Sign in to use this feature.

Years

Between: -

Subjects

remove_circle_outline
remove_circle_outline
remove_circle_outline
remove_circle_outline
remove_circle_outline
remove_circle_outline
remove_circle_outline
remove_circle_outline
remove_circle_outline

Journals

Article Types

Countries / Regions

Search Results (55)

Search Parameters:
Keywords = passenger counting

Order results
Result details
Results per page
Select all
Export citation of selected articles as:
21 pages, 3489 KB  
Article
GA-YOLOv11: A Lightweight Subway Foreign Object Detection Model Based on Improved YOLOv11
by Ning Guo, Min Huang and Wensheng Wang
Sensors 2025, 25(19), 6137; https://doi.org/10.3390/s25196137 - 4 Oct 2025
Viewed by 730
Abstract
Modern subway platforms are generally equipped with platform screen door systems to enhance safety, but the gap between the platform screen doors and train doors may cause passengers or objects to become trapped, leading to accidents. Addressing the issues of excessive parameter counts [...] Read more.
Modern subway platforms are generally equipped with platform screen door systems to enhance safety, but the gap between the platform screen doors and train doors may cause passengers or objects to become trapped, leading to accidents. Addressing the issues of excessive parameter counts and computational complexity in existing foreign object intrusion detection algorithms, as well as false positives and false negatives for small objects, this article introduces a lightweight deep learning model based on YOLOv11n, named GA-YOLOv11. First, a lightweight GhostConv convolution module is introduced into the backbone network to reduce computational resource waste in irrelevant areas, thereby lowering model complexity and computational load. Additionally, the GAM attention mechanism is incorporated into the head network to enhance the model’s ability to distinguish features, enabling precise identification of object location and category, and significantly reducing the probability of false positives and false negatives. Experimental results demonstrate that in comparison to the original YOLOv11n model, the improved model achieves 3.3%, 3.2%, 1.2%, and 3.5% improvements in precision, recall, mAP@0.5, and mAP@0.5: 0.95, respectively. In contrast to the original YOLOv11n model, the number of parameters and GFLOPs were reduced by 18% and 7.9%, respectfully, while maintaining the same model size. The improved model is more lightweight while ensuring real-time performance and accuracy, designed for detecting foreign objects in subway platform gaps. Full article
(This article belongs to the Special Issue Image Processing and Analysis for Object Detection: 3rd Edition)
Show Figures

Figure 1

19 pages, 2201 KB  
Article
Forecasting the Number of Electric Vehicles in Turkey Towards 2030: SARIMA Approach
by Mahmut Sami Saraç and Mehmet Ali Ertürk
Energies 2025, 18(18), 4808; https://doi.org/10.3390/en18184808 - 10 Sep 2025
Viewed by 1566
Abstract
This study endeavors to project the trajectory of electric and hybrid vehicle adoption through 2030, operating under the premise that specific hybrid models can harness electricity from charging stations akin to fully electric counterparts. Employing the seasonal ARIMA (SARIMA) time series model, we [...] Read more.
This study endeavors to project the trajectory of electric and hybrid vehicle adoption through 2030, operating under the premise that specific hybrid models can harness electricity from charging stations akin to fully electric counterparts. Employing the seasonal ARIMA (SARIMA) time series model, we preprocess the current counts of electric and hybrid passenger vehicles. Additionally, we use this model to forecast future counts. Our preprocessing findings suggest that Turkey currently experiences a deficit of approximately 26% in electric and hybrid vehicles, considering conventional market dynamics from 2018 to 2023. Furthermore, assuming the observed seasonal fluctuations in passenger vehicle sales will similarly influence electric and hybrid vehicle demand, a secondary preprocessing is conducted on the dataset. Applying this methodology, our projections indicate Turkey will approach a total of 2.6 million electric and hybrid vehicles by the close of 2029, offering insights for policymakers and private stakeholders in charting the course of charging infrastructure development. Full article
(This article belongs to the Section E: Electric Vehicles)
Show Figures

Figure 1

27 pages, 10077 KB  
Article
Bayesian Modeling of Traffic Accident Rates in Poland Based on Weather Conditions
by Adam Filapek, Łukasz Faruga and Jerzy Baranowski
Appl. Sci. 2025, 15(13), 7332; https://doi.org/10.3390/app15137332 - 30 Jun 2025
Cited by 1 | Viewed by 1235
Abstract
Road traffic accidents pose a substantial global public health burden, resulting in significant fatalities and economic costs. This study employs Bayesian Poisson regression to model traffic accident rates in Poland, focusing on the intricate relationships between weather conditions and socioeconomic factors. Analyzing both [...] Read more.
Road traffic accidents pose a substantial global public health burden, resulting in significant fatalities and economic costs. This study employs Bayesian Poisson regression to model traffic accident rates in Poland, focusing on the intricate relationships between weather conditions and socioeconomic factors. Analyzing both yearly county-level and weekly nationwide data from 2020 to 2023, we created four distinct models examining the relationships between accident occurrence and predictors including temperature, humidity, precipitation, population density, passenger car registrations, and road infrastructure. Model evaluation, based on WAIC and PSIS-LOO criteria, demonstrated that integrating both weather and socioeconomic variables enhanced predictive accuracy. Results showed that socioeconomic variables—especially passenger car registrations—were strong predictors of accident rates over longer timeframes and across localized regions. In contrast, weather variables, particularly temperature and humidity, were more influential in explaining short-term fluctuations in nationwide accident counts. These findings provide a statistical foundation for identifying high-risk conditions and guiding targeted interventions. The study supports Poland’s national road safety goals by offering evidence-based strategies to reduce accident-related fatalities and injuries. Full article
(This article belongs to the Special Issue Application of Artificial Intelligence and Semantic Mining Technology)
Show Figures

Figure 1

21 pages, 1755 KB  
Article
Wi-Fi Sensing and Passenger Counting: A Statistical Analysis of Local Factors and Error Patterns
by Cristina Pronello, Deepan Anbarasan and Alessandra Boggio Marzet
Information 2025, 16(6), 459; https://doi.org/10.3390/info16060459 - 29 May 2025
Viewed by 1158
Abstract
Automatic passenger counting (APC) systems are an important asset for public transport operators, allowing them to optimise networks by monitoring lines’ utilisation. However, the cost of these systems is high and the development of alternative devices, cheaper than the most widely used optical [...] Read more.
Automatic passenger counting (APC) systems are an important asset for public transport operators, allowing them to optimise networks by monitoring lines’ utilisation. However, the cost of these systems is high and the development of alternative devices, cheaper than the most widely used optical systems, seems promising. This paper aims at understanding the influence of local factors on the accuracy of a Wi-Fi APC system by analysing error patterns in a real-world scenario. The APC system was installed on a bus operating regularly within the public transport network and, in the meantime, ground truth data were collected through manual counting. The collected data were then analysed to calculate accuracy and, finally, multilevel modelling was used to identify error patterns due to local factors. This study challenges traditional assumptions, revealing that factors like high pedestrian traffic or intense vehicular movement around the bus have minimal impact on accuracy, if effective received signal strength indicator filters are used. Instead, the number of passengers within the bus affects Wi-Fi systems significantly, especially when the bus is carrying more than 10 passengers, which leads to undercounting due to signal obstruction. This research lays the foundation for strategic error correction to improve accuracy in real-world scenarios. Full article
(This article belongs to the Special Issue Sensing and Wireless Communications)
Show Figures

Figure 1

25 pages, 4214 KB  
Article
Dynamic Management Tool for Improving Passenger Experience at Transport Interchanges
by Allison Fernández-Lobo, Juan Benavente and Andres Monzon
Future Transp. 2025, 5(2), 59; https://doi.org/10.3390/futuretransp5020059 - 1 May 2025
Cited by 1 | Viewed by 1569
Abstract
This study proposes a methodology that integrates real-time data and predictive modeling to identify the passenger flow and occupancy levels within a multimodal transport hub. This tool enables the implementation of control and planning strategies to ensure a high Level of Service (LOS). [...] Read more.
This study proposes a methodology that integrates real-time data and predictive modeling to identify the passenger flow and occupancy levels within a multimodal transport hub. This tool enables the implementation of control and planning strategies to ensure a high Level of Service (LOS). The tool is based on a Long Short-Term Memory (LSTM) model and heterogeneous data sources, including an Automatic Passenger Counting (APC) system, which are utilized to estimate the real-time passenger flow and area occupancy. The Module A of the Moncloa Interchange in Madrid is the case study, and the results reveal that transport-dedicated zones have higher occupancy levels. Methodologically, time series data were standardized to a uniform frequency to ensure consistency, and the training set consisted of seven months of available data. The model performs better in high-occupancy zones. Despite maintaining a LOS A, some periods experience temporary congestion. These findings indicate that the variations in occupancy levels influence the service quality and highlight the essential role of dynamic interchange management. Tailored operational strategies can optimize the service levels and improve the user experience by anticipating congestion through predictive modeling. This can help enhance public transport’s attractiveness, minimize the perceived transfer penalties, make transfers more efficient, and reinforce transport hubs’ role in sustainable urban mobility. Full article
Show Figures

Figure 1

16 pages, 13024 KB  
Article
Edge Computing Based on Convolutional Neural Network for Passenger Counting: A Case Study in Guadalajara, Mexico
by Roxana Sánchez Laguna, Ulises Davalos-Guzman and Lina M. Aguilar-Lobo
Sensors 2025, 25(6), 1695; https://doi.org/10.3390/s25061695 - 9 Mar 2025
Viewed by 1425
Abstract
One of the most common deficiencies in the public transport system is long waiting times. Currently, in the Guadalajara Metropolitan Area, Mexico, the frequencies of routes are fixed, making it impossible to satisfy a demand with a dynamic variation. An intelligent public transport [...] Read more.
One of the most common deficiencies in the public transport system is long waiting times. Currently, in the Guadalajara Metropolitan Area, Mexico, the frequencies of routes are fixed, making it impossible to satisfy a demand with a dynamic variation. An intelligent public transport system is required. The first step to solve this problem is knowing the number of users so that we can respond appropriately to each scenario. In this context, this work focuses on the design and implementation of an embedded system module for passenger counting that can be used to improves public transport service quality. This work presents three contributions. First, a design and experimental validation of the passenger counting system is presented to determine the number of users in an image and send this information to a server suitable for the public transportation system in Guadalajara, Mexico. Second, the generation of two new datasets is reported for training and testing the CSRNet algorithm with images of public transportation systems in Mexican cities. Finally, we make the hardware implementation of the passenger counting system in a Jetson Nano development board. Full article
(This article belongs to the Special Issue Cloud and Edge Computing for IoT Applications)
Show Figures

Figure 1

31 pages, 12260 KB  
Article
Transport-Related Synthetic Time Series: Developing and Applying a Quality Assessment Framework
by Ayelet Gal-Tzur
Sustainability 2025, 17(3), 1212; https://doi.org/10.3390/su17031212 - 2 Feb 2025
Viewed by 1387
Abstract
Data scarcity and privacy concerns in various fields, including transportation, have fueled a growing interest in synthetic data generation. Synthetic datasets offer a practical solution to address data limitations, such as the underrepresentation of minority classes, while maintaining privacy when needed. Notably, recent [...] Read more.
Data scarcity and privacy concerns in various fields, including transportation, have fueled a growing interest in synthetic data generation. Synthetic datasets offer a practical solution to address data limitations, such as the underrepresentation of minority classes, while maintaining privacy when needed. Notably, recent studies have highlighted the potential of combining real and synthetic data to enhance the accuracy of demand predictions for shared transport services, thereby improving service quality and advancing sustainable transportation. This study introduces a systematic methodology for evaluating the quality of synthetic transport-related time series datasets. The framework incorporates multiple performance indicators addressing six aspects of quality: fidelity, distribution matching, diversity, coverage, and novelty. By combining distributional measures like Hellinger distance with time-series-specific metrics such as dynamic time warping and cosine similarity, the methodology ensures a comprehensive assessment. A clustering-based evaluation is also included to analyze the representation of distinct sub-groups within the data. The methodology was applied to two datasets: passenger counts on an intercity bus route and vehicle speeds along an urban road. While the synthetic speed dataset adequately captured the diversity and patterns of the real data, the passenger count dataset failed to represent key cluster-specific variations. These findings demonstrate the proposed methodology’s ability to identify both satisfactory and unsatisfactory synthetic datasets. Moreover, its sequential design enables the detection of gaps in deeper layers of similarity, going beyond basic distributional alignment. This work underscores the value of tailored evaluation frameworks for synthetic time series, advancing their utility in transportation research and practice. Full article
Show Figures

Figure 1

32 pages, 5286 KB  
Review
A Review of Passenger Counting in Public Transport Concepts with Solution Proposal Based on Image Processing and Machine Learning
by Aleksander Radovan, Leo Mršić, Goran Đambić and Branko Mihaljević
Eng 2024, 5(4), 3284-3315; https://doi.org/10.3390/eng5040172 - 10 Dec 2024
Cited by 3 | Viewed by 8298
Abstract
The accurate counting of passengers in public transport systems is crucial for optimizing operations, improving service quality, and planning infrastructure. It can also contribute to reducing the number of public transport lines where a high number of vehicles is not needed in certain [...] Read more.
The accurate counting of passengers in public transport systems is crucial for optimizing operations, improving service quality, and planning infrastructure. It can also contribute to reducing the number of public transport lines where a high number of vehicles is not needed in certain periods during the year, but also by increasing the number of lines where the need is increased. This paper provides a comprehensive review of current methodologies and technologies used for passenger counting, without the actual implementation of the automatic passenger counting system (APC), but with a proposal based on image processing and machine learning techniques and concepts, since it represents one of the most used approaches. The research explores various technologies and algorithms, like card swiping, infrared, weight and ultrasonic sensors, RFID, Wi-Fi, Bluetooth, LiDAR, thermos cameras, including CCTV cameras and traditional computer vision methods, and advanced deep learning approaches, highlighting their strengths and limitations. By analyzing recent advancements and case studies, this review aims to offer insights into the effectiveness, scalability, and practicality of different passenger counting solutions and offers a solution proposal. The research also analyzed the current General Data Protection Regulation (GDPR) that applies to the European Union and how it affects the use of systems like this. Future research directions and potential areas for technological innovation are also discussed to guide further developments in this field. Full article
(This article belongs to the Special Issue Artificial Intelligence for Engineering Applications)
Show Figures

Figure 1

14 pages, 4045 KB  
Article
Vehicular Traffic Flow Detection and Monitoring for Implementation of Smart Traffic Light: A Case Study for Road Intersection in Limeira, Brazil
by Talía Simões dos Santos Ximenes, Antonio Carlos de Oliveira Silva, Guilherme Pieretti de Martino, William Machado Emiliano, Mauro Menzori, Yuri Alexandre Meyer and Vitor Eduardo Molina Júnior
Future Transp. 2024, 4(4), 1388-1401; https://doi.org/10.3390/futuretransp4040067 - 8 Nov 2024
Cited by 3 | Viewed by 3447
Abstract
This paper proposes the development of a smart traffic light prototype based on vehicular traffic flow measurement in the stretch between two avenues in the city of Limeira, SP, Brazil, focusing on the stretch towards UNICAMP’s School of Technology. To this end, we [...] Read more.
This paper proposes the development of a smart traffic light prototype based on vehicular traffic flow measurement in the stretch between two avenues in the city of Limeira, SP, Brazil, focusing on the stretch towards UNICAMP’s School of Technology. To this end, we initially developed a Python code using the OpenCV library in order to detect and count vehicles. With the counting in operation, programming logic was inserted, aiming at preparing traffic light timers based on vehicular traffic. Finally, the traffic lights were added to display video via a code change to show the ongoing color changes, also obtaining a code for identifying vehicles and flow, in addition to the virtual traffic light system itself in the system. Vehicle counting accuracy was 75% for large vehicles, 90% for passenger cars, and 100% for motorcycles. The simulation of a smart traffic light implementation worked satisfactorily according to the post-processing of the video recorded for validation. Full article
Show Figures

Figure 1

15 pages, 2371 KB  
Article
Evaluation of Two Particle Number (PN) Counters with Different Test Protocols for the Periodic Technical Inspection (PTI) of Gasoline Vehicles
by Anastasios Melas, Jacopo Franzetti, Ricardo Suarez-Bertoa and Barouch Giechaskiel
Sensors 2024, 24(20), 6509; https://doi.org/10.3390/s24206509 - 10 Oct 2024
Cited by 2 | Viewed by 1842
Abstract
Thousands of particle number (PN) counters have been introduced to the European market, following the implementation of PN tests during the periodic technical inspection (PTI) of diesel vehicles equipped with particulate filters. Expanding the PN-PTI test to gasoline vehicles may face several challenges [...] Read more.
Thousands of particle number (PN) counters have been introduced to the European market, following the implementation of PN tests during the periodic technical inspection (PTI) of diesel vehicles equipped with particulate filters. Expanding the PN-PTI test to gasoline vehicles may face several challenges due to the different exhaust aerosol characteristics. In this study, two PN-PTI instruments, type-examined for diesel vehicles, measured fifteen petrol passenger cars with different test protocols: low and high idling, with or without additional load, and sharp accelerations. The instruments, one based on diffusion charging and the other on condensation particle counting, demonstrated good linearity compared to the reference instrumentation with R-squared values of 0.93 and 0.92, respectively. However, in a considerable number of tests, they registered higher particle concentrations due to the presence of high concentrations below their theoretical 23 nm cut-off size. The evaluation of the different test protocols showed that gasoline direct injection engine vehicles without particulate filters (GPFs) generally emitted an order of magnitude or higher PN compared to those with GPFs. However, high variations in concentration levels were observed for each vehicle. Port-fuel injection vehicles without GPFs mostly emitted PN concentrations near the lower detection limit of the PN-PTI instruments. Full article
(This article belongs to the Section Physical Sensors)
Show Figures

Figure 1

19 pages, 5935 KB  
Article
Dynamic Simulation and Modeling of a Novel NeuRaiSya for Railway Monitoring System Using Petri Nets
by Bhai Nhuraisha I. Deplomo, Jocelyn F. Villaverde and Arnold C. Paglinawan
Sensors 2024, 24(13), 4095; https://doi.org/10.3390/s24134095 - 24 Jun 2024
Cited by 3 | Viewed by 1679
Abstract
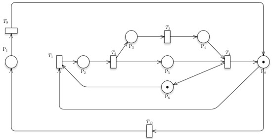
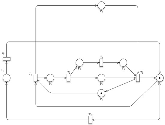
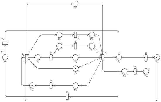
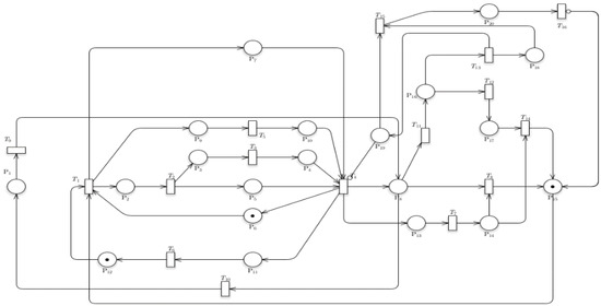
This research introduces the NeuRaiSya (Neural Railway System Application), an innovative railway signaling system integrating deep learning for passenger analysis. The objectives of this research are to simulate the NeuRaiSya and evaluate its effectiveness using the GreatSPN tool (graphical editor for Petri nets). [...] Read more.
This research introduces the NeuRaiSya (Neural Railway System Application), an innovative railway signaling system integrating deep learning for passenger analysis. The objectives of this research are to simulate the NeuRaiSya and evaluate its effectiveness using the GreatSPN tool (graphical editor for Petri nets). GreatSPN facilitates evaluations of system behavior, ensuring safety and efficiency. Five models were designed and simulated using the Petri nets model, including the Dynamics of Train Departure model, Train Operations with Passenger Counting model, Timestamp Data Collection model, Train Speed and Location model, and Train Related-Issues model. Through simulations and modeling using Petri nets, the study demonstrates the feasibility of the proposed NeuRaiSya system. The results highlight its potential in enhancing railway operations, ensuring passenger safety, and maintaining service quality amidst the evolving railway landscape in the Philippines. Full article
(This article belongs to the Section Fault Diagnosis & Sensors)
Show Figures

Figure 1

25 pages, 12126 KB  
Article
Exploring Travel Mobility in Integrated Usage of Dockless Bike-Sharing and the Metro Based on Multisource Data
by Hui Zhang, Yu Cui, Yanjun Liu, Jianmin Jia, Baiying Shi and Xiaohua Yu
ISPRS Int. J. Geo-Inf. 2024, 13(4), 108; https://doi.org/10.3390/ijgi13040108 - 24 Mar 2024
Cited by 8 | Viewed by 2738
Abstract
Dockless bike-sharing (DBS) is a green and flexible travel mode, which has been considered as an effective way to address the first-and-last mile problem. A two-level process is developed to identify the integrated DBS–metro trips. Then, DBS trip data, metro passenger data, socioeconomic [...] Read more.
Dockless bike-sharing (DBS) is a green and flexible travel mode, which has been considered as an effective way to address the first-and-last mile problem. A two-level process is developed to identify the integrated DBS–metro trips. Then, DBS trip data, metro passenger data, socioeconomic data, and built environment data in Shanghai are used to analyze the spatiotemporal characteristics of integrated trips and the correlations between the integrated trips and the explanatory variables. Next, multicollinearity tests and autocorrelation tests are conducted to select the best explanatory variables. Finally, a geographically and temporally weighted regression (GTWR) model is adopted to examine the determinants of integrated trips over space and time. The results show that the integrated trips account for 16.8% of total DBS trips and that departure-transfer trips are greater than arrival-transfer trips. Moreover, the integrated trips are concentrated in the central area of the city. In terms of impact factors, it is found that GDP, government count, and restaurant count are negatively correlated with the number of integrated trips, while house price, entropy of land use, transfer accessibility index, and metro passenger flow show positive relationships. In addition, the results show that the GTWR model outperforms the OLS model and the GWR model. Full article
Show Figures

Figure 1

27 pages, 12022 KB  
Article
Optimizing the Three-Dimensional Multi-Objective of Feeder Bus Routes Considering the Timetable
by Xinhua Gao, Song Liu, Shan Jiang, Dennis Yu, Yong Peng, Xianting Ma and Wenting Lin
Mathematics 2024, 12(7), 930; https://doi.org/10.3390/math12070930 - 22 Mar 2024
Cited by 6 | Viewed by 2306
Abstract
To optimize the evacuation process of rail transit passenger flows, the influence of the feeder bus network on bus demand is pivotal. This study first examines the transportation mode preferences of rail transit station passengers and addresses the feeder bus network’s optimization challenge [...] Read more.
To optimize the evacuation process of rail transit passenger flows, the influence of the feeder bus network on bus demand is pivotal. This study first examines the transportation mode preferences of rail transit station passengers and addresses the feeder bus network’s optimization challenge within a three-dimensional framework, incorporating an elastic mechanism. Consequently, a strategic planning model is developed. Subsequently, a multi-objective optimization model is constructed to simultaneously increase passenger numbers and decrease both travel time costs and bus operational expenses. Due to the NP-hard nature of this optimization problem, we introduce an enhanced non-dominated sorting genetic algorithm, INSGA-II. This algorithm integrates innovative encoding and decoding rules, adaptive parameter adjustment strategies, and a combination of crowding distance and distribution entropy mechanisms alongside an external elite archive strategy to enhance population convergence and local search capabilities. The efficacy of the proposed model and algorithm is corroborated through simulations employing standard test functions and instances. The results demonstrate that the INSGA-II algorithm closely approximates the true Pareto front, attaining Pareto optimal solutions that are uniformly distributed. Additionally, an increase in the fleet size correlates with greater passenger volumes and higher operational costs, yet it substantially lowers the average travel cost per customer. An optimal fleet size of 11 vehicles is identified. Moreover, expanding feeder bus routes enhances passenger counts by 18.03%, raises operational costs by 32.33%, and cuts passenger travel time expenses by 21.23%. These findings necessitate revisions to the bus timetable. Therefore, for a bus network with elastic demand, it is essential to holistically optimize the actual passenger flow demand, fleet size, bus schedules, and departure frequencies. Full article
Show Figures

Figure 1

27 pages, 10993 KB  
Article
A Trip-Based Data-Driven Model for Predicting Battery Energy Consumption of Electric City Buses
by Zvonimir Dabčević, Branimir Škugor, Ivan Cvok and Joško Deur
Energies 2024, 17(4), 911; https://doi.org/10.3390/en17040911 - 15 Feb 2024
Cited by 7 | Viewed by 2027
Abstract
The paper presents a novel approach for predicting battery energy consumption in electric city buses (e-buses) by means of a trip-based data-driven regression model. The model was parameterized based on the data collected by running a physical experimentally validated e-bus simulation model, and [...] Read more.
The paper presents a novel approach for predicting battery energy consumption in electric city buses (e-buses) by means of a trip-based data-driven regression model. The model was parameterized based on the data collected by running a physical experimentally validated e-bus simulation model, and it consists of powertrain and heating, ventilation, and air conditioning (HVAC) system submodels. The main advantage of the proposed approach is its reliance on readily available trip-related data, such as travel distance, mean velocity, average passenger count, mean and standard deviation of road slope, and mean ambient temperature and solar irradiance, as opposed to the physical model, which requires high-sampling-rate driving cycle data. Additionally, the data-driven model is executed significantly faster than the physical model, thus making it suitable for large-scale city bus electrification planning or online energy consumption prediction applications. The data-driven model development began with applying feature selection techniques to identify the most relevant set of model inputs. Machine learning methods were then employed to achieve a model that effectively balances accuracy, simplicity, and interpretability. The validation results of the final eight-input quadratic-form e-bus model demonstrated its high precision and generalization, which was reflected in the R2 value of 0.981 when tested on unseen data. Owing to the trip-based, mean-value formulation, the model executed six orders of magnitude faster than the physical model. Full article
(This article belongs to the Special Issue Application of AI in Energy Savings and CO2 Reduction)
Show Figures

Figure 1

26 pages, 16105 KB  
Article
Electric Taxi Charging Load Prediction Based on Trajectory Data and Reinforcement Learning—A Case Study of Shenzhen Municipality
by Xiaojia Liu, Bowei Liu, Yunjie Chen, Yuqin Zhou and Dexin Yu
Sustainability 2024, 16(4), 1520; https://doi.org/10.3390/su16041520 - 10 Feb 2024
Cited by 3 | Viewed by 2643
Abstract
In order to effectively solve the problem of electric taxi charging load prediction and reasonable charging behaviour discrimination, in this paper, we use taxi GPS trajectory data to mine the probability of operation behaviour in each area of the city, simulate the operation [...] Read more.
In order to effectively solve the problem of electric taxi charging load prediction and reasonable charging behaviour discrimination, in this paper, we use taxi GPS trajectory data to mine the probability of operation behaviour in each area of the city, simulate the operation behaviour of a day by combining it with reinforcement learning ideas, obtain the optimal operation strategy through training, and count the spatial and temporal distributions and power values at the time of charging decision making, so as to predict the charging load of electric taxis. Experiments are carried out using taxi travel data in Shenzhen city centre. The results show that, in terms of taxi operation behaviour, the operation behaviour optimized by the DQN algorithm shows the optimal effect in terms of the passenger carrying time, mileage, and daily net income; in terms of the charging load distribution, the spatial charging demand of electric taxis in each area shows obvious differences, and the charging demand load located in the city centre area and close to the traffic hub is higher. In time, the peak charging demand is distributed around 3:00 to 4:00 and 14:00 to 15:00. Compared with the operating habits of drivers based on the Monte Carlo simulation, the DQN algorithm is able to optimise the efficiency and profitability of taxi drivers, which is more in line with the actual operating habits of drivers formed through accumulated experience, thus achieving a more accurate charging load distribution. Full article
(This article belongs to the Special Issue Electric Vehicles: Production, Charging Stations, and Optimal Use)
Show Figures

Figure 1

Back to TopTop