Cardoso and Adriana Regina Bagaldo
Ruminants 2026, 6(2), 25; https://doi.org/10.3390/ruminants6020025 - 15 Apr 2026
Viewed by 88
Abstract
This study evaluated the effects of including palm kernel oil in the diets of pasture-raised sheep on carcass characteristics, meat quality, and fatty acid profiles. A completely randomized design with four treatments was used, consisting of 0, 20, 40, and 60 g/kg of [...] Read more.
This study evaluated the effects of including palm kernel oil in the diets of pasture-raised sheep on carcass characteristics, meat quality, and fatty acid profiles. A completely randomized design with four treatments was used, consisting of 0, 20, 40, and 60 g/kg of palm kernel oil in the dry matter of the supplement, with eight replicates. Thirty-two uncastrated Santa Inês sheep, with an average initial body weight of 23.2 ± 2.6 kg, were used in this study. The animals were kept on Aruana grass (Panicum maximum (syn. Megathyrsus maximum) cv. Aruana) pastures under continuous stocking for 59 days (preceded by 15 days of adaptation), with each one fed supplements (1.4% of body weight) at 8 am. At the end of the experimental period, the animals were slaughtered in a commercial slaughterhouse for carcass and meat quality evaluation. The inclusion of palm kernel oil had a decreasing linear effect on hot and cold carcass weight (p = 0.0403) (p = 0.0398), but it did not affect hot or cold carcass yields or carcass morphometric measurements, commercial cut weights, pH, or loin area (p > 0.05). However, it affected the color of the L. lumborum muscle, showing an increasing linear effect on yellow intensity (b*) (p = 0.002) and on the centesimal composition, with an increasing linear effect on ether extract content (p = 0.006). Shear force, cooking loss, and water-holding capacity were not affected (p > 0.05). Fatty acid profiles, the atherogenicity and thrombogenicity indices, and the ratio of hypocholesterolemic to hypercholesterolemic fatty acids (h:H) were also unaffected by the inclusion of palm kernel oil (p > 0.05). The inclusion of up to 60 g/kg of palm kernel oil in the diets of pasture-raised sheep had an effect on carcass weight but not yield. It also had an effect on the color and chemical composition of L. lumborum muscle, but these changes did not compromise the overall quality of the meat. Full article
(This article belongs to the Special Issue Nutrients and Feed Additives in Sheep and Goats)
25 pages, 2747 KB  
Article
An Ensemble Learning-Based Early Warning Framework for Brucellosis Outbreaks in High-Altitude Pastoral Systems
by Liu Xi, Faez Firdaus Abdullah Jesse, Bura Thlama Paul, Eric Lim Teik Chung and Mohd Azmi Mohd Lila
Appl. Biosci. 2026, 5(2), 32; https://doi.org/10.3390/applbiosci5020032 - 13 Apr 2026
Viewed by 159
Abstract
Brucellosis poses a persistent threat to livestock health in high-altitude pastoral regions of China, where harsh environments and semi-nomadic grazing increase transmission risk. Existing surveillance systems rely mainly on periodic serological testing and lack effective early warning capability. This study proposes an ensemble [...] Read more.
Brucellosis poses a persistent threat to livestock health in high-altitude pastoral regions of China, where harsh environments and semi-nomadic grazing increase transmission risk. Existing surveillance systems rely mainly on periodic serological testing and lack effective early warning capability. This study proposes an ensemble learning-based early warning framework integrating veterinary epidemiological indicators with environmental and herd-movement data. A total of 4826 herd-level records collected over five years (2019–2024) were analyzed, with an overall positivity rate of 11.4%. Multi-source data, including serological, clinical, reproductive, vaccination, meteorological, pasture-management, and herd-movement information (from GPS tracking and structured surveys), were integrated through epidemiology-guided feature engineering. To address class imbalance and temporal dynamics, Synthetic Minority Over-sampling Technique (SMOTE) resampling and sliding time-window features were applied. The proposed ensemble model combines Random Forest, XGBoost, and LightGBM using a soft-voting strategy, with logistic regression as a baseline. Results show that the ensemble model outperforms single models, achieving an AUC of 0.86 and a PR-AUC of 0.65. After threshold optimization, sensitivity increased from 0.78 to 0.87. Under field conditions, the system provided herd-level early warnings with an average lead time of approximately 12 days before confirmed outbreaks, demonstrating its feasibility and practical value for proactive brucellosis surveillance in high-altitude pastoral systems. Full article
Show Figures

Figure 1

12 pages, 706 KB  
Case Report
Bovine Ocular Squamous Cell Carcinoma—A Descriptive Epidemiological Survey in the Azores, Portugal
by Beatriz Bilhastre, Helena Vala, Ana Clara Ribeiro, Sara Faria, Ana Oliveira, Sandra Branco and Carlos Pinto
Vet. Sci. 2026, 13(4), 371; https://doi.org/10.3390/vetsci13040371 - 11 Apr 2026
Viewed by 253
Abstract
Bovine ocular squamous cell carcinoma (BOSCC) is the most common ocular tumour in cattle, with a multifactorial aetiology involving ultraviolet (UV) radiation, genetic factors, pigmentation, and management practices. A detailed epidemiological characterisation of BOSCC in the Azores, Portugal, is provided, with particular emphasis [...] Read more.
Bovine ocular squamous cell carcinoma (BOSCC) is the most common ocular tumour in cattle, with a multifactorial aetiology involving ultraviolet (UV) radiation, genetic factors, pigmentation, and management practices. A detailed epidemiological characterisation of BOSCC in the Azores, Portugal, is provided, with particular emphasis on its spatial distribution and potential risk determinants. Data were obtained through an epidemiological questionnaire completed by field veterinarians between August 2023 and March 2025. A total of 85 BOSCC cases were recorded across 62 farms—45 on Terceira Island and 17 on São Miguel Island. All affected animals were adult Holstein Friesian dairy cows, managed under extensive pasture-based systems. The nictitating membrane was the most frequently affected structure (69.5%), and multiple lesions occurred in 20% of the cases. Farms located at 200–400 m of altitude presented the highest number of cases. Continuous exposure to UV under pasture-based management represents the main environmental risk factor. Although periocular pigmentation may provide partial protection, other environmental and genetic factors can also contribute to tumour development. Artificial insemination is considered a promising preventive tool, enabling genetic selection for protective traits such as periocular pigmentation. This research provides the first regional epidemiological characterization of BOSCC in the Azores, highlighting the interplay among environmental, genetic, and management-related factors in disease occurrence. Full article
Show Figures

Figure 1

17 pages, 623 KB  
Article
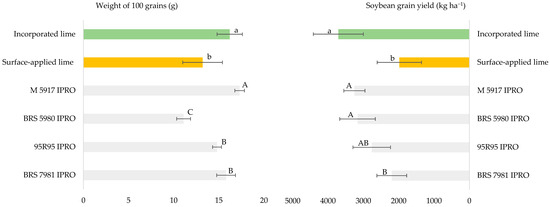
Soybean Performance as Affected by Lime and Gypsum Incorporation Through Tillage Versus Surface Application in Pasture-to-Cropland Conversion Areas in Southeast Brazil
by Pascoal Pereira Rodrigues, Josimar Nogueira Batista, Roni Fernandes Guareschi, Claudia Pozzi Jantalia, Bruno José Rodrigues Alves, Segundo Urquiaga, Erica Souto Abreu Lima, Benedito Fernandes de Souza Filho and Jerri Edson Zilli
Plants 2026, 15(8), 1178; https://doi.org/10.3390/plants15081178 - 10 Apr 2026
Viewed by 399
Abstract
Lime and gypsum are widely used to correct soil acidity and improve grain yields in Brazilian agricultural systems. However, limited information is available on their effectiveness and application practices in degraded sandy soils typical of older agricultural frontiers, such as those in Rio [...] Read more.
Lime and gypsum are widely used to correct soil acidity and improve grain yields in Brazilian agricultural systems. However, limited information is available on their effectiveness and application practices in degraded sandy soils typical of older agricultural frontiers, such as those in Rio de Janeiro State. This study evaluated the effects of surface application versus the incorporation of lime and gypsum into the soil through tillage operations on soil chemical properties, nodulation, and grain yield of soybean cultivars grown in low-fertility Fluvisols. The experiment was conducted during the 2021/2022 growing season in Campos dos Goytacazes, Rio de Janeiro, using a strip-plot design with four soybean cultivars and two soil amendment placement strategies: surface application without tillage and incorporation through tillage. Soil chemical attributes, nodulation, nutrient uptake, and yield components were assessed. Incorporated application significantly increased soil pH, reduced Al3+ toxicity, and enhanced Ca2+, Mg2+, P, and K+ availability compared to surface application. Nodulation responses varied among cultivars, with incorporated treatments promoting up to 40% greater nodule biomass. Although primary root length was not affected, incorporation stimulated secondary root development and nutrient uptake, leading to approximately 50% higher pod number and grain yield. Overall, incorporating lime and gypsum through soil tillage was more effective than surface application in improving soil fertility, enhancing nodulation, and increasing soybean productivity under the conditions evaluated in this study. These findings suggest that lime and gypsum incorporation can represent an important management strategy for improving soybean production in degraded sandy soils. Full article
(This article belongs to the Collection Feature Papers in Plant‒Soil Interactions)
Show Figures

Figure 1

21 pages, 4939 KB  
Article
Land Use and Soil Properties Drive Earthworm Community Assembly in Recently Irrigated Semi-Arid Soils of Northern Patagonia, Argentina
by Marina Quiroga, Julia L. Bazzani, Roberto S. Martínez, Anahí Domínguez and José C. Bedano
Soil Syst. 2026, 10(4), 48; https://doi.org/10.3390/soilsystems10040048 - 10 Apr 2026
Viewed by 172
Abstract
Earthworms are ecosystem engineers that are sensitive to land-use intensification and edaphic conditions, yet their ecology remains poorly understood in transformed semi-arid landscapes. We hypothesized that, in recently colonized agroecosystems, land-use intensity and physicochemical soil conditions jointly filter the earthworm assembly. In the [...] Read more.
Earthworms are ecosystem engineers that are sensitive to land-use intensification and edaphic conditions, yet their ecology remains poorly understood in transformed semi-arid landscapes. We hypothesized that, in recently colonized agroecosystems, land-use intensity and physicochemical soil conditions jointly filter the earthworm assembly. In the recently irrigated Lower Valley of the Negro River, Patagonia, Argentina, we sampled earthworms and soils across five land uses—riparian reference sites, fruit orchards, pastures, cereal crops, and horticulture plots—in landscapes dominated by Natrargid Ustolls and Fluventic Haplocambids. We found five species, all of which were exotic Lumbricidae, including the first Argentine record for Murchieona minuscula, indicating a recent colonization following human-mediated niche construction that created an ecological island. The earthworm abundance and biomass were highest in permanent and semi-permanent uses and were driven primarily by soil moisture, pH, and particulate organic matter. Crucially, our results reveal that land-use intensity filters communities by restricting the initial colonization rather than through local extinctions. These findings confirm that soil properties mediate the impact of land use on earthworm assemblages. The inclusion of pastures and fruit orchards in the rotations favors the earthworm populations that, despite low diversity, enhance soil functioning and contribute to agricultural sustainability in semi-arid irrigated agroecosystems. Full article
(This article belongs to the Special Issue Effects of Earthworms on Soil Systems)
Show Figures

Graphical abstract

26 pages, 6406 KB  
Article
Ecological Analysis of the Helminth Community and Its Relationship with the Physiological State in the Montane Water Vole, Arvicola scherman (Shaw, 1801), in NW Spain
by Roser Adalid, Carles Feliu, Aitor Somoano, Marcos Miñarro, Jacint Ventura, Jordi Miquel and Màrius Vicent Fuentes
Animals 2026, 16(8), 1162; https://doi.org/10.3390/ani16081162 - 10 Apr 2026
Viewed by 179
Abstract
The montane water vole, Arvicola scherman, is a fossorial rodent that lives underground in grasslands, pastures and meadows in the mountain ranges of southwestern and central Europe. It feeds mainly on grasses, roots, and bulbs, causing considerable economic damage to agriculture. Consequently, [...] Read more.
The montane water vole, Arvicola scherman, is a fossorial rodent that lives underground in grasslands, pastures and meadows in the mountain ranges of southwestern and central Europe. It feeds mainly on grasses, roots, and bulbs, causing considerable economic damage to agriculture. Consequently, it is recognised as one of the most important pest vole species in European agroecosystems. The dynamics of these pest populations may be affected by interactions with their parasites. For this reason, an helminthoecological study was carried out in Asturias (NW Spain), analysing a total of 815 montane water voles, 464 (56.9%) of which were parasitised by at least one of the six helminth species detected: Hydatigera taeniaeformis s.l. larvae (9%), Aonchotheca wioletti (0.1%), Eucoleus bacillatus (0.4%), Trichuris arvicolae (7%), Carolinensis minutus (30%) and Syphacia nigeriana (12%). The helminth community found was compared with that reported from A. scherman analysed in other locations of the Iberian Peninsula. This study also analyses the influence of intrinsic and extrinsic factors on the prevalence and abundance of the helminth component species, with host age and body condition being the most influential determinants. H. taeniaeformis s.l. and T. arvicolae are postulated as potential regulators of the analysed population, a pest in crops from NW Spain. Full article
(This article belongs to the Section Veterinary Clinical Studies)
14 pages, 2143 KB  
Case Report
First Molecularly Confirmed Outbreak of Bovine Pythiosis Caused by Pythium insidiosum in the Amazon Biome
by Janayna Barroso dos Santos, Hanna Gabriela da Silva Oliveira, André de Medeiros Costa Lins, Edson Moleta Colodel, Agnes de Souza Lima, Henrique dos Anjos Bomjardim, Flavio Roberto Chaves da Silva, Cíntia Daudt, Valeria Dutra and Felipe Masiero Salvarani
Pathogens 2026, 15(4), 409; https://doi.org/10.3390/pathogens15040409 - 9 Apr 2026
Viewed by 368
Abstract
Pythiosis is a neglected infectious disease caused by the aquatic oomycete Pythium insidiosum and remains underrecognized in cattle, particularly in tropical regions. Here, we report the first molecularly confirmed outbreak of bovine pythiosis in the Amazon biome, affecting more than 400 animals raised [...] Read more.
Pythiosis is a neglected infectious disease caused by the aquatic oomycete Pythium insidiosum and remains underrecognized in cattle, particularly in tropical regions. Here, we report the first molecularly confirmed outbreak of bovine pythiosis in the Amazon biome, affecting more than 400 animals raised under extensive production systems and areas with prolonged exposure to standing water. Clinically affected cattle presented ulcerative and exudative cutaneous lesions, predominantly involving the distal limbs. Given the diagnostic challenges associated with pythiosis, etiological confirmation was achieved through quantitative PCR (qPCR) targeting the internal transcribed spacer (ITS) region of P. insidiosum, providing rapid and specific molecular detection during the outbreak investigation. Therapeutic interventions were implemented as part of routine field management, including intramuscular triamcinolone combined with topical copper sulfate; this regimen was associated with clinical improvement in a substantial proportion of affected animals, though treatment efficacy was not formally evaluated. The outbreak occurred in flood-prone pastures during the rainy season, highlighting the role of aquatic environments in pathogen transmission. These findings expand the current understanding of bovine pythiosis in tropical ecosystems and underscore the importance of molecular diagnostics, outbreak surveillance, and a One Health approach for the identification and management of water-associated pathogens in livestock. Full article
(This article belongs to the Topic Advances in Infectious and Parasitic Diseases of Animals)
25 pages, 4555 KB  
Article
Long-Term Spatiotemporal Assessment of Land-Use Change, Drought Stress, and Vegetation Resilience in Alabama’s Black Belt: Implications for Sustainable Agricultural Resource Management
by Salem Ibrahim, Gamal El Afandi, Melissa M. Kreye and Amira Moustafa
Sustainability 2026, 18(8), 3702; https://doi.org/10.3390/su18083702 - 9 Apr 2026
Viewed by 288
Abstract
Climate-induced drought and intensifying land-use pressures threaten ecosystem services and agricultural productivity, particularly in regions with distinctive soil and ecological characteristics. Alabama’s Black Belt, defined by its clay-rich soils and shaped by a legacy of plantation agriculture, uneven land tenure, and persistent socioeconomic [...] Read more.
Climate-induced drought and intensifying land-use pressures threaten ecosystem services and agricultural productivity, particularly in regions with distinctive soil and ecological characteristics. Alabama’s Black Belt, defined by its clay-rich soils and shaped by a legacy of plantation agriculture, uneven land tenure, and persistent socioeconomic disadvantage, is increasingly vulnerable to these interacting stressors. This study analyzes long-term (2000–2023) spatiotemporal patterns of Land Use Land Cover (LULC) change and vegetation response to drought to inform sustainable resource management. Multi-temporal Landsat imagery and National Land Cover Database (NLCD) products were used to quantify LULC dynamics. At the same time, vegetation condition and moisture stress were assessed using the Normalized Difference Vegetation Index (NDVI) and Normalized Difference Moisture Index (NDMI). Drought conditions were evaluated using the Standardized Precipitation Index (SPI) and the Standardized Precipitation Evapotranspiration Index (SPEI), which incorporates temperature-driven evaporative demand. Results indicate substantial landscape change, including declines in deciduous forest (−17.78%) and pasture/hay (−13.17%), alongside increases in medium-intensity developed land (+20.25%) and evergreen forest (+10.62%). Declining NDVI and NDMI values indicate increasing vegetation stress, particularly during prolonged droughts. Vegetation response exhibited a weak relationship with SPI (R = 0.37) but a stronger association with SPEI (R = 0.59), underscoring the importance of accounting for atmospheric water demand. These findings highlight the growing vulnerability of Black Belt ecosystems to coupled climate and land-use pressures and provide insights to strengthen climate-resilient agricultural management. Full article
(This article belongs to the Special Issue Agricultural Resources Management and Sustainable Ecosystem Services)
Show Figures

Figure 1

11 pages, 1109 KB  
Article
Stomatal Characterization of Grasses Present in an Oak-Pine Ecosystem
by Jaime Neftalí Márquez-Godoy, Edith Ramírez-Segura, Abieser Vázquez-González, Alan Álvarez-Holguín, Carlos Raúl Morales-Nieto, Raúl Corrales-Lerma and José Humberto Vega-Mares
Grasses 2026, 5(2), 16; https://doi.org/10.3390/grasses5020016 - 8 Apr 2026
Viewed by 240
Abstract
Forage grasses are an important component of livestock systems due to their contribution to animal feed, soil conservation, and carbon sequestration. In the face of climate change, analyzing stomatal characteristics allows us to understand the mechanisms of adaptation and tolerance to environmental stress. [...] Read more.
Forage grasses are an important component of livestock systems due to their contribution to animal feed, soil conservation, and carbon sequestration. In the face of climate change, analyzing stomatal characteristics allows us to understand the mechanisms of adaptation and tolerance to environmental stress. Therefore, the objective of this study was to determine the stomatal characteristics and trichome density of ten forage grasses present in a pine-oak dominated ecosystem. Sampling was carried out in October and November 2022 on a 1938 ha area. Mature, healthy leaves were selected, and epidermal impressions were obtained from the adaxial and abaxial surfaces using the cyanoacrylate method. Observations were made with an optical microscope at 400× magnification, quantifying stomatal density, trichome density, number of epidermal cells, and stomatal index per mm2. The results indicated that nine species were amphistomatic, while Schizachyrium scoparium exhibited an epistomatic pattern. Muhlenbergia arizonica showed the highest stomatal density, and Setaria parviflora the lowest. It is concluded that there is high stomatal variability among species, highlighting its importance for the management and improvement of pastures. Full article
Show Figures

Graphical abstract

18 pages, 11489 KB  
Article
Genetic  Diversity of the BLV env Gene and gp51 Mutations in Genotypes G4 and G7 Circulating in Dairy Cattle in the Novosibirsk Region (Western Siberia, Russia)
by Dmitry Baboshko, Kirill Elfimov, Polina Achigecheva, Irina Osipova, Grigoriy Vlasov, Oleg Rozhkov, Boyko Margarita, Aleksey Totmenin, Aleksandr Agaphonov and Natalya Gashnikova
Pathogens 2026, 15(4), 405; https://doi.org/10.3390/pathogens15040405 - 8 Apr 2026
Viewed by 264
Abstract
Bovine leukemia virus (BLV) is an oncogenic retrovirus and the etiological agent of enzootic bovine leukosis (EBL), which is spread worldwide. This study presents data on the genetic diversity of BLV in the Novosibirsk region of Russia. ELISA-positive samples were selected from six [...] Read more.
Bovine leukemia virus (BLV) is an oncogenic retrovirus and the etiological agent of enzootic bovine leukosis (EBL), which is spread worldwide. This study presents data on the genetic diversity of BLV in the Novosibirsk region of Russia. ELISA-positive samples were selected from six districts of the Novosibirsk region (Dovolnoye, Barabinsk, Tatarsk, Toguchin, Bolotnoye, and Kochenyovo districts). To assess the diversity of circulating BLV genotypes, samples were collected from settlements and districts that were geographically distant from each other and had no shared pasture lands. In total, 1410 bp fragments encoding the env gene region were obtained from 417 BLV-positive samples. Phylogenetic analysis classified 325 BLV strains (77.9%) as genotype 4 (G4) and 92 strains (22.1%) as genotype 7 (G7). A pairwise identity matrix was constructed for 268 amino acid residues. Pairwise identity of BLV amino acid sequences in the gp51 region ranged from 96.6% to 100% for G4 and from 97.4% to 100% for G7. Multiple alignment of the amino acid sequences identified 74 mutations found in the Russian BLV variants. Through the addition of 417 novel env BLV sequences to GenBank, this study significantly expands the foundational data and knowledge of BLV molecular epidemiology in Russia. Full article
(This article belongs to the Section Viral Pathogens)
Show Figures

Figure 1

14 pages, 1461 KB  
Article
Wild and Cultivated Fabaceae Plants in Livestock Feeding: Chemical Contents and Antiparasitic Activity
by Eleni D. Myrtsi, Epameinondas Evergetis and Serkos A. Haroutounian
Appl. Sci. 2026, 16(7), 3602; https://doi.org/10.3390/app16073602 - 7 Apr 2026
Viewed by 167
Abstract
Parasitic infections constitute a common concern for livestock breeders, since they induce animals with various physiological, behavioral, and neurological alterations. Consequently, they negatively affect their health, productivity, and welfare, leading to reduced productivity and increased mortality, and causing severe economic losses to livestock [...] Read more.
Parasitic infections constitute a common concern for livestock breeders, since they induce animals with various physiological, behavioral, and neurological alterations. Consequently, they negatively affect their health, productivity, and welfare, leading to reduced productivity and increased mortality, and causing severe economic losses to livestock breeders. In the context of recent interest in the development of functional animal feeds and/or feed supplements with potent antiparasitic activity, we exploited the chemical contents and bioactivities of 21 wild and cultivated Fabaceae plant species against Haemonchus contortus and Trichostrongylus colubriformis, two widely prevalent gastrointestinal nematode parasites of small ruminants. The respective results revealed that four wildly grown plants exhibit potent antiparasitic activity, with Lathyrus laxiflorus exerting the most significant protective effect against both parasites tested. This plant was also found to display the highest antioxidant potency and the richest phenolic and tannin contents, with rutin molecules being the most abundant. Moreover, the extracts of 11 cultivated species were found to display potent antiparasitic activity, while Trifolium repens, Medicago sativa, and Lathyrus sativus species were determined to provide higher extraction yields and display the most potent antiparasitic activities. Results herein are indicative of Fabaceae plants’ potential to act against parasitic infections, either as grazing plants in pasture-based systems, or as bioactive dietary supplements in intensive farming systems, eventually contributing to reductions in antiparasitic drug utilization. Full article
(This article belongs to the Section Chemical and Molecular Sciences)
Show Figures

Figure 1

Back to TopTop