Sign in to use this feature.

Years

Between: -

Subjects

remove_circle_outline
remove_circle_outline
remove_circle_outline
remove_circle_outline
remove_circle_outline
remove_circle_outline
remove_circle_outline
remove_circle_outline
remove_circle_outline

Journals

remove_circle_outline
remove_circle_outline
remove_circle_outline
remove_circle_outline
remove_circle_outline
remove_circle_outline
remove_circle_outline

Article Types

Countries / Regions

remove_circle_outline
remove_circle_outline

Search Results (160)

Search Parameters:
Keywords = partial submergence

Order results
Result details
Results per page
Select all
Export citation of selected articles as:
19 pages, 1292 KB  
Article
Biodegradation of Cyanide-Based Compounds by Rhodanese Produced from Kocuria rhizophila Under Submerged Fermentation and Its Role in Environmental Detoxification
by Nada Z. Mahdi, Suhair Sh. Al-Siraj, Nehad A. Taher, Muneefah Abdullah Alenezi, Khyreyah J. Alfifi, Fauzeya Mateq Albalwe, Hanan Khalaf Anazi, Siham M. AL-Balawi, Mahmoud Galal, Maha F. Lotfy and Eman M. Sharaf
Molecules 2026, 31(6), 915; https://doi.org/10.3390/molecules31060915 - 10 Mar 2026
Viewed by 382
Abstract
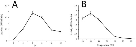
Widespread release of cyanide from industrial activities represents a significant environmental challenge due to its acute toxicity and adverse effects on biological systems. In response to this concern, this study focused on the production of rhodanese from Kocuria rhizophila under submerged fermentation conditions [...] Read more.
Widespread release of cyanide from industrial activities represents a significant environmental challenge due to its acute toxicity and adverse effects on biological systems. In response to this concern, this study focused on the production of rhodanese from Kocuria rhizophila under submerged fermentation conditions and the assessment of its relevance for cyanide detoxification applications. A soil-derived Gram-positive bacterium was isolated and identified as Kocuria rhizophila based on morphological traits, biochemical profile-based VITEK 2 analysis, and 16S rRNA gene sequencing. Preliminary screening confirmed rhodanese production with an activity of 0.968 RU/mL. Under cyanide-induced submerged fermentation, enzyme production followed a growth-associated pattern and reached maximal activity at 40 h under optimized conditions (35 °C, pH 8.0). Partial purification using sequential precipitation and chromatographic steps enhanced enzyme purity, and SDS–PAGE analysis of the final fraction revealed protein bands at approximately 40, 140, and 260 kDa. Biochemical characterization showed Km values of 33.9 mM for KCN and 19.7 mM for sodium thiosulfate, with a Vmax of ~5.6 µmol min−1 mL−1 for KCN and optimal activity at pH 7–8 and 35 °C. Functional assays demonstrated efficient cyanide detoxification, achieving >85% conversion of KCN, ~92% of NaCN, and 65–77% of Ca (CN)2 within 60 min in vitro. Collectively, these findings demonstrate that Kocuria rhizophila represents a promising microbial source of rhodanese with efficient cyanide-detoxifying activity, highlighting its potential for biotechnological and environmental remediation applications. Full article
Show Figures

Graphical abstract

22 pages, 14278 KB  
Article
Hydrodynamic and Trim Analysis of a Dihedral Bulbous Bow on a Longliner Hull
by Héctor Rubén Díaz Ojeda, Yifu Zhang, Stephen Turnock and Francisco Pérez Arribas
J. Mar. Sci. Eng. 2026, 14(4), 382; https://doi.org/10.3390/jmse14040382 - 17 Feb 2026
Viewed by 519
Abstract
This study evaluates the hydrodynamic performance of a displacement-type FAO longliner fishing vessel fitted with a surface-piercing dihedral bulbous bow. Unlike conventional submerged bulbs, this configuration partially emerges at the free surface. Hydrodynamic behaviour was analysed under heavy- and light-load conditions using both [...] Read more.
This study evaluates the hydrodynamic performance of a displacement-type FAO longliner fishing vessel fitted with a surface-piercing dihedral bulbous bow. Unlike conventional submerged bulbs, this configuration partially emerges at the free surface. Hydrodynamic behaviour was analysed under heavy- and light-load conditions using both computational and experimental fluid dynamics. Results show that the dihedral bulb significantly reduces total resistance beyond a critical speed of approximately 6 knots, whilst also affecting dynamic trim and vertical hydrodynamic forces. Full-scale effective power was estimated by extrapolating model results according to ITTC procedures. This study confirms that dihedral bulbous bows are well suited for retrofit applications on small fishing vessels under 20 m in length, achieving maximum resistance reductions of about 18% at higher speeds. These gains translate into notable fuel savings and reduced greenhouse gas emissions, making the retrofit both economically and environmentally advantageous. Full article
(This article belongs to the Special Issue Advancements in Marine Hydrodynamics and Structural Optimization)
Show Figures

Figure 1

20 pages, 3214 KB  
Article
Kinetics of Isothermal and Non-Isothermal Pre-Reduction of Chromite with Hydrogen
by Mopeli Ishmael Khama, Beberto Myth Vunene Baloyi, Quinn Gareth Reynolds, Buhle Sinaye Xakalashe and Deshenthree Chetty
Hydrogen 2026, 7(1), 21; https://doi.org/10.3390/hydrogen7010021 - 1 Feb 2026
Viewed by 587
Abstract
Production of ferrochrome alloy is carried out using carbon as a reductant in a Submerged Arc Furnace (SAF). Carbothermic reduction of chromite ore results in high CO2 emissions, and alternative reductants such as H2, wherein H2O is the [...] Read more.
Production of ferrochrome alloy is carried out using carbon as a reductant in a Submerged Arc Furnace (SAF). Carbothermic reduction of chromite ore results in high CO2 emissions, and alternative reductants such as H2, wherein H2O is the only by-product, have become attractive potential alternatives. Before utilizing H2 as a reductant, it is crucial to carry out a comprehensive study on the reaction kinetics with the view to aid the design and operation of reactors that facilitate the reduction process. The current study determined the kinetic parameters for isothermal and non-isothermal pre-reduction of chromite with H2 in a thermogravimetric furnace. Results from powder X-ray diffraction and scanning electron microscopy determined the mineralogical variations between the feed and the pre-reduced samples, as well as the variation between isothermally and non-isothermally treated samples. The mass loss data indicates that longer reduction times are required to reach complete reduction. The apparent activation energy for the isothermal and non-isothermal pre-reduction tests was found to be 105 and 124 kJ/mol, respectively. The mineralogical observations for pre-reduced samples at 1300 °C and 1500 °C showed that samples treated at lower temperatures (1300 °C) displayed consistent textures and Fe-Cr droplets along rims of partially altered chromite (PAC), which suggested higher metallization at this temperature. Higher temperatures (1500 °C), on the other hand, resulted in poor metallization, possibly because higher temperatures are often associated with a collapsed pore network, which results in poor diffusion rates, thus hindering complete reduction. Full article
Show Figures

Figure 1

23 pages, 4533 KB  
Article
Environmental Filtering Drives Microbial Community Shifts and Functional Niche Differentiation of Fungi in Waterlogged and Dried Archeological Bamboo Slips
by Liwen Zhong, Weijun Li, Guoming Gao, Yu Wang, Cen Wang and Jiao Pan
J. Fungi 2026, 12(1), 66; https://doi.org/10.3390/jof12010066 - 14 Jan 2026
Viewed by 651
Abstract
Changes in preservation conditions act as an important environmental filter driving shifts in microbial communities. However, the precise identities, functional traits, and ecological mechanisms of the dominant agents driving stage-specific deterioration remain insufficiently characterized. This study investigated microbial communities and dominant fungal degraders [...] Read more.
Changes in preservation conditions act as an important environmental filter driving shifts in microbial communities. However, the precise identities, functional traits, and ecological mechanisms of the dominant agents driving stage-specific deterioration remain insufficiently characterized. This study investigated microbial communities and dominant fungal degraders in waterlogged versus dried bamboo slips using amplicon sequencing, multivariate statistics, and microbial isolation. Results revealed compositionally distinct communities, with dried slips sharing only a small proportion of operational taxonomic units (OTUs) with waterlogged slips, while indicating the persistence of a subset of taxa across preservation states. A key discovery was the dominance of Fonsecaea minima (92% relative abundance) at the water-solid-air interface of partially submerged slips. Scanning electron microscopy (SEM) and pyrolysis-gas chromatography/mass spectrometry (Py-GC/MS) indicate that this fungus forms melanin-rich, biofilm-like surface structures, suggesting enhanced surface colonization and stress resistance. In contrast, the fungal community isolated from dried slips was characterized by Apiospora saccharicola associated with detectable xylanase activity. Meanwhile, the xerophilic species Xerogeomyces pulvereus dominated (99% relative abundance) the storage box environment. Together, these results demonstrate that preservation niches select for fungi with distinct functional traits, highlighting the importance of stage-specific preservation strategies that consider functional traits rather than taxonomic identity alone. Full article
(This article belongs to the Special Issue Mycological Research in Cultural Heritage Protection)
Show Figures

Figure 1

26 pages, 3668 KB  
Article
Interaction Between CsATG8f and CsRAP2.12 Modulates Antioxidant Defense and Hypoxia Response During Submergence in Camellia sinensis
by Rou Zeng, Yun Liu, Lisha Yu, Xiaogang Lei, Jie Jiang, Qiang Shen, Yuanchun Ma, Wanping Fang and Xujun Zhu
Int. J. Mol. Sci. 2026, 27(1), 235; https://doi.org/10.3390/ijms27010235 - 25 Dec 2025
Cited by 1 | Viewed by 431
Abstract
Autophagy is an evolutionarily conserved cellular process that maintains homeostasis by degrading intracellular materials. Numerous studies have investigated the role of autophagy-related genes (ATGs) in plant adaptation to abiotic stresses. In plants, hypoxia (e.g., flooding events, oxygen supply during growth) rapidly activates the [...] Read more.
Autophagy is an evolutionarily conserved cellular process that maintains homeostasis by degrading intracellular materials. Numerous studies have investigated the role of autophagy-related genes (ATGs) in plant adaptation to abiotic stresses. In plants, hypoxia (e.g., flooding events, oxygen supply during growth) rapidly activates the autophagy pathway as a protective mechanism for cell survival. Considering the moisture-loving yet waterlogging-sensitive nature of tea plants, this study explored the role of CsATG8f in the tea plant’s response to submergence. We found that overexpression of CsATG8f formed more autophagosomes than controls under submergence. Furthermore, CsATG8f was confirmed to physically interact with CsRAP2.12. Co-overexpression of both genes partially suppressed transcription of hypoxia-response genes while activating the antioxidant system, thereby enhancing tea plants’ resistance to submergence. Consistent with this, the opposite trend was observed in silenced plants, which attempted to mitigate stress damage by increasing GABA levels in vivo. In conclusion, our study reveals the crucial roles of CsATG8f and CsRAP2.12 in tea plant tolerance to submergence and provides new insights into potential regulatory networks governing tea plant adaptation to flooding. Full article
(This article belongs to the Special Issue Plant Resilience: Insights into Abiotic and Biotic Stress Adaptations)
Show Figures

Figure 1

4 pages, 252 KB  
Proceeding Paper
Screening of the Antibacterial Potential of the Biosurfactant Produced by Pseudomonas fluorescens ICCF 392 Against Bacillus sp.
by Roxana Mădălina Stoica
Chem. Proc. 2025, 18(1), 1; https://doi.org/10.3390/ecsoc-29-26915 - 13 Nov 2025
Viewed by 299
Abstract
Biosurfactants are amphiphilic biocompounds produced by microorganisms, recognized for their surface-active properties and broad biotechnological applicability. The rising concern over antimicrobial resistance and environmental impact of synthetic chemicals has increased the demand for natural and eco-friendly alternatives. Biosurfactants, due to their unique chemical [...] Read more.
Biosurfactants are amphiphilic biocompounds produced by microorganisms, recognized for their surface-active properties and broad biotechnological applicability. The rising concern over antimicrobial resistance and environmental impact of synthetic chemicals has increased the demand for natural and eco-friendly alternatives. Biosurfactants, due to their unique chemical structure and multifunctional properties, have emerged as promising candidates in this regard. These compounds have gained increasing attention due to their biodegradability, low toxicity, and potential to replace synthetic surfactants in various industries. In particular, their antimicrobial properties make them promising agents for applications in food safety, pharmaceuticals, and environmental protection. Pseudomonas fluorescens, a well-known biosurfactant-producing bacterium, has been extensively studied for its capacity to produce rhamnolipids with antimicrobial activity. Therefore, this study aimed to assess the antibacterial potential of the biosurfactant synthesized by Pseudomonas fluorescens ICCF 392 against Bacillus cereus, a Gram-positive bacterium frequently associated with foodborne illnesses. The biosurfactant was obtained through submerged fermentation and partially purified. The antibacterial activity was evaluated using the agar diffusion (cylinder-plate) method, which revealed a clear zone of inhibition measuring 20 mm in diameter. These findings indicate that microbial biosurfactants can serve as effective and sustainable alternatives to conventional antimicrobial agents. Further studies will focus on detailed characterization of the biosurfactant, its spectrum of activity, and potential formulation in various delivery systems. Full article
Show Figures

Figure 1

22 pages, 5659 KB  
Article
Lateral Instability of Submarine Pipelines on Sloping Silt Seabeds: Experimental Investigation and an Improved Predictive Model
by Dang Zhao, Yang He, Yumin Shi, Ning Wang, Jun Liu and Ying Zhang
J. Mar. Sci. Eng. 2025, 13(11), 2147; https://doi.org/10.3390/jmse13112147 - 13 Nov 2025
Viewed by 715
Abstract
Lateral pipe-soil interaction is crucial for the on-bottom stability design of submarine pipelines, particularly on deep-water sloping silt seabeds. To address this, a mechanical-actuator facility has been specially designed and utilized to simulate the lateral instability process of a pipe on silt slopes [...] Read more.
Lateral pipe-soil interaction is crucial for the on-bottom stability design of submarine pipelines, particularly on deep-water sloping silt seabeds. To address this, a mechanical-actuator facility has been specially designed and utilized to simulate the lateral instability process of a pipe on silt slopes (α) ranging from −15° to +15°. In this study, variations in the dimensionless submerged pipeline weight (G = 0.607–1.577) and initial embedment ratios (|e0|/D = 0.01–0.50) are also considered. Experimental results reveal several key findings. First, brittle pipe-soil responses are observed: under embedment ratios larger than 0.05, the breakout soil resistance is dominated by suction due to negative pore pressure generation at the rear of the pipe, whereas under lower embedment ratios, it is primarily governed by interface friction and cohesion. Second, for a constant submerged pipeline weight (G = 1.092), the breakout drag force increases linearly with slope angle, whereas the breakout soil resistance decreases linearly—a difference attributed to the gravitational component Wssinα. Specifically, compared to a horizontal flat seabed, the breakout lateral drag force increases by approximately 33% for upslope instability (α = +15°), but decreases by about 24% for downslope instability (α = −15°). Third, the dimensionless lateral-soil-resistance coefficient on silt increases nonlinearly and monotonically with the slope angle, a trend opposite to that reported for sandy seabeds. Finally, an improved model is proposed that explicitly incorporates silt slope angle, submerged pipeline weight, and embedment ratio. This study aims to offer valuable insights into the stability of pipelines on partially drained continental silt slopes and to support the adoption of slope-specific criteria in future engineering designs. Full article
Show Figures

Figure 1

37 pages, 40033 KB  
Article
Late-Time Radio Diagnostics of Magnetar Magnetic Burial and Reemergence in GRB Afterglows
by Nissim Fraija, C. G. Bernal, A. Galván, B. Betancourt Kamenetskaia and M. G. Dainotti
Galaxies 2025, 13(6), 127; https://doi.org/10.3390/galaxies13060127 - 4 Nov 2025
Viewed by 1780
Abstract
Recent centimeter-to-millimeter monitoring of nearby gamma-ray bursts (GRBs) has revealed late-time (102104 days) radio rebrightenings and spectral turnovers not explained by standard forward-shock scenarios with steady microphysics. We attribute these features to a buried millisecond magnetar whose [...] Read more.
Recent centimeter-to-millimeter monitoring of nearby gamma-ray bursts (GRBs) has revealed late-time (102104 days) radio rebrightenings and spectral turnovers not explained by standard forward-shock scenarios with steady microphysics. We attribute these features to a buried millisecond magnetar whose surface dipole, initially submerged by early fallback (hours after birth), re-emerges via Hall–Ohmic diffusion on year–to–decade timescales, partially re-energizing the external shock. We combine a minimally parametric analytic framework with axisymmetric magnetohydrodynamic simulations of the hypercritical fallback phase to characterize burial depths and the initial conditions for reemergence. The growth of the external dipole is modeled as E˙(t)E˙0fG(t)σ and calibrated against physically plausible diffusion timescales τmyearsdecades. Spin-down power couples to the afterglow through the surrounding ejecta via a single effective coupling factor and a causal delay kernel, encapsulating mediation by supernova ejecta/pulsar-wind nebulae in collapsars and by merger ejecta/winds in compact-object mergers. Applied to a representative set of events with late-time radio detections and upper limits, our scheme reproduces the observed rebrightenings and turnovers with modest coupling efficiencies. Within this picture, late-time centimeter–millimeter afterglows provide a practical diagnostic of magnetic-burial depth and crustal conductivity in newborn magnetars powering GRB afterglows, and motivate systematic radio follow-up hundreds to thousands of days after the trigger. Full article
Show Figures

Figure 1

17 pages, 4866 KB  
Article
Development of Virtual Disk Method for Propeller Interacting with Free Surface
by Sua Jeong, Hwi-Su Kim, Yoon-Ho Jang, Byeong-U You and Kwang-Jun Paik
J. Mar. Sci. Eng. 2025, 13(10), 1912; https://doi.org/10.3390/jmse13101912 - 5 Oct 2025
Viewed by 810
Abstract
As the environmental regulations of the International Maritime Organization (IMO) become more stringent, the accurate prediction of ship propulsion performance has become essential. Under ballast conditions where the draft is shallow, the propeller approaches the free surface, causing complex phenomena such as ventilation [...] Read more.
As the environmental regulations of the International Maritime Organization (IMO) become more stringent, the accurate prediction of ship propulsion performance has become essential. Under ballast conditions where the draft is shallow, the propeller approaches the free surface, causing complex phenomena such as ventilation and surface piercing, which reduce propulsion efficiency. The conventional virtual disk (VD) method cannot adequately capture these free-surface effects, leading to deviations from model propeller results. To resolve this, a correction formula that accounts for the advance ratio (J) and submergence ratio (h/D) has been proposed in previous studies. In this study, the correction formula was simplified and implemented in a CFD environment using a field function, enabling dynamic adjustment of body force based on time-varying submergence depth. A comparative analysis was conducted between the conventional VD, modified VD, and model propeller using POW and self-propulsion simulations for an MR tanker and SP598M propeller. The improved method was validated in calm and regular wave conditions. The results showed that the modified VD method closely matched the performance trends of the model propeller, especially in free surface-interference conditions (e.g., h/D < 0.5). Furthermore, additional validations in wave-induced self-propulsion confirmed that the modified VD method accurately reproduced the reductions in wake fraction and thrust deduction coefficient, unlike the overestimations observed with the conventional VD. These results demonstrate that the modified VD method can reliably predict propulsion performance under real sea states and serve as a practical tool in the early design stage. Full article
(This article belongs to the Section Ocean Engineering)
Show Figures

Figure 1

14 pages, 1848 KB  
Article
Development of a Geopolymer for 3D Printing Using Submerged Arc Welding (SAW) Slag
by Fernando Fernández, Marina Sánchez, Pablo Gómez García, Míriam Hernández, Miguel Hurtado, Yanjuan Chen, Hubert Rahier and Carlos Rodríguez
Constr. Mater. 2025, 5(4), 73; https://doi.org/10.3390/constrmater5040073 - 1 Oct 2025
Viewed by 598
Abstract
Reducing the carbon footprint of the construction sector is a growing priority. This study explores the potential of using submerged arc welding (SAW) slag as a precursor in the development of low-carbon geopolymeric materials for 3D printing. The influence of potassium hydroxide (KOH) [...] Read more.
Reducing the carbon footprint of the construction sector is a growing priority. This study explores the potential of using submerged arc welding (SAW) slag as a precursor in the development of low-carbon geopolymeric materials for 3D printing. The influence of potassium hydroxide (KOH) molarity, partial replacement of ground granulated blast furnace slag (GGBFS) with SAW slag, and water-to-binder (w/b) ratio was evaluated in terms of fresh and hardened properties. Increasing KOH molarity delayed setting times, with the longest delays at 10 M and 12 M. The highest compressive strength (48.5 MPa at 28 days) was achieved at 8 M; higher molarities led to strength losses due to excessive precursor dissolution and increased porosity. GGBFS replacement increased setting times due to its higher Al2O3 and MgO content, which slowed geopolymerization. The optimized formulation, containing 20% SAW slag and activated with 8 M KOH at a w/b ratio of 0.29, exhibited good workability, extrudability, and shape retention. This mixture also performed best in 3D printing trials, strong layer adhesion and no segregation, although minor edge irregularities were observed. These results suggest that SAW slag is a promising sustainable material showing for 3D-printed geopolymers, with further optimization of printing parameters needed to enhance surface quality. Full article
Show Figures

Figure 1

22 pages, 9045 KB  
Article
Weld Power, Heat Generation and Microstructure in FSW and SFSW of 11Cr-1.6W-1.6Ni Martensitic Stainless Steel: The Impact of Tool Rotation Rate
by Mohamed Ragab, Naser Alsaleh, Mohamed M. El-Sayed Seleman, Mohamed M. Z. Ahmed, Sabbah Ataya and Yousef G. Y. Elshaghoul
Crystals 2025, 15(10), 845; https://doi.org/10.3390/cryst15100845 - 28 Sep 2025
Cited by 1 | Viewed by 834
Abstract
Friction stir welding (FSW) is a leading technique for joining high-strength steel. This study investigates the relationship between weld power, heat generation (HG), cooling medium, and parent austenite grain (PAG) size during both FSW and submerged FSW (SFSW) processes on 11Cr-1.6W-1.6Ni Martensitic Stainless [...] Read more.
Friction stir welding (FSW) is a leading technique for joining high-strength steel. This study investigates the relationship between weld power, heat generation (HG), cooling medium, and parent austenite grain (PAG) size during both FSW and submerged FSW (SFSW) processes on 11Cr-1.6W-1.6Ni Martensitic Stainless Steel. Weld power and HG were determined by measuring plunge force and tool torque at various tool rotation rates (350–550 rpm). Additionally, the PAG size and microstructural phases in the base metal (BM), thermo-mechanically affected zone (TMAZ), and stir zone (SZ) were examined using scanning electron microscopy (SEM), electron backscattered diffraction (EBSD), and X-ray diffraction (XRD). The results indicated that the SFSW of martensitic steel required a plunge force twice that of the FSW process, along with greater weld power. The heat generated during SFSW was 130% higher than in FSW at 550 rpm. Despite this, the peak temperatures in the SZ were lower in SFSW as a result of the surrounding water’s high heat absorption. This difference in thermal behavior significantly affected the microstructure. While FSW resulted in a complete phase transformation to fine PAG, SFSW showed only minimal or partial transformation and a higher strain rate. Consequently, the SZ and TMAZ in SFSW exhibited a higher hardness than in FSW. Full article
Show Figures

Figure 1

16 pages, 12741 KB  
Article
Investigation of Waves’ Impact on Floating Objects Using Numerical Simulations and Experiments
by Erling Calvert Dolve, Saeed Bikass, Mariusz Domagala and Hassan Momeni
Energies 2025, 18(19), 5091; https://doi.org/10.3390/en18195091 - 25 Sep 2025
Cited by 1 | Viewed by 937
Abstract
Wave loads significantly influence offshore structure design; the structures must be strong enough to resist those loads. On the other hand, waves can be used as a renewable energy source if the loads are adequately exploited. The wave loads can be obtained by [...] Read more.
Wave loads significantly influence offshore structure design; the structures must be strong enough to resist those loads. On the other hand, waves can be used as a renewable energy source if the loads are adequately exploited. The wave loads can be obtained by experimental methods or simulations. However, experimental methods are costly and limited in shape, accuracy, and the details of the measurements. This study uses the CFD method to capture the interaction between waves and a partially submerged object. The simulations are performed by utilizing two-phase open-channel transient flow and Volume of Fluid (VOF) techniques. The simulations are performed for different wave scenarios, i.e., wave height and frequency. Simulation results are validated by experimental tests. The experiments are performed in a dedicated lab, which includes a water tank with a wave generator and a facility for measuring drag and lift forces. The study focuses on the study of wave loads on partially submerged objects. The CFD simulations show strong consistency with the experimental data. The results show load distribution over the floating objects that can be used to design proper structures for resisting or energy-harvesting wave loads. Full article
(This article belongs to the Special Issue CFD Simulation in Energy Engineering Research)
Show Figures

Figure 1

16 pages, 4447 KB  
Article
Evaluation of Free-Surface Exposure Effects on Tidal Turbine Performance Using CFD
by Gyeongseo Min, Wooseok Choi, Haechan Yun, Younguk Do, Kangmin Kim, Weichao Shi, Saishuai Dai, Daejeong Kim and Soonseok Song
J. Mar. Sci. Eng. 2025, 13(8), 1589; https://doi.org/10.3390/jmse13081589 - 19 Aug 2025
Cited by 2 | Viewed by 1019
Abstract
Tidal turbines represent a promising renewable energy source, generating power from ocean currents. However, due to tidal range variations, they sometimes become partially exposed to the free surface. When this occurs, the turbine experiences reduced power generation and unsteady torque caused by the [...] Read more.
Tidal turbines represent a promising renewable energy source, generating power from ocean currents. However, due to tidal range variations, they sometimes become partially exposed to the free surface. When this occurs, the turbine experiences reduced power generation and unsteady torque caused by the asymmetric flow. Such conditions can lead to long-term degradation of turbine performance and reliability. From this perspective, a key question arises regarding how significantly power generation differs when turbines are exposed to the free surface. This study was conducted with the objective of quantitatively evaluating the differences in power generation and torque acting on the turbine due to free-surface exposure, in order to address this question. Numerical simulations considering free-surface exposure effects were developed to quantitatively assess these phenomena through Computational Fluid Dynamics (CFD). Additionally, this numerical model was validated by comparison against experimental data and verified by convergence tests. The results revealed that the tidal turbine exhibited power generation differences ranging from a maximum of 45% to a minimum of 0.44%, depending on the degree of free-surface exposure. These findings are expected to serve as valuable indicators for power generation when operating tidal turbines. Full article
(This article belongs to the Special Issue Marine CFD: From Resistance Prediction to Environmental Innovation)
Show Figures

Figure 1

20 pages, 1666 KB  
Article
Optimized Design of Low-Carbon Fly Ash–Slag Composite Concrete Considering Carbonation Durability and CO2 Concentration Rising Impacts
by Kang-Jia Wang, Seung-Jun Kwon and Xiao-Yong Wang
Materials 2025, 18(14), 3418; https://doi.org/10.3390/ma18143418 - 21 Jul 2025
Cited by 1 | Viewed by 1273
Abstract
Fly ash and slag are widely used as mineral admixtures to partially replace cement in low-carbon concrete. However, such composite concretes often exhibit a greater carbonation depth than plain Portland concrete with the same 28-day strength, increasing the risk of steel reinforcement corrosion. [...] Read more.
Fly ash and slag are widely used as mineral admixtures to partially replace cement in low-carbon concrete. However, such composite concretes often exhibit a greater carbonation depth than plain Portland concrete with the same 28-day strength, increasing the risk of steel reinforcement corrosion. Previous mix design methods have overlooked this issue. This study proposes an optimized design method for fly ash–slag composite concrete, considering carbonation exposure classes and CO2 concentrations. Four exposure classes are addressed—XC1 (completely dry or permanently wet environments such as indoor floors or submerged concrete), XC2 (wet but rarely dry, e.g., inside water tanks), XC3 (moderate humidity, e.g., sheltered outdoor environments), and XC4 (cyclic wet and dry, e.g., bridge decks and exterior walls exposed to rain). Two CO2 levels—0.04% (ambient) and 0.05% (elevated)—were also considered. In Scenario 1 (no durability constraint), the optimized designs for all exposure classes were identical, with 60% slag and 75% total fly ash–slag replacement. In Scenario 2 (0.04% CO2 with durability), the designs for XC1 and XC2 remained the same, but for XC3 and XC4, the carbonation depth became the controlling factor, requiring a higher binder content and leading to compressive strengths exceeding the target. In Scenario 3 (0.05% CO2), despite the increased carbonation depth, the XC1 and XC2 designs were unchanged. However, XC3 and XC4 required further increases in binder content and actual strength to meet durability limits. Overall, compressive strength governs the design for XC1 and XC2, while carbonation durability is critical for XC3 and XC4. Increasing the water-to-binder ratio reduces strength, while higher-strength mixes emit more CO2 per cubic meter, confirming the proposed method’s engineering validity. Full article
Show Figures

Figure 1

20 pages, 4294 KB  
Article
Design and Initial Validation of an Infrared Beam-Break Fish Counter (‘Fish Tracker’) for Fish Passage Monitoring
by Juan Francisco Fuentes-Pérez, Marina Martínez-Miguel, Ana García-Vega, Francisco Javier Bravo-Córdoba and Francisco Javier Sanz-Ronda
Sensors 2025, 25(13), 4112; https://doi.org/10.3390/s25134112 - 1 Jul 2025
Cited by 2 | Viewed by 1991
Abstract
Effective monitoring of fish passage through river barriers is essential for evaluating fishway performance and supporting adaptive river management. Traditional methods are often invasive, labor-intensive, or too costly to enable widespread implementation across most fishways. Infrared (IR) beam-break counters offer a promising alternative, [...] Read more.
Effective monitoring of fish passage through river barriers is essential for evaluating fishway performance and supporting adaptive river management. Traditional methods are often invasive, labor-intensive, or too costly to enable widespread implementation across most fishways. Infrared (IR) beam-break counters offer a promising alternative, but their adoption has been limited by high costs and a lack of flexibility. We developed and tested a novel, low-cost infrared beam-break counter—FishTracker—based on open-source Raspberry Pi and Arduino platforms. The system detects fish passages by analyzing interruptions in an IR curtain and reconstructing fish silhouettes to estimate movement, direction, speed, and morphometrics under a wide range of turbidity conditions. It also offers remote access capabilities for easy management. Field validation involved controlled tests with dummy fish, experiments with small-bodied live specimens (bleak) under varying turbidity conditions, and verification against synchronized video of free-swimming fish (koi carp). This first version of FishTracker achieved detection rates of 95–100% under controlled conditions and approximately 70% in semi-natural conditions, comparable to commercial counters. Most errors were due to surface distortion caused by partial submersion during the experimental setup, which could be avoided by fully submerging the device. Body length estimation based on passage speed and beam-interruption duration proved consistent, aligning with published allometric models for carps. FishTracker offers a promising and affordable solution for non-invasive fish monitoring in multispecies contexts. Its design, based primarily on open technology, allows for flexible adaptation and broad deployment, particularly in locations where commercial technologies are economically unfeasible. Full article
(This article belongs to the Special Issue Optical Sensors for Industry Applications)
Show Figures

Figure 1

Back to TopTop